The Role of Metabolic Syndrome in Psoriasis Treatment Response: A One-Year Comparative Analysis of PASI Progression
Abstract
1. Introduction
2. Materials and Methods
2.1. Patient Selection
2.2. Data Collection
2.3. Statistical Analysis
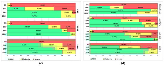
3. Results
3.1. PASI Follow-Up After 3 Months
3.2. PASI Follow-Up After 6 Months
3.3. PASI Follow-Up After 12 Months
3.4. PASI Evolution During the Entire Year of Study
4. Discussion
5. Conclusions
Author Contributions
Funding
Institutional Review Board Statement
Informed Consent Statement
Data Availability Statement
Acknowledgments
Conflicts of Interest
References
- Samotij, D.; Nedoszytko, B.; Bartosińska, J.; Batycka-Baran, A.; Czajkowski, R.; Dobrucki, I.; Dobrucki, L.; Górecka-Sokołowska, M.; Janaszak-Jasienicka, A.; Krasowska, D.; et al. Pathogenesis of Psoriasis in the “Omic” Era. Part I. Epidemiology, Clinical Manifestation, Immunological and Neuroendocrine Disturbances. Adv. Dermatol. Allergol. 2020, 37, 135–153. [Google Scholar] [CrossRef]
- Iskandar, I.Y.K.; Parisi, R.; Griffiths, C.E.M.; Ashcroft, D.M. Systematic Review Examining Changes over Time and Variation in the Incidence and Prevalence of Psoriasis by Age and Gender. Br. J. Dermatol. 2020, 184, 243–258. [Google Scholar] [CrossRef]
- Wu, M.; Dai, C.; Zeng, F. Cellular Mechanisms of Psoriasis Pathogenesis: A Systemic Review. Clin. Cosmet. Investig. Dermatol. 2023, 16, 2503–2515. [Google Scholar] [CrossRef]
- Uppala, R.; Tsoi, L.C.; Harms, P.W.; Wang, B.; Billi, A.C.; Maverakis, E.; Michelle Kahlenberg, J.; Ward, N.L.; Gudjonsson, J.E. “Autoinflammatory Psoriasis”—Genetics and Biology of Pustular Psoriasis. Cell. Mol. Immunol. 2020, 18, 307–317. [Google Scholar] [CrossRef]
- Ogawa, E.; Sato, Y.; Minagawa, A.; Okuyama, R. Pathogenesis of Psoriasis and Development of Treatment. J. Dermatol. 2017, 45, 264–272. [Google Scholar] [CrossRef]
- Ekman, A.-K.; Bivik Eding, C.; Rundquist, I.; Enerbäck, C. IL-17 and IL-22 Promote Keratinocyte Stemness in the Germinative Compartment in Psoriasis. J. Investig. Dermatol. 2019, 139, 1564–1573.e8. [Google Scholar] [CrossRef]
- Hawkes, J.E.; Chan, T.C.; Krueger, J.G. Psoriasis Pathogenesis and the Development of Novel Targeted Immune Therapies. J. Allergy Clin. Immunol. 2017, 140, 645–653. [Google Scholar] [CrossRef]
- Lowes, M.A.; Suárez-Fariñas, M.; Krueger, J.G. Immunology of Psoriasis. Annu. Rev. Immunol. 2014, 32, 227–255. [Google Scholar] [CrossRef]
- Biciuşcă, V.; Popescu, M.; Petrescu, I.O.; Stan, I.S.; Durand, P.; Petrescu, M.; Velea, R.; Traşcă, D.M.; Popescu, I.A.S.; Udriştoiu, I.; et al. Hepatic Pathological Features in Naïve Patients with Chronic Hepatitis c Who Have Developed Thyroid Disorder. Romanian J. Morphol. Embryol. 2021, 61, 1085–1097. [Google Scholar] [CrossRef]
- Murer, C.; Sgier, D.; Mettler, S.K.; Guillet, C.; Maul, J.-T.; Djamei, V.; Navarini, A.A.; Anzengruber, F. Gender Differences in Psoriasis: A Swiss Online Psoriasis Survey. Arch. Dermatol. Res. 2021, 313, 89–94. [Google Scholar] [CrossRef]
- Fiocchi, M.; Zagni, E.; Colombo, D. Psoriasis: Gender Perspective on Disease Characteristics and Treatment. J. Sex-Gend.-Specif. Med. 2021, 7, 164–168. [Google Scholar]
- Levi, S.S.; Ramot, Y. Gender Differences in Psoriasis. In Gender and Dermatology; Springer: Cham, Switzerland, 2018; pp. 63–81. [Google Scholar] [CrossRef]
- Napolitano, M.; Mastroeni, S.; Fania, L.; Pallotta, S.; Fusari, R.; Uras, C.; Panebianco, A.; Cavani, A.; Sampogna, F.; Abeni, D. Sex- and Gender-Associated Clinical and Psychosocial Characteristics of Patients with Psoriasis. Clin. Exp. Dermatol. 2020, 45, 705–711. [Google Scholar] [CrossRef]
- Damiani, G.; Bragazzi, N.L.; Karimkhani Aksut, C.; Wu, D.; Alicandro, G.; McGonagle, D.; Guo, C.; Dellavalle, R.; Grada, A.; Wong, P.; et al. The Global, Regional, and National Burden of Psoriasis: Results and Insights from the Global Burden of Disease 2019 Study. Front. Med. 2021, 8, 743180. [Google Scholar] [CrossRef]
- Dand, N.; Mahil, S.; Capon, F.; Smith, C.; Simpson, M.; Barker, J. Psoriasis and Genetics. Acta Derm. Venereol. 2020, 100, 55–65. [Google Scholar] [CrossRef]
- Mateu-Arrom, L.; Puig, L. Genetic and Epigenetic Mechanisms of Psoriasis. Genes 2023, 14, 1619. [Google Scholar] [CrossRef]
- Armstrong, A.W.; Read, C. Pathophysiology, Clinical Presentation, and Treatment of Psoriasis: A Review. JAMA 2020, 323, 1945–1960. [Google Scholar] [CrossRef]
- Griffiths, C.E.; Barker, J.N. Pathogenesis and Clinical Features of Psoriasis. Lancet 2007, 370, 263–271. [Google Scholar] [CrossRef]
- Ding, X.; Wang, T.; Shen, Y.; Wang, X.; Zhou, C.; Tian, S.; Liu, Y.; Peng, G.; Zhou, J.; Xue, S.; et al. Prevalence of Psoriasis in China: A Population-Based Study in Six Cities. Eur. J. Dermatol. 2012, 22, 663–667. [Google Scholar] [CrossRef]
- Bhagwat, A.P.; Madke, B. The Current Advancement in Psoriasis. Cureus 2023, 15, e47006. [Google Scholar] [CrossRef]
- Man, A.-M.; Orăsan, M.S.; Hoteiuc, O.-A.; Olănescu-Vaida-Voevod, M.-C.; Mocan, T. Inflammation and Psoriasis: A Comprehensive Review. Int. J. Mol. Sci. 2023, 24, 16095. [Google Scholar] [CrossRef]
- Potestio, L.; Martora, F.; Lauletta, G.; Vallone, Y.; Battista, T.; Megna, M. The Role of Interleukin 23/17 Axis in Psoriasis Management: A Comprehensive Review of Clinical Trials. Clin. Cosmet. Investig. Dermatol. 2024, 17, 829–842. [Google Scholar] [CrossRef]
- Juge-Aubry, C.E.; Henrichot, E.; Meier, C.A. Adipose Tissue: A Regulator of Inflammation. Best Pract. Res. Clin. Endocrinol. Metab. 2005, 19, 547–566. [Google Scholar] [CrossRef]
- Vata, D.; Tarcau, B.M.; Popescu, I.A.; Halip, I.A.; Patrascu, A.I.; Gheuca Solovastru, D.-F.; Mocanu, M.; Chiriac, P.C.; Gheuca Solovastru, L. Update on Obesity in Psoriasis Patients. Life 2023, 13, 1947. [Google Scholar] [CrossRef]
- Branisteanu, D.; Pirvulescu, R.; Spinu, A.; Porumb, E.; Cojocaru, M.; Nicolescu, A.; Branisteanu, D.; Branisteanu, C.; Dimitriu, A.; Alexa, A.; et al. Metabolic Comorbidities of Psoriasis (Review). Exp. Ther. Med. 2021, 23, 179. [Google Scholar] [CrossRef]
- Park, Y.-W.; Zhu, S.; Palaniappan, L.; Heshka, S.; Carnethon, M.R.; Heymsfield, S.B. The Metabolic Syndrome. Arch. Intern. Med. 2003, 163, 427–436. [Google Scholar] [CrossRef]
- Jha, B.K.; Sherpa, M.L.; Imran, M.; Mohammed, Y.; Jha, L.A.; Paudel, K.R.; Jha, S.K. Progress in Understanding Metabolic Syndrome and Knowledge of Its Complex Pathophysiology. Diabetology 2023, 4, 134–159. [Google Scholar] [CrossRef]
- Wu, J.J.; Kavanaugh, A.; Lebwohl, M.G.; Gniadecki, R.; Merola, J.F. Psoriasis and Metabolic Syndrome: Implications for the Management and Treatment of Psoriasis. J. Eur. Acad. Dermatol. Venereol. 2022, 36, 797–806. [Google Scholar] [CrossRef]
- Su, R.; Zhao, S.; Zhang, J.; Cao, M.; Peng, S. Metabolic Influences on T Cell in Psoriasis: A Literature Review. Front. Immunol. 2023, 14, 1279846. [Google Scholar] [CrossRef]
- Secchiero, P.; Rimondi, E.; Marcuzzi, A.; Longo, G.; Papi, C.; Manfredini, M.; Fields, M.; Caruso, L.; Di Caprio, R.; Balato, A. Metabolic Syndrome and Psoriasis: Pivotal Roles of Chronic Inflammation and Gut Microbiota. Int. J. Mol. Sci. 2024, 25, 8098. [Google Scholar] [CrossRef]
- Erichsen, C.Y.; Jensen, P.; Kofoed, K. Biologic Therapies Targeting the Interleukin (IL)-23/IL-17 Immune Axis for the Treatment of Moderate-To-Severe Plaque Psoriasis: A Systematic Review and Meta-Analysis. J. Eur. Acad. Dermatol. Venereol. 2019, 34, 30–38. [Google Scholar] [CrossRef]
- Hawkes, J.E.; Yan, B.Y.; Chan, T.C.; Krueger, J.G. Discovery of the IL-23/IL-17 Signaling Pathway and the Treatment of Psoriasis. J. Immunol. 2018, 201, 1605–1613. [Google Scholar] [CrossRef]
- Jang, D.; Lee, A.-H.; Shin, H.-Y.; Song, H.-R.; Park, J.-H.; Kang, T.-B.; Lee, S.-R.; Yang, S.-H. The Role of Tumor Necrosis Factor Alpha (TNF-α) in Autoimmune Disease and Current TNF-α Inhibitors in Therapeutics. Int. J. Mol. Sci. 2021, 22, 2719. [Google Scholar] [CrossRef]
- Raychaudhuri, S.P.; Raychaudhuri, S.K. Biologics: Target-specific treatment of systemic and cutaneous autoimmune diseases. Indian J. Dermatol. 2009, 54, 100–109. [Google Scholar] [CrossRef]
- Voiculescu, V.; Lupu, M.; Papagheorghe, L.; Giurcaneanu, C.; Micu, E. Psoriasis and Metabolic Syndrome—Scientific Evidence and Therapeutic Implications. J. Med. Life 2014, 7, 468–471. [Google Scholar]
- Daugaard, C.; Iversen, L.; Hjuler, K.F. Comorbidity in Adult Psoriasis: Considerations for the Clinician. Psoriasis Targets Ther. 2022, 12, 139–150. [Google Scholar] [CrossRef]
- Silva, M.F.P.d.; Fortes, M.R.P.; Miot, L.D.B.; Marques, S.A. Psoriasis: Correlation between Severity Index (PASI) and Systemic Treatment. An. Bras. Dermatol. 2013, 88, 760–763. [Google Scholar] [CrossRef]
- Manchanda, Y.; De, A.; Das, S.; Chakraborty, D. Disease Assessment in Psoriasis. Indian J. Dermatol. 2023, 68, 278–281. [Google Scholar] [CrossRef]
- Carlin, C.S.; Feldman, S.R.; Krueger, J.G.; Menter, A.; Krueger, G.G. A 50% Reduction in the Psoriasis Area and Severity Index (PASI 50) Is a Clinically Significant Endpoint in the Assessment of Psoriasis. J. Am. Acad. Dermatol. 2004, 50, 859–866. [Google Scholar] [CrossRef]
- Nicolescu, A.; Ionescu, M.; Constantin, M.; Ancuta, I.; Ionescu, S.; Niculeț, E.; Laurențiu Tatu, A.; Zirpel, H.; Thaçi, D. Psoriasis Management Challenges Regarding Difficult-To-Treat Areas: Therapeutic Decision and Effectiveness. Life 2022, 12, 2050. [Google Scholar] [CrossRef]
- Mustata, M.-L.; Neagoe, C.-D.; Ionescu, M.; Predoi, M.-C.; Mitran, A.-M.; Ianosi, S.-L. Clinical Implications of Metabolic Syndrome in Psoriasis Management. Diagnostics 2024, 14, 1774. [Google Scholar] [CrossRef]
- Kim, J.-E.; Kim, J.-S.; Jo, M.-J.; Cho, E.; Ahn, S.-Y.; Kwon, Y.-J.; Ko, G.-J. The Roles and Associated Mechanisms of Adipokines in Development of Metabolic Syndrome. Molecules 2022, 27, 334. [Google Scholar] [CrossRef]
- Armstrong, A.W.; Harskamp, C.T.; Armstrong, E.J. Psoriasis and Metabolic Syndrome: A Systematic Review and Meta-Analysis of Observational Studies. J. Am. Acad. Dermatol. 2013, 68, 654–662. [Google Scholar] [CrossRef]
- Gelfand, J.M.; Yeung, H. Metabolic Syndrome in Patients with Psoriatic Disease. J. Rheumatol. Suppl. 2012, 89, 24–28. [Google Scholar] [CrossRef]
- Guo, J.; Zhang, H.; Lin, W.; Lu, L.; Su, J.; Chen, X. Signaling Pathways and Targeted Therapies for Psoriasis. Signal Transduct. Target. Ther. 2023, 8, 437. [Google Scholar] [CrossRef]
- Ioniță-Radu, F.; Nicolau, I.-N.; Petrache, O.-G.; Groșeanu, M.-L.; Bojincă, V.-C.; Negru, M.-M.; Bucurică, S.; Anghel, D. Correlation between Trabecular Bone Score and Homocysteine Level in Rheumatoid Arthritis Patients on Anti-TNF Inhibitors. Life 2024, 14, 463. [Google Scholar] [CrossRef]
- Pinter, A.; Schwarz, P.; Gerdes, S.; Simon, J.C.; Saalbach, A.; Rush, J.; Melzer, N.; Kramps, T.; Häberle, B.; Reinhardt, M. Biologic Treatment in Combination with Lifestyle Intervention in Moderate to Severe Plaque Psoriasis and Concomitant Metabolic Syndrome: Rationale and Methodology of the METABOLyx Randomized Controlled Clinical Trial. Nutrients 2021, 13, 3015. [Google Scholar] [CrossRef]
- Talamonti, M.; Galluzzo, M.; Bernardini, N.; Caldarola, G.; Persechino, S.; Cantoresi, F.; Egan, C.G.; Potenza, C.; Peris, K.; Bianchi, L. Psoriasis Area and Severity Index Response in Moderate-Severe Psoriatic Patients Switched to Adalimumab: Results from the OPPSA Study. JEADV J. Eur. Acad. Dermatol. Venereol. 2018, 32, 1737–1744. [Google Scholar] [CrossRef]
- Enos, C.W.; Ramos, V.L.; McLean, R.R.; Lin, T.-C.; Foster, N.; Dube, B.; Van Voorhees, A.S. Comorbid Obesity and History of Diabetes Are Independently Associated with Poorer Treatment Response to Biologics at 6 Months: A Prospective Analysis in Corrona Psoriasis Registry. J. Am. Acad. Dermatol. 2021, 86, 68–76. [Google Scholar] [CrossRef]
- Huang, D.; Zhong, X.; Jiang, Y.; Kong, L.; Ma, R.; Lu, J.; Li, Y.; Shi, Y. Insulin Resistance Impairs Biologic Agent Response in Moderate-To-Severe Plaque Psoriasis: Insights from a Prospective Cohort Study in China. Br. J. Dermatol. 2024, 191, 616–623. [Google Scholar] [CrossRef]
- Feldman, S.R.; Merola, J.F.; Pariser, D.M.; Zhang, J.; Zhao, Y.; Mendelsohn, A.M.; Gottlieb, A.B. Clinical Implications and Predictive Values of Early PASI Responses to Tildrakizumab in Patients with Moderate-To-Severe Plaque Psoriasis. J. Dermatol. Treat. 2022, 33, 1670–1675. [Google Scholar] [CrossRef]
- Trinchieri, G. Interleukin-12 and the Regulation of Innate Resistance and Adaptive Immunity. Nat. Rev. Immunol. 2003, 3, 133–146. [Google Scholar] [CrossRef]
- Oppmann, B.; Lesley, R.; Blom, B.; Timans, J.C.; Xu, Y.; Hunte, B.; Vega, F.; Yu, N.; Wang, J.; Singh, K.; et al. Novel P19 Protein Engages IL-12p40 to Form a Cytokine, IL-23, with Biological Activities Similar as Well as Distinct from IL-12. Immunity 2000, 13, 715–725. [Google Scholar] [CrossRef]
- Liu, T.; Li, S.; Ying, S.; Tang, S.; Ding, Y.; Li, Y.; Qiao, J.; Fang, H. The IL-23/IL-17 Pathway in Inflammatory Skin Diseases: From Bench to Bedside. Front. Immunol. 2020, 11, 594735. [Google Scholar] [CrossRef]
- Zhou, X.; Chen, Y.; Cui, L.; Shi, Y.; Guo, C. Advances in the Pathogenesis of Psoriasis: From Keratinocyte Perspective. Cell Death Dis. 2022, 13, 81. [Google Scholar] [CrossRef]
- Girolomoni, G.; Strohal, R.; Puig, L.; Bachelez, H.; Barker, J.; Boehncke, W.H.; Prinz, J.C. The Role of IL-23 and the IL-23/TH 17 Immune Axis in the Pathogenesis and Treatment of Psoriasis. J. Eur. Acad. Dermatol. Venereol. 2017, 31, 1616–1626. [Google Scholar] [CrossRef]
- Krueger, J.G.; Eyerich, K.; Kuchroo, V.K.; Ritchlin, C.T.; Abreu, M.T.; Elloso, M.M.; Fourie, A.; Fakharzadeh, S.; Sherlock, J.P.; Yang, Y.-W.; et al. IL-23 Past, Present, and Future: A Roadmap to Advancing IL-23 Science and Therapy. Front. Immunol. 2024, 15, 1331217. [Google Scholar] [CrossRef]
- Yao, Z.; Painter, S.L.; Fanslow, W.C.; Ulrich, D.; Macduff, B.M.; Spriggs, M.K.; Armitage, R.J. Human IL-17: A Novel Cytokine Derived from T Cells. J. Immunol. 1995, 155, 5483–5486. [Google Scholar] [CrossRef]
- Nestle, F.O.; Kaplan, D.H.; Barker, J. Mechanisms of disease: Psoriasis. N. Engl. J. Med. 2009, 361, 496–509. [Google Scholar] [CrossRef]
- Lowes, M.A.; Kikuchi, T.; Fuentes-Duculan, J.; Cardinale, I.; Zaba, L.C.; Haider, A.S.; Bowman, E.P.; Krueger, J.G. Psoriasis Vulgaris Lesions Contain Discrete Populations of Th1 and Th17 T Cells. J. Investig. Dermatol. 2008, 128, 1207–1211. [Google Scholar] [CrossRef]
- Xu, S.; Zhang, X.; Pan, M.; Shuai, Z.; Xu, S.; Pan, F. Treatment of Plaque Psoriasis with IL-23p19 Blockers: A Systematic Review and Meta-Analysis. Int. Immunopharmacol. 2019, 75, 105841. [Google Scholar] [CrossRef]
- Yao, C.J.; Lebwohl, M.G. Onset of Action of Antipsoriatic Drugs for Moderate-to-Severe Plaque Psoriasis: An Update. J. Drugs Dermatol. 2019, 18, 229–233. [Google Scholar] [PubMed]
- Egeberg, A.; Andersen, Y.M.F.; Halling-Overgaard, A.; Alignahi, F.; Thyssen, J.P.; Burge, R.; Mallbris, L. Systematic review on rapidity of onset of action for interleukin-17 and interleukin-23 inhibitors for psoriasis. J. Eur. Acad. Dermatol. Venereol. 2020, 34, 39–46. [Google Scholar] [CrossRef] [PubMed]
- Rusiñol, L.; Carmona-Rocha, E.; Puig, L. Durability and Long-Term Outcomes of Biologic Therapies in Psoriasis. Expert Rev. Clin. Immunol. 2023, 20, 71–82. [Google Scholar] [CrossRef]
- Tomalin, L.E.; Russell, C.B.; Garcet, S.; Ewald, D.A.; Klekotka, P.; Nirula, A.; Norsgaard, H.; Suàrez-Fariñas, M.; Krueger, J.G. Short-Term Transcriptional Response to IL-17 Receptor-A Antagonism in the Treatment of Psoriasis. J. Allergy Clin. Immunol. 2020, 145, 922–932. [Google Scholar] [CrossRef]
- Ghoreschi, K.; Balato, A.; Enerbäck, C.; Sabat, R. Therapeutics Targeting the IL-23 and IL-17 Pathway in Psoriasis. Lancet 2021, 397, 754–766. [Google Scholar] [CrossRef]
- Menter, A.; Krueger, G.G.; Paek, S.Y.; Kivelevitch, D.; Adamopoulos, I.E.; Langley, R.G. Interleukin-17 and Interleukin-23: A Narrative Review of Mechanisms of Action in Psoriasis and Associated Comorbidities. Dermatol. Ther. 2021, 11, 385–400. [Google Scholar] [CrossRef]
- Anghel, D.; Sîrbu, C.A.; Petrache, O.-G.; Opriș-Belinski, D.; Negru, M.M.; Bojincă, V.-C.; Pleșa, C.F.; Ioniță Radu, F. Nailfold Videocapillaroscopy in Patients with Rheumatoid Arthritis and Psoriatic Arthropathy on ANTI-TNF-ALPHA Therapy. Diagnostics 2023, 13, 2079. [Google Scholar] [CrossRef]
- Bradley, J.R. TNF-Mediated Inflammatory Disease. J. Pathol. 2008, 214, 149–160. [Google Scholar] [CrossRef]
- Krueger, J.G. The Immunologic Basis for the Treatment of Psoriasis with New Biologic Agents. J. Am. Acad. Dermatol. 2002, 46, 1–26. [Google Scholar] [CrossRef]
- Gottlieb, A.B.; Chamian, F.; Masud, S.; Cardinale, I.; Abello, M.V.; Lowes, M.A.; Chen, F.; Magliocco, M.; Krueger, J.G. TNF Inhibition Rapidly Down-Regulates Multiple Proinflammatory Pathways in Psoriasis Plaques. J. Immunol. 2005, 175, 2721–2729. [Google Scholar] [CrossRef]
- Al-Mansoori, L.; Al-Jaber, H.; Prince, M.S.; Elrayess, M.A. Role of Inflammatory Cytokines, Growth Factors and Adipokines in Adipogenesis and Insulin Resistance. Inflammation 2021, 45, 31–44. [Google Scholar] [CrossRef] [PubMed]
- Puig, L. Obesity and Psoriasis: Body Weight and Body Mass Index Influence the Response to Biological Treatment. J. Eur. Acad. Dermatol. Venereol. 2011, 25, 1007–1011. [Google Scholar] [CrossRef] [PubMed]
- Zafiriou, E.; Daponte, A.I.; Siokas, V.; Tsigalou, C.; Dardiotis, E.; Bogdanos, D.P. Depression and Obesity in Patients with Psoriasis and Psoriatic Arthritis: Is IL-17-Mediated Immune Dysregulation the Connecting Link? Front. Immunol. 2021, 12, 699848. [Google Scholar] [CrossRef] [PubMed]
- Shan, J.; Zhang, J. Impact of Obesity on the Efficacy of Different Biologic Agents in Inflammatory Diseases: A Systematic Review and Meta-Analysis. Jt. Bone Spine 2019, 86, 173–183. [Google Scholar] [CrossRef]
- Naldi, L.; Addis, A.; Chimenti, S.; Giannetti, A.; Picardo, M.; Tomino, C.; Maccarone, M.; Chatenoud, L.; Bertuccio, P.; Caggese, E.; et al. Impact of Body Mass Index and Obesity on Clinical Response to Systemic Treatment for Psoriasis. Dermatology 2008, 217, 365–373. [Google Scholar] [CrossRef]
- Di Lernia, V.; Tasin, L.; Pellicano, R.; Zumiani, G.; Albertini, G. Impact of Body Mass Index on Retention Rates of Anti-TNF-Alfa Drugs in Daily Practice for Psoriasis. J. Dermatol. Treat. 2011, 23, 404–409. [Google Scholar] [CrossRef]
- Singh, S.; Facciorusso, A.; Singh, A.G.; Casteele, N.V.; Zarrinpar, A.; Prokop, L.J.; Grunvald, E.L.; Curtis, J.R.; Sandborn, W.J. Obesity and Response to Anti-Tumor Necrosis Factor-α Agents in Patients with Select Immune-Mediated Inflammatory Diseases: A Systematic Review and Meta-Analysis. PLoS ONE 2018, 13, e0195123. [Google Scholar] [CrossRef]
- Højgaard, P.; Glintborg, B.; Kristensen, L.E.; Gudbjornsson, B.; Love, T.J.; Dreyer, L. The Influence of Obesity on Response to Tumour Necrosis Factor-α Inhibitors in Psoriatic Arthritis: Results from the DANBIO and ICEBIO Registries. Rheumatology 2016, 55, 2191–2199. [Google Scholar] [CrossRef]
- Andres-Ejarque, R.; Ale, H.B.; Grys, K.; Tosi, I.; Solanky, S.; Ainali, C.; Catak, Z.; Sreeneebus, H.; Saklatvala, J.; Dand, N.; et al. Enhanced NF-ΚB Signaling in Type-2 Dendritic Cells at Baseline Predicts Non-Response to Adalimumab in Psoriasis. Nat. Commun. 2021, 12, 4741. [Google Scholar] [CrossRef]
- Zhou, Y.; Yang, L.; Lyu, Y.; Wu, D.; Zhu, Y.; Li, J.; Jiang, D.; Xin, X.; Yin, L. Topical Delivery of ROS-Responsive Methotrexate Prodrug Nanoassemblies by a Dissolvable Microneedle Patch for Psoriasis Therapy. Int. J. Nanomed. 2023, 18, 899–915. [Google Scholar] [CrossRef]
- Sm, R.; Faruk; Chowdhury, K.; Kamal, S.; Mohit, I.; Chowdhury, S.; Momin, L.; Rahman, S. Radiation Induced Skin Injury Including Cancer Versus Application of UV Radiation Therapy for Skin Review Article Radiation Induced Skin Injury Including Cancer Versus Application of UV Radiation Therapy for Skin Disease. Available online: https://ecronicon.net/assets/eccmc/pdf/ECCMC-02-00062.pdf (accessed on 13 November 2024).
- Dobrică, E.-C.; Cozma, M.-A.; Găman, M.-A.; Voiculescu, V.-M.; Găman, A.M. The Involvement of Oxidative Stress in Psoriasis: A Systematic Review. Antioxidants 2022, 11, 282. [Google Scholar] [CrossRef] [PubMed]
- Gerdes, S.; Rostami-Yazdi, M.; Mrowietz, U. Adipokines and Psoriasis. Exp. Dermatol. 2011, 20, 81–87. [Google Scholar] [CrossRef] [PubMed]
- Martinelli, S.; Nannini, G.; Cianchi, F.; Coratti, F.; Amedei, A. The Impact of Microbiota–Immunity–Hormone Interactions on Autoimmune Diseases and Infection. Biomedicines 2024, 12, 616. [Google Scholar] [CrossRef] [PubMed]
- Rosset, F.; Mastorino, L.; Dapavo, P.; Ortoncelli, M.; Quaglino, P.; Ribero, S. Aging Impact in Response to Different Classes of Biological Treatment in Psoriatic Patients: A Real-Life Observational Study. J. Clin. Med. 2023, 12, 7215. [Google Scholar] [CrossRef]
- Gonzalez-Cantero, A.; Constantin, M.M.; Dattola, A.; Hillary, T.; Kleyn, E.; Magnolo, N. Gender Perspective in Psoriasis: A Scoping Review and Proposal of Strategies for Improved Clinical Practice by European Dermatologists. Int. J. Women’s Dermatol. 2023, 9, e112. [Google Scholar] [CrossRef]
- Lord, G.M. Leptin as a Proinflammatory Cytokine. Contrib. Nephrol. 2006, 151, 151–164. [Google Scholar] [CrossRef]
- Naylor, C.; Petri, W.A. Leptin Regulation of Immune Responses. Trends Mol. Med. 2016, 22, 88–98. [Google Scholar] [CrossRef]
- Xue, K.; Liu, H.; Jian, Q.; Liu, B.; Zhu, D.; Zhang, M.; Gao, L.; Li, C. Leptin Induces Secretion of Pro-Inflammatory Cytokines by Human Keratinocytesin Vitro—A Possible Reason for Increased Severity of Psoriasis in Patients with a High Body Mass Index. Exp. Dermatol. 2013, 22, 406–410. [Google Scholar] [CrossRef]
- Watanabe, Y.; Yamaguchi, Y.; Takamura, N.; Komitsu, N.; Aihara, M. Leptin Induces Interleukin-6 Production in Keratinocytes via Decreased Expression of Caveolin-1: A Possible Link between Obesity and Psoriatic Inflammation. Br. J. Dermatol. 2020, 183, 768–770. [Google Scholar] [CrossRef]
- Ommen, P.; Stjernholm, T.; Kragstrup, T.; Raaby, L.; Johansen, C.; Stenderup, K.; Iversen, L.; Rosada, C. The Role of Leptin in Psoriasis Comprises a Proinflammatory Response by the Dermal Fibroblast. Br. J. Dermatol. 2015, 174, 187–190. [Google Scholar] [CrossRef]
- Karampinis, E.; Papadopoulou, M.-M.; Chaidaki, K.; Georgopoulou, K.-E.; Magaliou, S.; Roussaki Schulze, A.V.; Bogdanos, D.P.; Zafiriou, E. Plaque Psoriasis Exacerbation and COVID-19 Vaccination: Assessing the Characteristics of the Flare and the Exposome Parameters. Vaccines 2024, 12, 178. [Google Scholar] [CrossRef]





| Parameter | Values | PSO-MS | PSO | Total | p |
|---|---|---|---|---|---|
| 74 Patients | 76 Patients | 150 Patients | |||
| Gender | F | 20 (34.48%) | 38 (65.52%) | 58 (38.67%) | 0.004 * |
| 27.03% | 50% | ||||
| M | 54 (58.7%) | 38 (41.3%) | 92 (61.33%) | ||
| 72.97% | 50% | ||||
| Age group (years old) | ≤49 | 22 (46.81%) | 25 (53.19%) | 47 (100%) | 0.813 * |
| 29.73% | 32.89% | ||||
| 50–59 | 24 (48%) | 26 (52%) | 50 (100%) | ||
| 32.43% | 34.21% | ||||
| ≥60 | 28 (52.83%) | 25 (47.17%) | 53 (100%) | ||
| 37.84% | 32.89% | ||||
| Therapy type | Anti-IL-17 | 16 (50%) | 16 (50%) | 32 (100%) | 0.110 * |
| 21.62% | 21.05% | ||||
| Anti-IL-23 | 24 (52.17%) | 22 (47.83%) | 46 (100%) | ||
| 32.43% | 28.95% | ||||
| Anti-TNF-α | 20 (38.46%) | 32 (61.54%) | 52 (100%) | ||
| 27.03% | 42.11% | ||||
| Methotrexate | 14 (70%) | 6 (30%) | 20 (100%) | ||
| 18.92% | 7.89% |
| Stage | PASI Index—n (%) | |||||
|---|---|---|---|---|---|---|
| PSO-MS Group | PSO Group | |||||
| Mild | Moderate | Severe | Mild | Moderate | Severe | |
| Beginning (BG) | 0 (0.0%) | 0 (0.0%) | 74 (100.0%) | 0 (0.0%) | 4 (5.26%) | 72 (94.74%) |
| Follow-up at 3 months (3MF) | 32 (43.24%) | 20 (27.03%) | 22 (29.73%) | 36 (47.37%) | 26 (34.21%) | 14 (18.42%) |
| Follow-up at 6 months (6MF) | 50 (67.57%) | 10 (13.51%) | 14 (18.92%) | 64 (84.21%) | 12 (15.79%) | 0 (0.0%) |
| Follow-up at 12 months (12MF) | 52 (70.27%) | 22 (29.73%) | 0 (0.0%) | 74 (97.37%) | 2 (2.63%) | 0 (0.0%) |
| Parameter | After the Diagnosis | After 1 Year | ||||
|---|---|---|---|---|---|---|
| PSO-MS | PSO | p | PSO-MS | PSO | p | |
| Median | Median | Median | Median | |||
| Cholesterol | 230.63 | 219.00 | 0.026 | 212.100 | 205.090 | 0.299 |
| TG | 238.00 | 123.55 | <0.0005 | 186.000 | 95.645 | <0.0005 |
| ASAT | 21.00 | 19.20 | 0.845 | 19.600 | 21.300 | 0.916 |
| ALAT | 26.90 | 21.10 | 0.007 | 24.100 | 20.250 | 0.014 |
| Leptin | 1131.089 | 481.183 | <0.0005 | 744.621 | 299.311 | <0.0005 |
| PASI | 21.00 | 14.90 | 0.029 | 2.000 | 1.200 | 0.209 |
| HDL | 36.00 | 55.62 | <0.0005 | 50.000 | 58.000 | <0.0005 |
| After the Diagnosis | After 1 Year | |||
|---|---|---|---|---|
| Tau-b Coefficient τb | p | Tau-b Coefficient τb | p | |
| Cholesterol | 0.226 | <0.0005 | 0.061 | 0.288 |
| TG | 0.221 | <0.0005 | 0.104 | 0.069 |
| ASAT | 0.120 | 0.032 | 0.126 | 0.028 |
| ALAT | 0.043 | 0.439 | 0.180 | 0.002 |
| Leptin | 0.191 | 0.001 | 0.322 | <0.0005 |
| HDL | −0.134 | 0.016 | −0.117 | 0.043 |
Disclaimer/Publisher’s Note: The statements, opinions and data contained in all publications are solely those of the individual author(s) and contributor(s) and not of MDPI and/or the editor(s). MDPI and/or the editor(s) disclaim responsibility for any injury to people or property resulting from any ideas, methods, instructions or products referred to in the content. |
© 2024 by the authors. Licensee MDPI, Basel, Switzerland. This article is an open access article distributed under the terms and conditions of the Creative Commons Attribution (CC BY) license (https://creativecommons.org/licenses/by/4.0/).
Share and Cite
Mustață, M.-L.; Ionescu, M.; Radu, L.; Neagoe, C.-D.; Ahrițculesei, R.-V.; Cîmpeanu, R.-C.; Matei, D.; Amzolini, A.-M.; Predoi, M.-C.; Ianoși, S.-L. The Role of Metabolic Syndrome in Psoriasis Treatment Response: A One-Year Comparative Analysis of PASI Progression. Diagnostics 2024, 14, 2887. https://doi.org/10.3390/diagnostics14242887
Mustață M-L, Ionescu M, Radu L, Neagoe C-D, Ahrițculesei R-V, Cîmpeanu R-C, Matei D, Amzolini A-M, Predoi M-C, Ianoși S-L. The Role of Metabolic Syndrome in Psoriasis Treatment Response: A One-Year Comparative Analysis of PASI Progression. Diagnostics. 2024; 14(24):2887. https://doi.org/10.3390/diagnostics14242887
Chicago/Turabian StyleMustață, Maria-Lorena, Mihaela Ionescu, Lucrețiu Radu, Carmen-Daniela Neagoe, Roxana-Viorela Ahrițculesei, Radu-Cristian Cîmpeanu, Daniela Matei, Anca-Maria Amzolini, Maria-Cristina Predoi, and Simona-Laura Ianoși. 2024. "The Role of Metabolic Syndrome in Psoriasis Treatment Response: A One-Year Comparative Analysis of PASI Progression" Diagnostics 14, no. 24: 2887. https://doi.org/10.3390/diagnostics14242887
APA StyleMustață, M.-L., Ionescu, M., Radu, L., Neagoe, C.-D., Ahrițculesei, R.-V., Cîmpeanu, R.-C., Matei, D., Amzolini, A.-M., Predoi, M.-C., & Ianoși, S.-L. (2024). The Role of Metabolic Syndrome in Psoriasis Treatment Response: A One-Year Comparative Analysis of PASI Progression. Diagnostics, 14(24), 2887. https://doi.org/10.3390/diagnostics14242887

