Fully Automated Assessment of Cardiac Chamber Volumes and Myocardial Mass on Non-Contrast Chest CT with a Deep Learning Model: Validation Against Cardiac MR
Abstract
1. Background
2. Methods
2.1. Study Sample
2.2. Patient Characteristics
2.3. CMR: Imaging and Expert Segmentations as a Reference Standard
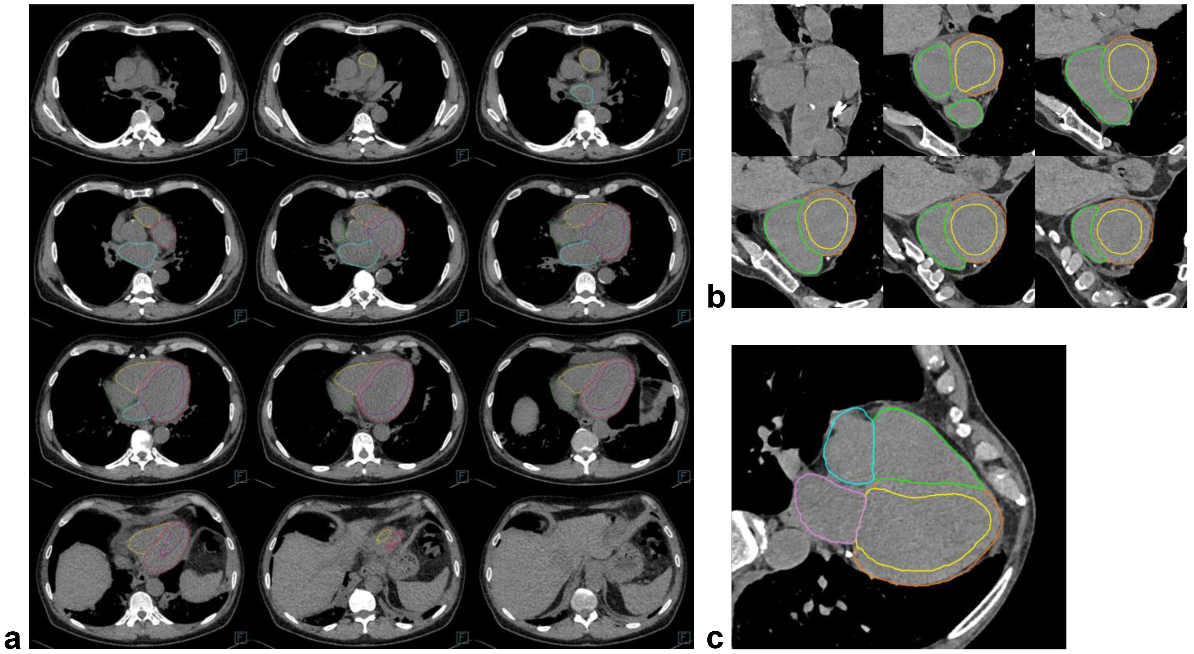
2.4. Non-Contrast Chest CT: Imaging and Fully Automatic Cardiac Segmentations
2.5. Statistics
3. Results
3.1. Availability of CT Measurements
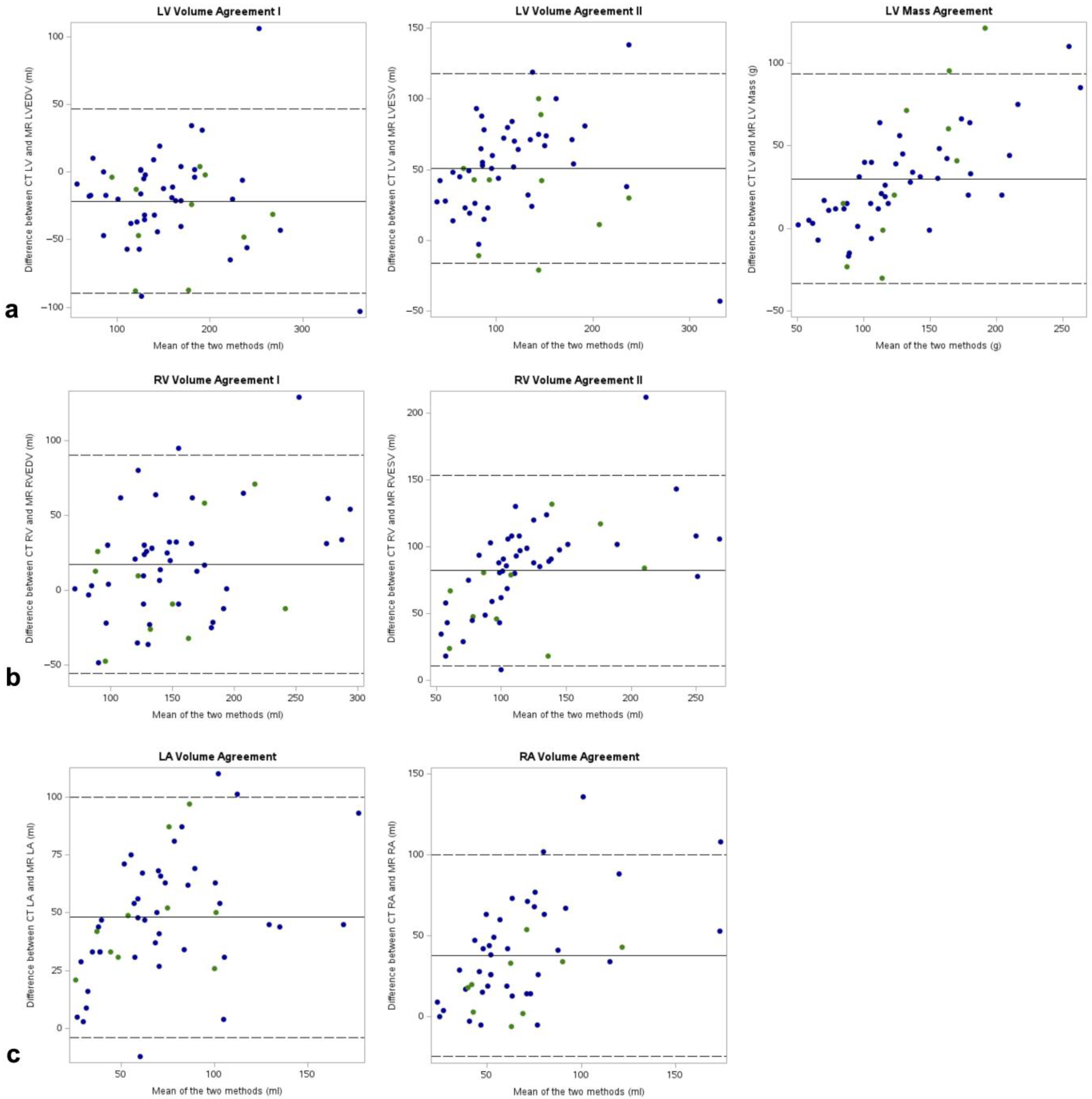
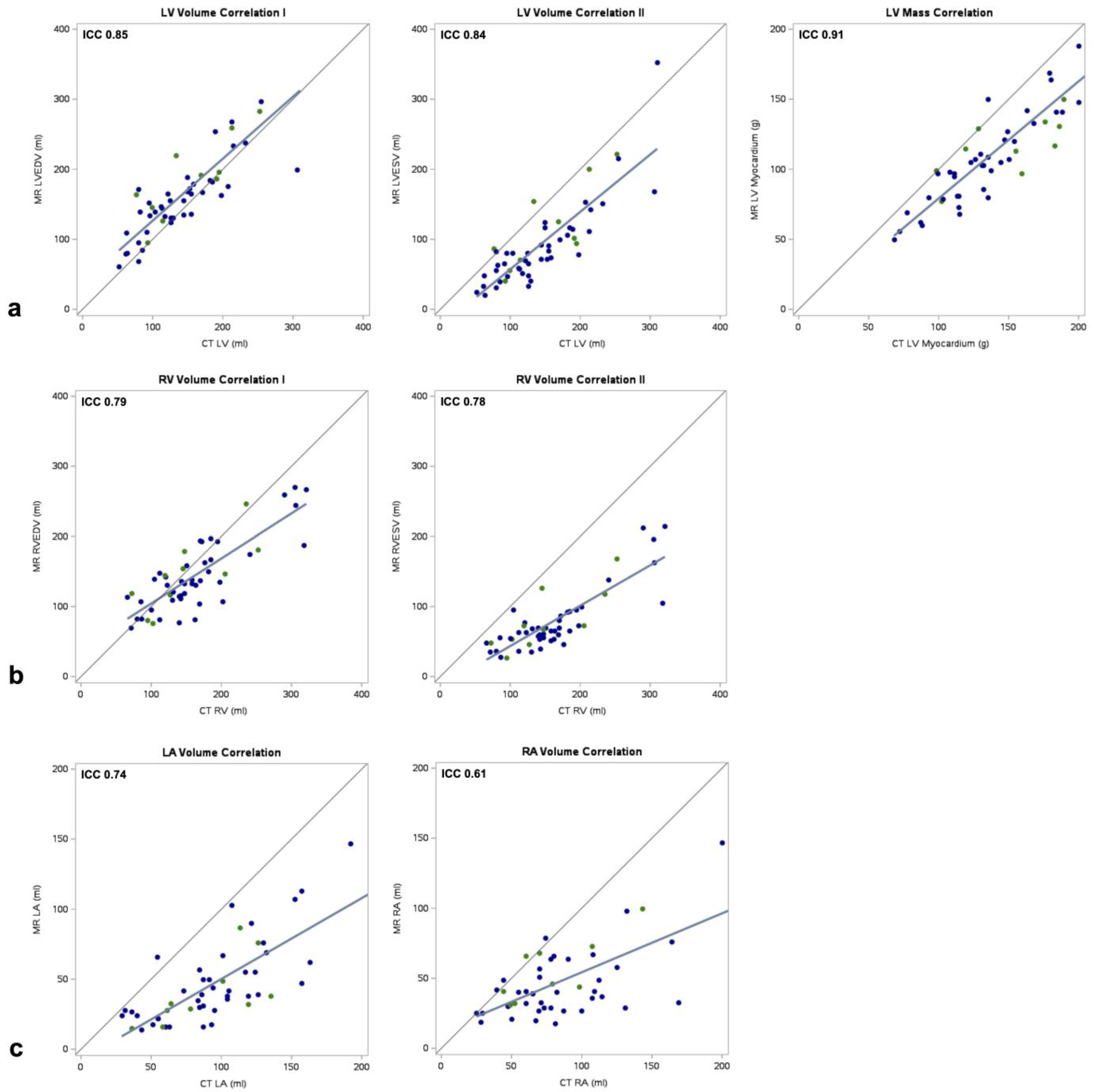
3.2. Non-Contrast CT for the Assessment of Left Ventricular Volume and Myocardial Mass
3.3. Non-Contrast CT for the Assessment of Right Ventricular Volume
3.4. Non-Contrast CT for the Assessment of Atrial Volumes
3.5. Visual Quality Assessment of the CT Segmentations
4. Discussion
Supplementary Materials
Author Contributions
Funding
Institutional Review Board Statement
Informed Consent Statement
Data Availability Statement
Conflicts of Interest
Correction Statement
Abbreviations
| BMI | body mass index |
| BSA | body surface area |
| CMR | cardiac magnetic resonance imaging |
| CT | computed tomography |
| CTLA | CT-based measurement: left-atrial volume |
| CTLV | CT-based measurement: left-ventricular volume |
| CTLVM | CT-based measurement: left-ventricular mass |
| CTRA | CT-based measurement: right-atrial volume |
| CTRV | CT-based measurement: right-ventricular volume |
| ECG | electrocardiogram |
| ICC | intraclass correlation coefficient |
| LA | left atrium |
| LV | left ventricle |
| MR | magnetic resonance (imaging) |
| MRLA | MR-based measurement: left-atrial volume |
| MRLVEDV | MR-based measurement: left-ventricular end-diastolic volume |
| MRLVESV | MR-based measurement: left-ventricular end-systolic volume |
| MRLVM | MR-based measurement: left-ventricular mass |
| MRRA | MR-based measurement: right-atrial volume |
| MRRVEDV | MR-based measurement: right-ventricular end-diastolic volume |
| MRRVESV | MR-based measurement: right-ventricular end-systolic volume |
| RA | right atrium |
| RV | right ventricle |
References
- Virani, S.S.; Alonso, A.; Benjamin, E.J.; Bittencourt, M.S.; Callaway, C.W.; Carson, A.P.; Chamberlain, A.M.; Chang, A.R.; Cheng, S.; Delling, F.N.; et al. Heart Disease and Stroke Statistics-2020 Update: A Report from the American Heart Association. Circulation 2020, 141, e139–e596. [Google Scholar] [CrossRef] [PubMed]
- Disease, G.B.D.; Injury, I.; Prevalence, C. Global, regional, and national incidence, prevalence, and years lived with disability for 354 diseases and injuries for 195 countries and territories, 1990–2017: A systematic analysis for the Global Burden of Disease Study 2017. Lancet 2018, 392, 1789–1858. [Google Scholar] [CrossRef]
- Conrad, N.; Judge, A.; Tran, J.; Mohseni, H.; Hedgecott, D.; Crespillo, A.P.; Allison, M.; Hemingway, H.; Cleland, J.G.; McMurray, J.J.V.; et al. Temporal trends and patterns in heart failure incidence: A population-based study of 4 million individuals. Lancet 2018, 391, 572–580. [Google Scholar] [CrossRef]
- van Riet, E.E.; Hoes, A.W.; Wagenaar, K.P.; Limburg, A.; Landman, M.A.; Rutten, F.H. Epidemiology of heart failure: The prevalence of heart failure and ventricular dysfunction in older adults over time. A systematic review. Eur. J. Heart Fail. 2016, 18, 242–252. [Google Scholar] [CrossRef]
- Bleumink, G.S.; Knetsch, A.M.; Sturkenboom, M.C.; Straus, S.M.; Hofman, A.; Deckers, J.W.; Witteman, J.C.; Stricker, B.H. Quantifying the heart failure epidemic: Prevalence, incidence rate, lifetime risk and prognosis of heart failure The Rotterdam Study. Eur. Heart J. 2004, 25, 1614–1619. [Google Scholar] [CrossRef]
- Aquino, G.J.; Chamberlin, J.; Mercer, M.; Kocher, M.; Kabakus, I.; Akkaya, S.; Fiegel, M.; Brady, S.; Leaphart, N.; Dippre, A.; et al. Deep learning model to quantify left atrium volume on routine non-contrast chest CT and predict adverse outcomes. J. Cardiovasc. Comput. Tomogr. 2022, 16, 245–253. [Google Scholar] [CrossRef]
- Shahzad, R.; Bos, D.; Budde, R.P.; Pellikaan, K.; Niessen, W.J.; van der Lugt, A.; van Walsum, T. Automatic segmentation and quantification of the cardiac structures from non-contrast-enhanced cardiac CT scans. Phys. Med. Biol. 2017, 62, 3798–3813. [Google Scholar] [CrossRef] [PubMed]
- Lartaud, P.J.; Halle, D.; Schleef, A.; Dessouky, R.; Vlachomitrou, A.S.; Douek, P.; Rouet, J.M.; Nempont, O.; Boussel, L. Spectral augmentation for heart chambers segmentation on conventional contrasted and unenhanced CT scans: An in-depth study. Int. J. Comput. Assist. Radiol. Surg. 2021, 16, 1699–1709. [Google Scholar] [CrossRef] [PubMed]
- Jacob, A.J.; Abdelkarim, O.; Zook, S.; Kragholm, K.H.; Gupta, P.; Cocker, M.; Giraldo, J.R.; Doherty, J.O.; Schoebinger, M.; Schwemmer, C.; et al. AI-based, automated chamber volumetry from gated, non-contrast CT. J. Cardiovasc. Comput. Tomogr. 2023, 17, 336–340. [Google Scholar] [CrossRef]
- Petersen, S.E.; Khanji, M.Y.; Plein, S.; Lancellotti, P.; Bucciarelli-Ducci, C. European Association of Cardiovascular Imaging expert consensus paper: A comprehensive review of cardiovascular magnetic resonance normal values of cardiac chamber size and aortic root in adults and recommendations for grading severity. Eur. Heart J. Cardiovasc. Imaging 2019, 20, 1321–1331. [Google Scholar] [CrossRef] [PubMed]
- Mosteller, R.D. Simplified calculation of body-surface area. N. Engl. J. Med. 1987, 317, 1098. [Google Scholar] [CrossRef] [PubMed]
- Koo, T.K.; Li, M.Y. A Guideline of Selecting and Reporting Intraclass Correlation Coefficients for Reliability Research. J. Chiropr. Med. 2016, 15, 155–163. [Google Scholar] [CrossRef] [PubMed]
- Abadi, S.; Roguin, A.; Engel, A.; Lessick, J. Feasibility of automatic assessment of four-chamber cardiac function with MDCT: Initial clinical application and validation. Eur. J. Radiol. 2010, 74, 175–181. [Google Scholar] [CrossRef]
- Melzig, C.; Do, T.D.; Egenlauf, B.; Partovi, S.; Grunig, E.; Kauczor, H.U.; Heussel, C.P.; Rengier, F. Diagnostic accuracy of automated 3D volumetry of cardiac chambers by CT pulmonary angiography for identification of pulmonary hypertension due to left heart disease. Eur. Radiol. 2022, 32, 5222–5232. [Google Scholar] [CrossRef] [PubMed]
- Bruns, S.; Wolterink, J.M.; van den Boogert, T.P.W.; Runge, J.H.; Bouma, B.J.; Henriques, J.P.; Baan, J.; Viergever, M.A.; Planken, R.N.; Isgum, I. Deep learning-based whole-heart segmentation in 4D contrast-enhanced cardiac CT. Comput. Biol. Med. 2022, 142, 105191. [Google Scholar] [CrossRef]
- Sharkey, M.J.; Taylor, J.C.; Alabed, S.; Dwivedi, K.; Karunasaagarar, K.; Johns, C.S.; Rajaram, S.; Garg, P.; Alkhanfar, D.; Metherall, P.; et al. Fully automatic cardiac four chamber and great vessel segmentation on CT pulmonary angiography using deep learning. Front. Cardiovasc. Med. 2022, 9, 983859. [Google Scholar] [CrossRef]
- Milo, M.L.H.; Nyeng, T.B.; Lorenzen, E.L.; Hoffmann, L.; Moller, D.S.; Offersen, B.V. Atlas-based auto-segmentation for delineating the heart and cardiac substructures in breast cancer radiation therapy. Acta Oncol. 2022, 61, 247–254. [Google Scholar] [CrossRef]
- Finnegan, R.; Dowling, J.; Koh, E.S.; Tang, S.; Otton, J.; Delaney, G.; Batumalai, V.; Luo, C.; Atluri, P.; Satchithanandha, A.; et al. Feasibility of multi-atlas cardiac segmentation from thoracic planning CT in a probabilistic framework. Phys. Med. Biol. 2019, 64, 085006. [Google Scholar] [CrossRef] [PubMed]
- Dormer, J.D.; Ma, L.; Halicek, M.; Reilly, C.M.; Schreibmann, E.; Fei, B. Heart Chamber Segmentation from CT Using Convolutional Neural Networks. Proc. SPIE Int. Soc. Opt. Eng. 2018, 10578, 659–664. [Google Scholar] [CrossRef]
- Chen, X.; Mumme, R.P.; Corrigan, K.L.; Mukai-Sasaki, Y.; Koutroumpakis, E.; Palaskas, N.L.; Nguyen, C.M.; Zhao, Y.; Huang, K.; Yu, C.; et al. Deep learning-based automatic segmentation of cardiac substructures for lung cancers. Radiother. Oncol. 2024, 191, 110061. [Google Scholar] [CrossRef]
- Han, D.; Shanbhag, A.; Miller, R.J.; Kwok, N.; Waechter, P.; Builoff, V.; Newby, D.E.; Dey, D.; Berman, D.S.; Slomka, P. AI-Derived Left Ventricular Mass From Noncontrast Cardiac CT: Correlation With Contrast CT Angiography and CMR. JACC Adv. 2024, 3, 101249. [Google Scholar] [CrossRef] [PubMed]
- Maroun, A.; Baraboo, J.J.; Gunasekaran, S.; Hwang, J.M.; Liu, S.Z.; Passman, R.S.; Kim, D.; Allen, B.D.; Markl, M.; Pradella, M. Comparison of Biplane Area-Length Method and 3D Volume Quantification by Using Cardiac MRI for Assessment of Left Atrial Volume in Atrial Fibrillation. Radiol. Cardiothorac. Imaging 2023, 5, e220133. [Google Scholar] [CrossRef] [PubMed]
- Kuusisto, J.K.; Poyhonen, P.A.K.; Pirinen, J.; Lehmonen, L.J.; Raty, H.P.; Martinez-Majander, N.; Putaala, J.; Sinisalo, J.; Jarvinen, V. Revisiting left atrial volumetry by magnetic resonance imaging: The role of atrial shape and 3D angle between left ventricular and left atrial axis. BMC Med. Imaging 2021, 21, 167. [Google Scholar] [CrossRef]
- Lang, R.M.; Cameli, M.; Sade, L.E.; Faletra, F.F.; Fortuni, F.; Rossi, A.; Soulat-Dufour, L. Imaging assessment of the right atrium: Anatomy and function. Eur. Heart J. Cardiovasc. Imaging 2022, 23, 867–884. [Google Scholar] [CrossRef]
- Naghavi, M.; Reeves, A.P.; Atlas, K.; Zhang, C.; Atlas, T.; Henschke, C.I.; Yankelevitz, D.F.; Budoff, M.J.; Li, D.; Roy, S.K.; et al. Artificial intelligence applied to coronary artery calcium scans (AI-CAC) significantly improves cardiovascular events prediction. NPJ Digit. Med. 2024, 7, 309. [Google Scholar] [CrossRef] [PubMed]
- Naghavi, M.; Reeves, A.P.; Atlas, K.C.; Zhang, C.; Li, D.; Atlas, T.; Henschke, C.I.; Wong, N.D.; Roy, S.K.; Budoff, M.J.; et al. AI-Enabled CT Cardiac Chamber Volumetry Predicts Atrial Fibrillation and Stroke Comparable to MRI. JACC: Advances 2024, 3, 101300. [Google Scholar] [CrossRef]
- Tsao, C.W.; Lyass, A.; Enserro, D.; Larson, M.G.; Ho, J.E.; Kizer, J.R.; Gottdiener, J.S.; Psaty, B.M.; Vasan, R.S. Temporal Trends in the Incidence of and Mortality Associated With Heart Failure With Preserved and Reduced Ejection Fraction. JACC Heart Fail. 2018, 6, 678–685. [Google Scholar] [CrossRef] [PubMed]
- Miller, R.J.H.; Killekar, A.; Shanbhag, A.; Bednarski, B.; Michalowska, A.M.; Ruddy, T.D.; Einstein, A.J.; Newby, D.E.; Lemley, M.; Pieszko, K.; et al. Predicting mortality from AI cardiac volumes mass and coronary calcium on chest computed tomography. Nat. Commun. 2024, 15, 2747. [Google Scholar] [CrossRef] [PubMed]
- Lancellotti, P.; Suter, T.M.; Lopez-Fernandez, T.; Galderisi, M.; Lyon, A.R.; Van der Meer, P.; Cohen Solal, A.; Zamorano, J.L.; Jerusalem, G.; Moonen, M.; et al. Cardio-Oncology Services: Rationale, organization, and implementation. Eur. Heart J. 2019, 40, 1756–1763. [Google Scholar] [CrossRef]
- Lyon, A.R.; Lopez-Fernandez, T.; Couch, L.S.; Asteggiano, R.; Aznar, M.C.; Bergler-Klein, J.; Boriani, G.; Cardinale, D.; Cordoba, R.; Cosyns, B.; et al. 2022 ESC Guidelines on cardio-oncology developed in collaboration with the European Hematology Association (EHA), the European Society for Therapeutic Radiology and Oncology (ESTRO) and the International Cardio-Oncology Society (IC-OS). Eur. Heart J. 2022, 43, 4229–4361. [Google Scholar] [CrossRef]





| Parameter | Value |
|---|---|
| Gender (female) | 19 (36%) |
| Age (years) | 64 ± 16 |
| Height (cm) | 171 ± 10 |
| Weight (kg) | 76 ± 19 |
| BMI (kg/m2) | 25.7 ± 5.3 |
| BSA (m2) | 1.9 ± 0.3 |
| ECG gating (n) | 10 (19%) |
| Pitch Factor | 1.5 ± 1.1 |
| Peak Tube Voltage (kV) | |
| 80 | 1 (2%) |
| 90 | 16 (30%) |
| 100 | 23 (43%) |
| 110 | 6 (11%) |
| 120 | 3 (6%) |
| 150 | 4 (8%) |
| Tube Current-Time Product (mAs) | 143 ± 104 |
| CTDIvol (mGy) | 3.1 ± 1.6 |
| Slice thickness (mm) | |
| 0.60 | 2 (4%) |
| 0.75 | 13 (25%) |
| 1.00 | 37 (70%) |
| 3.00 | 1 (2%) |
| Kernel | |
| Bf36 | 9 (17%) |
| Bf39 | 1 (2%) |
| Bf40 | 38 (72%) |
| Br40 | 2 (4%) |
| Bv36 | 3 (6%) |
| Parameter | n | CMR | CT | p | Bland–Altman | WCV (%) | ICC | |
|---|---|---|---|---|---|---|---|---|
| Difference | Limits of Agreement | |||||||
| LV volume (mL) | 52 | 166 ± 64 (ED) 94 ± 60 (ES) | 144 ± 61 | <0.001 <0.001 | −22 ± 35 51 ± 34 | −90; 47 −16; 118 | 18.9 40.4 | 0.85 0.84 |
| LV mass (g) | 52 | 115 ± 39 (ED) | 142 ± 42 | <0.001 | 30 ± 32 | −33; 93 | 18.7 | 0.91 |
| RV volume (mL) | 52 | 144 ± 51 (ED) 79 ± 44 (ES) | 161 ± 64 | 0.001 <0.001 | 18 ± 37 82 ± 36 | −55; 91 11; 154 | 18.9 53.7 | 0.79 0.78 |
| LA volume (mL) | 51 | 48 ± 31 (ED) | 96 ± 42 | <0.001 | 48 ± 26 | −4; 100 | 56.5 | 0.74 |
| RA volume (mL) | 48 | 48 ± 27 (ED) | 86 ± 43 | <0.001 | 38 ± 32 | −24; 100 | 47.2 | 0.61 |
Disclaimer/Publisher’s Note: The statements, opinions and data contained in all publications are solely those of the individual author(s) and contributor(s) and not of MDPI and/or the editor(s). MDPI and/or the editor(s) disclaim responsibility for any injury to people or property resulting from any ideas, methods, instructions or products referred to in the content. |
© 2024 by the authors. Licensee MDPI, Basel, Switzerland. This article is an open access article distributed under the terms and conditions of the Creative Commons Attribution (CC BY) license (https://creativecommons.org/licenses/by/4.0/).
Share and Cite
Schmitt, R.; Schlett, C.L.; Sperl, J.I.; Rapaka, S.; Jacob, A.J.; Hein, M.; Hagar, M.T.; Ruile, P.; Westermann, D.; Soschynski, M.; et al. Fully Automated Assessment of Cardiac Chamber Volumes and Myocardial Mass on Non-Contrast Chest CT with a Deep Learning Model: Validation Against Cardiac MR. Diagnostics 2024, 14, 2884. https://doi.org/10.3390/diagnostics14242884
Schmitt R, Schlett CL, Sperl JI, Rapaka S, Jacob AJ, Hein M, Hagar MT, Ruile P, Westermann D, Soschynski M, et al. Fully Automated Assessment of Cardiac Chamber Volumes and Myocardial Mass on Non-Contrast Chest CT with a Deep Learning Model: Validation Against Cardiac MR. Diagnostics. 2024; 14(24):2884. https://doi.org/10.3390/diagnostics14242884
Chicago/Turabian StyleSchmitt, Ramona, Christopher L. Schlett, Jonathan I. Sperl, Saikiran Rapaka, Athira J. Jacob, Manuel Hein, Muhammad Taha Hagar, Philipp Ruile, Dirk Westermann, Martin Soschynski, and et al. 2024. "Fully Automated Assessment of Cardiac Chamber Volumes and Myocardial Mass on Non-Contrast Chest CT with a Deep Learning Model: Validation Against Cardiac MR" Diagnostics 14, no. 24: 2884. https://doi.org/10.3390/diagnostics14242884
APA StyleSchmitt, R., Schlett, C. L., Sperl, J. I., Rapaka, S., Jacob, A. J., Hein, M., Hagar, M. T., Ruile, P., Westermann, D., Soschynski, M., Bamberg, F., & Schuppert, C. (2024). Fully Automated Assessment of Cardiac Chamber Volumes and Myocardial Mass on Non-Contrast Chest CT with a Deep Learning Model: Validation Against Cardiac MR. Diagnostics, 14(24), 2884. https://doi.org/10.3390/diagnostics14242884

