Improvements in Cardiopulmonary Exercise Test Results in Atrial Fibrillation Patients After Radiofrequency Ablation in Kazakhstan
Abstract
1. Introduction
2. Materials and Methods
2.1. Study Design
2.2. Study Population
2.3. CPET Preparations and Procedures
2.4. Radiofrequency Ablation
2.5. Cardiac Function Measurements
2.6. Statistical Methods
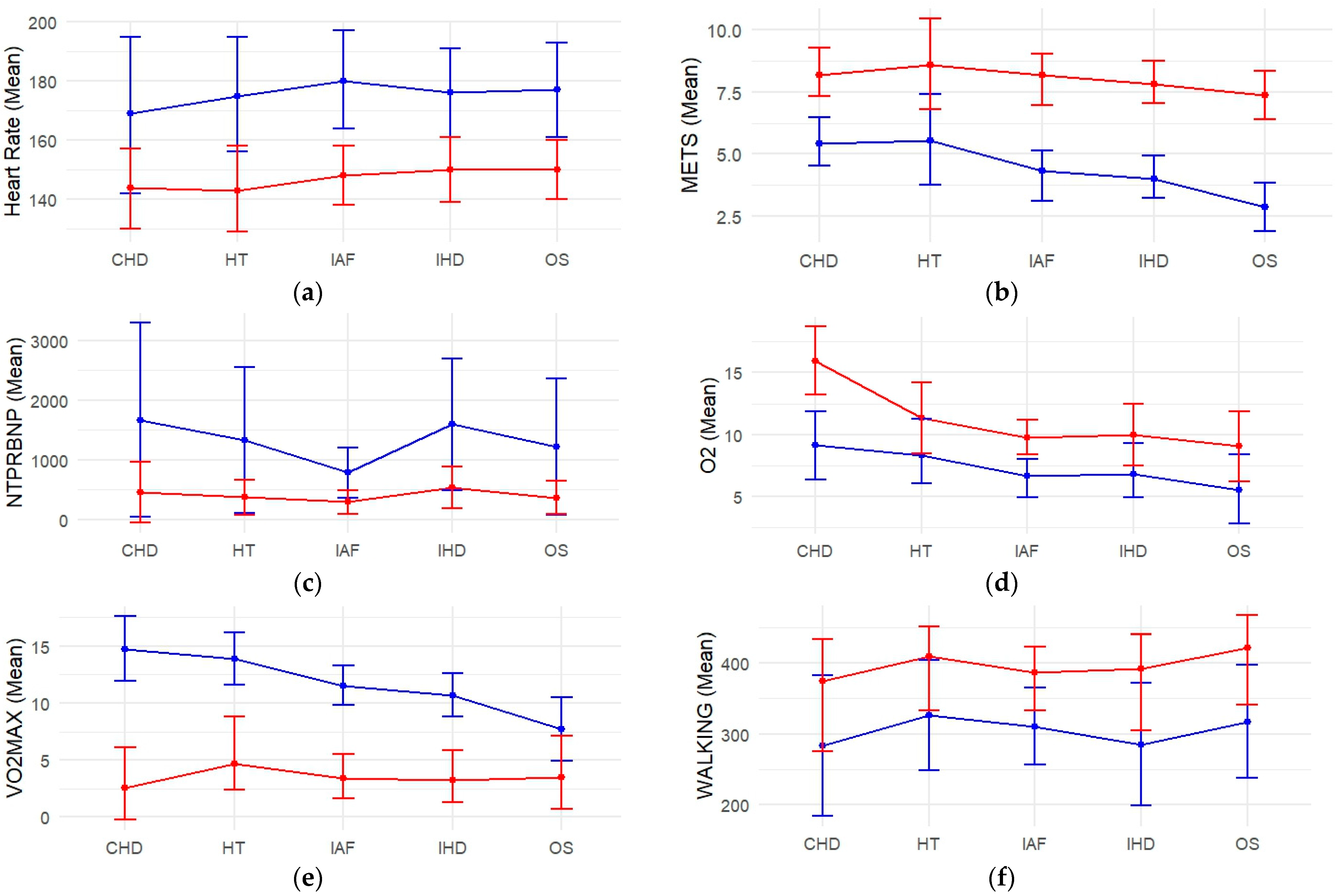
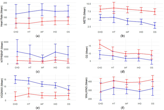
3. Results
4. Discussion
Limitations
5. Conclusions
Author Contributions
Funding
Institutional Review Board Statement
Informed Consent Statement
Data Availability Statement
Acknowledgments
Conflicts of Interest
References
- Benjamin, E.J.; Muntner, P.; Alonso, A.; Bittencourt, M.S.; Callaway, C.W.; Carson, A.P.; Chamberlain, A.M.; Chang, A.R.; Cheng, S.; Das, R.S.; et al. Heart Disease and Stroke Statistics—2019 Update: A Report from the American Heart Association. Circulation 2019, 139, e56–e528. [Google Scholar] [CrossRef] [PubMed]
- Elliott, A.D.; Middeldorp, M.E.; Van Gelder, I.C.; Albert, C.M.; Sanders, P. Epidemiology and modifiable risk factors for atrial fibrillation. Nat. Rev. Cardiol. 2023, 20, 404–417. [Google Scholar] [CrossRef] [PubMed]
- Linz, D.; Gawalko, M.; Betz, K.; Hendriks, J.M.; Lip, G.Y.H.; Vinter, N. Atrial fibrillation: Epidemiology, screening and digital health. Lancet Reg. Health Eur. 2024, 37, 100786. [Google Scholar] [CrossRef]
- Chugh, S.S.; Havmoeller, R.; Narayanan, K.; Singh, D.; Rienstra, M.; Benjamin, E.J.; Gillum, R.F.; Kim, Y.H.; McAnulty, J.H., Jr.; Zheng, Z.J.; et al. Worldwide Epidemiology of Atrial Fibrillation. Circulation 2014, 129, 837–847. [Google Scholar] [CrossRef]
- Lippi, G.; Sanchis-Gomar, F.; Cervellin, G. Global epidemiology of atrial fibrillation: An increasing epidemic and public health challenge. Int. J. Stroke 2020, 16, 217–221. [Google Scholar] [CrossRef]
- Li, H.; Song, X.; Liang, Y.; Bai, X.; Liu-Huo, W.S.; Tang, C. Global, regional, and national burden of disease study of atrial fibrillation/flutter, 1990–2019: Results from a global burden of disease study, 2019. BMC Public Health 2022, 22, 2015. [Google Scholar] [CrossRef] [PubMed]
- Taizhanova, D.; Bazarova, N.; Kalimbetova, A.; Gartung, T.; Bodaubay, R.; Muratbekova, S. Risk factors for the development of atrial fibrillation in the Kazakh patients. Open Access Maced. J. Med. Sci. 2022, 10, 2361–2366. [Google Scholar] [CrossRef]
- Elliott, A.D.; Verdicchio, C.V.; Mahajan, R.; Middeldorp, M.E.; Gallagher, C.; Mishima, R.S. An exercise and physical activity program in patients with atrial fibrillation. JACC Clin. Electrophysiol. 2023, 9, 455–465. [Google Scholar] [CrossRef]
- Odutayo, A.; Wong, C.X.; Hsiao, A.J.; Hopewell, S.; Altman, D.G.; Emdin, C.A. Atrial fibrillation and risks of cardiovascular disease, renal disease, and death: Systematic review and meta-analysis. BMJ 2016, 354, i4482. [Google Scholar] [CrossRef]
- Bizhanov, K.A.; Abzaliyev, K.B.; Baimbetov, A.K.; Sarsenbayeva, A.B.; Lyan, E. Atrial fibrillation: Epidemiology, pathophysiology, and clinical complications (literature review). J. Cardiovasc. Electrophysiol. 2022, 34, 153–165. [Google Scholar] [CrossRef]
- Randolph, T.C.; Simon, D.N.; Thomas, L.; Allen, L.A.; Fonarow, G.C.; Gersh, B.J.; Kowey, P.R.; Reiffel, J.A.; Naccarelli, G.V.; Chan, P.S.; et al. Patient factors associated with quality of life in atrial fibrillation. Am. Heart J. 2016, 182, 135–143. [Google Scholar] [CrossRef] [PubMed]
- Rush, K.L.; Seaton, C.L.; Burton, L.; Loewen, P.; O’Connor, B.P.; Moroz, L.; Corman, K.; Smith, M.A.; Andrade, J.G. Quality of life among patients with atrial fibrillation: A theoretically-guided cross-sectional study. PLoS ONE 2023, 18, e0291575. [Google Scholar] [CrossRef] [PubMed]
- Son, Y.J.; Baek, K.H.; Lee, S.J.; Seo, E.J. Health-Related Quality of Life and Associated Factors in Patients with Atrial Fibrillation: An Integrative Literature Review. Int. J. Environ. Res. Public Health 2019, 16, 3042. [Google Scholar] [CrossRef] [PubMed]
- Witassek, F.; Springer, A.; Adam, L.; Aeschbacher, S.; Beer, J.H.; Blum, S.; Bonati, L.H.; Conen, D.; Kobza, R.; Kühne, M.; et al. Health-related quality of life in patients with atrial fibrillation: The role of symptoms, comorbidities, and the type of atrial fibrillation. PLoS ONE 2019, 14, e0226730. [Google Scholar] [CrossRef]
- Aliot, E.; Botto, G.L.; Crijns, H.J.; Kirchhof, P. Quality of life in patients with atrial fibrillation: How to assess it and how to improve it. EP Eur. 2014, 16, 787–796. [Google Scholar] [CrossRef]
- Reports and Statistical Data on Cardiovascular Disease Morbidity [Internet]. 2021. Available online: https://www.gov.kz/memleket/entities/dsm?lang=en (accessed on 1 September 2024).
- Dai, H.; Zhang, Q.; Much, A.A.; Maor, E.; Segev, A.; Beinart, R.; Adawi, S.; Lu, Y.; Bragazzi, N.L.; Wu, J. Global, regional, and national prevalence, incidence, mortality, and risk factors for atrial fibrillation, 1990–2017: Results from the Global Burden of Disease Study 2017. Eur. HeartJ. —Qual. Care Clin. Outcomes 2020, 7, 574–582. [Google Scholar] [CrossRef]
- Kirchhof, P.; Benussi, S.; Kotecha, D.; Ahlsson, A.; Atar, D.; Casadei, B.; Casade, B.; Castella, M.; Diener, H.C.; Heidbuchel, H.; et al. 2016 ESC Guidelines for the management of atrial fibrillation developed in collaboration with EACTS. Eur. Heart J. 2016, 37, 2893–2962. [Google Scholar] [CrossRef]
- January, C.T.; Wann, L.S.; Calkins, H.; Chen, L.Y.; Cigarroa, J.E.; Cleveland, J.C.; Ellinor, P.T.; Ezekowitz, M.D.; Field, M.E.; Furie, K.L.; et al. 2019 AHA/ACC/HRS Focused Update of the 2014 AHA/ACC/HRS Guideline for the Management of Patients with Atrial Fibrillation: A Report of the American College of Cardiology/American Heart Association Task Force on Clinical Practice Guidelines and the Heart Rhythm Society in Collaboration with the Society of Thoracic Surgeons. Circulation 2019, 140, e125–e151. [Google Scholar] [CrossRef] [PubMed]
- Packer, D.L.; Piccini, J.P.; Monahan, K.H.; Al-Khalidi, H.R.; Silverstein, A.P.; Noseworthy, P.A.; Poole, J.E.; Bahnson, T.D.; Lee, K.L.; Mark, D.B.; et al. Ablation versus drug therapy for atrial fibrillation in heart failure. Circulation 2021, 143, 1377–1390. [Google Scholar] [CrossRef]
- Leung, L.W.M.; Imhoff, R.J.; Marshall, H.J.; Frame, D.; Mallow, P.J.; Goldstein, L.; Wei, T.; Velleca, M.; Taylor, H.; Gallagher, M.M. Cost-effectiveness of catheter ablation versus medical therapy for the treatment of atrial fibrillation in the United Kingdom. J. Cardiovasc. Electrophysiol. 2021, 33, 164–175. [Google Scholar]
- Salpynov, Z.; Syzganova, A.N. “J Stock Company” National SC of S Named After. Medical Technology Catheter (Radio Frequency) Ablation of Complex Heart Arythmitis with Intra-Uterine Ultrasound [Internet]. 2018. Available online: https://online.zakon.kz/Document/?doc_id=36989727&pos=5;-43#pos=5;-43 (accessed on 1 September 2024).
- Risom, S.S.; Zwisler, A.D.; Sibilitz, K.L.; Rasmussen, T.B.; Taylor, R.S.; Thygesen, L.C.; Madsen, T.S.; Svendsen, J.H.; Berg, S.K. Cardiac Rehabilitation for Patients Treated for Atrial Fibrillation with Ablation Has Long-Term Effects: 12-and 24-Month Follow-up Results from the Randomized CopenHeartRFA Trial. Arch. Phys. Med. Rehabil. 2020, 101, 1877–1886. [Google Scholar] [CrossRef] [PubMed]
- Chieng, D.; Sugumar, H.; Segan, L.; Tan, C.; Vizi, D.; Nanayakkara, S.; Al-Kaisey, A.; Hawson, J.; Prabhu, S.; Voskoboinik, A.; et al. Atrial Fibrillation Ablation for Heart Failure with Preserved Ejection Fraction. JACC Heart Fail. 2023, 11, 646–658. [Google Scholar] [CrossRef] [PubMed]
- Fukasawa, K.; Fukuda, K.; Mori, N.; Chiba, T.; Miki, K.; Hasebe, Y.; Nakano, M.; Shimokawa, H. Impacts of sinus rhythm maintenance with catheter ablation on exercise tolerance in patients with paroxysmal atrial fibrillation. J. Interv. Card. Electrophysiol. 2021, 61, 105–113. [Google Scholar] [CrossRef] [PubMed]
- Sultan, A.; Lüker, J.; Andresen, D.; Kuck, K.H.; Hoffmann, E.; Brachmann, J.; Hochadel, M.; Willems, S.; Eckardt, L.E.; Lewalter, T.; et al. Predictors of Atrial Fibrillation Recurrence after Catheter Ablation: Data from the German Ablation Registry. Sci. Rep. 2017, 7, 16678. [Google Scholar] [CrossRef] [PubMed]
- Aronsson, M.; Walfridsson, H.; Janzon, M.; Walfridsson, U.; Nielsen, J.C.; Hansen, P.S.; Johannessen, A.; Raatikainen, P.; Hindricks, G.; Kongstad, O.; et al. The cost-effectiveness of radiofrequency catheter ablation as first-line treatment for paroxysmal atrial fibrillation: Results from a MANTRA-PAF substudy. EP Eur. 2014, 17, 48–55. [Google Scholar] [CrossRef] [PubMed]
- WHO. A Healthy Lifestyle—WHO Recommendations [Internet]. 2010. Available online: https://www.who.int/europe/news-room/fact-sheets/item/a-healthy-lifestyle---who-recommendations (accessed on 1 September 2024).
- Reed, J.L.; Terada, T.; Vidal-Almela, S.; Tulloch, H.E.; Mistura, M.; Birnie, D.H.; Wells, G.A.; Nair, G.M.; Hans, H.; Way, K.L.; et al. Effect of High-Intensity Interval Training in patients with Atrial Fibrillation. JAMA Netw. Open 2022, 5, e2239380. [Google Scholar] [CrossRef]
- Beatty, A.L.; Marcus, G.M. Time to get moving. JACC Clin. Electrophysiol. 2023, 9, 466–467. [Google Scholar] [CrossRef]
- Morillo, C.A.; Verma, A.; Connolly, S.J.; Kuck, K.H.; Nair, G.M.; Champagne, J.; Sterns, L.D.; Beresh, H.; Healey, J.S.; Natale, A.; et al. Radiofrequency Ablation vs Antiarrhythmic Drugs as First-Line Treatment of Paroxysmal Atrial Fibrillation (RAAFT-2). JAMA 2014, 311, 692. [Google Scholar] [CrossRef]
- Njoku, A.; Kannabhiran, M.; Arora, R.; Reddy, P.; Gopinathannair, R.; Lakkireddy, D.; Dominic, P. Left atrial volume predicts atrial fibrillation recurrence after radiofrequency ablation: A meta-analysis. EP Eur. 2017, 20, 33–42. [Google Scholar] [CrossRef]
- Dinshaw, L.; Schäffer, B.; Akbulak, Ö.; Jularic, M.; Hartmann, J.; Klatt, N.; Dickow, J.; Gunawardene, M.; Münkler, P.; Hakmi, S.; et al. Long-term efficacy and safety of radiofrequency catheter ablation of atrial fibrillation in patients with cardiac implantable electronic devices and transvenous leads. J. Cardiovasc. Electrophysiol. 2019, 30, 679–687. [Google Scholar] [CrossRef]
- Charitakis, E.; Dragioti, E.; Stratinaki, M.; Korela, D.; Tzeis, S.; Almroth, H.; Liuba, I.; Jönsson, A.H.; Charalambous, G.; Karlsson, L.O.; et al. Predictors of recurrence after catheter ablation and electrical cardioversion of atrial fibrillation: An umbrella review of meta-analyses. EP Eur. 2022, 25, 40–48. [Google Scholar] [CrossRef] [PubMed]
- Kim, J.; Kim, J.Y.; Jeong, D.S.; Chung, T.W.; Park, S.J.; Park, K.M.; Kim, J.S.; Lee, J.M.; On, Y.K. Long-term outcome of thoracoscopic ablation and radiofrequency catheter ablation for persistent atrial fibrillation as a de novo procedure. EP Eur. 2023, 25, euad096. [Google Scholar] [CrossRef] [PubMed]
- Calkins, H.; Hindricks, G.; Cappato, R.; Kim, Y.H.; Saad, E.B.; Aguinaga, L.; Akar, J.G.; Badhwar, V.; Brugada, J.; Camm, J.; et al. 2017 HRS/EHRA/ECAS/APHRS/SOLAECE expert consensus statement on catheter and surgical ablation of atrial fibrillation. Heart Rhythm 2017, 14, e275–e444. [Google Scholar] [CrossRef] [PubMed]
- Walfridsson, H.; Walfridsson, U.; Nielsen, J.C.; Johannessen, A.; Raatikainen, P.; Janzon, M.; Levin, L.A.; Aronsson, M.; Hindricks, G.; Kongstad, O.; et al. Radiofrequency ablation as initial therapy in paroxysmal atrial fibrillation: Results on health-related quality of life and symptom burden. The MANTRA-PAF trial. EP Eur. 2015, 17, 215–221. [Google Scholar] [CrossRef] [PubMed]
- Marrouche, N.F.; Brachmann, J.; Andresen, D.; Siebels, J.; Boersma, L.; Jordaens, L.; Merkely, B.; Pokushalov, E.; Sanders, P.; Proof, J.; et al. Catheter Ablation for Atrial Fibrillation with Heart Failure. N. Engl. J. Med. 2018, 378, 417–427. [Google Scholar] [CrossRef]
- Martins, L.C.B.; Pisani, C.F.; Dorfman, F.K.; Darrieux, F.C.C.; Wu, T.C.; Ferraz, A.P.; Hachul, D.T.; Castro, C.C.; Prado, R.R.; Souza, L.V.; et al. Randomized Study Comparing Radiofrequency Ablation with the PVAC Gold System vs. Antiarrhythmic Drugs in Elderly Patients with Symptomatic Atrial Fibrillation. Arq. Bras. Cardiol. 2024, 121, e20230684. [Google Scholar] [CrossRef]
- Miyama, H.; Ikemura, N.; Kimura, T.; Katsumata, Y.; Yamashita, S.; Yamaoka, K.; Ibe, S.; Sekine, O.; Ueda, I.; Nakamura, I.; et al. Predictors and Incidence of Health Status Deterioration in Patients with Early Atrial Fibrillation. Heart Rhythm. 2024, 21, 1469–1476. [Google Scholar] [CrossRef]


| Variable | Abs, (%) N = 104 Mean ± sd/Median, Q1–Q3 | p-Value |
|---|---|---|
| Males | 63 (61%) | 0.031 |
| Age (years) | 46 ± 13 | 0.010 |
| Obesity > 30 BMI | 77 (74%) | <0.001 |
| Hypertension | 59 (57%) | 0.170 |
| LVEF | 39 (38%) | <0.001 |
| LP(a) < 22 | 18 ± 15 | <0.001 |
| LVEDV (62–150) | 83 (80%) 116 ± 36 | <0.001 |
| LVESV (21–61) | 69 (66%) 58 ± 26 | <0.001 |
| LVEDS (4.2–5.8) | 31 (30%) 4.9 ± 1.1 | <0.001 |
| LVESS (2.5–4) | 53 (51%) 3.7 ± 1.2 | <0.001 |
| IVLA (16–34) | 84 (81%) 30 ± 7 | <0.001 |
| S’lat (7.5–12.3) | 34 (33%) 6.6 [4.3–6.6] | <0.001 |
| S’med (6.6–10) | 45 (43%) 6.2 [4.0–6.2] | 0.170 |
| Age Categories | Before | After | ||
|---|---|---|---|---|
| Male | Female | Male | Female | |
| 18–29 | 16 ± 1.2 VO2 max | 14 ± 2.9 VO2 max | 27 ± 3.9 VO2 max | 23 ± 2.7 VO2 max |
| 5.2 METs | 5.5 METs | 8.1 METs | 8.3 METs | |
| 30–39 | 12 ± 4.3 VO2 max | 11 ± 5.0 VO2 max | 20 ± 3.5 VO2 max | 18 ± 2.6 VO2 max |
| 5.4 METs | 4.2 METs | 8.9 METs | 8.0 METs | |
| 40–49 | 12 ± 4.3 VO2 max | 11 ± 5.8 VO2 max | 18 ± 2.9 VO2 max | 16 ± 4.4 VO2 max |
| 4.6 METs | 4.2 METs | 8.4 METs | 8.3 METs | |
| 50–59 | 12 ± 3.9 VO2 max | 10 ± 3.3 VO2 max | 17 ± 2.5 VO2 max | 15 ± 2,7 VO2 max |
| 4.2 METs | 3.6 METs | 7.9 METs | 7.2 METs | |
| 60+ | 8 ± 3.7 VO2 max | 8 ± 2.7 VO2 max | 13 ± 2.5 VO2 max | 13 ± 3.9 VO2 max |
| 3.3 METs | 3.5 METs | 7.4 METs | 7.1 METs | |
| Variable | Observation Stage | p-Value | |
|---|---|---|---|
| Before | After | ||
| VO2 max | 11.5 ± 4.4 | 18.0 ± 4.5 | <0.001 |
| O2 pulse | 7.2 ± 2.6 | 11.0 ± 3.4 | <0.001 |
| Walking test | 306 ± 82 | 400 ± 48 | <0.001 |
| METs | 4.4 ± 1.6 | 8.0 ± 1.3 | <0.001 |
| Heartrate | 175.5 ± 18.6 | 147.2 ± 12.3 | <0.001 |
| Nt-proBNP | 1357 ± 1182 | 415 ± 339 | <0.001 |
Disclaimer/Publisher’s Note: The statements, opinions and data contained in all publications are solely those of the individual author(s) and contributor(s) and not of MDPI and/or the editor(s). MDPI and/or the editor(s) disclaim responsibility for any injury to people or property resulting from any ideas, methods, instructions or products referred to in the content. |
© 2024 by the authors. Licensee MDPI, Basel, Switzerland. This article is an open access article distributed under the terms and conditions of the Creative Commons Attribution (CC BY) license (https://creativecommons.org/licenses/by/4.0/).
Share and Cite
Beisenbayeva, A.; Bekbossynova, M.; Bakytzhanuly, A.; Aleushinova, U.; Bekmetova, F.; Chinybayeva, A.; Abdrakhmanov, A.; Beyembetova, A. Improvements in Cardiopulmonary Exercise Test Results in Atrial Fibrillation Patients After Radiofrequency Ablation in Kazakhstan. Diagnostics 2024, 14, 2355. https://doi.org/10.3390/diagnostics14212355
Beisenbayeva A, Bekbossynova M, Bakytzhanuly A, Aleushinova U, Bekmetova F, Chinybayeva A, Abdrakhmanov A, Beyembetova A. Improvements in Cardiopulmonary Exercise Test Results in Atrial Fibrillation Patients After Radiofrequency Ablation in Kazakhstan. Diagnostics. 2024; 14(21):2355. https://doi.org/10.3390/diagnostics14212355
Chicago/Turabian StyleBeisenbayeva, Akmaral, Makhabbat Bekbossynova, Abay Bakytzhanuly, Uldana Aleushinova, Feruza Bekmetova, Assel Chinybayeva, Ayan Abdrakhmanov, and Altynay Beyembetova. 2024. "Improvements in Cardiopulmonary Exercise Test Results in Atrial Fibrillation Patients After Radiofrequency Ablation in Kazakhstan" Diagnostics 14, no. 21: 2355. https://doi.org/10.3390/diagnostics14212355
APA StyleBeisenbayeva, A., Bekbossynova, M., Bakytzhanuly, A., Aleushinova, U., Bekmetova, F., Chinybayeva, A., Abdrakhmanov, A., & Beyembetova, A. (2024). Improvements in Cardiopulmonary Exercise Test Results in Atrial Fibrillation Patients After Radiofrequency Ablation in Kazakhstan. Diagnostics, 14(21), 2355. https://doi.org/10.3390/diagnostics14212355

