The Impact of Laboratory Automation on the Time to Urine Microbiological Results: A Five-Year Retrospective Study
Abstract
1. Introduction
2. Materials and Methods
2.1. Setting
2.2. Study Design
2.3. Statistical Analyses
2.4. Ethics Statement
3. Results
3.1. Analysis Cohort and Workflow
3.2. Process Timing Metrics
4. Discussion
Supplementary Materials
Author Contributions
Funding
Institutional Review Board Statement
Informed Consent Statement
Data Availability Statement
Acknowledgments
Conflicts of Interest
References
- Burckhardt, I. Laboratory Automation in Clinical Microbiology. Bioengineering 2018, 5, 102. [Google Scholar] [CrossRef] [PubMed] [PubMed Central]
- Novak, S.M.; Marlowe, E.M. Automation in the clinical microbiology laboratory. Clin. Lab. Med. 2013, 33, 567–588. [Google Scholar] [CrossRef] [PubMed]
- Antonios, K.; Croxatto, A.; Culbreath, K. Current State of Laboratory Automation in Clinical Microbiology Laboratory. Clin. Chem. 2021, 68, 99–114. [Google Scholar] [CrossRef] [PubMed]
- Bailey, A.L.; Ledeboer, N.; Burnham, C.D. Clinical Microbiology Is Growing Up: The Total Laboratory Automation Revolution. Clin. Chem. 2019, 65, 634–643. [Google Scholar] [CrossRef] [PubMed]
- Dauwalder, O.; Landrieve, L.; Laurent, F.; de Montclos, M.; Vandenesch, F.; Lina, G. Does bacteriology laboratory automation reduce time to results and increase quality management? Clin. Microbiol. Infect. 2016, 22, 236–243. [Google Scholar] [CrossRef] [PubMed]
- Da Rin, G.; Zoppelletto, M.; Lippi, G. Integration of Diagnostic Microbiology in a Model of Total Laboratory Automation. Lab. Med. 2016, 47, 73–82. [Google Scholar] [CrossRef] [PubMed]
- Croxatto, A.; Prod’hom, G.; Faverjon, F.; Rochais, Y.; Greub, G. Laboratory automation in clinical bacteriology: What system to choose? Clin. Microbiol. Infect. 2016, 22, 217–235. [Google Scholar] [CrossRef] [PubMed]
- Thomson, R.B., Jr.; McElvania, E. Total Laboratory Automation: What Is Gained, What Is Lost, and Who Can Afford It? Clin. Lab. Med. 2019, 39, 371–389. [Google Scholar] [CrossRef]
- Cherkaoui, A.; Renzi, G.; Martischang, R.; Harbarth, S.; Vuilleumier, N.; Schrenzel, J. Impact of Total Laboratory Automation on Turnaround Times for Urine Cultures and Screening Specimens for MRSA, ESBL, and VRE Carriage: Retrospective Comparison with Manual Workflow. Front. Cell. Infect. Microbiol. 2020, 10, 552122. [Google Scholar] [CrossRef]
- Bailey, A.L.; Burnham, C.D. Reducing the time between inoculation and first-read of urine cultures using total lab automation significantly reduces turn-around-time of positive culture results with minimal loss of first-read sensitivity. Eur. J. Clin. Microbiol. Infect. Dis. 2019, 38, 1135–1141. [Google Scholar] [CrossRef]
- Theparee, T.; Das, S.; Thomson, R.B., Jr. Total Laboratory Automation and Matrix-Assisted Laser Desorption Ionization-Time of Flight Mass Spectrometry Improve Turnaround Times in the Clinical Microbiology Laboratory: A Retrospective Analysis. J. Clin. Microbiol. 2018, 56, e01242-17. [Google Scholar] [CrossRef] [PubMed]
- De Socio, G.V.; Di Donato, F.; Paggi, R.; Gabrielli, C.; Belati, A.; Rizza, G.; Savoia, M.; Repetto, A.; Cenci, E.; Mencacci, A. Laboratory automation reduces time to report of positive blood cultures and improves management of patients with bloodstream infection. Eur. J. Clin. Microbiol. Infect. Dis. 2018, 37, 2313–2322. [Google Scholar] [CrossRef] [PubMed]
- Graham, M.; Tilson, L.; Streitberg, R.; Hamblin, J.; Korman, T.M. Improved standardization and potential for shortened time to results with BD Kiestra total laboratory automation of early urine cultures: A prospective comparison with manual processing. Diagn. Microbiol. Infect. Dis. 2016, 86, 1–4. [Google Scholar] [CrossRef] [PubMed]
- Croxatto, A.; Dijkstra, K.; Prod’hom, G.; Greub, G. Comparison of Inoculation with the InoqulA and WASP Automated Systems with Manual Inoculation. J. Clin. Microbiol. 2015, 53, 2298–2307. [Google Scholar] [CrossRef] [PubMed]
- Strauss, S.; Bourbeau, P.P. Impact of introduction of the BD Kiestra InoqulA on urine culture results in a hospital clinical microbiology laboratory. J. Clin. Microbiol. 2015, 53, 1736–1740. [Google Scholar] [CrossRef] [PubMed]
- Yarbrough, M.L.; Lainhart, W.; McMullen, A.R.; Anderson, N.W.; Burnham, C.D. Impact of total laboratory automation on workflow and specimen processing time for culture of urine specimens. Eur. J. Clin. Microbiol. Infect. Dis. 2018, 37, 2405–2411. [Google Scholar] [CrossRef] [PubMed]
- Kumar, A.; Roberts, D.; Wood, K.E.; Light, B.; Parrillo, J.E.; Sharma, S.; Robert, S.; Daniel, F.; Sergio, Z.; Leo, T.; et al. Duration of hypotension before initiation of effective antimicrobial therapy is the critical determinant of survival in human septic shock. Crit. Care Med. 2006, 34, 1589–1596. [Google Scholar] [CrossRef] [PubMed]
- Emonet, S.; Schrenzel, J. How could rapid bacterial identification improve the management of septic patients? Expert Rev. Anti-Infect. Ther. 2011, 9, 707–709. [Google Scholar] [CrossRef] [PubMed]
- Caruana, G.; Kritikos, A.; Vocat, A.; Luraschi, A.; Delarze, E.; Sturm, A.; Verge, M.P.; Jozwiak, G.; Kushwaha, S.; Delaloye, J.; et al. Investigating nanomotion-based technology (Resistell AST) for rapid antibiotic susceptibility testing among adult patients admitted to a tertiary-care hospital with Gram-negative bacteraemia: Protocol for a prospective, observational, cross-sectional, single-arm study. BMJ Open 2022, 12, e064016. [Google Scholar]
- Zimmermann, S. Laboratory Automation in the Microbiology Laboratory: An Ongoing Journey, Not a Tale? J. Clin. Microbiol. 2021, 59. [Google Scholar] [CrossRef]
- Choi, Q.; Kim, H.J.; Kim, J.W.; Kwon, G.C.; Koo, S.H. Manual versus automated streaking system in clinical microbiology laboratory: Performance evaluation of Previ Isola for blood culture and body fluid samples. J. Clin. Lab. Anal. 2018, 32, e22373. [Google Scholar] [CrossRef] [PubMed]
- Quiblier, C.; Jetter, M.; Rominski, M.; Mouttet, F.; Bottger, E.C.; Keller, P.M.; Hombach, M. Performance of Copan WASP for Routine Urine Microbiology. J. Clin. Microbiol. 2016, 54, 585–592. [Google Scholar] [CrossRef]
- Jacot, D.; Sarton-Loheac, G.; Coste, A.T.; Bertelli, C.; Greub, G.; Prod’hom, G.; Croxatto, A. Performance evaluation of the Becton Dickinson Kiestra IdentifA/SusceptA. Clin. Microbiol. Infect. 2021, 27, 1167-e9–1167-e17. [Google Scholar] [CrossRef] [PubMed]
- Cherkaoui, A.; Riat, A.; Renzi, G.; Fischer, A.; Schrenzel, J. Diagnostic test accuracy of an automated device for the MALDI target preparation for microbial identification. Eur. J. Clin. Microbiol. Infect. Dis. 2023, 42, 153–159. [Google Scholar] [CrossRef]
- Snyder, J.W.; Thomson, G.K.; Heckman, S.; Jamros, K.; AbdelGhani, S.; Thomson, K.S. Automated preparation for identification and antimicrobial susceptibility testing: Evaluation of a research use only prototype, the BD Kiestra IdentifA/SusceptA system. Clin. Microbiol. Infect. 2020, 27, 783.e1–783.e5. [Google Scholar] [CrossRef] [PubMed]
- Cherkaoui, A.; Renzi, G.; Fischer, A.; Azam, N.; Schorderet, D.; Vuilleumier, N.; Schrenzel, J. Comparison of the Copan WASPLab incorporating the BioRad expert system against the SIRscan 2000 automatic for routine antimicrobial disc diffusion susceptibility testing. Clin. Microbiol. Infect. 2020, 26, 619–625. [Google Scholar] [CrossRef]
- Cherkaoui, A.; Renzi, G.; Vuilleumier, N.; Schrenzel, J. Performance of Fully Automated Antimicrobial Disk Diffusion Susceptibility Testing Using Copan WASP Colibri Coupled to the Radian In-Line Carousel and Expert System. J. Clin. Microbiol. 2021, 59, e0077721. [Google Scholar] [CrossRef]
- Dauwalder, O.; Michel, A.; Eymard, C.; Santos, K.; Chanel, L.; Luzzati, A.; Roy-Azcora, P.; Sauzon, J.F.; Guillaumont, M.; Girardo, P.; et al. Use of artificial intelligence for tailored routine urine analyses. Clin. Microbiol. Infect. 2021, 27, 1168e1–1168e6. [Google Scholar] [CrossRef]
- Baker, J.; Timm, K.; Faron, M.; Ledeboer, N.; Culbreath, K. Digital Image Analysis for the Detection of Group B Streptococcus from ChromID Strepto B Medium Using PhenoMatrix Algorithms. J. Clin. Microbiol. 2020, 59, e01902-19. [Google Scholar] [CrossRef]
- Croxatto, A.; Marcelpoil, R.; Orny, C.; Morel, D.; Prod’hom, G.; Greub, G. Towards automated detection, semi-quantification and identification of microbial growth in clinical bacteriology: A proof of concept. Biomed. J. 2017, 40, 317–328. [Google Scholar] [CrossRef]






| 2016 (n = 20,290) | 2017 (n = 19,860) | 2018 (n = 20,006) | 2019 (n = 19,510) | 2020 (n = 18,998) | Overall (n = 98,664) | p-Value | |
|---|---|---|---|---|---|---|---|
| Age (years) | 52 (±23) | 52 (±23) | 52 (±23) | 53 (±23) | 53 (±24) | 52 (±23) | <0.001 |
| Gender (number of females) | 12,409 (61.2%) | 11,937 (60.1%) | 12,008 (60.0%) | 11,446 (58.7%) | 11,176 (58.8%) | 58,976 (59.8%) | <0.001 |
| Category of result | <0.001 | ||||||
| Contaminated samples | 3313 (16.3%) | 4086 (20.6%) | 5545 (27.7%) | 4521 (23.2%) | 4420 (23.3%) | 21,885 (22.2%) | |
| Sterile cultures | 9256 (45.6%) | 8584 (43.2%) | 7427 (37.1%) | 8162 (41.8%) | 7999 (42.1%) | 41,428 (42.0%) | |
| Positive cultures | 7721 (38.1%) | 7190 (36.2%) | 7034 (35.2%) | 6827 (35.0%) | 6579 (34.6%) | 35,351 (35.8%) | |
| Number of identified species for positive cultures | <0.001 | ||||||
| 1 | 5632 (73%) | 5208 (72%) | 4998 (71%) | 4756 (70%) | 4440 (67%) | 25,034 (71%) | |
| 2 | 1624 (21%) | 1522 (21%) | 1541 (22%) | 1537 (23%) | 1541 (23%) | 7765 (22%) | |
| 3 | 384 (5%) | 393 (5.5%) | 404 (5.7%) | 453 (6.6%) | 511 (7.8%) | 2145 (6%) | |
| ≥4 | 81 (1%) | 67 (0.9%) | 91 (1.3%) | 81 (1.2%) | 87 (1.3%) | 407 (1%) |
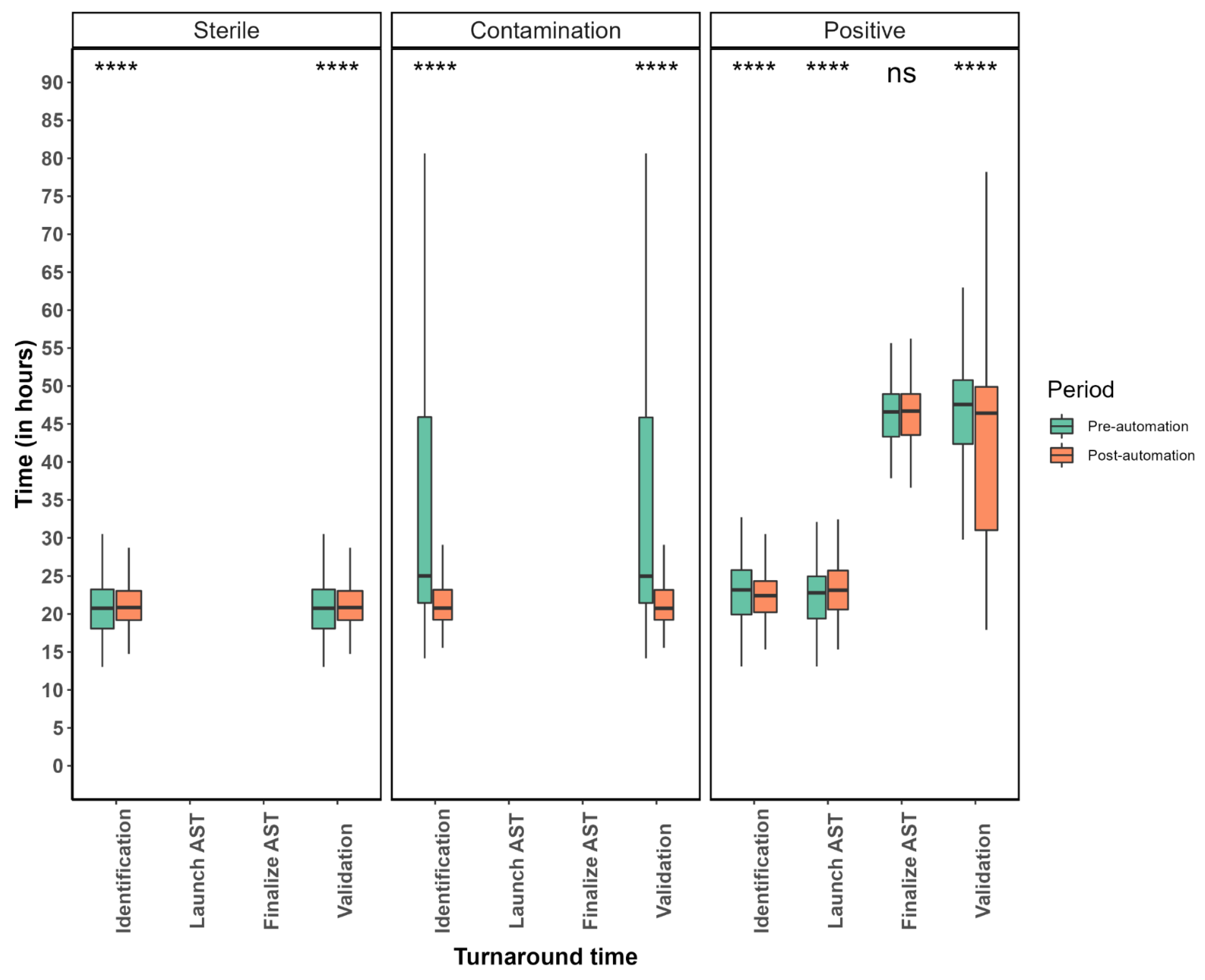
| Turnaround Time | Group | |||||||||||
|---|---|---|---|---|---|---|---|---|---|---|---|---|
| Sterile | Contaminated | Positive | Overall | |||||||||
| Pre TLA (n = 16,129) | Post TLA (n = 19,275) | p-Value | Pre TLA (n = 6505) | Post TLA (n = 11,413) | p-Value | Pre TLA (n = 13,230) | Post TLA (n = 16,595) | p-Value | Pre TLA (n = 35,864) | Post TLA (n = 47,283) | p-Value | |
| From streaking to identification | 20.8 [5.16] | 20.9 [3.86] | <0.001 | 38.8 [25.4] | 20.8 [3.99] | <0.001 | 23.3 [6.01] | 22.5 [4.17] | <0.001 | 22.3 [5.69] | 21.4 [4.01] | <0.001 |
| From streaking to the start of AST | NA | NA | NA | NA | NA | NA | 22.8 [5.67] | 23.2 [5.29] | <0.001 | 22.8 [5.67] | 23.2 [5.29] | <0.001 |
| From streaking to finalizing AST | NA | NA | NA | NA | NA | NA | 46.9 [6.00] | 47.0 [6.10] | 0.065 | 46.9 [6.00] | 47.0 [6.10] | 0.065 |
| From streaking to final validation | 20.8 [5.16] | 20.9 [3.86] | <0.001 | 30.7 [25.4] | 20.8 [3.98] | <0.001 | 48.0 [9.00] | 46.9 [9.90] | <0.001 | 24.3 [26.7] | 23.0 [23.8] | <0.001 |
Disclaimer/Publisher’s Note: The statements, opinions and data contained in all publications are solely those of the individual author(s) and contributor(s) and not of MDPI and/or the editor(s). MDPI and/or the editor(s) disclaim responsibility for any injury to people or property resulting from any ideas, methods, instructions or products referred to in the content. |
© 2024 by the authors. Licensee MDPI, Basel, Switzerland. This article is an open access article distributed under the terms and conditions of the Creative Commons Attribution (CC BY) license (https://creativecommons.org/licenses/by/4.0/).
Share and Cite
Kritikos, A.; Prod’hom, G.; Jacot, D.; Croxatto, A.; Greub, G. The Impact of Laboratory Automation on the Time to Urine Microbiological Results: A Five-Year Retrospective Study. Diagnostics 2024, 14, 1392. https://doi.org/10.3390/diagnostics14131392
Kritikos A, Prod’hom G, Jacot D, Croxatto A, Greub G. The Impact of Laboratory Automation on the Time to Urine Microbiological Results: A Five-Year Retrospective Study. Diagnostics. 2024; 14(13):1392. https://doi.org/10.3390/diagnostics14131392
Chicago/Turabian StyleKritikos, Antonios, Guy Prod’hom, Damien Jacot, Antony Croxatto, and Gilbert Greub. 2024. "The Impact of Laboratory Automation on the Time to Urine Microbiological Results: A Five-Year Retrospective Study" Diagnostics 14, no. 13: 1392. https://doi.org/10.3390/diagnostics14131392
APA StyleKritikos, A., Prod’hom, G., Jacot, D., Croxatto, A., & Greub, G. (2024). The Impact of Laboratory Automation on the Time to Urine Microbiological Results: A Five-Year Retrospective Study. Diagnostics, 14(13), 1392. https://doi.org/10.3390/diagnostics14131392

