Combining the Strengths of the Explainable Boosting Machine and Metabolomics Approaches for Biomarker Discovery in Acute Myocardial Infarction
Abstract
1. Introduction
2. Materials and Methods
2.1. The Data Set
2.2. Superficial Data Set Quality Check
2.2.1. Outlier Analysis Phase
2.2.2. Missing Value Imputation Phase
2.2.3. Feature Selection (FS) Phase
2.2.4. Model Training Phase
- The employed model in a nutshell
- b.
- The rest of the model training details
2.2.5. Model Performance Evaluations
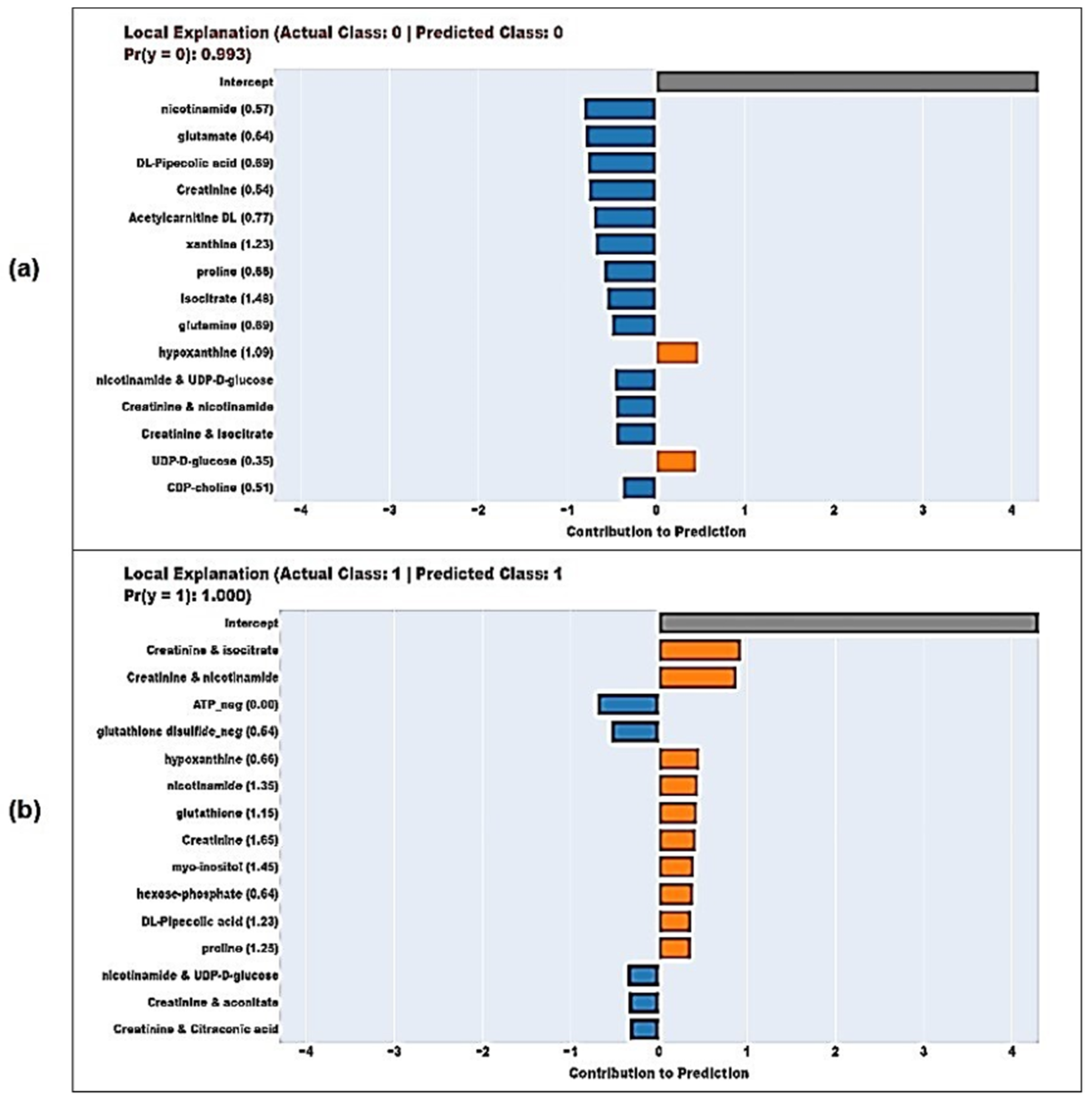
3. Results
4. Discussion
5. Conclusions
6. Limitations and Future Works
Supplementary Materials
Author Contributions
Funding
Institutional Review Board Statement
Informed Consent Statement
Data Availability Statement
Acknowledgments
Conflicts of Interest
References
- Reed, G.W.; Rossi, J.E.; Cannon, C.P. Acute myocardial infarction. Lancet 2017, 389, 197–210. [Google Scholar] [CrossRef]
- Hajar, R. Evolution of myocardial infarction and its biomarkers: A historical perspective. Heart Views Off. J. Gulf Heart Assoc. 2016, 17, 167. [Google Scholar] [CrossRef] [PubMed]
- Kim, Y.H.; Her, A.-Y.; Rha, S.-W.; Choi, C.U.; Choi, B.G.; Kim, J.B.; Park, S.; Kang, D.O.; Park, J.Y.; Park, S.-H. Comparison of clinical outcomes after non-ST-segment and ST-segment elevation myocardial infarction in diabetic and nondiabetic populations. J. Clin. Med. 2022, 11, 5079. [Google Scholar] [CrossRef]
- Clish, C.B. Metabolomics: An emerging but powerful tool for precision medicine. Cold Spring Harb. Mol. Case Stud. 2015, 1, a000588. [Google Scholar] [CrossRef] [PubMed]
- Johnson, C.H.; Ivanisevic, J.; Siuzdak, G. Metabolomics: Beyond biomarkers and towards mechanisms. Nat. Rev. Mol. Cell Biol. 2016, 17, 451–459. [Google Scholar] [CrossRef]
- Guldogan, E.; Yagin, F.H.; Pinar, A.; Colak, C.; Kadry, S.; Kim, J. A proposed tree-based explainable artificial intelligence approach for the prediction of angina pectoris. Sci. Rep. 2023, 13, 22189. [Google Scholar] [CrossRef]
- Konstantinov, A.V.; Utkin, L.V. Interpretable machine learning with an ensemble of gradient boosting machines. Knowl.-Based Syst. 2021, 222, 1–28. [Google Scholar] [CrossRef]
- Hernandez-Boussard, T.; Bozkurt, S.; Ioannidis, J.P.A.; Shah, N.H. MINIMAR (MINimum Information for Medical AI Reporting): Developing reporting standards for artificial intelligence in health care. J. Am. Med. Inform. Assoc. 2020, 27, 2011–2015. [Google Scholar] [CrossRef]
- The Metabolomics Workbench. Available online: https://www.metabolomicsworkbench.org/ (accessed on 30 February 2024).
- Cortes, D. Explainable outlier detection through decision tree conditioning. arXiv 2020, arXiv:2001.00636. [Google Scholar]
- Zenkl-Galaz, M.A.; Loyola-González, O.; Medina-Pérez, M.A. IOGOD: An interpretable outlier generation-based outlier detector for categorical databases. Expert Syst. Appl. 2022, 195, 116570. [Google Scholar] [CrossRef]
- Wilson, S. miceforest: Fast, Memory Efficient Imputation with LightGBM. 2022. Available online: https://github.com/AnotherSamWilson/miceforest (accessed on 4 March 2024).
- Ke, G.; Meng, Q.; Finley, T.; Wang, T.; Chen, W.; Ma, W.; Ye, Q.; Liu, T.-Y. Lightgbm: A highly efficient gradient boosting decision tree. Adv. Neural Inf. Process. Syst. 2017, 30, 1–9. [Google Scholar]
- Van Buuren, S.; Groothuis-Oudshoorn, K. mice: Multivariate imputation by chained equations in R. J. Stat. Softw. 2011, 45, 1–67. [Google Scholar] [CrossRef]
- Kursa, M.B.; Jankowski, A.; Rudnicki, W.R. Boruta–a system for feature selection. Fundam. Informaticae 2010, 101, 271–285. [Google Scholar] [CrossRef]
- Nori, H.; Jenkins, S.; Koch, P.; Caruana, R. Interpretml: A unified framework for machine learning interpretability. arXiv 2019, arXiv:1909.09223. [Google Scholar]
- Hastie, T.; Tibshirani, R. Generalized Additive Models; Some Applications. In Generalized Linear Models. Lecture Notes in Statistics; Gilchrist, R., Francis, B., Whittaker, J., Eds.; Springer: New York, NY, USA, 1985; Volume 32. [Google Scholar]
- Lou, Y.; Caruana, R.; Gehrke, J.; Hooker, G. Accurate intelligible models with pairwise interactions. In Proceedings of the 19th ACM SIGKDD International Conference on Knowledge Discovery and Data Mining, Chicago, IL, USA, 11–14 August 2013; pp. 623–631. [Google Scholar]
- Lim, S.Y.; Lim, F.L.S.; Criado-Navarro, I.; Yeo, X.H.; Dayal, H.; Vemulapalli, S.D.; Seah, S.J.; Laserna, A.K.C.; Yang, X.; Tan, S.H. Multi-omics investigation into acute myocardial infarction: An integrative method revealing interconnections amongst the metabolome, lipidome, glycome, and metallome. Metabolites 2022, 12, 1080. [Google Scholar] [CrossRef] [PubMed]
- Fu, M.; He, R.; Zhang, Z.; Ma, F.; Shen, L.; Zhang, Y.; Duan, M.; Zhang, Y.; Wang, Y.; Zhu, L. Multinomial machine learning identifies independent biomarkers by integrated metabolic analysis of acute coronary syndrome. Sci. Rep. 2023, 13, 20535. [Google Scholar]
- Herm, L.-V.; Wanner, J.; Seubert, F.; Janiesch, C. I Don’t Get IT, but IT seems Valid! The Connection between Explainability and Comprehensibility in (X) AI Research. 2021. Available online: https://www.researchgate.net/profile/Christian_Janiesch/publication/351157118_I_Don't_Get_It_but_It_Seems_Valid_The_Connection_Between_Explainability_and_Comprehensibility_in_XAI_Research/links/608acb9ea6fdccaebdf89b4d/I-Dont-Get-It-but-It-Seems-Valid-The-Connection-Between-Explainability-and-Comprehensibility-in-XAI-Research.pdf (accessed on 25 March 2024).
- Makarov, M.V.; Trammell, S.A.; Migaud, M.E. The chemistry of the vitamin B3 metabolome. Biochem. Soc. Trans. 2019, 47, 131–147. [Google Scholar] [PubMed]
- Surjana, D.; Halliday, G.M.; Damian, D.L. Role of nicotinamide in DNA damage, mutagenesis, and DNA repair. J. Nucleic Acids 2010, 2010, 157591. [Google Scholar] [CrossRef]
- Anderson, G.D.; Peterson, T.C.; Farin, F.M.; Beyer, R.P.; Hoane, M. The effect of nicotinamide on gene expression in a traumatic brain injury model. Front. Neurosci. 2013, 7, 40698. [Google Scholar]
- Xie, N.; Zhang, L.; Gao, W.; Huang, C.; Huber, P.E.; Zhou, X.; Li, C.; Shen, G.; Zou, B. NAD+ metabolism: Pathophysiologic mechanisms and therapeutic potential. Signal Transduct. Target. Ther. 2020, 5, 227. [Google Scholar]
- Yao, W.; Pei, Z.; Zhang, X. NAD(+): A key metabolic regulator with great therapeutic potential for myocardial infarction via Sirtuins family. Heliyon 2023, 9, e21890. [Google Scholar] [CrossRef]
- Fontecha-Barriuso, M.; Lopez-Diaz, A.M.; Carriazo, S.; Ortiz, A.; Sanz, A.B. Nicotinamide and acute kidney injury. Clin. Kidney J. 2021, 14, 2453–2462. [Google Scholar] [CrossRef]
- Abdellatif, M.; Trummer-Herbst, V.; Koser, F.; Durand, S.; Adão, R.; Vasques-Nóvoa, F.; Freundt, J.K.; Voglhuber, J.; Pricolo, M.-R.; Kasa, M.; et al. Nicotinamide for the treatment of heart failure with preserved ejection fraction. Sci. Transl. Med. 2021, 13, eabd7064. [Google Scholar] [CrossRef]
- Liou, S. Nicotinamide. Available online: http://161.35.229.200/index.php/2010/06/29/nicotinamide/ (accessed on 9 March 2024).
- Williamson, L.; New, D. How the use of creatine supplements can elevate serum creatinine in the absence of underlying kidney pathology. Case Rep. 2014, 2014, bcr2014204754. [Google Scholar] [CrossRef]
- Babu, P.J.; Tirkey, A.; Rao, T.J.M.; Chanu, N.B.; Lalchhandama, K.; Singh, Y.D. Conventional and nanotechnology based sensors for creatinine (A kidney biomarker) detection: A consolidated review. Anal. Biochem. 2022, 645, 114622. [Google Scholar]
- Jose, P.; Skali, H.; Anavekar, N.; Tomson, C.; Krumholz, H.M.; Rouleau, J.L.; Moye, L.; Pfeffer, M.A.; Solomon, S.D. Increase in creatinine and cardiovascular risk in patients with systolic dysfunction after myocardial infarction. J. Am. Soc. Nephrol. JASN 2006, 17, 2886–2891. [Google Scholar] [CrossRef]
- Gibson, C.M.; Pinto, D.S.; Murphy, S.A.; Morrow, D.A.; Hobbach, H.P.; Wiviott, S.D.; Giugliano, R.P.; Cannon, C.P.; Antman, E.M.; Braunwald, E. Association of creatinine and creatinine clearance on presentation in acute myocardial infarction with subsequent mortality. J. Am. Coll. Cardiol. 2003, 42, 1535–1543. [Google Scholar] [CrossRef]
- Chen, X.; Jin, H.; Wang, D.; Liu, J.; Qin, Y.; Zhang, Y.; Zhang, Y.; Xiang, Q. Serum creatinine levels, traditional cardiovascular risk factors and 10-year cardiovascular risk in Chinese patients with hypertension. Front. Endocrinol. 2023, 14, 1140093. [Google Scholar]
- Vikse, B.; Vollset, S.; Tell, G.; Refsum, H.; Iversen, B. Distribution and determinants of serum creatinine in the general population: The Hordaland Health Study. Scand. J. Clin. Lab. Investig. 2004, 64, 709–722. [Google Scholar] [CrossRef]
- Zhong, Z.; Liu, J.; Zhang, Q.; Zhong, W.; Li, B.; Li, C.; Liu, Z.; Yang, M.; Zhao, P. Targeted metabolomic analysis of plasma metabolites in patients with coronary heart disease in southern China. Medicine 2019, 98, e14309. [Google Scholar] [CrossRef]
- Lim, S.Y.; Ng, B.H.; Vermulapalli, D.; Lau, H.; Carrasco Laserna, A.K.; Yang, X.; Tan, S.H.; Chan, M.Y.; Li, S.F.Y. Simultaneous Polar Metabolite and N-Glycan Extraction Workflow for Joint-Omics Analysis: A Synergistic Approach for Novel Insights into Diseases. J. Proteome Res. 2022, 21, 643–653. [Google Scholar] [CrossRef]
- Gasmi, A.; Peana, M.; Arshad, M.; Butnariu, M.; Menzel, A.; Bjørklund, G. Krebs cycle: Activators, inhibitors and their roles in the modulation of carcinogenesis. Arch. Toxicol. 2021, 95, 1161–1178. [Google Scholar] [CrossRef]
- Williams, N.C.; O’Neill, L.A. A role for the Krebs cycle intermediate citrate in metabolic reprogramming in innate immunity and inflammation. Front. Immunol. 2018, 9, 317864. [Google Scholar] [CrossRef]
- Jiang, M.; Xie, X.; Cao, F.; Wang, Y. Mitochondrial metabolism in myocardial remodeling and mechanical unloading: Implications for ischemic heart disease. Front. Cardiovasc. Med. 2021, 8, 789267. [Google Scholar] [CrossRef]
- Watany, M.M.; Abd-Ellatif, R.N.; Abdeldayem, M.E.; El-Horany, H.E.-s. Association between genetic variations of mitochondrial isocitrate dehydrogenase (IDH2) and acute myocardial infarction. Gene 2022, 829, 146497. [Google Scholar] [CrossRef]





| Hyperparameters | Candidate Value | Determined Value |
|---|---|---|
| “Outer bags” | 1 to 11; step = 1 | 10 |
| “Learning rate” | [0.001, 0.005, 0.01] | 0.01 |
| “Early stopping rounds” | 35 to 41; step = 1 | 37 |
| “Max rounds” | 9000 to 10,000; step = 100 | 10,000 |
| “Max leaves” | 5 to 11; step = 1 | 10 |
| Variables | Groups | p | |
|---|---|---|---|
| AMI | Control | ||
| (n = 65) | (n = 34) | ||
| Gender | <0.001 | ||
| Female | 4 (16%) | 21 (84%) | |
| Male | 61 (82.4%) | 13 (17.6%) | |
| Age | 55.72 ± 9.01 | 56.35 ± 8.86 | 0.74 |
| BMI | 25.26 ± 3.74 | 25.07 ± 3.86 | 0.82 |
| Smoking | |||
| Yes | 22 (40.7%) | 32 (59.3%) | <0.001 |
| No | 43 (95.6%) | 2 (4.4%) | |
| Metric | Interaction Terms Added? | Data Source | Value | BCI * (95%) |
|---|---|---|---|---|
| Accuracy | Yes | Train | 1.00 | (0.99–1.00) |
| Test | 0.92 | (0.80–1.00) | ||
| No | Train | 1.00 | (0.99–1.00) | |
| Test | 0.84 | (0.68–0.96) | ||
| Sensitivity | Yes | Train | 1.00 | (0.99–1.00) |
| Test | 0.89 | (0.67–1.00) | ||
| No | Train | 1.00 | (0.99–1.00) | |
| Test | 0.83 | (0.65–1.00) | ||
| Specificity | Yes | Train | 1.00 | (0.99–1.00) |
| Test | 0.94 | (0.80–1.00) | ||
| No | Train | 1.00 | (0.99–1.00) | |
| Test | 0.86 | (0.50–1.00) | ||
| F1 score | Yes | Train | 1.00 | (0.99–1.00) |
| Test | 0.94 | (0.83–1.00) | ||
| No | Train | 1.00 | (0.99–1.00) | |
| Test | 0.88 | (0.73–0.98) | ||
| AUC | Yes | Train | 1.00 | (0.99–1.00) |
| Test | 0.95 | (0.83–1.00) | ||
| No | Train | 1.00 | (0.99–1.00) | |
| Test | 0.93 | (0.79–1.00) |
Disclaimer/Publisher’s Note: The statements, opinions and data contained in all publications are solely those of the individual author(s) and contributor(s) and not of MDPI and/or the editor(s). MDPI and/or the editor(s) disclaim responsibility for any injury to people or property resulting from any ideas, methods, instructions or products referred to in the content. |
© 2024 by the authors. Licensee MDPI, Basel, Switzerland. This article is an open access article distributed under the terms and conditions of the Creative Commons Attribution (CC BY) license (https://creativecommons.org/licenses/by/4.0/).
Share and Cite
Arslan, A.K.; Yagin, F.H.; Algarni, A.; AL-Hashem, F.; Ardigò, L.P. Combining the Strengths of the Explainable Boosting Machine and Metabolomics Approaches for Biomarker Discovery in Acute Myocardial Infarction. Diagnostics 2024, 14, 1353. https://doi.org/10.3390/diagnostics14131353
Arslan AK, Yagin FH, Algarni A, AL-Hashem F, Ardigò LP. Combining the Strengths of the Explainable Boosting Machine and Metabolomics Approaches for Biomarker Discovery in Acute Myocardial Infarction. Diagnostics. 2024; 14(13):1353. https://doi.org/10.3390/diagnostics14131353
Chicago/Turabian StyleArslan, Ahmet Kadir, Fatma Hilal Yagin, Abdulmohsen Algarni, Fahaid AL-Hashem, and Luca Paolo Ardigò. 2024. "Combining the Strengths of the Explainable Boosting Machine and Metabolomics Approaches for Biomarker Discovery in Acute Myocardial Infarction" Diagnostics 14, no. 13: 1353. https://doi.org/10.3390/diagnostics14131353
APA StyleArslan, A. K., Yagin, F. H., Algarni, A., AL-Hashem, F., & Ardigò, L. P. (2024). Combining the Strengths of the Explainable Boosting Machine and Metabolomics Approaches for Biomarker Discovery in Acute Myocardial Infarction. Diagnostics, 14(13), 1353. https://doi.org/10.3390/diagnostics14131353

