Diagnostic Significance of FNAB miRNA Expression in Papillary Thyroid Carcinoma
Abstract
:1. Introduction
2. Materials and Methods
2.1. Subjects
2.2. Total RNA Isolation
2.3. Small RNA Sequencing
2.4. RT-PCR
2.5. Statistical Analysis
3. Results
3.1. Characteristics of the Study Population
3.2. MiRNA Next-Generation Sequencing Results (Screening Cohort)
3.3. Selected miRNA Expression by Real-Time PCR Results (Validation Cohort)
3.3.1. Evaluation of Selected miRNA Relative Expression Differences Based on Clinical Demographic Features of PTC Patients
3.3.2. Evaluation of Selected miRNA Relative Expression Differences between Benign Thyroid Nodules, PTC with LNM and PTC without LNM Groups
4. Discussion
5. Conclusions
Author Contributions
Funding
Institutional Review Board Statement
Informed Consent Statement
Data Availability Statement
Acknowledgments
Conflicts of Interest
References
- Parsa, A.A.; Gharib, H. Epidemiology of thyroid nodules. In Thyroid Nodules; Gharib, H., Ed.; Springer: Berlin/Heidelberg, Germany, 2018; pp. 1–11. [Google Scholar] [CrossRef]
- Hoang, J.K.; Nguyen, X.V.; Davies, L. Overdiagnosis of Thyroid Cancer. Answers to Five Key Questions. Acad. Radiol. 2015, 22, 1024–1029. [Google Scholar] [CrossRef] [PubMed]
- Russ, G.; Bonnema, S.J.; Faik Erdogan, M.; Durante, C.; Ngu, R.; Leenhardt, L. European Thyroid Association Guidelines for Ultrasound Malignancy Risk Stratification of Thyroid Nodules in Adults: The EU-TIRADS Keywords Ultrasound Thyroid nodule Risk of malignancy Fine needle aspiration TIRADS Guidelines Background and Objectives. Eur. Thyroid. J. 2017, 6, 225–237. [Google Scholar] [CrossRef] [PubMed] [Green Version]
- Haugen, B.R.; Alexander, E.K.; Bible, K.C.; Doherty, G.M.; Mandel, S.J.; Nikiforov, Y.E.; Pacini, F.; Randolph, G.W.; Sawka, A.M.; Schlumberger, M.; et al. 2015 American Thyroid Association Management Guidelines for Adult Patients with Thyroid Nodules and Differentiated Thyroid Cancer: The American Thyroid Association Guidelines Task Force on Thyroid Nodules and Differentiated Thyroid Cancer. Thyroid 2016, 26, 1–133. [Google Scholar] [CrossRef] [PubMed] [Green Version]
- Tessler, F.N.; Middleton, W.D.; Grant, E.G.; Hoang, J.K.; Berland, L.L.; Teefey, S.A.; Cronan, J.J.; Beland, M.D.; Desser, T.S.; Frates, M.C.; et al. ACR Thyroid Imaging, Reporting and Data System (TI-RADS): White Paper of the ACR TI-RADS Committee. J. Am. Coll. Radiol. 2017, 14, 587–595. [Google Scholar] [CrossRef] [Green Version]
- Staibano, P.; Forner, D.; Noel, C.W.; Zhang, H.; Gupta, M.; Monteiro, E.; Sawka, A.M.; Pasternak, J.D.; Goldstein, D.P.; De Almeida, J.R. Ultrasonography and Fine-Needle Aspiration in Indeterminate Thyroid Nodules: A Systematic Review of Diagnostic Test Accuracy. Laryngoscope 2021, 132, 242–251. [Google Scholar] [CrossRef]
- Cibas, E.S.; Ali, S.Z. The 2017 Bethesda System for Reporting Thyroid Cytopathology. Thyroid 2017, 27, 1341–1346. [Google Scholar] [CrossRef]
- Manning, A.M.; Yang, H.; Falciglia, M.; Mark, J.R.; Steward, D.L. Thyroid Ultrasound-Guided Fine-Needle Aspiration Cytology Results: Observed Increase in Indeterminate Rate over the Past Decade. Otolaryngol. Neck Surg. 2017, 156, 611–615. [Google Scholar] [CrossRef]
- Rahib, L.; Smith, B.D.; Aizenberg, R.; Rosenzweig, A.B.; Fleshman, J.M.; Matrisian, L.M. Projecting Cancer Incidence and Deaths to 2030: The Unexpected Burden of Thyroid, Liver, and Pancreas Cancers in the United States. Cancer Res. 2014, 74, 2913–2921. [Google Scholar] [CrossRef] [Green Version]
- Vaccarella, S.; Franceschi, S.; Bray, F.; Wild, C.P.; Plummer, M.; Dal Maso, L. Worldwide Thyroid-Cancer Epidemic? Worldwide Thyroid-Cancer Epidemic? The Increasing Impact of Overdiagnosis at NEJM.org. N. Engl. J. Med. 2016, 375, 614–617. [Google Scholar] [CrossRef]
- Cabanillas, M.E.; McFadden, D.G.; Durante, C. Thyroid cancer. Lancet 2016, 388, 2783–2795. [Google Scholar] [CrossRef]
- Condrat, C.E.; Thompson, D.C.; Barbu, M.G.; Bugnar, O.L.; Boboc, A.; Cretoiu, D.; Suciu, N.; Cretoiu, S.M.; Voinea, S.C. miRNAs as Biomarkers in Disease: Latest Findings Regarding Their Role in Diagnosis and Prognosis. Cells 2020, 9, 276. [Google Scholar] [CrossRef] [PubMed] [Green Version]
- Bofill-De Ros, X.; Yang, A.; Gu, S. IsomiRs: Expanding the miRNA Repression Toolbox Beyond the Seed. Biochim. Biophys. Acta Gene Regul. Mech. 2020, 1863, 194373. [Google Scholar] [CrossRef] [PubMed]
- Hug, K.A.; Anthony, L.; Eldeiry, D.; Benson, J.; Wheeler, E.; Mousa, S.; Shi, B. Expression and tissue distribution of MicroRNA-21 in malignant and benign breast tissues. Anticancer Res. 2015, 35, 3175–3183. [Google Scholar] [PubMed]
- Zhang, W.-W.; Ming, X.-L.; Rong, Y.; Huang, C.-Q.; Weng, H.; Chen, H.; Bian, J.-M.; Wang, F.-B. Diagnostic Value Investigation and Bioinformatics Analysis of miR-31 in Patients with Lymph Node Metastasis of Colorectal Cancer. Anal. Cell. Pathol. 2019, 2019, 9740475. [Google Scholar] [CrossRef] [PubMed] [Green Version]
- Huang, K.-H.; Lan, Y.-T.; Fang, W.-L.; Chen, J.-H.; Lo, S.-S.; Fen-Yau Li, A.; Chiou, S.-H.; Wu, C.-W.; Shyr, Y.-M. The Correlation between miRNA and Lymph Node Metastasis in Gastric Cancer. BioMed Res. Int. 2015, 2015, 543163. [Google Scholar] [CrossRef]
- Santiago, K.; Chen Wongworawat, Y.; Khan, S. Differential MicroRNA-Signatures in Thyroid Cancer Subtypes. J. Oncol. 2020, 2020, 2052396. [Google Scholar] [CrossRef]
- Sheu, S.Y.; Grabellus, F.; Schwertheim, S.; Worm, K.; Broecker-Preuss, M.; Schmid, K.W. Differential miRNA expression profiles in variants of papillary thyroid carcinoma and encapsulated follicular thyroid tumours. Br. J. Cancer 2010, 102, 376–382. [Google Scholar] [CrossRef] [Green Version]
- Czajka, A.A.; Wójcicka, A.; Kubiak, A.; Kotlarek, M.; Bakuła-Zalewska, E.; Koperski, Ł.; Wiechno, W.; Jazdzewski, K. Family of microRNA-146 regulates RARβ in papillary thyroid carcinoma. PLoS ONE 2016, 11, e0151968. [Google Scholar] [CrossRef]
- Laukiene, R.; Jakubkevicius, V.; Ambrozaityte, L.; Cimbalistiene, L.; Utkus, A. Dysregulation of microRNAs as the risk factor of lymph node metastasis in papillary thyroid carcinoma: Systematic review. Endokrynol. Pol. 2021, 72, 145–152. [Google Scholar] [CrossRef]
- Gómez-Pérez, A.M.; Cornejo Pareja, I.M.; García Alemán, J.; Coín Aragüez, L.; Sebastián Ochoa, A.; Alcaide Torres, J.; Molina Vega, M.; Clu Fernández, C.; Mancha Doblas, I.; Tinahones, F.J. New molecular biomarkers in differentiated thyroid carcinoma: Impact of miR-146, miR-221 and miR-222 levels in the evolution of the disease. Clin. Endocrinol. 2019, 91, 187–194. [Google Scholar] [CrossRef]
- Schmittgen, T.D.; Livak, K.J. Analyzing real-time PCR data by the comparative CT method. Nat. Protoc. 2008, 3, 1101–1108. [Google Scholar] [CrossRef] [PubMed]
- Bates, M.F.; Lamas, M.R.; Randle, R.W.; Long, K.L.; Pitt, S.C.; Schneider, D.F.; Sippel, R.S. Back so soon?—Is early recurrence of Papillary Thyroid Cancer really just persistent disease? Surgery 2018, 163, 118–123. [Google Scholar] [CrossRef] [PubMed] [Green Version]
- Durante, C.; Montesano, T.; Torlontano, M.; Attard, M.; Monzani, F.; Tumino, S.; Costante, G.; Meringolo, D.; Bruno, R.; Trulli, F.; et al. Papillary thyroid cancer: Time course of recurrences during postsurgery surveillance. J. Clin. Endocrinol. Metab. 2013, 98, 636–642. [Google Scholar] [CrossRef] [PubMed] [Green Version]
- Acibucu, F.; Dökmetaś, H.S.; Tutar, Y.; Elagoz, Ş.; Kilicli, F. Correlations between the expression levels of micro-RNA146b, 221, 222 and p27Kip1 protein mRNA and the clinicopathologic parameters in papillary thyroid cancers. Exp. Clin. Endocrinol. Diabetes 2014, 122, 137–143. [Google Scholar] [CrossRef] [PubMed]
- Yang, F.; Zhang, H.; Leng, X.; Hao, F.; Wang, L. miR-146b measurement in FNA to distinguish papillary thyroid cancer from benign thyroid masses. Br. J. Biomed. Sci. 2018, 75, 43–45. [Google Scholar] [CrossRef]
- Pamedytyte, D.; Simanaviciene, V.; Dauksiene, D.; Leipute, E.; Zvirbliene, A.; Sarauskas, V.; Dauksa, A.; Verkauskiene, R.; Zilaitiene, B. Association of microRNA expression and BRAFV600E mutation with recurrence of thyroid cancer. Biomolecules 2020, 10, 625. [Google Scholar] [CrossRef] [Green Version]
- Kondrotien, A.E.; Daukša, A.; Pamedytyt, D.; Kazokait, M.E.; Žvirblien, A.; Daukšien, D.; Simanavičien, V.; Klimait, R.; Golubickait, I.; Stakaitis, R.; et al. Diagnostics Article Papillary Thyroid Carcinoma Tissue miR-146b,-21,-221. Diagnostics 2021, 222, 418. [Google Scholar] [CrossRef]
- Zhou, Y.-L.; Liu, C.; Dai, X.X.; Zhang, X.-H.; Wang, O.-C. Overexpression of miR-221 is associated with aggressive clinicopathologic characteristics and the BRAF mutation in papillary thyroid carcinomas. Med. Oncol. 2012, 29, 3360–3366. [Google Scholar] [CrossRef]
- Wang, Z.; Zhang, H.; He, L.; Dong, W.; Li, J.; Shan, Z.; Teng, W. Association between the expression of four upregulated miRNAs and extrathyroidal invasion in papillary thyroid carcinoma. OncoTargets. Ther. 2013, 6, 281–287. [Google Scholar] [CrossRef] [Green Version]
- Zhang, Y.; Pan, J.; Xu, D.; Yang, Z.; Sun, J.; Sun, L.; Wu, Y.; Qiao, H. Combination of serum microRNAs and ultrasound profile as predictive biomarkers of diagnosis and prognosis for papillary thyroid microcarcinoma. Oncol. Rep. 2018, 40, 3611–3624. [Google Scholar] [CrossRef] [Green Version]
- Shen, R.; Liyanarachchi, S.; Li, W.; Wakely, P.E.; Saji, M.; Huang, J.; Nagy, R.; Farrell, T.; Ringel, M.D.; De La Chapelle, A.; et al. MicroRNA Signature in Thyroid Fine Needle Aspiration Cytology Applied to “Atypia of Undetermined Significance” Cases. Thyroid 2012, 22, 9–16. [Google Scholar] [CrossRef] [PubMed] [Green Version]
- Nikiforova, M.N.; Tseng, G.C.; Steward, D.; Diorio, D.; Nikiforov, Y.E. MicroRNA Expression Profiling of Thyroid Tumors: Biological Significance and Diagnostic Utility. J. Clin. Endocrinol. Metab. 2008, 93, 1600–1608. [Google Scholar] [CrossRef] [PubMed]
- Wei, W.J.; Shen, C.T.; Song, H.J.; Qiu, Z.L.; Luo, Q.Y. MicroRNAs as a potential tool in the differential diagnosis of thyroid cancer: A systematic review and meta-analysis. Clin. Endocrinol. 2016, 84, 127–133. [Google Scholar] [CrossRef] [PubMed]
- Chou, C.K.; Yang, K.D.; Chou, F.F.; Huang, C.C.; Lana, Y.W.; Lee, Y.F.; Kang, H.Y.; Liu, R.T. Prognostic implications of miR-146b expression and its functional role in papillary thyroid carcinoma. J. Clin. Endocrinol. Metab. 2013, 98, 196–205. [Google Scholar] [CrossRef]
- Han, P.A.; Kim, H.S.; Cho, S.; Fazeli, R.; Najafian, A.; Khawaja, H.; McAlexander, M.; Dy, B.; Sorensen, M.; Aronova, A.; et al. Association of BRAFV600E Mutation and MicroRNA Expression with Central Lymph Node Metastases in Papillary Thyroid Cancer: A Prospective Study from Four Endocrine Surgery Centers. Thyroid 2016, 26, 532–542. [Google Scholar] [CrossRef] [Green Version]
- Chou, C.K.; Chen, R.F.; Chou, F.F.; Chang, H.W.; Chen, Y.J.; Lee, Y.F.; Yang, K.D.; Cheng, J.T.; Huang, C.C.; Liu, R.T. MiR-146b is highly expressed in adult papillary thyroid carcinomas with high risk features including extrathyroidal invasion and the BRAF v600e mutation. Thyroid 2010, 20, 489–494. [Google Scholar] [CrossRef]
- Peng, Y.; Li, C.; Luo, D.C.; Ding, J.W.; Zhang, W.; Pan, G. Expression profile and clinical significance of MicroRNAs in papillary thyroid carcinoma. Molecules 2014, 19, 11586–11599. [Google Scholar] [CrossRef] [Green Version]
- Sun, Y.; Yu, S.; Liu, Y.Y.Y.; Wang, F.; Liu, Y.Y.Y.; Xiao, H. Expression of miRNAs in papillary thyroid carcinomas is associated with BRAF mutation and clinicopathological features in Chinese patients. Int. J. Endocrinol. 2013, 2013, 128735. [Google Scholar] [CrossRef] [Green Version]
- Jiang, K.; Li, G.; Chen, W.; Song, L.; Wei, T.; Li, Z.; Gong, R.; Lei, J.; Shi, H.; Zhu, J. Plasma exosomal miR-146b-5p and miR-222-3p are potential biomarkers for lymph node metastasis in papillary thyroid carcinomas. Onco. Targets. Ther. 2020, 13, 1311–1319. [Google Scholar] [CrossRef] [Green Version]



| Bethesda Category | BTN (n, %) | PTC (n, %) | Total (n, %) | p Value |
|---|---|---|---|---|
| III | 17 (10.6) | 20 (12.5) | 37 (23.1) | 0.62 * |
| IV | 21 (13.1) | 3 (1.9) | 24 (15.0) | 0.001 ** |
| V | 6 (3.8) | 23 (14.4) | 29 (18.1) | 0.001 * |
| VI | 4 (2.5) | 66 (43.8) | 70 (43.8) | <0.001 ** |
| Total (n, %) | 48 (30.0) | 112 (70.0) | 160 (100) |
| Characteristic | Screening Cohort | Validation Cohort | |
|---|---|---|---|
| All patients | |||
| Number (n, %) | Benign: | 12 (20.0) | 36 (36.0) |
| FND | 10 (83.3) | 23 (63.9) | |
| FA | 2 (16.7) | 13 (36.1) | |
| PTC LNM (−) | 33 (55.0) | 34 (34.0) | |
| PTC LNM (+) | 15 (25.0) | 30 (30.0) | |
| Age (years), mean (SD) | 50.3 (14.5) | 49.6 (15.1) | |
| Sex (n, %) | Male | 8 (13.3) | 23 (23.0) |
| Female | 52 (86.7) | 77 (77.0) | |
| Tumor size mm, median (IQR) | 12 (7.0) | 16.5 (14.25) | |
| Patients with PTC | |||
| LNM (n, %) | N0 | 33 (68.75) | 34 (53.1) |
| N1 | 15 (31.25) | 30 (46.9) | |
| Extrathyroidal extension (n, %) | No | 26 (54.2) | 40 (62.5) |
| Yes | 22 (45.8) | 24 (37.5) | |
| Age groups (n, %) | ≤55 years | 32 (66.7) | 46 (71.9) |
| >55 years | 16 (33.3) | 18 (28.1) | |
| Multifocality (n, %) | No | 31 (64.6) | 41 (64.1) |
| Yes | 17 (35.4) | 23 (35.9) | |
| Hashimoto thyroiditis (n, %) | No | 27 (56.25) | 42 (65.6) |
| Yes | 21 (43.75) | 22 (34.4) | |
| Tumor size (mm) (n, %) | ≤10 mm | 25 (52.1) | 21 (32.8) |
| >10 mm | 23 (47.9) | 43 (67.2) | |
| T (TNM) (n, %) | T1 | 32 (66.7) | 49 (76.5) |
| T2 | 4 (8.3) | 9 (14.1) | |
| T3 | 12 (25.0) | 5 (7,8) | |
| T4 | 0 (0.0) | 1 (1.6) | |
| Surgery | Lobectomy | 5 (10.4) | 2 (3.1) |
| Thyroidectomy | 43 (89.6) | 62 (96.9) | |
| Lymphadenectomy | Prophylactic | 37 (86.0) | 39 (73.59) |
| Therapeutic CLN | 4 (9.3) | 11 (20.75) | |
| Therapeutic CLN and LLN | 2 (4.7) | 3 (5.66) | |
| Histological PTC subtype | Classic | 43 (89.5) | 56 (87.5) |
| Infiltrative follicular | 3 (6.3) | 5 (7.8) | |
| Oncocytic | 1 (2.1) | 0 (0.0) | |
| Solid | 0 (0.0) | 3 (4.7) | |
| Tall cell | 1 (2.1) | 0 (0.0) |
| Clinical Characteristics | n | miR125A | miR146B | miR200B | miR221 | miR4324 |
|---|---|---|---|---|---|---|
| Tumor size (cm) | ||||||
| ≤10 mm | 21 | 0.53 (0.46) | −0.10 (0.42) | −2.35 (1.84) | −1.79 (1.14) | 0.49 (0.50) |
| >10 mm | 43 | 0.37 (0.43) | −0.21 (0.42) | −2.52 (1.70) | −1.84 (1.62) | 0.36 (0.38) |
| p = 0.183 | p = 0.424 | p = 0.426 | p = 0.424 | p = 0.183 | ||
| MF | ||||||
| No | 40 | 0.37 (0.49) | −0.23 (0.44) | −2.68 (2.28) | −2.10 (1.77) | 0.37 (2.09) |
| Yes | 24 | 0.53 (0.64) | −0.10 (0.29) | −2.35 (0.99) | −1.79 (0.81) | 0.58 (0.48) |
| p = 0.127 | p = 0.084 | p = 0.258 | p = 0.043 * | p = 0.107 | ||
| Extr.Ex | ||||||
| No | 40 | 0.40 (0.38) | −0.10 (0.41) | −2.35 (2.16) | −1.79 (1.15) | 0.39 (0.40) |
| Yes | 24 | 0.53 (0.64) | −0.24 (0.48) | −2.35 (1.22) | −1.93 (1.63) | 0.47 (0.46) |
| p < 0.001 * | p < 0.001 * | p = 0.164 | p = 0.027 * | p < 0.001 * | ||
| Cervical LNM | ||||||
| No | 34 | 0.53 (0.46) | −0.10 (0.20) | −2.35 (1.51) | −1.79 (1.2) | 0.58 (0.43) |
| Yes | 30 | 0.37 (0.43) | −0.41 (0.53) | −2.68 (1.71) | −2.30 (1.68) | 0.35 (0.31) |
| p = 0.080 | p = 0.01 * | p = 0.128 | p = 0.058 | p = 0.016 * | ||
| Age | ||||||
| ≤55 years | 46 | 0.40 (0.37) | −0.18 (0.41) | −2.35 (1.72) | −1.94 (1.37) | 0.37 (0.35) |
| >55 years | 18 | 0.53 (0.86) | −0.10 (0.65) | −2.35 (1.70) | −1.79 (1.11) | 0.57 (0.56) |
| p = 0.931 | p = 0.996 | p = 0.867 | p = 0.268 | p = 0.278 | ||
| HT | ||||||
| No | 42 | 0.40 (0.47) | −0.14 (0.41) | −2.35 (1.89) | −1.79 (0.99) | 0.40 (0.39) |
| Yes | 22 | 0.47 (0.40) | −0.18 (0.52) | −2.35 (1.78) | −1.90 (1.87) | 0.48 (0.51) |
| p = 0.849 | p = 0.874 | p = 0.496 | p = 0.985 | p = 0.409 | ||
| Sex | ||||||
| Male | 12 | 0.41 (0.36) | −0.21 (0.31) | −2.68 (0.93) | −1.81 (1.34) | 0.35 (0.56) |
| Female | 52 | 0.44 (0.46) | −0.10 (0.42) | −2.35 (1.92) | −1.82 (0.72) | 0.46 (0.44) |
| p = 0.705 | p = 0.509 | p = 0.286 | p = 0.874 | p = 0.161 |
| miRNA | BTN | PTC | p Value |
|---|---|---|---|
| miR125A | 0.02 (0.38) | 0.44 (0.43) | <0.001 |
| miR146B | −1.49 (1.15) | −0.14 (0.42) | <0.001 |
| miR200B | −2.74 (1.55) | −2.35 (1.79) | 0.135 |
| miR221 | −2.34 (1.02) | −1.81 (1.10) | 0.032 |
| miR4324 | −0.12 (0.2) | 0.42 (0.40) | <0.001 |
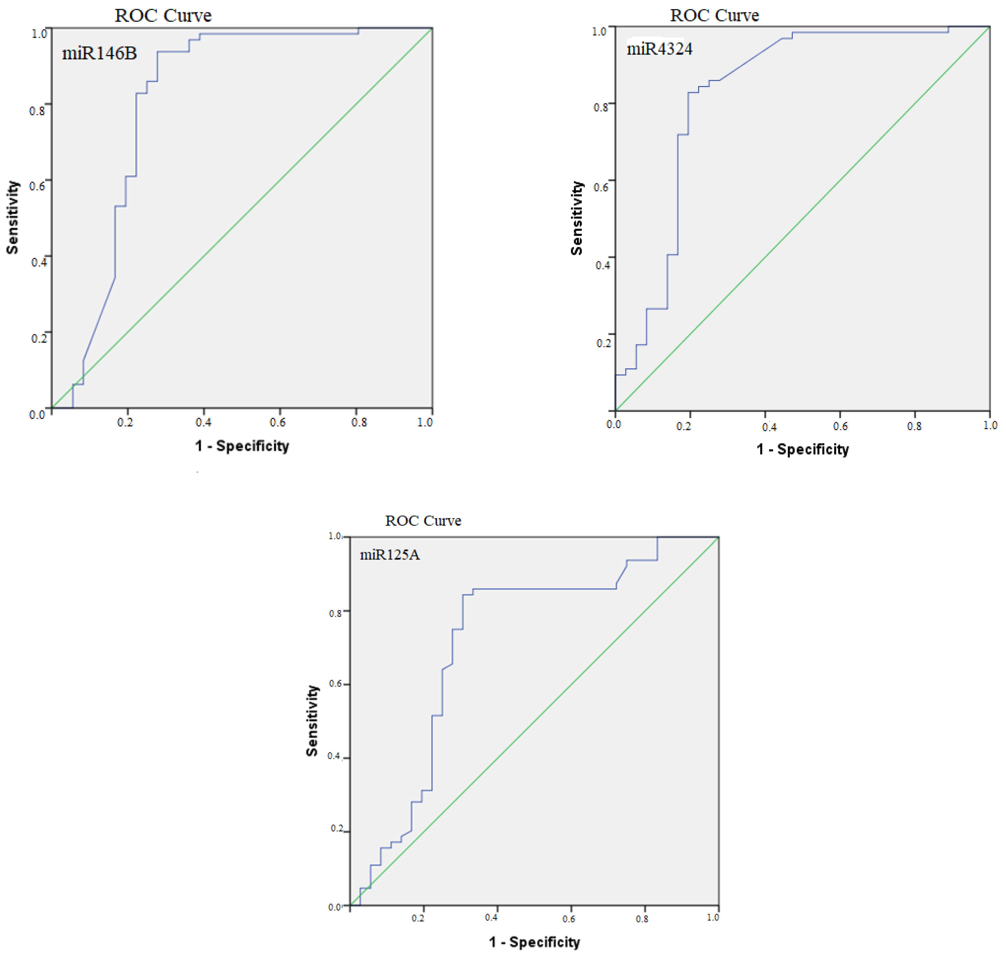
| miRNA | AUC | p Value | 95% CI | Sensitivity | Specificity |
|---|---|---|---|---|---|
| miR125A | 0.716 | <0.001 | 0.600–0.832 | 0.667 | 0.600 |
| miR146B | 0.809 | <0.001 | 0.700–0.919 | 0.824 | 0.885 |
| miR4324 | 0.827 | <0.001 | 0.790–0.926 | 0.859 | 0.750 |
| miRNA | BTN | PTC LNM (−) | PTC LNM (+) | p Value * | p Value ** |
|---|---|---|---|---|---|
| miR125A | 0.02 (0.38) | 0.53 (0.46) | 0.37 (0.43) | 0.001 | 0.080 |
| miR146B | −1.49 (1.15) | −0.10 (0.20) | −0.41 (0.53) | <0.001 | <0.001 |
| miR200B | −2.74 (1.55) | −2.35 (1.51) | −2.68 (1.71) | 0.129 | 0.128 |
| miR221 | −2.34 (1.02) | −1.79 (1.2) | −2.30 (1.68) | 0.024 | 0.058 |
| miR4328 | −0.12 (0.2) | 0.58 (0.43) | 0.35 (0.31) | <0.001 | 0.016 |
| PTC | miRNA | OR (95% CI) | p Value |
|---|---|---|---|
| PTC LNM (−) | miR146B miR4324 | 16.0 (4.188–61.148) 31.9 (5.966–170.765) | <0.001 <0.001 |
| PTC LNM (+) | miR146B miR4324 | 4.2 (1.692–10.366) 8.3 (2.155–31.977) | 0.002 0.002 |
Publisher’s Note: MDPI stays neutral with regard to jurisdictional claims in published maps and institutional affiliations. |
© 2022 by the authors. Licensee MDPI, Basel, Switzerland. This article is an open access article distributed under the terms and conditions of the Creative Commons Attribution (CC BY) license (https://creativecommons.org/licenses/by/4.0/).
Share and Cite
Laukienė, R.; Ambrozaityte, L.; Cimbalistienė, L.; Utkus, A.; Tamosiunas, A.E. Diagnostic Significance of FNAB miRNA Expression in Papillary Thyroid Carcinoma. Diagnostics 2022, 12, 1384. https://doi.org/10.3390/diagnostics12061384
Laukienė R, Ambrozaityte L, Cimbalistienė L, Utkus A, Tamosiunas AE. Diagnostic Significance of FNAB miRNA Expression in Papillary Thyroid Carcinoma. Diagnostics. 2022; 12(6):1384. https://doi.org/10.3390/diagnostics12061384
Chicago/Turabian StyleLaukienė, Romena, Laima Ambrozaityte, Loreta Cimbalistienė, Algirdas Utkus, and Algirdas Edvardas Tamosiunas. 2022. "Diagnostic Significance of FNAB miRNA Expression in Papillary Thyroid Carcinoma" Diagnostics 12, no. 6: 1384. https://doi.org/10.3390/diagnostics12061384
APA StyleLaukienė, R., Ambrozaityte, L., Cimbalistienė, L., Utkus, A., & Tamosiunas, A. E. (2022). Diagnostic Significance of FNAB miRNA Expression in Papillary Thyroid Carcinoma. Diagnostics, 12(6), 1384. https://doi.org/10.3390/diagnostics12061384

