Altered PTPN22 and IL10 mRNA Expression Is Associated with Disease Activity and Renal Involvement in Systemic Lupus Erythematosus
Abstract
1. Introduction
2. Materials and Methods
2.1. Subjects
2.2. Laboratory Assessment
2.3. Real-Time Quantitative PCR Assay
2.4. Quantification of IL-10, IL-17 and IFN-γ Serum Levels
2.5. Statistical Analysis
3. Results
3.1. Clinical Characteristics of SLE Patients
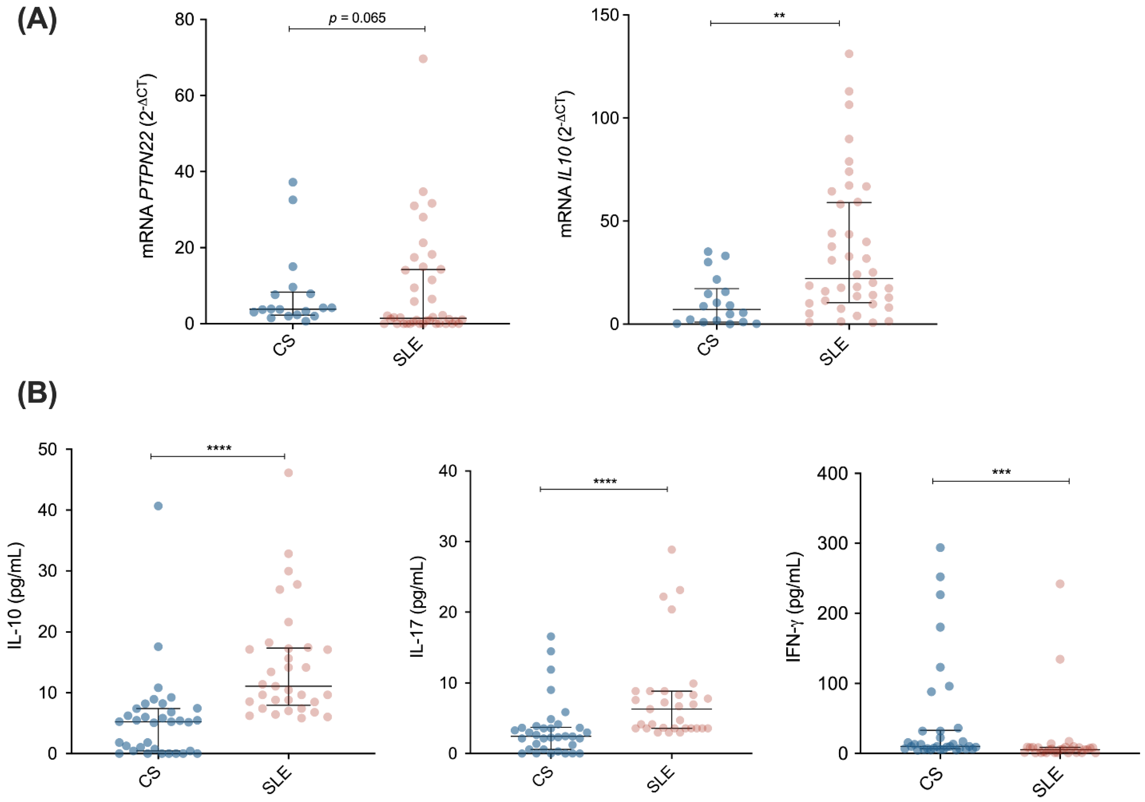
3.2. Levels of PTPN22, IL10, OAS2, and CD70 mRNA and IL-10, IL-17 and IFN-γ Cytokines in SLE Patients
3.3. Association between PTPN22, IL10, OAS2, and CD70 mRNA and IL-10, IL-17, and IFN-γ Cytokines with Clinical Characteristics in SLE Patients
3.4. Correlation Patterns between PTPN22, IL10, OAS2, and CD70 mRNA and IL-10, IL-17, and IFN-γ Cytokine Levels in SLE Patients
3.5. Levels of PTPN22, IL10, OAS2, and CD70 mRNA according to SLE Patient’s Treatment
4. Discussion
Supplementary Materials
Author Contributions
Funding
Institutional Review Board Statement
Informed Consent Statement
Data Availability Statement
Conflicts of Interest
References
- Fava, A.; Petri, M. Systemic Lupus Erythematosus: Diagnosis and Clinical Management. J. Autoimmun. 2019, 96, 1–13. [Google Scholar] [CrossRef]
- Yap, D.Y.H.; Lai, K.N. Pathogenesis of Renal Disease in Systemic Lupus Erythematosus--the Role of Autoantibodies and Lymphocytes Subset Abnormalities. Int. J. Mol. Sci. 2015, 16, 7917–7931. [Google Scholar] [CrossRef]
- van Vollenhoven, R.F.; Voskuyl, A.; Morand, E.; Aranow, C. Remission in SLE: Closing in on the Target. Ann. Rheum. Dis. 2015, 74, 2103–2106. [Google Scholar] [CrossRef]
- Burn, G.L.; Svensson, L.; Sanchez-Blanco, C.; Saini, M.; Cope, A.P. Why Is PTPN22 a Good Candidate Susceptibility Gene for Autoimmune Disease? FEBS Lett. 2011, 585, 3689–3698. [Google Scholar] [CrossRef]
- Salmond, R.J.; Brownlie, R.J.; Zamoyska, R. Multifunctional Roles of the Autoimmune Disease-Associated Tyrosine Phosphatase PTPN22 in Regulating T Cell Homeostasis. Cell Cycle 2015, 14, 705–711. [Google Scholar] [CrossRef]
- Menard, L.; Saadoun, D.; Isnardi, I.; Ng, Y.S.; Meyers, G.; Massad, C.; Price, C.; Abraham, C.; Motaghedi, R.; Buckner, J.H.; et al. The PTPN22 Allele Encoding an R620W Variant Interferes with the Removal of Developing Autoreactive B Cells in Humans. J. Clin. Investig. 2011, 121, 3635–3644. [Google Scholar] [CrossRef]
- Schrezenmeier, E.; Weißenberg, S.Y.; Stefanski, A.L.; Szelinski, F.; Wiedemann, A.; Lino, A.C.; Dörner, T. Postactivated B Cells in Systemic Lupus Erythematosus: Update on Translational Aspects and Therapeutic Considerations. Curr. Opin. Rheumatol. 2019, 31, 175–184. [Google Scholar] [CrossRef]
- Chang, H.H.; Dwivedi, N.; Nicholas, A.P.; Ho, I.C. The W620 Polymorphism in PTPN22 Disrupts Its Interaction with Peptidylarginine Deiminase Type 4 and Enhances Citrullination and NETosis. Arthritis Rheumatol. 2015, 67, 2323–2334. [Google Scholar] [CrossRef]
- Wang, Y.; Shaked, I.; Stanford, S.M.; Zhou, W.; Curtsinger, J.M.; Mikulski, Z.; Shaheen, Z.R.; Cheng, G.; Sawatzke, K.; Campbell, A.M.; et al. The Autoimmunity-Associated Gene PTPN22 Potentiates Toll-like Receptor-Driven, Type 1 Interferon-Dependent Immunity. Immunity 2013, 39, 111–122. [Google Scholar] [CrossRef]
- Spalinger, M.R.; Lang, S.; Weber, A.; Frei, P.; Fried, M.; Rogler, G.; Scharl, M. Loss of Protein Tyrosine Phosphatase Nonreceptor Type 22 Regulates Interferon-γ-Induced Signaling in Human Monocytes. Gastroenterology 2013, 144, 978–988. [Google Scholar] [CrossRef]
- Ronninger, M.; Guo, Y.; Shchetynsky, K.; Hill, A.; Khademi, M.; Olsson, T.; Reddy, P.S.; Seddighzadeh, M.; Clark, J.D.; Lin, L.L.; et al. The Balance of Expression of PTPN22 Splice Forms Is Significantly Different in Rheumatoid Arthritis Patients Compared with Controls. Genome Med. 2012, 4, 1–9. [Google Scholar] [CrossRef]
- Chang, H.H.; Tseng, W.; Cui, J.; Costenbader, K.; Ho, I.C. Altered Expression of Protein Tyrosine Phosphatase, Non-Receptor Type 22 Isoforms in Systemic Lupus Erythematosus. Arthritis Res. Ther. 2014, 16, 1–12. [Google Scholar] [CrossRef]
- Miao, Q.; Zhong, Z.; Jiang, Z.; Lin, Y.; Ni, B.; Yang, W.; Tang, J. RNA-Seq of Circular RNAs Identified CircPTPN22 as a Potential New Activity Indicator in Systemic Lupus Erythematosus. Lupus 2019, 28, 520–528. [Google Scholar] [CrossRef]
- Machado-Contreras, J.R.; Muñoz-Valle, J.F.; Cruz, A.; Salazar-Camarena, D.C.; Marín-Rosales, M.; Palafox-Sánchez, C.A. Distribution of PTPN22 Polymorphisms in SLE from Western Mexico: Correlation with MRNA Expression and Disease Activity. Clin. Exp. Med. 2016, 16, 399–406. [Google Scholar] [CrossRef]
- Grammatikos, A.P.; Kyttaris, V.C.; Kis-Toth, K.; Fitzgerald, L.M.; Devlin, A.; Finnell, M.D.; Tsokos, G.C. A T Cell Gene Expression Panel for the Diagnosis and Monitoring of Disease Activity in Patients with Systemic Lupus Erythematosus. Clin. Immunol. 2014, 150, 192–200. [Google Scholar] [CrossRef]
- Sadler, A.J.; Williams, B.R.G. Interferon-Inducible Antiviral Effectors. Nat. Rev. Immunol. 2008, 8, 559–568. [Google Scholar] [CrossRef]
- Preble, O.T.; Rothko, K.; Klippel, J.H.; Friedman, R.M.; Johnston, M.I. Interferon-Induced 2′-5′ Adenylate Synthetase in Vivo and Interferon Production in Vitro by Lymphocytes from Systemic Lupus Erythematosus Patients with and without Circulating Interferon. J. Exp. Med. 1983, 157, 2140–2146. [Google Scholar] [CrossRef]
- Hylton, W.; Cayley, J.; Dore, C.; Denman, A.M. 2′-5′-Oligoadenylate Synthetase Induction in Lymphocytes of Patients with Connective Tissue Diseases. Ann. Rheum. Dis. 1986, 45, 220–224. [Google Scholar] [CrossRef]
- Han, B.K.; Olsen, N.J.; Bottaro, A. The CD27-CD70 Pathway and Pathogenesis of Autoimmune Disease. Semin. Arthritis Rheum. 2016, 45, 496–501. [Google Scholar] [CrossRef]
- Saraiva, M.; Vieira, P.; O’Garra, A. Biology and Therapeutic Potential of Interleukin-10. J. Exp. Med. 2020, 217, e20190418. [Google Scholar] [CrossRef]
- Han, B.K.; White, A.M.; Dao, K.H.; Karp, D.R.; Wakeland, E.K.; Davis, L.S. Increased Prevalence of Activated CD70+CD4+ T Cells in the Periphery of Patients with Systemic Lupus Erythematosus. Lupus 2005, 14, 598–606. [Google Scholar] [CrossRef]
- Lu, Q.; Zhao, M.; Tang, J.; Gao, F.; Wu, X.; Liang, Y.; Yin, H. Hypomethylation of IL10 and IL13 Promoters in CD4+ T Cells of Patients with Systemic Lupus Erythematosus. J. Biomed. Biotechnol. 2010, 2010, 931018. [Google Scholar] [CrossRef]
- Palafox-Sánchez, C.A.; Oregon-Romero, E.; Salazar-Camarena, D.C.; Valle, Y.M.; Machado-Contreras, J.R.; Cruz, A.; Orozco-López, M.; Orozco-Barocio, G.; Vázquez-Del Mercado, M.; Muñoz-Valle, J.F. Association of Interleukin-10 Promoter Haplotypes with Disease Susceptibility and IL-10 Levels in Mexican Patients with Systemic Lupus Erythematosus. Clin. Exp. Med. 2015, 15, 439–446. [Google Scholar] [CrossRef]
- Vang, T.; Landskron, J.; Viken, M.K.; Oberprieler, N.; Torgersen, K.M.; Mustelin, T.; Tasken, K.; Tautz, L.; Rickert, R.C.; Lie, B.A. The Autoimmune-Predisposing Variant of Lymphoid Tyrosine Phosphatase Favors T Helper 1 Responses. Hum. Immunol. 2013, 74, 574–585. [Google Scholar] [CrossRef]
- Coquet, J.M.; Middendorp, S.; van der Horst, G.; Kind, J.; Veraar, E.A.M.; Xiao, Y.; Jacobs, H.; Borst, J. The CD27 and CD70 Costimulatory Pathway Inhibits Effector Function of T Helper 17 Cells and Attenuates Associated Autoimmunity. Immunity 2013, 38, 53–65. [Google Scholar] [CrossRef]
- Guzmán, J.; Cardiel, M.H.; Arce-Salinas, A.; Sánchez-Guerrero, J.; Alarcón-Segovia, D. Measurement of disease activity in systemic lupus erythematosus. Prospective validation of 3 clinical indices. J. Rheumatol. 1992, 19, 1551–1558. [Google Scholar]
- Gladman, D.; Ginzler, E.; Goldsmith, C.; Fortin, P.; Liang, M.; Urowitz, M.; Bacon, P.; Bombardieri, S.; Hanly, J.; Hay, E.; et al. The Development and Initial Validation of the Systemic Lupus International Collaborating Clinics/American College of Rheumatology Damage Index for Systemic Lupus Erythematosus. Arthritis Rheum. 1996, 39, 363–369. [Google Scholar] [CrossRef]
- Schmittgen, T.D.; Livak, K.J. Analyzing Real-Time PCR Data by the Comparative C(T) Method. Nat. Protoc. 2008, 3, 1101–1108. [Google Scholar] [CrossRef]
- Stanford, S.M.; Bottini, N. PTPN22: The Archetypal Non-HLA Autoimmunity Gene. Nat. Rev. Rheumatol. 2014, 10, 602–611. [Google Scholar] [CrossRef]
- Aarnisalo, J.; Treszl, A.; Svec, P.; Marttila, J.; Öling, V.; Simell, O.; Knip, M.; Körner, A.; Madacsy, L.; Vasarhelyi, B.; et al. Reduced CD4+T Cell Activation in Children with Type 1 Diabetes Carrying the PTPN22/Lyp 620Trp Variant. J. Autoimmun. 2008, 31, 13–21. [Google Scholar] [CrossRef]
- Banchereau, R.; Hong, S.; Cantarel, B.; Baldwin, N.; Baisch, J.; Edens, M.; Cepika, A.M.; Acs, P.; Turner, J.; Anguiano, E.; et al. Personalized Immunomonitoring Uncovers Molecular Networks That Stratify Lupus Patients. Cell 2016, 165, 551–565. [Google Scholar] [CrossRef]
- Hedrich, C.M.; Rauen, T.; Apostolidis, S.A.; Grammatikos, A.P.; Rodriguez, N.R.; Ioannidis, C.; Kyttaris, V.C.; Crispin, J.C.; Tsokos, G.C. Stat3 Promotes IL-10 Expression in Lupus T Cells through Trans-Activation and Chromatin Remodeling. Proc. Natl. Acad. Sci. USA 2014, 111, 13457–13462. [Google Scholar] [CrossRef]
- Csiszár, A.; Nagy, G.; Gergely, P.; Pozsonyi, T.; Pócsik, É. Increased Interferon-Gamma (IFN-Gamma), IL-10 and Decreased IL-4 MRNA Expression in Peripheral Blood Mononuclear Cells (PBMC) from Patients with Systemic Lupus Erythematosus (SLE). Clin. Exp. Immunol. 2000, 122, 464–470. [Google Scholar] [CrossRef]
- Ye, S.; Guo, Q.; Tang, J.P.; Yang, C.D.; Shen, N.; Chen, S.L. Could 2′5′-Oligoadenylate Synthetase Isoforms Be Biomarkers to Differentiate between Disease Flare and Infection in Lupus Patients? A Pilot Study. Clin. Rheumatol. 2007, 26, 186–190. [Google Scholar] [CrossRef]
- Kozlowska, A.; Hrycaj, P.; Lacki, J.K.; Jagodzinski, P.P. Fyn and CD70 Expression in CD4+ T Cells from Patients with Systemic Lupus Erythematosus. J. Rheumatol. 2010, 37, 53–59. [Google Scholar] [CrossRef]
- Pacheco, Y.; Barahona-Correa, J.; Monsalve, D.M.; Acosta-Ampudia, Y.; Rojas, M.; Rodríguez, Y.; Saavedra, J.; Rodríguez-Jiménez, M.; Mantilla, R.D.; Ramírez-Santana, C.; et al. Cytokine and Autoantibody Clusters Interaction in Systemic Lupus Erythematosus. J. Transl. Med. 2017, 15, 239. [Google Scholar] [CrossRef]
- Reynolds, J.A.; McCarthy, E.M.; Haque, S.; Ngamjanyaporn, P.; Sergeant, J.C.; Lee, E.; Lee, E.; Kilfeather, S.A.; Parker, B.; Bruce, I.N. Cytokine Profiling in Active and Quiescent SLE Reveals Distinct Patient Subpopulations. Arthritis. Res. Ther. 2018, 20, 1–10. [Google Scholar] [CrossRef]
- Raymond, W.D.; Eilertsen, G.Ø.; Nossent, J. Principal Component Analysis Reveals Disconnect between Regulatory Cytokines and Disease Activity in Systemic Lupus Erythematosus. Cytokine 2019, 114, 67–73. [Google Scholar] [CrossRef]
- Yan, C.; Yu, L.; Zhang, X.L.; Shang, J.J.; Ren, J.; Fan, J.; Feng, X.Q.; Zhang, R.W.; Xia, Z.B.; Duan, X.W. Cytokine Profiling in Chinese SLE Patients: Correlations with Renal Dysfunction. J. Immunol. Res. 2020, 2020, 8146502. [Google Scholar] [CrossRef]
- Hagiwara, E.; Gourley, M.F.; Lee, S.; Klinman, D.M. Disease Severity in Patients with Systemic Lupus Erythematosus Correlates with an Increased Ratio of Interleukin-10:Interferon-Gamma-Secreting Cells in the Peripheral Blood. Arthritis Rheum. 1996, 39, 379–385. [Google Scholar] [CrossRef]
- Vincent, F.B.; Northcott, M.; Hoi, A.; Mackay, F.; Morand, E.F. Clinical Associations of Serum Interleukin-17 in Systemic Lupus Erythematosus. Arthritis Res. Ther. 2013, 15, R97. [Google Scholar] [CrossRef] [PubMed]
- Cigni, A.; Pileri, P.V.; Faedda, R.; Gallo, P.; Sini, A.; Satta, A.E.; Marras, R.; Carta, E.; Argiolas, D.; Rum, I.; et al. Interleukin 1, Interleukin 6, Interleukin 10, and Tumor Necrosis Factor α in Active and Quiescent Systemic Lupus Erythematosus. J. Investig. Med. 2014, 62, 825–829. [Google Scholar] [CrossRef] [PubMed]
- Abdel Galil, S.M.; Ezzeldin, N.; El-Boshy, M.E. The Role of Serum IL-17 and IL-6 as Biomarkers of Disease Activity and Predictors of Remission in Patients with Lupus Nephritis. Cytokine 2015, 76, 280–287. [Google Scholar] [CrossRef] [PubMed]
- Idborg, H.; Oke, V. Cytokines as Biomarkers in Systemic Lupus Erythematosus: Value for Diagnosis and Drug Therapy. Int. J. Mol. Sci. 2021, 22, 11327. [Google Scholar] [CrossRef] [PubMed]
- Zhou, X.; Fragala, M.S.; McElhaney, J.E.; Kuchel, G.A. Conceptual and Methodological Issues Relevant to Cytokine and Inflammatory Marker Measurements in Clinical Research. Curr. Opin. Clin. Nutr. Metab. Care. 2010, 13, 541–547. [Google Scholar] [CrossRef] [PubMed]
- Wu, H.; Zeng, J.; Yin, J.; Peng, Q.; Zhao, M.; Lu, Q. Organ-Specific Biomarkers in Lupus. Autoimmun. Rev. 2017, 16, 391–397. [Google Scholar] [CrossRef]
- Gayo, A.; Mozo, L.; Suárez, A.; Tuñon, A.; Lahoz, C.; Gutiérrez, C. Glucocorticoids Increase IL-10 Expression in Multiple Sclerosis Patients with Acute Relapse. J. Neuroimmunol. 1998, 85, 122–130. [Google Scholar] [CrossRef]
- Mann, E.H.; Gabryšová, L.; Pfeffer, P.E.; O’Garra, A.; Hawrylowicz, C.M. High-Dose IL-2 Skews a Glucocorticoid-Driven IL-17+IL-10+ Memory CD4+ T Cell Response towards a Single IL-10-Producing Phenotype. J. Immunol. 2019, 202, 684–693. [Google Scholar] [CrossRef]




| Male/female | 1/39 |
| Age (years) 1 | 31.8 ± 12 |
| Disease duration (years) 2 | 4.0 (1.0–8.2) |
| Clinical assessment | |
| Mex-SLEDAI score 2 | 4.0 (1.0–7.0) |
| SLICC score | 0.0 (0.0–1.0) |
| Autoantibody positivity 3 | |
| ANA > 1:320 | 39 (98) |
| Anti-dsDNA | 25 (63) |
| Anti-Sm | 11 (28) |
| Anti-RNP | 10 (25) |
| Anti-Ro | 5 (13) |
| Anti-La | 3 (8) |
| Clinical manifestations 3 | |
| Hematologic a | 19 (48) |
| Renal c | 12 (30) |
| Mucocutaneous b | 12 (30) |
| Fatigue | 11 (28) |
| Articular | 7 (18) |
| Hemolytic anemia | 7 (18) |
| Antiphospholipid syndrome | 3 (8) |
| Treatment 3 | |
| Prednisone | 28 (70) |
| Chloroquine | 20 (50) |
| Azathioprine | 18 (45) |
| Cyclophosphamide IV d | 8 (20) |
| Hydroxychloroquine | 8 (20) |
| Methotrexate | 6 (15) |
Publisher’s Note: MDPI stays neutral with regard to jurisdictional claims in published maps and institutional affiliations. |
© 2022 by the authors. Licensee MDPI, Basel, Switzerland. This article is an open access article distributed under the terms and conditions of the Creative Commons Attribution (CC BY) license (https://creativecommons.org/licenses/by/4.0/).
Share and Cite
Román-Fernández, I.V.; Machado-Contreras, J.R.; Muñoz-Valle, J.F.; Cruz, A.; Salazar-Camarena, D.C.; Palafox-Sánchez, C.A. Altered PTPN22 and IL10 mRNA Expression Is Associated with Disease Activity and Renal Involvement in Systemic Lupus Erythematosus. Diagnostics 2022, 12, 2859. https://doi.org/10.3390/diagnostics12112859
Román-Fernández IV, Machado-Contreras JR, Muñoz-Valle JF, Cruz A, Salazar-Camarena DC, Palafox-Sánchez CA. Altered PTPN22 and IL10 mRNA Expression Is Associated with Disease Activity and Renal Involvement in Systemic Lupus Erythematosus. Diagnostics. 2022; 12(11):2859. https://doi.org/10.3390/diagnostics12112859
Chicago/Turabian StyleRomán-Fernández, Ilce Valeria, Jesús René Machado-Contreras, José Francisco Muñoz-Valle, Alvaro Cruz, Diana Celeste Salazar-Camarena, and Claudia Azucena Palafox-Sánchez. 2022. "Altered PTPN22 and IL10 mRNA Expression Is Associated with Disease Activity and Renal Involvement in Systemic Lupus Erythematosus" Diagnostics 12, no. 11: 2859. https://doi.org/10.3390/diagnostics12112859
APA StyleRomán-Fernández, I. V., Machado-Contreras, J. R., Muñoz-Valle, J. F., Cruz, A., Salazar-Camarena, D. C., & Palafox-Sánchez, C. A. (2022). Altered PTPN22 and IL10 mRNA Expression Is Associated with Disease Activity and Renal Involvement in Systemic Lupus Erythematosus. Diagnostics, 12(11), 2859. https://doi.org/10.3390/diagnostics12112859

