Response of Soil Nematode Community Structure and Function to Monocultures of Pumpkin and Melon
Abstract
:1. Introduction
2. Materials and Methods
2.1. Experimental Design
2.2. Soil Sampling and Analysis
2.3. Soil Nematode Extraction and Identification
2.4. Soil Nematode Community and Data Statistic
2.5. Data Analysis
3. Results
3.1. Soil Nematode Abundance and Metabolic Footprint
3.2. Soil Nematode Community Composition
3.3. Soil Nematode Ecological Indices
3.4. Correlation of Soil Nematodes with Soil Properties
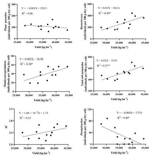
3.5. Correlation of Soil Nematodes with Yields of Pumpkin and Melon
4. Discussion
4.1. Effects of Vegetable Monoculture on Abundance and Metabolic Footprint of Soil Nematodes
4.2. Soil Nematode Community Structure Modification by Vegetable Monoculture
4.3. Effects of Vegetable Monoculture on Soil Nematode Ecological Indices
4.4. Factors Controlling the Nematode Community Structure
4.5. Correlation of Soil Nematodes with Yields of Pumpkin and Melon
5. Conclusions
Supplementary Materials
Author Contributions
Funding
Institutional Review Board Statement
Informed Consent Statement
Data Availability Statement
Conflicts of Interest
References
- Pérez-Brandán, C.; Huidobro, J.; Grümberg, B.; Scandiani, M.M.; Luque, A.G.; Meriles, J.M.; Vargas-Gil, S. Soybean fungal soil-borne diseases: A parameter for measuring the effect of agricultural intensification on soil health. Can. J. Microbiol. 2014, 60, 73–84. [Google Scholar] [CrossRef] [PubMed]
- Liu, H.; Pan, F.; Han, X.; Song, F.; Zhang, Z.; Yan, J.; Xu, Y. Response of Soil Fungal Community Structure to Long-Term Continuous Soybean Cropping. Front. Microbiol. 2019, 9, 3316. [Google Scholar] [CrossRef] [PubMed]
- Li, N.; Gao, D.; Zhou, X.; Chen, S.; Li, C.; Wu, F. Intercropping with Potato-Onion Enhanced the Soil Microbial Diversity of Tomato. Microorganisms 2020, 8, 834. [Google Scholar] [CrossRef] [PubMed]
- Mao, L.; Li, Y.; Zhang, J.; Okerblad, J.; Chen, S.; Johnson, N.C. Soil biota suppress maize growth and influence root traits under continuous monoculture. Plant Soil 2021, 461, 441–455. [Google Scholar] [CrossRef]
- Van Bruggen, A.H.C.; Semenov, A.M. In search of biological indicators for soil health and disease suppression. Appl. Soil Ecol. 2000, 15, 13–24. [Google Scholar] [CrossRef]
- Li, X.; Ding, C.; Zhang, T.; Wang, X. Fungal pathogen accumulation at the expense of plant-beneficial fungi as a consequence of consecutive peanut monoculturing. Soil Biol. Biochem. 2014, 72, 11–18. [Google Scholar] [CrossRef]
- Ritz, K.; Trudgill, D.L. Utility of nematode community analysis as an integrated measure of the functional state of soils: Perspectives and challenges. Plant Soil 1999, 212, 1–11. [Google Scholar] [CrossRef]
- Ingham, R.E.; Trofymow, J.A.; Ingham, E.R.; Coleman, D.C. Interactions of bacteria, fungi and their nematode grazers: Effects on nutrient cycling and plant growth. Ecol. Monogr. 1985, 55, 119–140. [Google Scholar] [CrossRef]
- Sánchez-Moreno, S.; Smukler, S.; Ferris, H.; O’Geen, A.T.; Jackson, L.E. Nematode diversity, food web condition and chemical and physical properties in different soil habitats of an organic farm. Biol. Fertil. Soils 2008, 44, 727–744. [Google Scholar] [CrossRef]
- Zhao, J.; Wang, F.; Li, J.; Zou, B.; Wang, X.; Li, Z.; Fu, S. Effects of experimental nitrogen and/or phosphorus on soil nematode communities in a secondary tropical forest. Soil Biol. Biochem. 2014, 75, 1–10. [Google Scholar] [CrossRef]
- Jiang, Y.; Liu, M.; Zhang, J.; Chen, Y.; Chen, X.; Chen, L.; Li, H.; Zhang, X.; Sun, B. Nematode grazing promotes bacterial community dynamics in soil at the aggregate level. ISME J. 2017, 11, 2705–2717. [Google Scholar] [CrossRef]
- Zhu, T.; Yang, C.; Wang, J.; Zeng, S.; Liu, M.; Yang, J.; Bai, B.; Cao, J.; Chen, X.; Müller, C. Bacterivore nematodes stimulate soil gross N transformation rates depending on their species. Biol. Fertil. Soils 2018, 54, 107–118. [Google Scholar] [CrossRef]
- Zhou, J.; Chen, D.; Huang, R.; Huang, G.; Yuan, Y.; Fan, H. Effects of bacterial-feeding nematodes on soil microbial activity and the microbial community in oil-contaminated soil. J. Environ. Manag. 2019, 234, 424–430. [Google Scholar] [CrossRef]
- Elling, A.A. Major emerging problems with minor Meloidogyne species. Phytopathology 2013, 103, 1092–1102. [Google Scholar] [CrossRef] [Green Version]
- Rusinque, L.; Nóbrega, F.; Cordeiro, L.; Serra, C.; Inácio, M.L. First Detection of Meloidogyne luci (Nematoda: Meloidogynidae) Parasitizing Potato in the Azores, Portugal. Plants 2021, 10, 99. [Google Scholar] [CrossRef]
- Pan, F.; Li, F.; Mao, Y.; Liu, D.; Chen, A.; Zhao, D.; Hu, Y. First Detection of Ditylenchus destructor Parasitizing Maize in Northeast China. Life 2022, 11, 1303. [Google Scholar] [CrossRef]
- DuPont, S.T.; Ferris, H.; Horn, M.N. Effects of cover crop quality and quantity on nematode-based soil food webs and nutrient cycling. Appl. Soil Ecol. 2009, 41, 157–167. [Google Scholar] [CrossRef]
- Ferris, H. Form and function: Metabolic footprints of nematodes in the soil food web. Eur. J. Soil Biol. 2010, 46, 97–104. [Google Scholar] [CrossRef]
- Hodson, A.K.; Ferris, H.; Hollander, A.D.; Jackson, L.E. Nematode food webs associated with native perennial plant species and soil nutrient pools in California riparian oak woodlands. Geoderma 2014, 228–229, 182–191. [Google Scholar] [CrossRef]
- De Deyn, G.B.; Raaijmakers, C.E.; Ruijven, J.V.; Berendse, F.; van der Putten, W.H. Plant species identity and diversity effects on different trophic levels of nematodes in the soil food web. Oikos 2004, 106, 576–586. [Google Scholar] [CrossRef]
- Sánchez-Moreno, S.; Ferris, H.; Young-Mathews, A.; Culman, S.W.; Jackson, L.E. Abundance, diversity and connectance of soil food web channels along environmental gradients in an agricultural landscape. Soil Biol. Biochem. 2011, 43, 2374–2383. [Google Scholar] [CrossRef]
- Pan, F.; Yan, R.; Zhao, J.; Li, L.; Hu, Y.; Jiang, Y.; Shen, J.; McLaughlin, N.B.; Zhao, D.; Xin, X. Effects of grazing intensity on soil nematode community structure and function in different soil layers in a meadow Steppe. Plant Soil 2021. [Google Scholar] [CrossRef]
- Anonymous. In 2014, The National Vegetable Planting Area Reached 21,289 Million Hectares. 2021. Available online: http://www.chyxx.com/industry/201511/361151.html (accessed on 20 September 2021).
- Mao, Y.; Yang, G.; Kong, D.; Liu, L.; Hu, Y. First Report of Potato Tuber Rot Caused by Ditylenchus destructor in Liaoning, China. Plant Dis. 2020, 104, 596–597. [Google Scholar] [CrossRef]
- Oliveira, A.K.S.; Pedrosa, E.M.R.; Dickson, D.W.; Vau, S.J.S.S.O.; de Sá Leitão, D.A.H.; Silva, E.F.F. Migration and penetration of Meloidogyne enterolobii and M. incognita in soil columns with tomato and marigold. Eur. J. Plant Pathol. 2020, 158, 591–598. [Google Scholar] [CrossRef]
- Naz, I.; Khan, R.A.A.; Masood, T.; Baig, A.; Siddique, I.; Haq, S. Biological control of root knot nematode, Meloidogyne incognita, in vitro, greenhouse and field in cucumber. Biol. Control 2021, 152, 104429. [Google Scholar] [CrossRef]
- Li, Q.; Jiang, Y.; Liang, W.; Lou, Y.; Zhang, E.; Liang, C. Long-term effect of fertility management on the soil nematode community in vegetable production under greenhouse conditions. Appl. Soil Ecol. 2010, 46, 111–118. [Google Scholar] [CrossRef]
- Ferris, H.; Sánchez-Moreno, S.; Brennan, E.B. Structure, functions and interguild relationships of the soil nematode assemblage in organic vegetable production. Appl. Soil Ecol. 2012, 61, 16–25. [Google Scholar] [CrossRef]
- Ozores-Hampton, M.; Mcsorley, R.; Stansly, P.A. Effects of long-term organic amendments and soil sanitation on weed and nematode populations in pepper and watermelon crops in Florida. Crop Prot. 2012, 41, 106–112. [Google Scholar] [CrossRef]
- Liu, X.B.; Herbert, S.J. Fifteen years of research examining cultivation of continuous soybean in Northeast China: A review. Field Crops Res. 2002, 79, 1–7. [Google Scholar] [CrossRef]
- Chen, H.Y.; Li, X.M.; Wang, J.G. Changes of microflora in the rhizoplane and rhizosphere of different disease soybean cultivar. II. Changes of microflora in the rhizoplane and rhizosphere of soybean under continuous cropping condition. Plant Nutr. Fertitizer Sci. 2006, 12, 104–108. (In Chinese) [Google Scholar]
- Bao, S.D. Soil and Agricultural Chemistry Analysis; China Agriculture Press: Beijing, China, 2000; pp. 11–18. [Google Scholar]
- Barker, K.R. Nematode Extraction and Bioassays. In An Advanced Treatise on Meloidogyne; Barker, K.R., Carter, C.C., Sasser, J.N., Eds.; North Carolina State University Graphics: Raleigh, NC, USA, 1985; pp. 19–35. [Google Scholar]
- Yeates, G.W.; Bongers, T.; de Goede, R.G.M.; Freckman, D.W.; Georgieva, S.S. Feeding habits in nematode families and genera—Anoutline for soil ecologists. J. Nematol. 1993, 25, 315–331. [Google Scholar]
- Monokrousos, N.; Argyropoulou, M.D.; Tzani, K.; Menkissoglou-Spiroudi, U.; Boutsis, G.; D’Addabbo, T.; Ntalli, N. The Effect of Botanicals with Nematicidal Activity on the Structural and Functional Characteristics of the Soil Nematode Community. Agriculture 2021, 11, 326. [Google Scholar] [CrossRef]
- Shannon, C.E.; Weaver, W. The Mathematical Theory of Communication; University of Illinois: Urbana, IL, USA, 1949; p. 117. [Google Scholar]
- Bongers, T. The maturity index: An ecological measure of environmental disturbance based on nematode species composition. Oecologia 1990, 83, 14–19. [Google Scholar] [CrossRef]
- Ferris, H.; Bongers, T.; de Goede, R.G.M. A framework for soil food web diagnostics: Extension of the nematode faunal analysis concept. Appl. Soil Ecol. 2001, 18, 13–29. [Google Scholar] [CrossRef]
- Li, H.; Liu, Q.; Zhang, L.; Wang, Y.; Zhang, H.; Bai, P.; Luan, X. Accumulation of phenolic acids in the monocultured strawberry soils and their effect on soil nematodes. Chin. J. Ecol. 2014, 33, 169–175. [Google Scholar]
- Qiu, H.Z.; Yin, S.X.; Zhang, C.H. Effects of Continuous Potato Monoculture on Microbial Community Diversities and Taxa Abundances in Potato Rhizosphere Soil; Geophysical Research Abstracts. 2018. Available online: https://www.longdom.org/proceedings/effects-of-continuous-potato-monoculture-on-microbial-community-diversities-and-taxa-abundances-in-potato-rhizosphere-so-40821.html (accessed on 3 December 2021).
- Li, X.; Lewis, E.E.; Liu, Q.; Li, H.; Bai, C.; Wang, Y. Effects of long-term continuous cropping on soil nematode community and soil condition associated with replant problem in strawberry habitat. Sci. Rep. 2016, 6, 30466. [Google Scholar] [CrossRef] [Green Version]
- Li, X.; Ding, C.; Liu, J.; Zhang, T.; Wang, X. Evident Response of the Soil Nematode Community to Consecutive Peanut Monoculturing. Agron. Soils Environ. Qual. 2015, 107, 195–203. [Google Scholar] [CrossRef]
- Xiong, W.; Li, Z.; Liu, H.; Xue, C.; Zhang, R.; Wu, H.; Li, R.; Shen, Q. The effect of long-term continuous cropping of black pepper on soil bacterial communities as determined by 454 pyrosequencing. PLoS ONE 2015, 10, e0136946. [Google Scholar] [CrossRef] [Green Version]
- Rasmann, S.; Ali, J.G.; Helder, J.; Putten, W.H. Ecology and evolution of soil nematode chemotaxis. J. Chem. Ecol. 2012, 38, 615–628. [Google Scholar] [CrossRef] [Green Version]
- Porazinskaa, D.L.; Duncanb, L.W.; McSorleyc, R.; Graham, J.H. Nematode communities as indicators of status and processes of a soil ecosystem influenced by agricultural management practices. App. Soil Ecol. 1999, 13, 69–86. [Google Scholar] [CrossRef]
- Li, X.G.; Ding, C.F.; Hua, K.; Zhang, T.L.; Zhang, Y.N.; Zhao, L.; Yang, Y.R.; Liu, J.G.; Wang, X.X. Soil sickness of peanuts is attributable to modifications in soil microbes induced by peanut root exudates rather than to direct allelopathy. Soil Biol. Biochem. 2014, 78, 149–159. [Google Scholar] [CrossRef]
- Hooper, D.U.; Bignell, D.E.; Brown, V.K.; Brussaard, L.; Dangerfieldn, J.M.; Wall, D.H.; Wardle, D.A.; Coleman, D.C.; Giller, K.E.; Lavelle, P.; et al. Interactions between aboveground and belowground biodiversity in terrestrial ecosystems: Patterns, mechanisms, and feedbacks. Bioscience 2000, 50, 1049–1061. [Google Scholar] [CrossRef]
- Liu, H.; Pan, F.; Han, X.; Song, F.; Zhang, Z.; Yan, J.; Xu, Y. A comprehensive analysis of the response of the fungal community structure to long-term continuous cropping in three typical upland crops. J. Integr. Agric. 2020, 19, 866–880. [Google Scholar] [CrossRef]
- Verschoor, B.C.; Goede, R.G.M.; Vries, F.W.; Brussaard, L. Changes in the composition of the plant-feeding nematode community in grasslands after cessation of fertilizer application. Appl. Soil Ecol. 2001, 17, 1–17. [Google Scholar] [CrossRef]
- Wei, C.Z.; Zheng, H.F.; Li, Q.; Lü, X.T.; Yu, Q.; Zhang, H.Y.; Chen, Q.S.; He, N.P.; Kardol, P.; Liang, W.J.; et al. Nitrogen addition regulates soil nematode community composition through ammonium suppression. PLoS ONE 2012, 8, e43384. [Google Scholar] [CrossRef] [Green Version]
- Matute, M.M.; Manning, Y.A.; Kaleem, M.I. Community structure of soil nematodes associated with solanum tuberosum. J. Agric. Sci. 2013, 5, 44–53. [Google Scholar] [CrossRef]
- Dmowska, E.; Kozłowska, J. Communities of nematodes in soil treated with semi-liquid manure. Pedobiologia 1998, 32, 323–330. [Google Scholar]
- Háněl, L. Succession of soil nematodes in pine forests on coal-mining sands near Cottbus, Germany. Appl. Soil Ecol. 2001, 16, 23–34. [Google Scholar] [CrossRef]
- Inkotte, J.; Bomfim, B.; da Silva, S.C.; Valadão, M.B.X.; da Rosa, M.G.; Viana, R.B.; Rios, P.D.; Gatto, A.; Pereira, R.S. Linking soil biodiversity and ecosystem function in a Neotropical savanna. Appl. Soil Ecol. 2022, 169, 104209. [Google Scholar] [CrossRef]
- Ye, Z.; Li, J.; Wang, J.; Zhang, C.; Liu, G.; Dong, Q. Diversity and co-occurrence network modularization of bacterial communities determine soil fertility and crop yields in arid fertigation agroecosystems. Biol. Fertil. Soils 2021, 57, 809–824. [Google Scholar] [CrossRef]
- Ito, T.; Araki, M.; Higashi, T.; Komatsuzaki, M.; Kaneko, N.; Ohta, H. Responses of soil nematode community structure to soil carbon changes due to different tillage and cover crop management practices over a nine-year period in Kanto, Japan. Appl. Soil Ecol. 2015, 89, 50–58. [Google Scholar] [CrossRef]
- Chen, S.; Qi, G.; Luo, T.; Zhang, H.; Jiang, Q.; Wang, R.; Zhao, X. Continuous-cropping tobacco caused variance of chemical properties and structure of bacterial network in soils. Land Degrad. Dev. 2018, 29, 4106–4120. [Google Scholar] [CrossRef]
- Bais, H.P.; Weir, T.L.; Perry, L.G.; Gilroy, S.; Vivanco, J.M. The role of root exudates in rhizosphere interations with plants and other organisms. Annu. Rev. Plant Biol. 2006, 57, 233–266. [Google Scholar] [CrossRef] [Green Version]
- Bhattacharyya, P.; Das, S.; Adhya, T.K. Root exudates of rice cultivars affect rhizospheric phosphorus dynamics in soils with different phosphorus statuses. Commun. Soil Sci. Plan 2013, 44, 1643–1658. [Google Scholar] [CrossRef]
- Pan, F.; Li, N.; Zou, W.; Han, X.; McLaughlin, N.B. Soil nematode community structure and metabolic footprint in the early pedogenesis of a Mollisol. Eur. J. Soil Biol. 2016, 77, 17–25. [Google Scholar] [CrossRef]
- Treonis, A.M.; Unangst, S.K.; Kepler, R.M.; Buyer, J.S.; Cavigelli, M.A.; Mirsky, S.B.; Maul, J.E. Characterization of soil nematode communities in three cropping systems through morphological and DNA metabarcoding approaches. Sci. Rep. 2018, 8, 2004. [Google Scholar] [CrossRef] [Green Version]
- Masdek, H.N.; Ismail, A.B.; Zulkifli, M.; Malip, M. Paratylenchus sp. associated with pineapple yield decline. J. Trop. Agric. Food. Sci. 2007, 35, 191–199. [Google Scholar]
- Claerbout, J.; Vandevelde, I.; Venneman, S.; Kigozi, A.; de Sutter, N.; Neukermans, J.; Bleyaert, P.; Bert, W.; Höfte, M.; Viaene, N. A thorough study of a Paratylenchus sp. in glasshouse-grown lettuce: Characterisation, population dynamics, host plants and damage threshold as keys to its integrated management. Ann. Appl. Biol. 2021, 178, 62–79. [Google Scholar] [CrossRef]







| Metabolic Footprint | PM | PR | MM | MR |
|---|---|---|---|---|
| PPF | 11.3 ± 2.0 a | 3.8 ± 0.5 b | 3.5 ± 0.6 | 4.4 ± 1.8 |
| BaF | 30.6 ± 6.7 b | 46.9 ± 2.2 a | 27.5 ± 2.2 | 35.7 ± 5.7 |
| FuF | 5.9 ± 0.3 a | 4.6 ± 0.4 b | 5.2 ± 0.3 | 4.0 ± 0.6 |
| OpF | 4.8 ± 1.1 | 4.4 ± 0.8 | 3.7 ± 1.8 | 7.1 ± 0.3 |
| Genus | Trophic Group | c-p Value | PM | PR | MM | MR | Abbreviation |
|---|---|---|---|---|---|---|---|
| Helicotylenchus | Pp | 3 | 33 ± 7 | 2 ± 0 | 4 ± 1 | 15 ± 3 | Helicoty |
| Pararotylenchus | Pp | 3 | - | 8 ± 1 | - | - | Pararoty |
| Pratylenchus | Pp | 3 | 14 ± 3 | - | - | 4 ± 1 | Pratylen |
| Paratylenchus | Pp | 3 | - | 21 ± 3 | 72 ± 17 | 21 ± 4 | Paratyle |
| Rotylenchus | Pp | 3 | 45 ± 9 | 8 ± 1 | 6 ± 1 | 4 ± 1 | Rotylenc |
| Aglenchus | Pp | 2 | - | 27 ± 4 | - | - | Aglenchu |
| Boleodorus | Pp | 2 | 8 ± 2 | - | 11 ± 2 | 23 ± 4 | Boleodor |
| Juveniles of Hoplolaimidae | Pp | 3 | 33 ± 7 | 27 ± 4 | 23 ± 5 | 13 ± 2 | Hoplolai |
| Alaimus | Ba | 4 | - | 6 ± 1 | - | 15 ± 3 | Alaimus |
| Acrobeles | Ba | 2 | 10 ± 2 | 27 ± 4 | 11 ± 2 | 8 ± 2 | Acrobele |
| Anaplectus | Ba | 2 | 29 ± 6 | 10 ± 2 | 32 ± 7 | 2 ± 0 | Anaplect |
| Acrobeloides | Ba | 2 | 70 ± 14 | 95 ± 15 | 86 ± 20 | 98 ± 19 | Acrobelo |
| Cephalobus | Ba | 2 | 29 ± 6 | 35 ± 5 | - | 17 ± 3 | Cephalob |
| Cervidellus | Ba | 2 | - | 8 ± 1 | - | - | Cervidel |
| Eucephalobus | Ba | 2 | 29 ± 6 | 143 ± 22 | 25 ± 6 | 48 ± 9 | Eucephal |
| Plectus | Ba | 2 | 33 ± 7 | - | - | 4 ± 1 | Plectus |
| Mesorhabditis | Ba | 1 | - | 31 ± 5 | 13 ± 3 | 44 ± 9 | Mesorhab |
| Protorhabditis | Ba | 1 | 8 ± 2 | 37 ± 6 | - | 46 ± 9 | Protorha |
| Rhabditidae | Ba | 1 | - | 4 ± 1 | 11 ± 2 | 8 ± 2 | Rhabditi |
| Ditylenchus | Fu | 2 | 16 ± 3 | 8 ± 1 | 21 ± 5 | 2 ± 0 | Ditylenc |
| Aphelenchoides | Fu | 2 | - | 25 ± 4 | 23 ± 5 | 19 ± 4 | Apheleno |
| Aphelenchus | Fu | 2 | 60 ± 12 | 39 ± 6 | 38 ± 9 | 40 ± 8 | Aphelenc |
| Filenchus | Fu | 2 | 41 ± 8 | 33 ± 5 | 23 ± 5 | 19 ± 4 | Filenchu |
| Tylencholaimellus | Fu | 4 | - | - | - | 13 ± 2 | Tylencho |
| Aporcelaimus | OP | 5 | - | 4 ± 1 | - | 4 ± 1 | Aporcela |
| Mononchus | OP | 4 | - | - | 4 ± 1 | 2 ± 0 | Mononchu |
| Eudorylaimus | OP | 4 | 25 ± 5 | 2 ± 0 | 17 ± 4 | 31 ± 6 | Eudoryla |
| Longidorella | OP | 4 | 6 ± 1 | 10 ± 2 | 4 ± 1 | 4 ± 1 | Longidor |
| Microdorylaimus | OP | 4 | 2 ± 0 | 33 ± 5 | - | 8 ± 2 | Microdor |
| SOC | Total N | Total P | Available P | Alkeline-N | pH | |
|---|---|---|---|---|---|---|
| PP | −0.72 ** | −0.67 * | −0.77 ** | −0.74 ** | −0.7 * | −0.65 * |
| Ba | 0.39 | 0.63 * | 0.76 ** | 0.52 | 0.71 ** | 0.73 ** |
| Fu | −0.44 | −0.30 | −0.38 | −0.43 | −0.33 | −0.31 |
| OP | 0.58 | 0.57 | 0.78 ** | 0.47 | 0.75 ** | 0.81 ** |
| To | 0.18 | 0.46 | 0.58 * | 0.29 | 0.56 | 0.60 * |
| H′ | 0.49 | 0.67 * | 0.71 ** | 0.72 ** | 0.72 ** | 0.58 * |
| PPI | −0.68 * | −0.77 * | −0.80 ** | −0.66 * | −0.82 ** | −0.80 ** |
| MI | −0.09 | 0.11 | 0.08 | −0.18 | 0.06 | 0.27 |
| EI | 0.79 ** | 0.52 | 0.69 * | 0.41 | 0.71 ** | 0.70 * |
| SI | 0.81 ** | 0.52 | 0.74 ** | 0.49 | 0.75 ** | 0.76 ** |
| CI | −0.87 ** | −0.67 * | −0.93 ** | −0.92 ** | −0.95 ** | −0.74 ** |
| PPF | −0.48 | −0.36 | −0.52 | −0.87 ** | −0.50 | −0.20 |
| BaF | 0.25 | 0.50 | 0.64 * | 0.42 | 0.58 | 0.58 * |
| FuF | −0.75 | −0.56 | −0.80 | −0.75 | −0.79 | −0.68 * |
| OpF | 0.63 * | 0.28 | 0.49 | 0.23 | 0.46 | 0.54 |
Publisher’s Note: MDPI stays neutral with regard to jurisdictional claims in published maps and institutional affiliations. |
© 2022 by the authors. Licensee MDPI, Basel, Switzerland. This article is an open access article distributed under the terms and conditions of the Creative Commons Attribution (CC BY) license (https://creativecommons.org/licenses/by/4.0/).
Share and Cite
Zhao, D.; Wang, Y.; Wen, L.; Qu, H.; Zhang, Z.; Zhang, H.; Jia, Y.; Wang, J.; Feng, Y.; Li, Y.; et al. Response of Soil Nematode Community Structure and Function to Monocultures of Pumpkin and Melon. Life 2022, 12, 102. https://doi.org/10.3390/life12010102
Zhao D, Wang Y, Wen L, Qu H, Zhang Z, Zhang H, Jia Y, Wang J, Feng Y, Li Y, et al. Response of Soil Nematode Community Structure and Function to Monocultures of Pumpkin and Melon. Life. 2022; 12(1):102. https://doi.org/10.3390/life12010102
Chicago/Turabian StyleZhao, Dan, Yao Wang, Ling Wen, Hongyun Qu, Zuobiao Zhang, Hui Zhang, Yunhe Jia, Juan Wang, Yixin Feng, Yan Li, and et al. 2022. "Response of Soil Nematode Community Structure and Function to Monocultures of Pumpkin and Melon" Life 12, no. 1: 102. https://doi.org/10.3390/life12010102
APA StyleZhao, D., Wang, Y., Wen, L., Qu, H., Zhang, Z., Zhang, H., Jia, Y., Wang, J., Feng, Y., Li, Y., Yang, F., & Pan, F. (2022). Response of Soil Nematode Community Structure and Function to Monocultures of Pumpkin and Melon. Life, 12(1), 102. https://doi.org/10.3390/life12010102
