Diagnostic Potential of Exosomal HypoxamiRs in the Context of Hypoxia–Sumoylation–HypoxamiRs in Early Onset Preeclampsia at the Preclinical Stage
Abstract
:1. Introduction
2. Materials and Methods
2.1. Study Design and Patient Cohort
2.2. Exosome Purification and Isolation and miRNA Extraction from the Blood Plasma of Pregnant Women
2.3. Real-Time Quantitative RT-PCR
2.4. Western Blotting
2.5. Statistical Analysis
3. Results
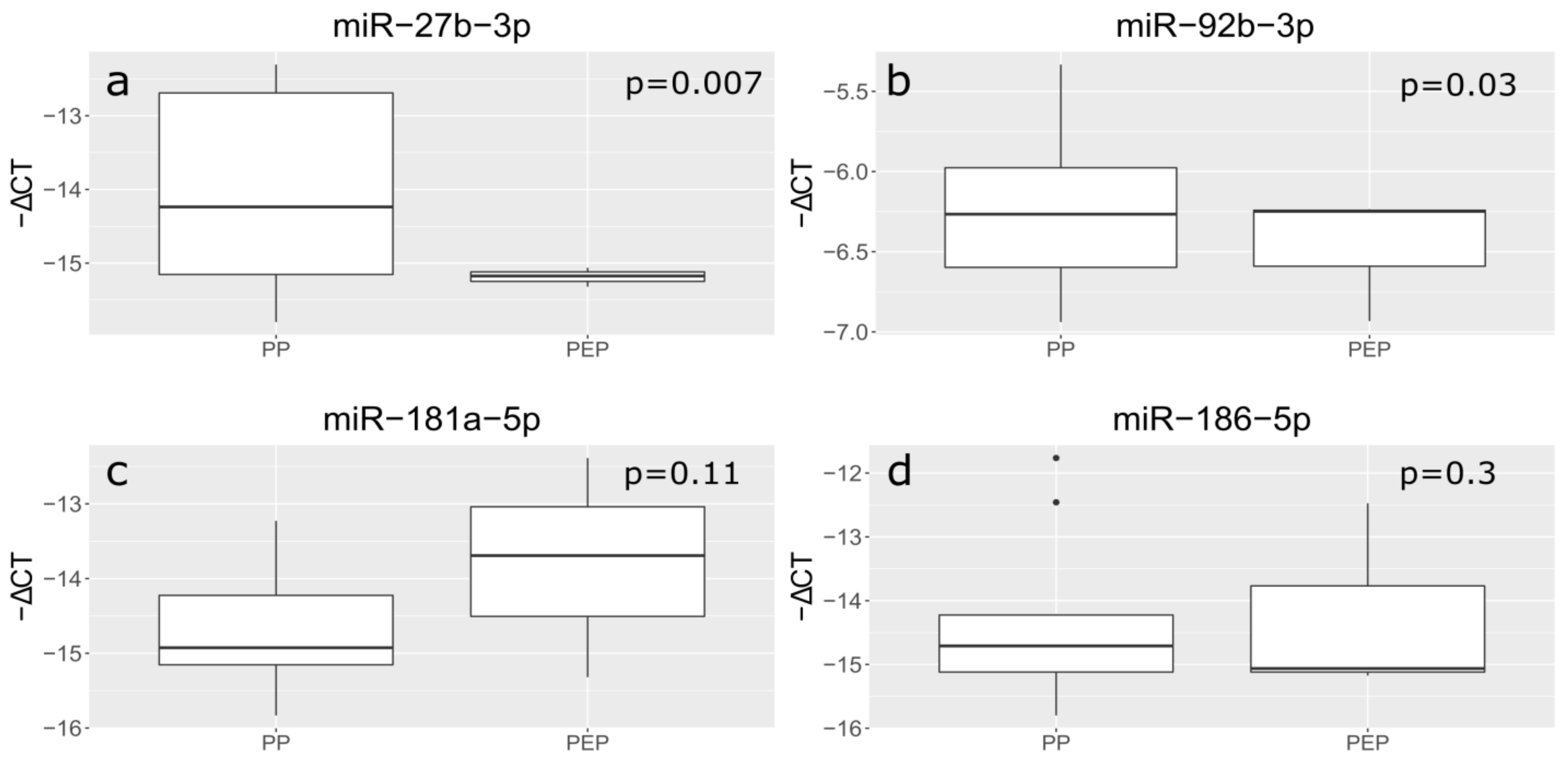
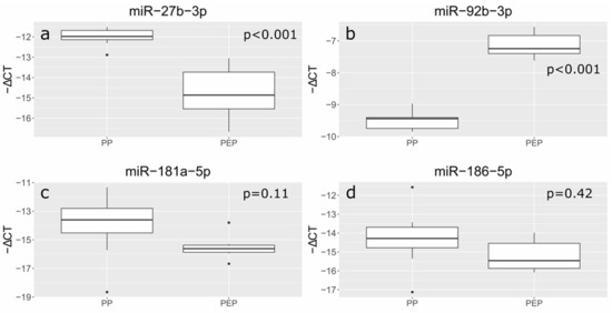
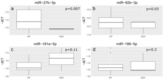
3.1. Evaluation of Oxygen-Sensitive miRNA Expression in Exosomes at 11–14 and 24–26 Weeks of Gestation
3.2. ROC Analysis of Oxygen-Sensitive Exosomal miRNAs at 11–14 and 24–26 Weeks of Gestation and Their Correlation with Clinical Data of Pregnant Women
3.3. MiRNA Exomotif Analysis
3.4. SUMO Expression in Exosomes and Placenta Tissue—Evaluation of Correlations with HypoxamiR Expression in Early Onset PE
3.5. Signaling Pathway Analysis
4. Discussion
5. Conclusions
Author Contributions
Funding
Institutional Review Board Statement
Informed Consent Statement
Data Availability Statement
Conflicts of Interest
References
- Brosens, I.; Pijnenborg, R.; Vercruysse, L.; Romero, R. The “Great Obstetrical Syndromes” Are Associated with Disorders of Deep Placentation. Am. J. Obstet. Gynecol. 2011, 204, 193–201. [Google Scholar] [CrossRef] [Green Version]
- Chaiworapongsa, T.; Chaemsaithong, P.; Yeo, L.; Romero, R. Pre-Eclampsia Part 1: Current Understanding of Its Pathophysiology. Nat. Rev. Nephrol. 2014, 10, 466–480. [Google Scholar] [CrossRef] [PubMed] [Green Version]
- Ghulmiyyah, L.; Sibai, B. Maternal Mortality From Preeclampsia/Eclampsia. Semin. Perinatol. 2012, 36, 56–59. [Google Scholar] [CrossRef] [PubMed]
- Burton, G.J.; Redman, C.W.; Roberts, J.M.; Moffett, A. Pre-Eclampsia: Pathophysiology and Clinical Implications. BMJ 2019, 366, l2381. [Google Scholar] [CrossRef] [PubMed] [Green Version]
- Burton, G.J. Oxygen, the Janus Gas; Its Effects on Human Placental Development and Function. J. Anat. 2009, 215, 27–35. [Google Scholar] [CrossRef] [PubMed] [Green Version]
- Burton, G.J.; Yung, H.-W.; Cindrova-Davies, T.; Charnock-Jones, D.S. Placental Endoplasmic Reticulum Stress and Oxidative Stress in the Pathophysiology of Unexplained Intrauterine Growth Restriction and Early Onset Preeclampsia. Placenta 2009, 30, 43–48. [Google Scholar] [CrossRef] [PubMed] [Green Version]
- Hung, T.-H.; Burton, G.J. Hypoxia and Reoxygenation: A Possible Mechanism for Placental Oxidative Stress in Preeclampsia. Taiwan. J. Obstet. Gynecol. 2006, 45, 189–200. [Google Scholar] [CrossRef] [Green Version]
- Redman, C.W. Early and Late Onset Preeclampsia: Two Sides of the Same Coin. Pregnancy Hypertens. Int. J. Women’s Cardiovasc. Health 2017, 7, 58. [Google Scholar] [CrossRef]
- Redman, C.W.G.; Sargent, I.L. Placental Stress and Pre-Eclampsia: A Revised View. Placenta 2009, 30, 38–42. [Google Scholar] [CrossRef]
- Steegers, E.A.; von Dadelszen, P.; Duvekot, J.J.; Pijnenborg, R. Pre-Eclampsia. Lancet 2010, 376, 631–644. [Google Scholar] [CrossRef]
- Chaiworapongsa, T.; Chaemsaithong, P.; Korzeniewski, S.J.; Yeo, L.; Romero, R. Pre-Eclampsia Part 2: Prediction, Prevention and Management. Nat. Rev. Nephrol. 2014, 10, 531–540. [Google Scholar] [CrossRef] [PubMed]
- Chafetz, I.; Kuhnreich, I.; Sammar, M.; Tal, Y.; Gibor, Y.; Meiri, H.; Cuckle, H.; Wolf, M. First-Trimester Placental Protein 13 Screening for Preeclampsia and Intrauterine Growth Restriction. Am. J. Obstet. Gynecol. 2007, 197, 35.e1–35.e7. [Google Scholar] [CrossRef] [PubMed]
- Spencer, K.; Yu, C.K.H.; Cowans, N.J.; Otigbah, C.; Nicolaides, K.H. Prediction of Pregnancy Complications by First-Trimester Maternal Serum PAPP-A and Free β-HCG and with Second-Trimester Uterine Artery Doppler. Prenat. Diagn. 2005, 25, 949–953. [Google Scholar] [CrossRef]
- Forest, J.-C.; Charland, M.; Massé, J.; Bujold, E.; Rousseau, F.; Lafond, J.; Giguère, Y. Candidate Biochemical Markers for Screening of Pre-Eclampsia in Early Pregnancy. Clin. Chem. Lab. Med. 2012, 50, 973–984. [Google Scholar] [CrossRef] [PubMed]
- Akolekar, R.; Syngelaki, A.; Sarquis, R.; Zvanca, M.; Nicolaides, K.H. Prediction of Early, Intermediate and Late Pre-Eclampsia from Maternal Factors, Biophysical and Biochemical Markers at 11–13 Weeks: Early Prediction of Pre-Eclampsia. Prenat. Diagn. 2011, 31, 66–74. [Google Scholar] [CrossRef]
- Leslie, K.; Thilaganathan, B.; Papageorghiou, A. Early Prediction and Prevention of Pre-Eclampsia. Best Pract. Res. Clin. Obstet. Gynaecol. 2011, 25, 343–354. [Google Scholar] [CrossRef]
- Guarnieri, D.J.; DiLeone, R.J. MicroRNAs: A New Class of Gene Regulators. Ann. Med. 2008, 40, 197–208. [Google Scholar] [CrossRef]
- Zhang, J.; Li, S.; Li, L.; Li, M.; Guo, C.; Yao, J.; Mi, S. Exosome and Exosomal MicroRNA: Trafficking, Sorting, and Function. Genom. Proteom. Bioinform. 2015, 13, 17–24. [Google Scholar] [CrossRef] [Green Version]
- Tannetta, D.S.; Dragovic, R.A.; Gardiner, C.; Redman, C.W.; Sargent, I.L. Characterisation of Syncytiotrophoblast Vesicles in Normal Pregnancy and Pre-Eclampsia: Expression of Flt-1 and Endoglin. PLoS ONE 2013, 8, e56754. [Google Scholar] [CrossRef]
- Hromadnikova, I.; Kotlabova, K.; Hympanova, L.; Doucha, J.; Krofta, L. First Trimester Screening of Circulating C19MC MicroRNAs Can Predict Subsequent Onset of Gestational Hypertension. PLoS ONE 2014, 9, e113735. [Google Scholar] [CrossRef]
- Hromadnikova, I.; Kotlabova, K.; Ivankova, K.; Krofta, L. First Trimester Screening of Circulating C19MC MicroRNAs and the Evaluation of Their Potential to Predict the Onset of Preeclampsia and IUGR. PLoS ONE 2017, 12, e0171756. [Google Scholar] [CrossRef] [PubMed] [Green Version]
- Ura, B.; Feriotto, G.; Monasta, L.; Bilel, S.; Zweyer, M.; Celeghini, C. Potential Role of Circulating MicroRNAs as Early Markers of Preeclampsia. Taiwan J. Obs. Gynecol. 2014, 53, 232–234. [Google Scholar] [CrossRef] [PubMed] [Green Version]
- Zhang, Y.; Huang, G.; Zhang, Y.; Yang, H.; Long, Y.; Liang, Q.; Zheng, Z. MiR-942 Decreased before 20 Weeks Gestation in Women with Preeclampsia and Was Associated with the Pathophysiology of Preeclampsia in Vitro. Clin. Exp. Hypertens. 2017, 39, 108–113. [Google Scholar] [CrossRef]
- Hromadnikova, I.; Dvorakova, L.; Kotlabova, K.; Krofta, L. The Prediction of Gestational Hypertension, Preeclampsia and Fetal Growth Restriction via the First Trimester Screening of Plasma Exosomal C19MC MicroRNAs. Int. J. Mol. Sci. 2019, 20, 2972. [Google Scholar] [CrossRef] [PubMed]
- Salomon, C.; Guanzon, D.; Scholz-Romero, K.; Longo, S.; Correa, P.; Illanes, S.E.; Rice, G.E. Placental Exosomes as Early Biomarker of Preeclampsia: Potential Role of Exosomal MicroRNAs Across Gestation. J. Clin. Endocrinol. Metab. 2017, 102, 3182–3194. [Google Scholar] [CrossRef]
- Pillay, P.; Maharaj, N.; Moodley, J.; Mackraj, I. Placental Exosomes and Pre-Eclampsia: Maternal Circulating Levels in Normal Pregnancies and, Early and Late Onset Pre-Eclamptic Pregnancies. Placenta 2016, 46, 18–25. [Google Scholar] [CrossRef]
- Mitchell, M.D.; Peiris, H.N.; Kobayashi, M.; Koh, Y.Q.; Duncombe, G.; Illanes, S.E.; Rice, G.E.; Salomon, C. Placental Exosomes in Normal and Complicated Pregnancy. Am. J. Obstet. Gynecol. 2015, 213, S173–S181. [Google Scholar] [CrossRef]
- Pillay, P.; Moodley, K.; Moodley, J.; Mackraj, I. Placenta-Derived Exosomes: Potential Biomarkers of Preeclampsia. Int. J. Nanomed. 2017, 12, 8009–8023. [Google Scholar] [CrossRef] [Green Version]
- Devor, E.; Santillan, D.; Scroggins, S.; Warrier, A.; Santillan, M. Trimester-Specific Plasma Exosome MicroRNA Expression Profiles in Preeclampsia. J. Matern. -Fetal Neonatal. Med. 2020, 33, 3116–3124. [Google Scholar] [CrossRef]
- Meng, W.; Hao, Y.; He, C.; Li, L.; Zhu, G. Exosome-Orchestrated Hypoxic Tumor Microenvironment. Mol. Cancer 2019, 18, 57. [Google Scholar] [CrossRef] [Green Version]
- Bertero, T.; Rezzonico, R.; Pottier, N.; Mari, B. Impact of MicroRNAs in the cellular response to hypoxia. In International Review of Cell and Molecular Biology; Elsevier: Amsterdam, The Netherlands, 2017; Volume 333, pp. 91–158. ISBN 978-0-12-811870-2. [Google Scholar]
- Hale, A.; Lee, C.; Annis, S.; Min, P.-K.; Pande, R.; Creager, M.A.; Julian, C.G.; Moore, L.G.; Mitsialis, S.A.; Hwang, S.J.; et al. An Argonaute 2 Switch Regulates Circulating MiR-210 to Coordinate Hypoxic Adaptation across Cells. Biochim. Biophys. Acta (BBA) Mol. Cell Res. 2014, 1843, 2528–2542. [Google Scholar] [CrossRef] [Green Version]
- Kucharzewska, P.; Christianson, H.C.; Welch, J.E.; Svensson, K.J.; Fredlund, E.; Ringner, M.; Morgelin, M.; Bourseau-Guilmain, E.; Bengzon, J.; Belting, M. Exosomes Reflect the Hypoxic Status of Glioma Cells and Mediate Hypoxia-Dependent Activation of Vascular Cells during Tumor Development. Proc. Natl. Acad. Sci. USA 2013, 110, 7312–7317. [Google Scholar] [CrossRef] [Green Version]
- Villarroya-Beltri, C.; Gutiérrez-Vázquez, C.; Sánchez-Cabo, F.; Pérez-Hernández, D.; Vázquez, J.; Martin-Cofreces, N.; Martinez-Herrera, D.J.; Pascual-Montano, A.; Mittelbrunn, M.; Sánchez-Madrid, F. Sumoylated HnRNPA2B1 Controls the Sorting of MiRNAs into Exosomes through Binding to Specific Motifs. Nat. Commun. 2013, 4, 2980. [Google Scholar] [CrossRef] [Green Version]
- Filippopoulou, C.; Simos, G.; Chachami, G. The Role of Sumoylation in the Response to Hypoxia: An Overview. Cells 2020, 9, 2359. [Google Scholar] [CrossRef] [PubMed]
- Bae, S.-H.; Jeong, J.-W.; Park, J.A.; Kim, S.-H.; Bae, M.-K.; Choi, S.-J.; Kim, K.-W. Sumoylation Increases HIF-1α Stability and Its Transcriptional Activity. Biochem. Biophys. Res. Commun. 2004, 324, 394–400. [Google Scholar] [CrossRef]
- Harding, C.V.; Heuser, J.E.; Stahl, P.D. Exosomes: Looking Back Three Decades and into the Future. J. Cell Biol. 2013, 200, 367–371. [Google Scholar] [CrossRef] [PubMed] [Green Version]
- Kalra, H.; Adda, C.G.; Liem, M.; Ang, C.-S.; Mechler, A.; Simpson, R.J.; Hulett, M.D.; Mathivanan, S. Comparative Proteomics Evaluation of Plasma Exosome Isolation Techniques and Assessment of the Stability of Exosomes in Normal Human Blood Plasma. Proteomics 2013, 13, 3354–3364. [Google Scholar] [CrossRef] [PubMed]
- Biró, O.; Alasztics, B.; Molvarec, A.; Joó, J.; Nagy, B.; Rigó, J. Various Levels of Circulating Exosomal Total-MiRNA and MiR-210 HypoxamiR in Different Forms of Pregnancy Hypertension. Pregnancy Hypertens. 2017, 10, 207–212. [Google Scholar] [CrossRef] [Green Version]
- Baczyk, D.; Drewlo, S.; Kingdom, J.C.P. Emerging Role of SUMOylation in Placental Pathology. Placenta 2013, 34, 606–612. [Google Scholar] [CrossRef]
- Gusar, V.; Timofeeva, A.; Chagovets, V.; Kan, N.; Vasilchenko, O.; Prozorovskaya, K.; Ivanets, T.; Sukhikh, G. Preeclampsia: The Interplay between Oxygen-Sensitive MiRNAs and Erythropoietin. J. Clin. Med. 2020, 9, 574. [Google Scholar] [CrossRef] [Green Version]
- Livak, K.J.; Schmittgen, T.D. Analysis of Relative Gene Expression Data Using Real-Time Quantitative PCR and the 2−ΔΔCT Method. Methods 2001, 25, 402–408. [Google Scholar] [CrossRef] [PubMed]
- Truong, G.; Guanzon, D.; Kinhal, V.; Elfeky, O.; Lai, A.; Longo, S.; Nuzhat, Z.; Palma, C.; Scholz-Romero, K.; Menon, R.; et al. Oxygen Tension Regulates the MiRNA Profile and Bioactivity of Exosomes Released from Extravillous Trophoblast Cells—Liquid Biopsies for Monitoring Complications of Pregnancy. PLoS ONE 2017, 12, e0174514. [Google Scholar] [CrossRef] [Green Version]
- Li, H.; Ouyang, Y.; Sadovsky, E.; Parks, W.T.; Chu, T.; Sadovsky, Y. Unique MicroRNA Signals in Plasma Exosomes from Pregnancies Complicated by Preeclampsia. Hypertension 2020, 75, 762–771. [Google Scholar] [CrossRef] [PubMed]
- Kulshreshtha, R.; Davuluri, R.V.; Calin, G.A.; Ivan, M. A MicroRNA Component of the Hypoxic Response. Cell Death Differ. 2008, 15, 667–671. [Google Scholar] [CrossRef] [PubMed] [Green Version]
- Chang, H.-M.; Yeh, E.T.H. SUMO: From Bench to Bedside. Physiol. Rev. 2020, 100, 1599–1619. [Google Scholar] [CrossRef]
- Baczyk, D.; Audette, M.C.; Coyaud, E.; Raught, B.; Kingdom, J.C. Spatiotemporal Distribution of Small Ubiquitin-like Modifiers during Human Placental Development and in Response to Oxidative and Inflammatory Stress: Placental Distribution of Small Ubiquitin-like Modifiers. J. Physiol. 2018, 596, 1587–1600. [Google Scholar] [CrossRef] [Green Version]
- Chachami, G.; Stankovic-Valentin, N.; Karagiota, A.; Basagianni, A.; Plessmann, U.; Urlaub, H.; Melchior, F.; Simos, G. Hypoxia-Induced Changes in SUMO Conjugation Affect Transcriptional Regulation Under Low Oxygen. Mol. Cell. Proteom. 2019, 18, 1197–1209. [Google Scholar] [CrossRef] [Green Version]
- Oh, J.G.; Watanabe, S.; Lee, A.; Gorski, P.A.; Lee, P.; Jeong, D.; Liang, L.; Liang, Y.; Baccarini, A.; Sahoo, S.; et al. MiR-146a Suppresses SUMO1 Expression and Induces Cardiac Dysfunction in Maladaptive Hypertrophy. Circ. Res. 2018, 123, 673–685. [Google Scholar] [CrossRef]
- Bernstock, J.D.; Lee, Y.; Peruzzotti-Jametti, L.; Southall, N.; Johnson, K.R.; Maric, D.; Volpe, G.; Kouznetsova, J.; Zheng, W.; Pluchino, S.; et al. A Novel Quantitative High-Throughput Screen Identifies Drugs That Both Activate SUMO Conjugation via the Inhibition of MicroRNAs 182 and 183 and Facilitate Neuroprotection in a Model of Oxygen and Glucose Deprivation. J. Cereb. Blood Flow Metab. 2016, 36, 426–441. [Google Scholar] [CrossRef]
- Li, J.; Jiang, X.; Wang, K. Exosomal MiRNA: An Alternative Mediator of Cell-to-Cell Communication. ExRNA 2019, 1, 31. [Google Scholar] [CrossRef] [Green Version]
- De Freitas, M.A.R.; da Costa, A.V.; Medeiros, L.A.; Cunha, L.M.; Coutinho Filho, U.; da Silva Garrote Filho, M.; Diniz, A.L.D.; Penha-Silva, N. The Role of the Erythrocyte in the Outcome of Pregnancy with Preeclampsia. PLoS ONE 2019, 14, e0212763. [Google Scholar] [CrossRef]
- Cameron, S.J.; Mix, D.S.; Ture, S.K.; Schmidt, R.A.; Mohan, A.; Pariser, D.; Stoner, M.C.; Shah, P.; Chen, L.; Zhang, H.; et al. Hypoxia and Ischemia Promote a Maladaptive Platelet Phenotype. Arterioscler. Thromb. Vasc. Biol. 2018, 38, 1594–1606. [Google Scholar] [CrossRef]
- Shang, C.; Wuren, T.; Ga, Q.; Bai, Z.; Guo, L.; Eustes, A.S.; McComas, K.N.; Rondina, M.T.; Ge, R. The Human Platelet Transcriptome and Proteome Is Altered and Pro-Thrombotic Functional Responses Are Increased during Prolonged Hypoxia Exposure at High Altitude. Platelets 2020, 31, 33–42. [Google Scholar] [CrossRef] [PubMed]
- Miao, X.; Rahman, M.F.-U.; Jiang, L.; Min, Y.; Tan, S.; Xie, H.; Lee, L.; Wang, M.; Malmström, R.E.; Lui, W.-O.; et al. Thrombin-reduced MiR-27b Attenuates Platelet Angiogenic Activities in Vitro via Enhancing Platelet Synthesis of Anti-angiogenic Thrombospondin-1. J. Thromb. Haemost. 2018, 16, 791–801. [Google Scholar] [CrossRef] [PubMed] [Green Version]
- Kaudewitz, D.; Skroblin, P.; Bender, L.H.; Barwari, T.; Willeit, P.; Pechlaner, R.; Sunderland, N.P.; Willeit, K.; Morton, A.C.; Armstrong, P.C.; et al. Association of MicroRNAs and YRNAs With Platelet Function. Circ. Res. 2016, 118, 420–432. [Google Scholar] [CrossRef] [PubMed]
- Hao, X.; Ma, C.; Chen, S.; Dang, J.; Cheng, X.; Zhu, D. Reverse the down Regulation of MiR-92b-3p by Hypoxia Can Suppress the Proliferation of Pulmonary Artery Smooth Muscle Cells by Targeting USP28. Biochem. Biophys. Res. Commun. 2018, 503, 3064–3077. [Google Scholar] [CrossRef]
- Guduric-Fuchs, J.; O’Connor, A.; Camp, B.; O’Neill, C.L.; Medina, R.J.; Simpson, D.A. Selective Extracellular Vesicle-Mediated Export of an Overlapping Set of MicroRNAs from Multiple Cell Types. BMC Genom. 2012, 13, 357. [Google Scholar] [CrossRef] [Green Version]
- Zhang, Y.; Liu, D.; Chen, X.; Li, J.; Li, L.; Bian, Z.; Sun, F.; Lu, J.; Yin, Y.; Cai, X.; et al. Secreted Monocytic MiR-150 Enhances Targeted Endothelial Cell Migration. Mol. Cell 2010, 39, 133–144. [Google Scholar] [CrossRef] [Green Version]
- Escudero, C.A.; Herlitz, K.; Troncoso, F.; Acurio, J.; Aguayo, C.; Roberts, J.M.; Truong, G.; Duncombe, G.; Rice, G.; Salomon, C. Role of Extracellular Vesicles and MicroRNAs on Dysfunctional Angiogenesis during Preeclamptic Pregnancies. Front. Physiol. 2016, 7, 98. [Google Scholar] [CrossRef] [Green Version]







| Pregnant Women Cohort | |||
|---|---|---|---|
| PP (n = 10) | PEP (n = 6) | p-Value | |
| Maternal age | 28.5 ± 2.12 | 34.17 ± 6.59 | 0.09 |
| BMI | 21.07 ± 2.4 | 24.5 ± 3.58 | 0.07 |
| History of PE, n (%) | 0 | 3 (50) | - |
| Gestational age at the time of delivery, weeks | 39.4 ± 1.09 | 34.9 ± 2.02 | 0.001 |
| Spontaneous labor, n (%) | 5 (50) | - | - |
| Cesarean section, n (%) | 5 (50) | 6 (100) | 0.1 |
| Birth weight, grams (centiles) | 3419.9 ± 413.7 | 2071.5 ± 661.2 | 0.002 |
| Apgar 1 score | 7 (7–7) | 8 (8–8) | <0.001 |
| Apgar 5 score | 9 (9–9) | 8 (8–8) | <0.001 |
| KERRYPNX | 11–14 GW | p- Value | 24–26 GW | p- Value | ||
|---|---|---|---|---|---|---|
| PP (n = 10) | PEP (n = 6) | PP (n = 10) | PEP (n = 6) | |||
| Time of sampling | 12.3 ± 0.67 | 12.3 ± 0.63 | 0.39 | 24.9 ± 0.73 | 24.5 ± 0.57 | 0.35 |
| Systolic blood pressure (110–130 mmHg) | 105 (100–110) | 110 (110–110) | 0.20 | 100 (92.5–110) | 131 (115–138) | 0.004 |
| Diastolic blood pressure (65–80 mmHg) | 60 (60–70) | 70 (70–70) | 0.07 | 60 (60–68.7) | 82 (72.5–88.5) | 0.003 |
| Platelet level (150–400 * 109 c/L) | 228 (201–246) | 256 (256–257) | 0.09 | 254 (240–267) | 226 (222–230) | 0.01 |
| PAPP-A (ME/л) b-HCG (ME/л) | 3.2 ± 1.51 54.1 ± 26.2 | 1.89 ± 0.9 45.4 ± 31.4 | 0.04 0.58 | NA NA | NA NA | - - |
| Ultrasonography: | ||||||
| CRL | 59.6 ± 3.7 | 57.5 ± 5.6 | 0.44 | NA | NA | - |
| NTS | 1.5 (1.4–1.6) | 1.4 (1.3–1.4) | 0.09 | NA | NA | - |
| PI UtA | 1.6 ± 0.3 | 1.9 ± 0.4 | 0.11 | NA | NA | - |
| PI DV | 1.03 ± 0.07 | 1 ± 0.06 | 0.4 | NA | NA | - |
| Dopplerometry: | ||||||
| PI UtA | NA | NA | - | 0.92 ± 0.16 | 1.07 ± 0.25 | 0.24 |
| PI UA PI MCA | NA NA | NA NA | - - | 1.09 ± 0.15 2.45 (2.45–2.45) | 1.35 ± 0.14 1.63 (1.63–1.63) | 0.005 <0.001 |
| Pregnant Women with PE < 34 GW (n = 8) | Control Group N < 34 GW (n = 8) | p-Value | |
|---|---|---|---|
| Gestational age at the time of delivery, weeks | 29 ± 3 | 29 ± 3 | 0.8 |
| Manifestation PE, weeks | 26 ± 4 | absent | - |
| Systolic blood pressure (110–130 mmHg) | 153.1 ± 16.2 | 115 ± 4.6 | <0.001 |
| Diastolic blood pressure (65–80 mmHg) | 102.5 ± 12.2 | 72.5 ± 4.4 | <0.001 |
| Proteinuria (0–0.2 g/L) | 2.6 ± 1.9 | absent | - |
| Peripheral edema, n (%) | 3 (37.5%) | absent | - |
| Ratio of placental dysfunction markers (sFLT-1/PLGF; 1.5–7) | 386.3 ± 266.2 | NA | - |
| Platelet level (150–400 * 109 c/L) | 153.5 ± 65.7 | 246.5 ± 62.9 | 0.01 |
| Liver function test: | |||
| ALT level (0–40 u/L) | 50.3 ± 64.3 | NA | - |
| AST level (0–40 u/L) | 65.1 ± 75.2 | NA | - |
| Birth weight, grams (centiles) | 1345.7 ± 970.6 | 868.7 ± 533.8 | 0.2 |
| miR-27b-3p + miR-92b-3p | ||
|---|---|---|
| 11–14 GW | 24–26 GW | |
| AUC | 1 | 0.83 |
| ROC curve, p-value | <0.001 | 0.05 |
| Sensitivity | 1 | 1 (0.66–1) |
| Specificity | 1 | 0.8 (0.5–1) |
| Cutoff | 0.5 | 0.32 |
| PPV | 1 | 0.6 (0.37–1) |
| NPV | 1 | 1 |
| TP | 6 (6–6) | 3 (2–3) |
| TPR | 1 | 1 |
| FPR | 0 | 0.3 |
| TNR | 1 | 0.7 |
| FNR | 0 | 0 |
| ACC | 1 | 0.76 (0.74–0.79) |
| 11–14 GW | 24–26 GW | ||||
|---|---|---|---|---|---|
| miRNA (−ΔCt) | Parameter | r * | p ** | r * | p ** |
| miR-27b-3p | Hb level ‡ | 0.71 | 0.002 | 0.66 | 0.05 |
| Platelet Δ | - | - | −0.95 | 0.003 | |
| miR-92b-3p | Hb level ‡ | −0.71 | 0.002 | - | - |
| Prothrombin index Δ | - | - | 0.95 | 0.003 | |
| miR-27b-3p (−ΔCt) | miR-92b-3p (−ΔCt) | miR-181a-5p (−ΔCt) | miR-186-5p (−ΔCt) | |||||
|---|---|---|---|---|---|---|---|---|
| r * | p ** | r * | p ** | r * | p ** | r * | p ** | |
| SUMO 1 | 0.17 | 0.5 | 0.34 | 0.1 | 0.22 | 0.4 | 0.21 | 0.4 |
| SUMO 2/3/4 | −0.51 | 0.04 | 0.1 | 0.5 | 0.32 | 0.23 | −0.52 | 0.04 |
Publisher’s Note: MDPI stays neutral with regard to jurisdictional claims in published maps and institutional affiliations. |
© 2022 by the authors. Licensee MDPI, Basel, Switzerland. This article is an open access article distributed under the terms and conditions of the Creative Commons Attribution (CC BY) license (https://creativecommons.org/licenses/by/4.0/).
Share and Cite
Gusar, V.; Timofeeva, A.; Chagovets, V.; Kan, N.; Vysokikh, M.; Marey, M.; Karapetyan, A.; Baev, O.; Sukhikh, G. Diagnostic Potential of Exosomal HypoxamiRs in the Context of Hypoxia–Sumoylation–HypoxamiRs in Early Onset Preeclampsia at the Preclinical Stage. Life 2022, 12, 101. https://doi.org/10.3390/life12010101
Gusar V, Timofeeva A, Chagovets V, Kan N, Vysokikh M, Marey M, Karapetyan A, Baev O, Sukhikh G. Diagnostic Potential of Exosomal HypoxamiRs in the Context of Hypoxia–Sumoylation–HypoxamiRs in Early Onset Preeclampsia at the Preclinical Stage. Life. 2022; 12(1):101. https://doi.org/10.3390/life12010101
Chicago/Turabian StyleGusar, Vladislava, Angelika Timofeeva, Vitaliy Chagovets, Nataliya Kan, Mikhail Vysokikh, Maria Marey, Anna Karapetyan, Oleg Baev, and Gennadiy Sukhikh. 2022. "Diagnostic Potential of Exosomal HypoxamiRs in the Context of Hypoxia–Sumoylation–HypoxamiRs in Early Onset Preeclampsia at the Preclinical Stage" Life 12, no. 1: 101. https://doi.org/10.3390/life12010101
APA StyleGusar, V., Timofeeva, A., Chagovets, V., Kan, N., Vysokikh, M., Marey, M., Karapetyan, A., Baev, O., & Sukhikh, G. (2022). Diagnostic Potential of Exosomal HypoxamiRs in the Context of Hypoxia–Sumoylation–HypoxamiRs in Early Onset Preeclampsia at the Preclinical Stage. Life, 12(1), 101. https://doi.org/10.3390/life12010101

