Abstract
Occupational exposure to respirable coal mine dust remains a significant health risk, especially for underground workers. Rapid dust monitoring methods are sought to support timely identification of hazards and corrective actions. Recent research has investigated how optical light microscopy (OLM) with automated image processing might meet this need. In laboratory studies, this approach has been demonstrated to classify particles into three primary classes—coal, silicates and carbonates. If the same is achievable in the field, results could support both hazard monitoring and dust source apportionment. The objective of the current study is to evaluate the performance of OLM with image processing to classify real coal mine dust particles, employing scanning electron microscopy with energy-dispersive X-ray spectroscopy (SEM-EDX) as a reference method. The results highlight two possible challenges for field implementation. First, particle agglomeration can effectively yield mixed particles that are difficult to classify, so integration of a dispersion method into the dust collection or sample preparation should be considered. Second, optical differences can exist between dust particles used for classification model development (i.e., typically generated in the lab from high-purity materials) versus real mine dust, so our results demonstrate the necessity of site-specific model calibration.
1. Introduction
Exposure to respirable coal mine dust can cause occupational lung diseases such as coal workers’ pneumoconiosis (CWP) and silicosis. According to data from the Centers for Disease Control and Prevention (CDC), mortality from CWP declined by 69.6% and from silicosis by 53.0% between 1999 and 2018 [1]. Nevertheless, these diseases remain significant causes of impairment, disability, and premature death, especially among underground workers. Figure 1 illustrates the number of reported deaths attributed to CWP and silicosis in the United States from 2018 to 2024.
Rapid dust monitoring methods are sought to support timely identification of hazards and corrective actions. While a real-time instrument is now available for tracking the mass of respirable dust (i.e., the ‘continuous personal dust monitor’), there are currently no tools enabling real-time, or even rapid, analysis of dust composition [2]. Some key limitations include cost, size, and permissibility in coal mine environments [2,3], accuracy and calibration challenges [4,5,6], timeliness of measurements [3,7], and mine-specific environmental factors [8].
A novel approach utilizing optical light microscopy (OLM) combined with image processing for dust monitoring has been proposed and explored by the authors of previous studies. An initial effort demonstrated the method’s capability to distinguish between coal and mineral particle fractions [9]. Then, a follow-up study extended this approach by subclassifying the mineral fraction into highly birefringent carbonate particles and less birefringent silicates (i.e., including silica and other silicate minerals), which could allow for apportionment of the dust from three primary sources in underground coal mines (e.g., the target coal seam, the adjacent rock strata, and the carbonate-mineral based ’rock dust products’ that are commonly applied in mines to mitigate explosibility hazards) [10]. However, an attempt to further subclassify silica, specifically, proved unsuccessful due to the similarity in optical features between silica and other silicate particles [11]. Nevertheless, the dust source apportionment capability may still be valuable for improving mine dust monitoring and exposure assessment–especially in mines where silicates are a reliable proxy for silica (i.e., where they consistently track together).
Figure 1.
Number of reported deaths from coal workers’ pneumoconiosis and silicosis in the United States since 2018. The figure was generated using data obtained from the [12].
Figure 1.
Number of reported deaths from coal workers’ pneumoconiosis and silicosis in the United States since 2018. The figure was generated using data obtained from the [12].

Notably, the aforementioned studies have explored the capabilities and limitations of optical microscopy for classifying respirable coal mine dust in laboratory settings, using high-purity or well-characterized materials to generate dust particles. But applying the OLM classification technique to dust in (or collected from) real mine environments could present additional challenges. For example, particle loading density (PLD) (i.e., the number of particles per unit area on the dust collection substrate) is an important parameter for OLM since it can affect the ability to separate individual particles in images—and thereby the ability to assign optical signals to each particle. However, PLD is difficult to control during sampling because it is influenced by both the sampling duration and the concentration of airborne particles in the sampling environment–and the latter is difficult to know a priori. Moreover, the distribution of dust in the mine atmosphere is inherently dynamic and non-uniform, influenced by factors such as airflow geometry, ventilation patterns, and the nature of dust-generating activities [13,14,15,16,17]. This spatial variability introduces an additional layer of uncertainty, especially when compared to laboratory settings where experiments are conducted under more stable and controlled conditions.
Another potential challenge for applying OLM classification to real mine dust is the presence of agglomerated particles [18]. Agglomerates likely form due to high dust concentrations in the vicinity of dust generating activities [19] and might be influenced by particle surface properties [20], ambient humidity [21], and the use of surfactants in water sprays [22]. Additionally, energy distribution during advanced fracturing processes can affect particle size and morphology, which may in turn influence agglomeration behavior [23]. Given that agglomerates can have mixed compositions (e.g., coal and minerals clustered together), simple classification models built on individual particles may be confused [11,19]. In essence, an agglomerate may yield composited optical signals, but the model is forced to assign it to a single class. Finally, while a few broad mineralogy types (i.e., coal, silicates and carbonates) are expected to dominate airborne dust in many coal mines [24,25], there might be a wide distribution of optical signals associated with particles of each type. As mentioned, the prior research [10] on dust monitoring by OLM has used high-purity and well-characterized dust source materials to build classification models; but these may not be comprehensively representative of real mine dust particles. Further, in real mine dust samples, there could be minor fractions of other particle types including heavy minerals, metals or diesel particulates [24,26,27,28,29,30].
The objective of the current study is to evaluate the performance of OLM with image processing to classify real coal mine dust particles. Specifically, this work follows the approach of a recent study with lab-generated dust particles [10] in that (a) the same three mineralogy classes are targeted (i.e., coal, silicates, and carbonates) and (b) the same two-step classification process is used is (i.e., categorizing particles as either coal or minerals, then categorizing minerals as either silicates or carbonates). Here, particle distributions predicted by the OLM method are evaluated against those determined by scanning electron microscopy with energy-dispersive X-ray spectroscopy (SEM-EDX) as a reference measurement.
2. Materials and Methods
2.1. Mine Dust Sampling
Coal mine dust samples for this study were collected from a room-and-pillar mine located in central Appalachia. Sampling was conducted in three distinct locations: downwind of a continuous miner (DCM), downwind of a roof bolter (DRB), and near a feeder breaker (FB). In each location, five pairs of duplicate samples were collected, each with varying sampling times; this yielded a total of 15 pairs. Since the sample PLD is a key parameter for OLM particle analysis, this approach was chosen to provide flexibility with respect to selection of samples for analysis.
Each pair of duplicate samples was collected using an ESCORT ELF® pump (Zefon International, Ocala, FL, USA), which pulled air through two 37 mm styrene filter cassettes (Zefon International, Ocala, FL, USA) using a Y-shaped tube splitter (see Figure 2A). The pumps were operated at a flow rate of 4 L/min, such that each cassette sampled at 2 L/min. In each location, five sampling apparatuses were mounted to a metal frame, which was suspended from the mine roof at approximately head height (i.e., 1.6 m from the floor). All pumps were started simultaneously, but the pumps were stopped on a staggered schedule to vary the total sampling times.
Figure 2.
Mine dust sampling apparatus for each location (A), and detailed breakdown of the two-piece filter cassette components (B). The cassette includes a sticky acrylic tape mounted on a glass slide for OLM analysis and a PC filter for SEM-EDX analysis.
A detailed view of the filter cassette components is provided in Figure 2B. Each contained a polycarbonate (PC) filter (nominal pore size of 5 µm) placed on top of a cellulose support pad. A small circular glass slide with double-sided clear acrylic tape on top, was mounted off center on the PC surface using standard double-sided tape. This configuration enabled the simultaneous collection of particles on two substrates: the acrylic tape and the PC filter. Dust particles collected on the acrylic tape were analyzed by OLM per [10], and particles on the PC filters were analyzed by SEM-EDX [31].
2.2. Selection of Samples for Analysis
Only a subset of the collected mine dust samples were selected for analysis based on assessment of tolerable PLD under the optical microscope (i.e., balancing sufficient loading to enable analysis of relatively many particles per field of view with minimal observance of physical interference between particles). Table 1 shows the selected samples (i.e., a total of three samples from each location), which were split into two separate groups for two stages of analysis.
Table 1.
Summary of the mine dust samples used for direct-on-substrate (DOS) and dispersed dust (DD) analysis and the corresponding number of frames imaged by OLM and SEM-EDX. For each frame, images were captured under TPP and TCP lighting conditions.
The first group was used for preliminary analysis to evaluate the possible effect of agglomerates on OLM classification. This group included a single sample from each location, which was subjected to ’Direct-on-Substrate’ (DOS) analysis-—meaning the OLM and SEM-EDX analysis were performed directly on the acrylic tape and PC filter, respectively. The second group of samples was used for more in-depth evaluation of the OLM performance following a simple procedure intended to promote particle dispersion. As shown in Table 1, this group included six samples (i.e., one pair of duplicates from each location). Rather than analyzing DOS, these were used to generate ’Dispersed Dust’ (DD) samples as described below.
2.3. Preparation of Dispersed Dust Samples
Preparation of the DD samples was adapted from the procedure described by [19]. Briefly, approximately one-quarter of the PC filter (i.e., belonging to each of the six field samples shown in Table 1) was sectioned and submerged in a test tube containing isopropyl alcohol (IPA). The tube was placed in an ultrasonic bath for three minutes at 30 °C to recover dust from the filter surface and disperse particles. Following sonication, the filter section was carefully removed and the dust suspension was centrifuged at 2500 RPM for ten minutes. Finally, small aliquots (i.e., single drops) were carefully pipetted from the bottom of the test tube and alternately deposited onto a piece of double-sided acrylic tape (mounted on a glass slide) and a blank PC filter (see Figure 3), and each was allowed to dry completely in a clean hood. Thus, for each of the six field samples selected for DD analysis, this procedure yielded two new samples, one for OLM analysis and one for SEM-EDX analysis.
Figure 3.
Sample recovery and redeposition procedure to create DD samples for OLM and SEM-EDX analysis.
Ultrasonic dispersion was selected based on prior studies [19,32], which demonstrated its effectiveness in reducing particle agglomeration without a substantial loss of particles from the sample. This method was therefore considered practical for improving agglomerate dissociation.
2.4. OLM Analysis
OLM analysis of both the DOS and DD samples was performed by analyzing particles on the acrylic-on-glass substrate. The OLM analysis followed the microscope settings, image acquisition, processing, and feature extraction procedures described in [9,10]. Imaging was performed using an Olympus BX53M Polarizing Microscope with Stream Start 2.3 software. Transmitted plane-polarized (TPP) and transmitted cross-polarized (TCP) images were captured with exposure times of 30.51 ms and 815.06 ms, respectively, under 50% LED light intensity. The longer exposure for TCP was required to compensate for reduced light transmission under cross-polarized conditions, ensuring sufficient signal intensity for accurate particle feature extraction. Color balance was adjusted to 1.81 (red), 1.00 (green), and 1.28 (blue), with saturation and gamma both set to 1.00. A 40× objective and 0.63× camera magnification produced a total magnification of 25.008× and a spatial resolution of 87.971 nm/pixel. Images were saved in TIFF format at 2560 × 1920 pixel resolution. The image acquisition process was guided by an algorithm that analyzed each frame in real time, calculating particle sizes and maintaining a cumulative count. Once the algorithm determined that a sufficient number of particles had been captured—specifically, more than 500 particles within the 1–40 µm size range and at least 100 particles larger than 2.5 µm—it notified the user to stop imaging. This approach helped reduce the number of image frames required, streamlining the analysis process.
For particle classification, the current study used a relatively simple two-step model similar to that used by [9]. This is described in more detail below, but briefly, in Step-1, the mean intensity of particles under plane-polarized light (MITPP) was used to distinguish between coal and mineral particles, and in Step-2, the mean particle intensity under cross-polarized light (MITCP) was used to distinguish between silicates and carbonates. Particle class distributions were determined by calculating the proportion of particles in each class relative to the total number of particles analyzed on the sample (i.e., particle number percentage).
2.5. SEM-EDX Analysis
SEM-EDX analysis was performed by analyzing particles on the PC substrate as described by [31]. For the DOS analysis, a 9-mm subsection was carefully cut from each original PC filter belonging to the three samples shown in Table 1; for the DD analysis, the subsections were cut from the six PC filters prepared with dust recovered from the six samples shown in Table 1. Prior to analysis, each subsection was sputter-coated with a gold/palladium (Au/Pd) layer to render it electrically conductive. The analysis was conducted using a TESCAN FE-SEM system equipped with SE and BSE detectors, dual EDX detectors, and an Integrated Mineral Analyzer (called ‘TIMA’, Warrendale, PA). TIMA supports automated mineralogical analysis, enabling detailed, particle-by-particle characterization. For this study, the SEM-EDX was operated at 15 kV with a brightness setting between 16 and 18, a pixel size of 0.5 µm, a scan speed of 4, and standard segmentation settings. Multiple randomly selected frames were analyzed per sample following the same particle count thresholds described for the OLM analysis (i.e., at least 500 particles in the 1–40 µm range and at least 100 particles larger than 2.5 µm).
Using the EDX data, particles were categorized into the following classes: carbonaceous (likely coal), silicates (including silica), carbonates, or ‘others’. Then, particle distributions were calculated using the same approach as in the OLM analysis (i.e., as the percentage of particles in each class relative to the total number of particles analyzed in the sample). Notably, results were normalized to exclude ‘other’ particles due to their minimal content (i.e., less than 4.6% of the total particle count in any given sample.) This enabled direct comparison of the SEM-EDX- and OLM-derived particle distributions.
3. Results and Discussion
3.1. Direct-on-Substrate OLM
The three mine dust samples selected for preliminary analysis (Table 1) were analyzed DOS by both OLM and SEM-EDX. The top plots in Figure 4 show the OLM MITPP and MITCP values (composited across all three samples) using a lower particle size threshold of either for 1 µm (left plot) or 2.5 µm (right plot). For comparison, the bottom row of the figure also shows MITPP and MITCP values observed for dust particles collected in the laboratory for a previous study [10]. For that study, the particles were sourced from high-purity materials (i.e., coal, quartz, kaolinite, limestone) and were collected onto the same acrylic-on-glass substrate and imaged under the same conditions used here.
Figure 4.
Comparison of MITCP and MITPP values observed for DD samples versus lab-generated dust samples using lower particle size thresholds of 1 µm and 2.5 µm. For the DOS samples (panels (A,B)), particle composition is unknown and all data points are shown in gray. For the lab-generated samples (panels (C,D)), particle sources are known and data points are color-coded by material: Coal (black), Kaolinite (red), Carbonates (blue), and Silica (orange).
Comparing the results for mine dust samples collected for the current work to those for the previously lab-generated samples, there are two main differences observable from Figure 4. First, the mine dust samples show much broader scatter toward the left side of the feature space. The data points observed in the region of low MITPP and high MITCP values in these samples represent particles that appear relatively darker under plane-polarized light but brighter under cross-polarized light. This might be related to the presence of agglomerated particles composed of mixed constituents, which can lead to complex interactions with optical signals. Compared to the lab samples, the mine dust samples might have been more susceptible to particle agglomeration–either due to the inherent nature of dust particles in the mine environment [19] or the fact that they were collected without the same cyclone size-selector used in the lab.
Second, overall, the field sample data appear to be shifted down and to the left (i.e., lower MITCP and MITPP values). The shift toward lower MITCP values might again be related, at least in part, to agglomeration of particles. For example, agglomerates containing both coal and minerals might illuminate less under TCP. However, the shift leftward toward lower MITPP values implies additional–and yet unexplained–differences between the field and lab-generated dust particles. One possible factor contributing to the presence of darker particles (low MITPP/MITCP) could be diesel particulate matter (DPM), as diesel equipment was operating in the study mine during sampling. While DPM particles are typically submicron in size, they may agglomerate with larger dust particles, potentially reducing brightness under both TPP and TCP conditions. However, we were unable to confirm the presence of DPM using the SEM-EDX method employed here, so this explanation remains speculative.
The optical signals observed in this study may also reflect differences in particle morphology, which is influenced by dust generation mechanisms. For example, fracture processes during cutting or blasting can produce angular particles with variable birefringence, while high-energy fracturing methods can yield finer, more irregular fragments [23,33]. Such morphological variability adds another layer of complexity to optical classification and warrants further investigation in future work.
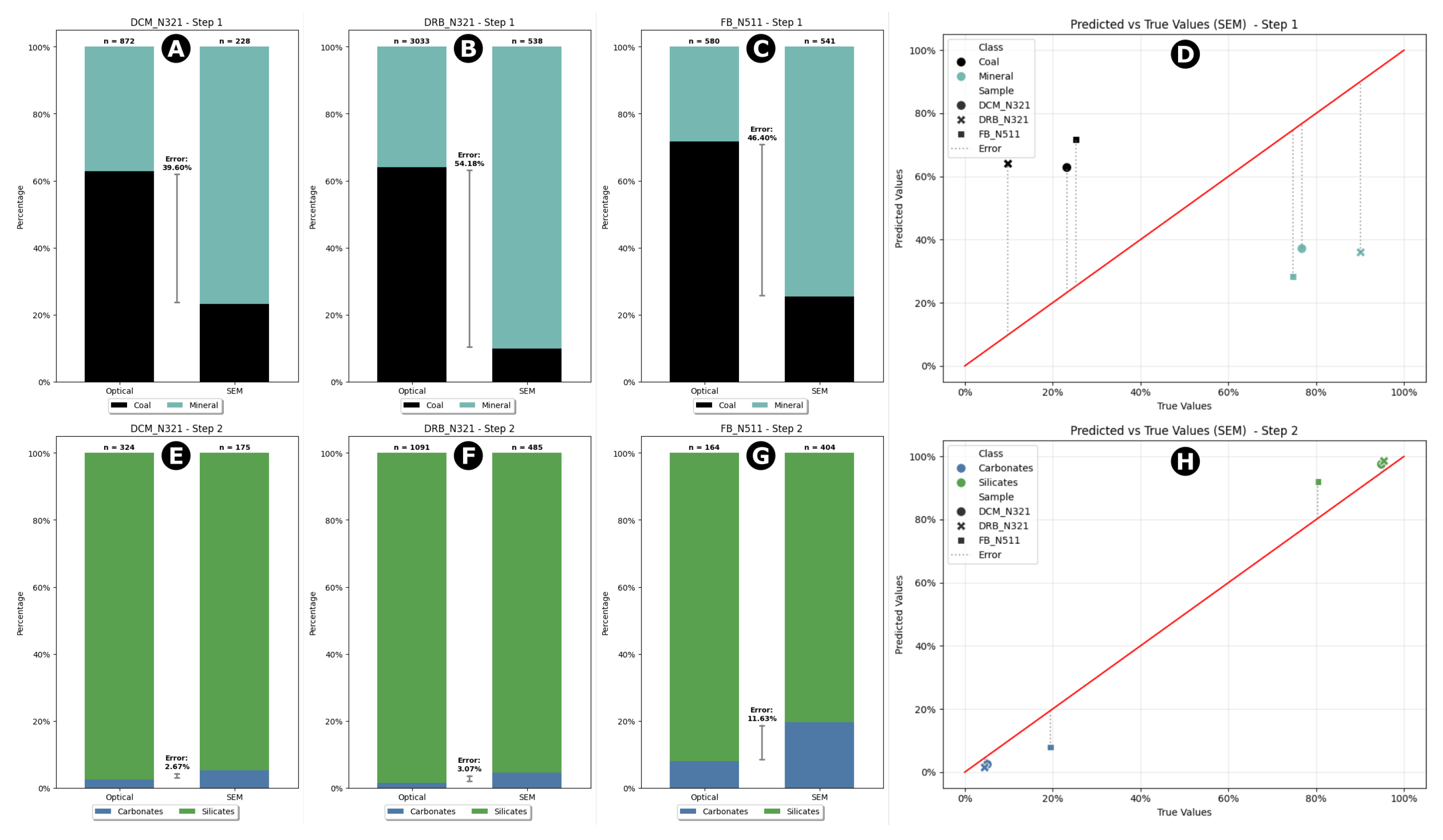
Taken together, the above points indicate that an OLM model established with lab-generated samples is unlikely to yield accurate classification of particles for the mine dust samples. As an example, Figure 5 presents results for the three DOS mine dust samples using an OLM classification model that was developed with MITPP and MITCP thresholds derived from the lab-generated particles shown in Figure 4. (For this exercise, the model was developed and applied using a 2.5 µm lower particle size threshold). In essence, the model is attempting to use the MITPP threshold to differentiate coal from minerals (Step-1), and the MITCP threshold to differentiate silicates from carbonates (Step-2). In Figure 5, the top row of bar charts (Panels A-C) shows the results for Step-1 classification on each of the three DOS samples, with the SEM-derived results as reference, and the scatter plot (Panel D) summarizes the OLM prediction errors (i.e., versus SEM results); the bottom row (Panels E-H) shows the same for Step-2. It is immediately obvious the first classification step is unsuccessful, with the OLM substantially overpredicting the proportion of coal particles (and thereby underpredicting the proportion of mineral particles). This fits with the shift in MITPP values between the lab-generated particle data and mine dust particle data shown in Figure 4. While the OLM predictions are apparently improved for Step-2, it must be noted that the classification model is only considering a fraction of the true mineral particles in this case (i.e., since many particles were misclassified as coal in Step-1).
Figure 5.
Preliminary results for DOS mine dust samples using a classification model based on the lab-generated dust results shown in Figure 4 with a 2.5 µm size threshold. Panels (A–C) show outputs from Step-1, which estimates coal and total mineral fractions. Panels (E–G) present results from Step-2, which further separates the mineral fraction into carbonates and silicates. Panels (D,H) display predicted vs. reference values for Step-1 and Step-2, respectively. The red diagonal line in panels (D,H) indicate perfect agreement, and vertical deviations from this line represent the error between OLM predictions and SEM-EDX-based validation.
The unsuccessful outcome demonstrated by Figure 5 is not entirely surprising, as real coal mine dust particles are expected to be significantly more complex than high-purity particles collected in the lab. In the mine environment, optical signals can be influenced by numerous factors, including particle agglomeration, compositional heterogeneity, moisture content, and the presence of impurities. Because optical sensors detect a composite signal from such particles, accurate classification becomes challenging. This issue is particularly problematic when classification models are trained on high-purity, well-dispersed particles of single composition. Incorporating a particle deagglomeration step as a pretreatment could significantly enhance classification accuracy by ensuring more representative and separable particle features. Moreover, calibrating classification models using mine-specific data could offer a practical and efficient way to adapt optical methods. Therefore, the next section describes more in-depth work designed to (a) mitigate the presence and effect of agglomerated particles and (b) establish a mine-specific calibration model.
3.2. Dispersed Dust OLM
To address the issue of agglomerated particles in the mine dust samples, the recovery and redeposition procedure described earlier was used to generate samples for DD analysis (i.e., using the six mine dust samples shown in Table 1).
To evaluate the effectiveness of ultrasonic dispersion, we compared the percentage of agglomerated particles (PAP) in untreated (DOS) and dispersed (DD) samples using SEM-EDX analysis. Table 2 summarizes PAP values by mine location and size threshold. On average, DOS samples exhibited a PAP of 39.28% and 62.01% for size thresholds of 1 µm and 2.5 µm, respectively. In comparison, DD samples showed a PAP of 29.04% and 43.66% for the same thresholds. For the 1 µm threshold, the PAP difference between ultrasonically dispersed samples and untreated samples was 10.24%, whereas for the 2.5 µm threshold, the difference increased to 18.35%. Although ultrasonic dispersion did not eliminate agglomerates entirely, the observed reductions indicate meaningful improvement in particle separability, which likely contributed to better OLM classification performance.
Table 2.
Percentage of agglomerated particles (PAP) for DOS and DD samples by mine location and size threshold.
Figure 6 shows the DD sample results in terms of MITPP and MITCP values observed with OLM. (Again, the bottom row shows the values for lab-generated dust samples for comparison.) Clearly, the dispersion procedure facilitated at least some deagglomeration of particles, thereby reducing the scatter observed in the left region of the feature space with DOS analysis.
Figure 6.
Comparison of MITCP and MITPP values observed for DD samples versus lab-generated dust samples using lower particle size thresholds of 1 µm and 2.5 µm. For the DD samples (panels (A,B)), particle composition is unknown and all data points are shown in gray. For the lab-generated samples (panels (C,D)), particle sources are known and data points are color-coded by material: Coal (black), Kaolinite (red), Carbonates (blue), and Silica (orange).
Although the DD data shown in Figure 6 exhibit improved alignment with the lab-generated dust data from the prior study [10], key differences remain. The DD results show a higher concentration of particles with relatively low values for both MITPP and MITCP, clustering in the lower-left region of the feature space. The differences in the MITPP values are most noticeable, and the maximum and mean MITPP values are shifted even lower for the DD results than for the DOS results. Respectively, the maximum MITPP values are 2971 versus 3005 (as compared to 3258 for the lab-generated dust particles), and mean values are 2281 versus 2386 (as compared to 2800 for the lab-generated particles). This suggests that individual mine dust particles collected for this study are often darker than even the high-purity coal particles collected in the lab for the previous study [10]. This could be related to the abundance or quality of coal dust particles in the study mine, or the presence of constituents (e.g., DPM) which are not accounted for here. In any case, the results shown in Figure 6 clearly indicate that—even after dispersion—an OLM classification model based on lab-generated dust particles is not suitable for the mine dust samples.
To develop a mine-specific classification model, the available DD dataset (Table 1) was divided in half such that one sample from each duplicate pair was used for model development and the other was used for testing. This decision is supported by the good agreement between duplicates with respect to the SEM-derived particle distributions shown in Table 3. The SEM-derived results were again taken as reference for the OLM results.
Table 3.
SEM-derived distribution of coal, silicate and carbonate particles in each of the samples generated for DD analysis.
To construct the model, an error minimization strategy was employed to iteratively determine optimal thresholds for MITPP and MITCP using observations from all three DD ‘development’ samples. In each iteration, a candidate MITPP value was applied in Step-1: Particles with MITPP values less than or equal to the threshold were labeled as ‘coal’, while those exceeding the threshold were labeled as ‘mineral’. Then, the resulting coal-to-mineral particle distribution was compared to the distribution determined by SEM-EDX analysis. The classification error was calculated based on the difference between the OLM-derived and SEM-derived distributions. Similarly, iterations were performed to find the optimal MITCP threshold to classify mineral particles in Step-2: Particles with MITCP was less than or equal to the candidate MITCP value were labeled as ‘silicate’, while those exceeding the threshold were labeled as ‘carbonate’. And, again, the OLM-derived and SEM-derived distributions were compared.
The calibration process was performed using two lower particle size thresholds: 2.5 µm and 1 µm. However, the optimal thresholds for MITPP (1893) and MITCP (1103) were identified based on the minimization of average classification error when applying the 2.5 µm threshold in Step-1 and Step-2, respectively (see Figure 7).
Figure 7.
Average calibration error for Step-1 (left) and Step-2 (right) for the three DD samples used for model development with a 2.5 µm lower size threshold. The red dotted line indicates the optimal parameter value that minimizes the average error, as determined using SEM-EDX analysis as the validation reference.
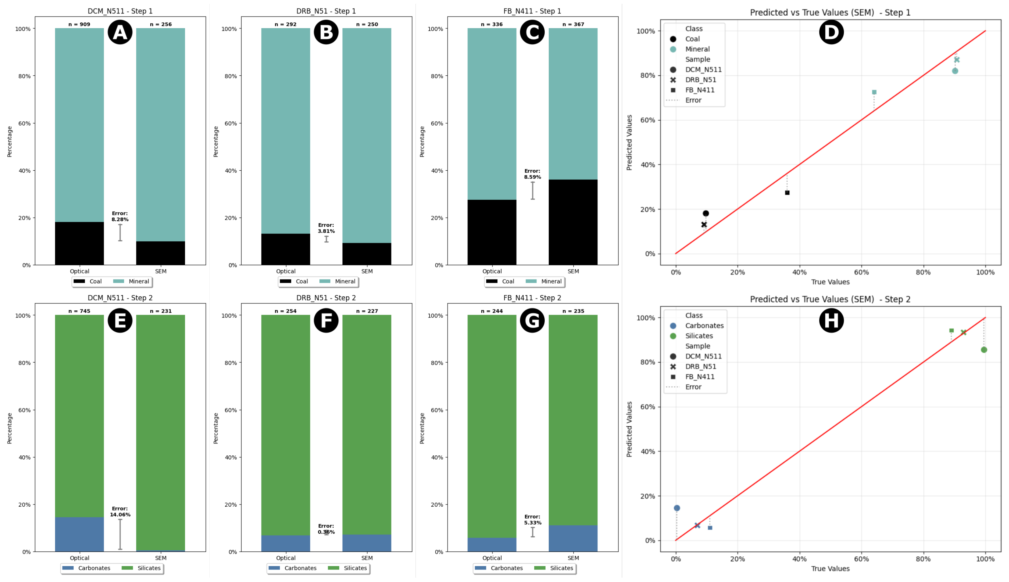
Figure 8 presents the results when the mine-specific classification model (i.e., using the optimal MITPP and MITCP thresholds from Figure 7) was applied to the three DD ‘testing’ samples, using a 2.5 µm lower particle size threshold. Like the layout in Figure 5, in Figure 8 Panels A-C show the results for Step-1 classification on each sample, and Panel D summarizes the OLM prediction errors; and Panels E-H show the same for Step-2. This time, however, there is substantially better agreement between OLM predictions and SEM-derived reference measurements for classification of coal versus minerals (Step-1). Across all three samples, the root mean squared error (RMSE) is about 7% when using the mine-specific model, but was nearly 69% when using the model developed using lab-generated samples of high-purity materials. This demonstrates the potential for a mine-specific OLM model to classify coal versus mineral dust particles–even in the respirable size range.
Figure 8.
Results of calibrated mine-specific classification model on the three DD samples reserved for testing using a 2.5 µm size threshold. Panels (A–D) show outputs from the Step-1 model, which estimates coal and total mineral fractions. Panels (E–H) present results from the Step-2 model, which further resolves the mineral fraction into carbonates and silicates. Panels (D,H) display predicted vs. reference values for the Step-1 and Step-2 models, respectively. The red diagonal line in panels (D,H), indicate perfect agreement, and vertical deviations from this line represent the error between OLM predictions and SEM-EDX-based validation.
For subclassification of minerals as silicates versus carbonates (Step-2), the results yielded by the mine-specific model are less compelling. In fact, the RMSE values derived from the data in Figure 8 and Figure 5 are similar (i.e., about 9% versus 4%). This is at least partly attributed to the fact that all the field samples collected for this study had relatively low percentages of carbonates (i.e., less than 20% based on SEM-EDX analysis), which is an unfavorable condition for calibration exercises–if even representative of real mining environments. Nevertheless, the results also suggest that optical separation of major mineral classes is inherently challenging with real mine dust particles. This might be due to a relatively wide range of mineral types with overlapping optical features, impure particles (e.g., aggregates), or the persistence of some agglomerates in the DD samples generated in the current work [10].
Beyond the low abundance of carbonates and potential agglomeration effects, the suboptimal performance in Step-2 likely reflects intrinsic similarities in optical properties among silicate minerals. Prior laboratory studies have shown that quartz and clay minerals (e.g., kaolinite) exhibit overlapping optical features under polarized light, making them difficult to distinguish [9,10]. The current work suggests that some overlap may also occur between silicates and carbonates in real mine dust, further complicating subclassification. These findings indicate that optical separation of major mineral classes is inherently challenging and may require more advanced feature extraction or complementary analytical techniques.
To observe the relative effect of particle size, a variation of the mine-specific model was also developed and tested with a lower particle size threshold of 1 µm. (Notably, this exercise used the same initial dataset considered for the model with a 2.5 µm threshold; the threshold was simply changed.) Table 4 compares the prediction errors for both 1 µm and 2.5 µm size thresholds. A slight improvement can be seen for the Step-1 results, which fits with the notion that finer particles are more prone to classification errors [9,10]. However, there is negligible difference for the Step-2 results, which may be related to any of the above factors challenging subclassification of mineral particles.
Table 4.
Step-wise prediction error percentage for DD samples reserved for mine-specific classification model testing.
While the mine-specific calibration approach demonstrated promising results for classifying coal versus mineral fractions, the scope of this study was limited to samples collected from only three locations within a single mine. This narrow dataset constrains the generalizability of the findings and the developed model. Dust characteristics—including particle size distribution, mineralogy, and optical properties—can vary substantially across mines with different geological conditions, mining methods, and dust control practices. Therefore, the current model should be considered preliminary and site-specific. Future research should expand the dataset to include samples from multiple mines representing diverse geological settings and operational conditions. Such work will be critical to determine whether a robust, generalized OLM classification model is feasible or whether mine-specific calibration will remain necessary for practical implementation.
4. Conclusions
The findings of this study indicate that OLM-based classification of field samples is likely to be complicated by mixed or agglomerated particles that yield composite optical signals, suggesting that steps to promote dispersion during sampling or sample preparation could improve performance. Moreover, because the optical properties of real mine dust differ from those of the high-purity reference materials typically used in laboratory calibration, mine-specific OLM model calibration appears necessary.
In the current work, after taking steps to disperse field samples and build a mine-specific calibration, the results suggest that reliable classification of coal versus mineral fractions is achievable, even for respirable-sized particles. This capability could be quite valuable since, in many mining environments, the mineral fraction of respirable dust poses the greatest health hazard; thus, reliable classification of coal versus mineral particles could provide a practical means to track and manage exposure risks. However, subclassification of the mineral fraction was not possible here.
Several limitations of this study should be recognized. The dataset was small, with all samples collected from only three locations within a single mine. Consequently, the mine-specific model developed here cannot be assumed to generalize across different mines or geological conditions. Future work should prioritize expanding the dataset to include samples from multiple operations with varied dust sources and mining practices to determine whether a robust, generalized model is achievable. Further, all samples collected for this study exhibited relatively high silicate-to-carbonate ratios. This limits the insights that can be drawn from the attempt to subclassify the mineral fraction of the dust.
Author Contributions
Conceptualization, E.S. and N.S.; methodology, E.S. and N.S.; modeling, N.S.; validation, N.S. and L.J.; formal analysis, N.S.; data curation, N.S. and L.J.; writing—original draft preparation, N.S. and E.S.; writing—review and editing, N.S., E.S., and L.J.; visualization, N.S. and L.J.; supervision, E.S.; project administration, E.S.; funding acquisition, E.S. All authors have read and agreed to the published version of the manuscript.
Funding
This research was funded by the Alpha Foundation for the Improvement of Mine Safety and Health, under grant number AFC316FO-84, and CDC/NIOSH, under grant number 75D30119C05529.
Data Availability Statement
The original contributions presented in this study are included in the article. Further inquiries can be directed to the corresponding author.
Acknowledgments
The authors wish to thank the Alpha Foundation and CDC/NIOSH for funding our work, and our industry partners for providing the dust materials used in this study. The views expressed here are those of the authors and do not necessarily represent the views of the research sponsors or partners.
Conflicts of Interest
The authors declare no conflicts of interest. The funders had no role in the design of the study; in the collection, analyses, or interpretation of data; in the writing of the manuscript; or in the decision to publish the results.
References
- Bell, J.L.; Mazurek, J.M. Trends in Pneumoconiosis Deaths — United States, 1999–2018. Morb. Mortal. Wkly. Rep. (MMWR) 2020, 69, 693–698. [Google Scholar] [CrossRef]
- National Academies of Sciences, Engineering, and Medicine. Optimizing Monitoring and Sampling Strategies. In Monitoring and Sampling Approaches to Assess Underground Coal Mine Dust Exposures; National Academies of Sciences, Engineering, and Medicine; Publishing House: Washington, DC, USA, 2018; pp. 78–97. [Google Scholar]
- Abbasi, B.; Wang, X.; Chow, J.C.; Watson, J.G.; Peik, B.; Nasiri, V.; Riemenschnitter, K.B.; Elahifard, M. Review of Respirable Coal Mine Dust Characterization for Mass Concentration, Size Distribution and Chemical Composition. Minerals 2021, 11, 426. [Google Scholar] [CrossRef]
- Amoah, N.A.; Xu, G.; Kumar, A.R.; Wang, Y. Calibration of low-cost particulate matter sensors for coal dust monitoring. Sci. Total Environ. 2023, 859, 160336. [Google Scholar] [CrossRef]
- Feng, Z.; Zheng, L.; Zhang, X.; Liu, J.; Xue, N.; Wang, M. Evaluation and calibration of low-cost particulate matter sensors for respirable coal mine dust monitoring. Aerosol Sci. Technol. 2024, 58, 158–169. [Google Scholar] [CrossRef]
- Thorpe, A.; Walsh, P.T. Direct-Reading Inhalable Dust Monitoring—An Assessment of Current Measurement Methods. Ann. Occup. Hyg. 2013, 57, 824–841. [Google Scholar]
- Williams, K.L.; Dobroski, H.; Cantrell, B.K. Technologies for Continuously Monitoring Respirable Coal Mine Dust. In Proceedings of the 12th WVU International Mining Electrotechnology Conference, Morgantown, WV, USA, 27–29 July 1994; pp. 134–143. [Google Scholar]
- Zaid, M.M.; Amoah, N.; Kakoria, A.; Wang, Y.; Xu, G. Advancing occupational health in mining: Investigating low-cost sensors suitability for improved coal dust exposure monitoring. Meas. Sci. Technol. 2023, 35, 025128. [Google Scholar] [CrossRef]
- Santa, N.; Keles, C.; Saylor, J.R.; Sarver, E. Demonstration of Optical Microscopy and Image Processing to Classify Respirable Coal Mine Dust Particles. Minerals 2021, 11, 838. [Google Scholar] [CrossRef]
- Santa, N.; Sarver, E. Advancing respirable coal mine dust source apportionment: A preliminary laboratory exploration of optical microscopy as a novel monitoring tool. Int. J. Coal Sci. Technol. 2024, 11, 30. [Google Scholar] [CrossRef]
- Santa, N. Polarized Light Microscopy and Image Processing as a Near Real-time Monitoring Tool for Coal Mine Dust Monitoring. Doctoral Dissertation, Virginia Tech, Blacksburg, VA, USA, 2025. [Google Scholar]
- National Vital Statistics System, Provisional Mortality on CDC WONDER Online Database. Available online: http://wonder.cdc.gov/mcd-icd10-provisional.html (accessed on 29 January 2025).
- Oldham, P.D. The Nature of the Variability of Dust Concentrations at the Coal Face. Occup. Environ. Med. 1953, 10, 227–234. [Google Scholar] [CrossRef] [PubMed][Green Version]
- Bhaskar, R.; Ramani, R.V. Experimental Studies on Dust Dispersion in Mine Airways; The National Institute for Occupational Safety and Health (NIOSH): Pittsburgh, PA, USA, 1989.
- Önder, M.; Önder, S.; Akdag, T.; Ozgun, F. Investigation of Dust Levels in Different Areas of Underground Coal Mines. Int. J. Occup. Saf. Ergon. 2009, 15, 125–130. [Google Scholar] [CrossRef]
- Hu, S.; Wang, Z.; Feng, G. Temporal and Spatial Distribution of Respirable Dust After Blasting of Coal Roadway Driving Faces: A Case Study. Minerals 2015, 5, 679–692. [Google Scholar] [CrossRef]
- Daloğlu, G. CFD Modelling of the Dust and Air Velocity Behaviour at an Underground Coal Mine Roadway. Eskişehir Osman. Üniversitesi Mühendislik Ve Mimar. Fakültesi Derg. 2024, 32, 1290–1296. [Google Scholar] [CrossRef]
- Armbruster, L. Agglomeration Of Coal Mine Dust and its Effect on Respirable Dust Sampling. In Inhaled Particles VI; Dodgson, J., McCallum, R.I., Bailey, M.R., Fisher, D.R., Eds.; Pergamon: Oxford, UK, 1988; pp. 393–401. [Google Scholar]
- Sarver, E.; Sweeney, D.; Jaramillo Taborda, L.; Keles, C. Exploring agglomeration of respirable silica and other particles in coal mine dust. Sci. Rep. 2025, 15, 17497. [Google Scholar] [CrossRef]
- Zhao, B.; Xiao, P.; Yan, D.; Li, S.; Hu, B.; Lin, H.; Liu, X. Experimental study of influence of coal dust physical–chemical properties on indirect dust suppression effect. Chem. Eng. Sci. 2025, 302, 120799. [Google Scholar] [CrossRef]
- Huang, Q.; Honaker, R. Optimized reagent dosage effect on rock dust to enhance rock dust dispersion and explosion mitigation in underground coal mines. Powder Technol. 2016, 301, 1193–1200. [Google Scholar] [CrossRef]
- Li, W.; Gao, Y.; Shao, H.; Liang, Z.; Yang, T.; Chen, X. Research on the agglomeration and moisturizing mechanism of APAM composite surfactants on coal. J. Mol. Liq. 2025, 420, 126780. [Google Scholar] [CrossRef]
- Zhang, Z.; Nie, B.; Ma, C.; Liu, X.; Li, Y.; Li, C. A study of high-intensity high voltage electric pulse fracturing - A perspective on the energy distribution of shock waves. Geoenergy Sci. Eng. 2025, 249, 213791. [Google Scholar] [CrossRef]
- Sarver, E.; Keleş, Ç.; Ghaychi Afrouz, S. Particle size and mineralogy distributions in respirable dust samples from 25 US underground coal mines. Int. J. Coal Geol. 2021, 247, 103851. [Google Scholar] [CrossRef]
- Jaramillo, L.; Agiotanti, E.; Afrouz, S.; Keles, C.; Sarver, E. Thermogravimetric analysis of respirable coal mine dust for simple source apportionment. J. Occup. Environ. Hyg. 2022, 19, 568–579. [Google Scholar] [CrossRef]
- Johann-Essex, V.; Keles, C.; Rezaee, M.; Scaggs-Witte, M.; Sarver, E. Respirable coal mine dust characteristics in samples collected in central and northern Appalachia. Int. J. Coal Geol. 2017, 182, 85–93. [Google Scholar] [CrossRef]
- Sarver, E.; Keles, C.; Rezaee, M. Beyond conventional metrics: Comprehensive characterization of respirable coal mine dust. Int. J. Coal Geol. 2019, 207, 84–95. [Google Scholar] [CrossRef]
- Sarver, E.; Keles, C.; Rezaee, M. Characteristics of respirable dust in eight Appalachian coal mines: A dataset including particle size and mineralogy distributions, and metal and trace element mass concentrations. Data Brief 2019, 25, 104032. [Google Scholar] [CrossRef] [PubMed]
- Pan, L.; Golden, S.; Assemi, S.; Sime, M.F.; Wang, X.; Gao, Y.; Miller, J. Characterization of Particle Size and Composition of Respirable Coal Mine Dust. Minerals 2021, 11, 276. [Google Scholar] [CrossRef]
- Wang, X.; Abbasi, B.; Elahifard, M.; Osho, B.; Chen, L.-W.A.; Chow, J.C.; Watson, J.G. Coal Mine Dust Size Distributions, Chemical Compositions, and Source Apportionment. Minerals 2024, 14, 1122. [Google Scholar] [CrossRef]
- Uluer, M.E.; Jaramillo Taborda, L.; Keles, C.; Sarver, E. Evaluation of advanced SEM-EDX tools for classification of complex particles in respirable dust. J. Hazard. Mater. 2025, 497, 139732. [Google Scholar] [CrossRef]
- Greth, A.; Afrouz, S.G.; Keles, C.; Sarver, E. Characterization of Respirable Coal Mine Dust Recovered from Fibrous Polyvinyl Chloride Filters by Scanning Electron Microscopy. Min. Metall. Explor. 2024, 41, 1145–1154. [Google Scholar] [CrossRef]
- Liu, W.; Cheng, W.; Liu, X.; Zhang, Z.; Yue, Z.; Yang, L.; Shen, A. Effects of Loading Rate and Notch Geometry on Dynamic Fracture Behavior of Rocks Containing Blunt V-Notched Defects. Rock Mech. Rock Eng. 2023, 57, 2501–2521. [Google Scholar] [CrossRef]
Disclaimer/Publisher’s Note: The statements, opinions and data contained in all publications are solely those of the individual author(s) and contributor(s) and not of MDPI and/or the editor(s). MDPI and/or the editor(s) disclaim responsibility for any injury to people or property resulting from any ideas, methods, instructions or products referred to in the content. |
© 2025 by the authors. Licensee MDPI, Basel, Switzerland. This article is an open access article distributed under the terms and conditions of the Creative Commons Attribution (CC BY) license.






