Evolution Mechanism of Microscopic Pore System in Coal-Bearing Marine–Continental Transitional Shale with Increasing Maturation
Abstract
1. Introduction
2. Geological Setting
3. Samples and Methods
3.1. Samples
3.2. Experimental Method
4. Results
4.1. Bulk Organic Characteristics and Mineralogy
4.2. Porosity and Permeability
4.3. Different Types of Porosity Calculations and Result Verification
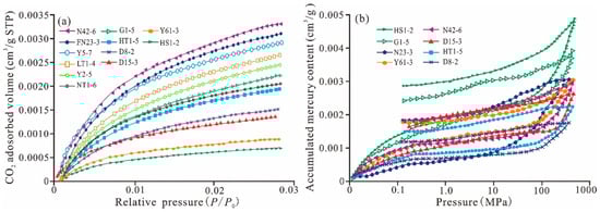
4.4. Pore Structures in the Shanxi Shales
5. Discussion
5.1. Evolution of Pores in Organic Matters
5.2. Mineral Diagenetic Evolution and Inorganic Pores
5.3. Evolution of Different Scales of Shale Pores
5.4. Pore Evolution Model of Coal-Bearing Marine–Continental Transitional Shale
6. Conclusions
- (1)
- The coal-bearing marine–continental transitional Shanxi shales are rich in clay minerals (26.7 wt.%~65.6 wt.%). Various pore types are developed in the different matrices of shale reservoir, and the pore density among organic pores, brittle minerals, and clay minerals decreases successively. Organic pores have an obvious correlation with micropores and mesopores, while inorganic pores are developed with larger pore sizes. Shanxi shales have low porosity and permeability, which change periodically with the increase in the maturity.
- (2)
- The pore morphology of the coal-bearing Shanxi shales is mainly plate slit and ink bottle shaped, and the pore morphology varies greatly in each evolution stage. The pore size distribution of shale is uneven and has the characteristics of multi-peaks, with an average pore size ranging from 35.6 to 257.4 nm (mean of 100.6 nm). The contribution rate of micropore volume is low, ranging from 10.3% to 42.1%, but it is the main contributor of specific surface area, with the contribution rate ranging from 53.2% to 94.2%.
- (3)
- With the evolution of hydrocarbon generation of organic matter and the diagenetic evolution of inorganic minerals, the organic matter pores of various inorganic mineral pores of coal-bearing shales change in stages with the increase in maturity, forming an important reservoir space for shale oil and gas.
- (4)
- The double cracking of organic matter generates a large number of organic matter pores, mainly providing small pore size pores. Meanwhile, the organic acid produced dissolves easily soluble minerals, expanding the pore space of brittle minerals and increasing the volume of macropores. The decrease in mesopores and macropores mainly stems from the reduction in pores within clay minerals.
- (5)
- Evolution characteristics of shale pores were affected jointly by diagenesis and hydrocarbon generation, which could be mainly divided into four stages. At Ro < 0.5%, controlled by compaction, the volume of large primary interparticle pores formed by the original loose accumulation decreases rapidly. At 0.5%< Ro <1.3%, large number of organic matter pores is formed by hydrocarbon generation, and these pores could be occupied by oil and pyrolytic asphalt, resulting in the decrease in porosity; additionally, numerous dissolved pores generated by organic acids dissolve soluble minerals, and the conversion of clay minerals increases the pore volume. At 1.3% < Ro < 1.7%, the volume of organic matter pores and dissolved pores increases again due to the secondary cracking of organic matters, whereas the volume of inorganic pores decreases slowly due to compaction. At Ro > 1.7%, with the decline in diagenesis and hydrocarbon generation, pore system gradually remains stable.
Author Contributions
Funding
Data Availability Statement
Conflicts of Interest
References
- Johnson, C.; Boersma, T. Energy (in)security in Poland the case of shale gas. Energy Policy 2013, 53, 389–399. [Google Scholar] [CrossRef]
- Liang, C.; Jiang, Z.; Zhang, C.; Guo, L.; Yang, Y.; Li, J. The shale characteristics and shale gas exploration prospects of the Lower Silurian Longmaxi shale, Sichuan Basin, South China. J. Nat. Gas Sci. Eng. 2014, 21, 636–648. [Google Scholar] [CrossRef]
- Daly, H.E.; Walton, M.A. Energy Access Outlook: From Poverty to Prosperity, World Energy Outlook—2017 Special Report; OECD/IEA: Paris, France, 2017. [Google Scholar]
- Ma, Y.S.; Cai, X.Y.; Zhao, P.R. China’s shale gas exploration and development: Understanding and practice. Pet. Explor. Dev. 2018, 45, 589–603. [Google Scholar] [CrossRef]
- Curtis, J.B. Fractured shale-gas systems. AAPG Bull. 2002, 86, 1921–1938. [Google Scholar]
- Wang, H.; Li, J.; Zhao, Q.; Lin, Y. Resources and development of new energy in China. Acta Petrol. Sin. 2009, 30, 469–474. [Google Scholar]
- Selley, R.C. UK shale gas: The story so far. Mar. Pet. Geol. 2012, 31, 100–109. [Google Scholar] [CrossRef]
- Curtis, M.E.; Ambrose, R.; Sondergeld, C.H.; Rai, C.S. Investigation of the Relationship between Organic Porosity and Thermal Maturity in the Marcellus Shale. In Proceedings of the North American Unconventional Gas Conference and Exhibition (SPE), The Woodlands, TX, USA, 14–16 June 2011; Volume 144370, pp. 1–4. [Google Scholar]
- Liu, X.J.; Xiong, J.; Liang, L.X. Investigation of pore structure and fractal characteristics of organic–rich Yanchang formation shale in central China by nitrogen adsorption/desorption analysis. J. Nat. Gas Sci. Eng. 2015, 22, 62–72. [Google Scholar] [CrossRef]
- Li, A.; Ding, W.; He, J.; Dai, P.; Yin, S.; Xie, F. Investigation of pore structure and fractal characteristics of organic-rich shale reservoirs: A case study of Lower Cambrian Qiongzhusi formation in Malong block of eastern Yunnan Province, South China. Mar. Pet. Geol. 2016, 70, 46–57. [Google Scholar] [CrossRef]
- Li, J.; Zhou, S.; Li, Y.; Ma, Y.; Yang, Y.; Li, C. Effect of organic matter on pore structure of mature lacustrine organic-rich shale: A case study of the Triassic Yanchang shale, Ordos Basin, China. Fuel 2016, 185, 421–431. [Google Scholar] [CrossRef]
- Montgomery, S.L.; Jarvie, D.M.; Bowker, K.A.; Pollastro, R.M. Mississippian Barnett Shale, Fort Worth basin, north-central Texas: Gas-shale play with multi–trillion cubic foot potential. AAPG Bull. 2005, 90, 963–966. [Google Scholar] [CrossRef]
- Hill, R.J.; Zhang, E.; Katz, B.J.; Tang, Y. Modeling of gas generation from the Barnett Shale, Fort Worth Basin, Texas. AAPG Bull. 2007, 91, 501–521. [Google Scholar] [CrossRef]
- Ross, D.J.K.; Bustin, R.M. Impact of mass balance calculations on adsorption capacities in microporous shale gas reservoirs. Fuel 2007, 86, 2696–2706. [Google Scholar] [CrossRef]
- Ross, D.J.K.; Bustin, R.M. Shale gas potential of the Lower Jurassic Gordondale Member, northeastern British Columbia. Bull. Can. Pet. Geol. 2007, 55, 51–75. [Google Scholar] [CrossRef]
- Ross, D.J.K.; Bustin, R.M. Characterizing the shale gas resource potential of Devonian-Mississippian strata in the Western Canada sedimentary basin: Application of an integrated formation evaluation. AAPG Bull. 2008, 92, 87–125. [Google Scholar] [CrossRef]
- Ross, D.J.K.; Bustin, R.M. The importance of shale composition and pore structure upon gas storage potential of shale gas reservoirs. Mar. Pet. Geol. 2009, 26, 916–927. [Google Scholar] [CrossRef]
- Clarkson, C.R.; Freeman, M.; He, L.; Agamalian, M.; Melnichenko, Y.B.; Mastalerz, M.; Bustin, R.M.; Radlinski, A.P.; Blach, T.P. Characterization of tight gas reservoir pore structure using USANS/SANS and gas adsorption analysis. Fuel 2012, 95, 371–385. [Google Scholar] [CrossRef]
- Chalmers, G.R.L.; Bustin, R.M. The organic matter distribution and methane capacity of the Lower Cretaceous strata of Northeastern British Columbia, Canada. Int. J. Coal Geol. 2007, 70, 223–239. [Google Scholar] [CrossRef]
- Chalmers, G.R.L.; Bustin, R.M. Lower Cretaceous gas shales in northeastern British Columbia, Part I: Geological controls on methane sorption capacity. Bull. Can. Pet. Geol. 2008, 56, 1–21. [Google Scholar] [CrossRef]
- Loucks, R.G.; Reed, R.M.; Ruppel, S.C.; Jarvie, D.M. Morphology, genesis, and distribution of nanometer-scale pores in siliceous mudstones of the Mississippian Barnett shale. J. Sediment. Res. 2009, 79, 848–861. [Google Scholar] [CrossRef]
- Loucks, R.G.; Reed, R.M.; Ruppel, S.C.; Hammes, U. Spectrum of pore types and networks in mudrocks and a descriptive classification for matrix-related mudrock pores. AAPG Bull. 2012, 96, 1071–1098. [Google Scholar] [CrossRef]
- Nelson, P.H. Pore throat sizes in sandstones, tight sandstones, and shales. AAPG Bull. 2009, 93, 329–340. [Google Scholar] [CrossRef]
- Chalmers, G.R.; Bustin, R.M.; Power, I.M. Characterization of gas shale pore systems by porosimetry, pycnometry, surface area, and field emission scanning electron microscopy/transmission electron microscopy image analyses: Examples from the Barnett, Woodford, Haynesville, Marcellus, and Doig unit. AAPG Bull. 2012, 96, 1099–1119. [Google Scholar] [CrossRef]
- Chalmers, G.R.L.; Ross, D.J.K.; Bustin, R.M. Geological controls on matrix permeability of Devonian Gas Shales in the Horn River and Liard basins, northeastern British Columbia, Canada. Int. J. Coal Geol. 2012, 103, 120–131. [Google Scholar] [CrossRef]
- Jarvie, D.M. Shale Resource Systems for Oil and Gas: Part 1—Shale-gas Resource Systems. AAPG Mem. 2012, 97, 89–119. [Google Scholar]
- Slatt, R.M.; O’Brien, N.R. Pore types in the Barnett and Woodford gas shales: Contribution to understanding gas storage and migration pathways in fine-grained rocks. AAPG Bull. 2011, 95, 2017–2030. [Google Scholar] [CrossRef]
- Chen, Q.; Zhang, J.; Tang, X.; Li, W.; Li, Z. Relationship between pore type and pore size of marine shale: An example from the Sinian–Cambrian formation, upper Yangtze region, South China. Int. J. Coal Geol. 2016, 158, 13–28. [Google Scholar] [CrossRef]
- Ding, C.; He, J.; Wu, H.; Zhang, X. Nanometer pore structure characterization of taiyuan formation shale in the linxing area based on nitrogen adsorption experiments. Minerals 2021, 11, 298. [Google Scholar] [CrossRef]
- Mastalerz, M.; Schimmelmann, A.; Drobniak, A.; Chen, Y. Porosity of Devonian and Mississippian New Albany Shale across a maturation gradient: Insights from organic petrology, gas adsorption, and mercury intrusion. AAPG Bull. 2013, 97, 1621–1643. [Google Scholar] [CrossRef]
- Niu, X.; Yan, D.; Hu, M.; Liu, Z.; Zuo, M. Controls of distinct mineral compositions on pore structure in over-mature shales: A case study of Lower Sambrian Niutitang shales in South China. Minerals 2021, 11, 51. [Google Scholar] [CrossRef]
- Wu, J.G.; Luo, Y.; Bai, Y.D.; Wang, A. Characteristics of Pore Types of Weibei Gas Shales: An Investigation by FE-SEM with Ar-Ion Milling. Adv. Mater. Res. 2014, 955–959, 3470–3473. [Google Scholar] [CrossRef]
- Yang, F.; Ning, Z.; Wang, Q.; Zhang, R.; Krooss, B.M. Pore structure characteristics of lower Silurian shales in the southern Sichuan Basin, China: Insights to pore development and gas storage mechanism. Int. J. Coal Geol. 2016, 156, 12–24. [Google Scholar] [CrossRef]
- Hu, H.; Hao, F.; Lin, J.; Lu, Y.; Ma, Y.; Li, Q. Organic matter-hosted pore system in the Wufeng-Longmaxi (O3w-S11) shale, Jiaoshiba area, Eastern Sichuan Basin, China. Int. J. Coal Geol. 2017, 173, 40–50. [Google Scholar] [CrossRef]
- Klaver, J.; Hemes, S.; Houben, M.; Desbois, G.; Radi, Z.; Urai, J.L. The connectivity of pore space in mudstones: Insights from high-pressure Wood’s metal injection, BIB–SEM imaging, and mercury intrusion porosimetry. Geofluids 2015, 15, 577–591. [Google Scholar] [CrossRef]
- Klaver, J.; Desbois, G.; Littke, R.; Urai, J.L. BIB-SEM pore characterization of mature and post mature Posidonia Shale samples from the Hils area, Germany. Int. J. Coal Geol. 2016, 158, 78–89. [Google Scholar] [CrossRef]
- Leu, L.; Georgiadis, A.; Blunt, M.J.; Busch, A.; Bertier, P.; Schweinar, K.; Liebi, M.; Menzel, A.; Ott, H. Multiscale description of shale pore systems by scanning SAXS and WAXS microscopy. Energy Fuels 2016, 30, 10282–10297. [Google Scholar] [CrossRef]
- Li, Z.W.; Tang, Z.L.; Zheng, W.Q. Micropore Structural Heterogeneity of Siliceous Shale Reservoir of the Longmaxi Formation in the Southern Sichuan Basin, China. Minerals 2019, 9, 548. [Google Scholar] [CrossRef]
- Aslannejad, H.; Hassanizadeh, S.M.; Raoof, A.; Winter, D.A.M.D.; Tomozeiu, N.; Genuchten, M.T.V. Characterizing the hydraulic properties of a porous coating of paper using FIB-SEM tomography and 3D pore-scale modeling. Chem. Eng. Sci. 2016, 160, 275–280. [Google Scholar] [CrossRef]
- Tang, X.; Jiang, Z.; Jiang, S.; Li, Z. Heterogeneous nanoporosity of the Silurian Longmaxi Formation shale gas reservoir in the Sichuan Basin using the QEMSCAN, FIB-SEM, and nano-CT methods. Mar. Pet. Geol. 2016, 78, 99–109. [Google Scholar] [CrossRef]
- Zhang, J.Z.; Li, X.Q.; Wei, Q.; Sun, K.X.; Zhang, G.W.; Wang, F.Y. Characterization of full-sized pore structure and fractal characteristics of marine−continental transitional Longtan formation shale of Sichuan Basin, South China. Energy Fuels 2017, 31, 10490–10504. [Google Scholar] [CrossRef]
- Bernard, S.; Horsfield, B.; Schulz, H.M.; Wirth, R.; Schreiber, A.; Sherwood, N. Geochemical evolution of organic-rich shales with increasing maturity: A STXM and TEM study of the Posidonia Shale (Lower Toarcian, northern Germany). Mar. Pet. Geol. 2012, 31, 70–89. [Google Scholar] [CrossRef]
- Bernard, S.; Brown, L.; Wirth, R.; Schreiber, A.; Schulz, H.M.; Horsfield, B.; Aplin, A.C.; Mathia, E.J. FIB-SEM and TEM investigations of an organic-rich shale maturation series from the lower toarcian posidonia shale, Germany: Nanoscale pore system and fluid-rock interactions. AAPG Mem. 2013, 18, 53–66. [Google Scholar]
- Curtis, M.E.; Sondergeld, C.H.; Ambrose, R.J.; Rai, C.S. Microstructural investigation of gas shales in two and three dimensions using nanometer–scale resolution imaging. AAPG Bull. 2012, 96, 665–677. [Google Scholar] [CrossRef]
- Zhang, J.Z.; Li, X.Q.; Zou, X.Y.; Zhao, G.J.; Zhou, B.G.; Li, J.; Xie, Z.Y.; Wang, F.Y. Characterization of full-sized pore structure of coal-bearing shales and its effect on shale gas content. Energy Fuels 2019, 33, 1969–1982. [Google Scholar] [CrossRef]
- Zhang, J.Z.; Li, X.Q.; Wei, Q.; Gao, W.J.; Liang, W.L.; Wang, Z.; Wang, F.Y. Quantitative characterization of pore-fracture system of organic-rich marine-continental shale reservoirs: A case study of the Upper Permian Longtan Formation, Southern Sichuan Basin, China. Fuel 2017, 200, 272–281. [Google Scholar] [CrossRef]
- Zhang, J.Z.; Li, X.Q.; Xie, Z.Y.; Li, J.; Zhang, X.Q.; Sun, K.X.; Wang, F.Y. Characterization of microscopic pore types and structures in marine shale: Examples from the Upper Permian Dalong formation, Northern Sichuan Basin, South China. J. Nat. Gas Sci. Eng. 2018, 59, 326–342. [Google Scholar] [CrossRef]
- Rouquérol, J.; Avnir, D.; Fairbridge, C.W.; Everett, D.H.; Haynes, J.H.; Pernicone, N.; Ramsay, J.D.F.; Sing, K.S.W.; Unger, K. Physical chemistry division commission on colloid and surface chemistry, subcommittee on characterization of porous solids: Recommendations for the characterization of porous solids. Pure Appl. Chem. 1994, 66, 1739–1758. [Google Scholar]
- Behar, F.; Vandenbroucke, M. Chemical modelling of kerogens. Org. Geochem. 1987, 11, 15–24. [Google Scholar] [CrossRef]
- Gasparik, M.; Bertier, P.; Gensterblum, Y.; Ghanizadeh, A.; Krooss, B.M.; Littke, R. Geological controls on the methane storage capacity in organic-rich shales. Int. J. Coal Geol. 2014, 123, 34–51. [Google Scholar] [CrossRef]
- Rexer, T.F.; Mathia, E.J.; Aplin, A.C.; Thomas, K.M. High-Pressure Methane Adsorption and Characterization of Pores in Posidonia Shales and Isolated Kerogens. Energy Fuels 2014, 28, 2886–2901. [Google Scholar] [CrossRef]
- Zhang, J.Z.; Tang, Y.J.; He, D.X.; Sun, P.; Zou, X.Y. Full-scale nanopore system and fractal characteristics of clay-rich lacustrine shale combining FE-SEM, nano-CT, gas adsorption and mercury intrusion porosimetry. Appl. Clay Sci. 2020, 196, 105758. [Google Scholar] [CrossRef]
- Ko, L.T.; Ruppel, S.T.; Loucks, R.G.; Hackley, P.C.; Zhang, T.W.; Shao, D.Y. Pore-types and pore-network evolution in Upper Devonian-Lower Mississippian Woodford and Mississippian Barnett mudstones: Insights from laboratory thermal maturation and organic petrology. Int. J. Coal Geol. 2018, 190, 3–28. [Google Scholar] [CrossRef]
- Jarvie, D.M.; Hill, R.J.; Ruble, T.E.; Pollastro, R.M. Unconventional shale-gas systems: The Mississippian Barnett Shale of north-central Texas as one model for thermogenic shale-gas assessment. AAPG Bull. 2007, 91, 475–499. [Google Scholar] [CrossRef]
- Guo, T. The Fuling Shale Gas Field—A highly productive Silurian gas shale with high thermal maturity and complex evolution history, southeastern Sichuan Basin, China. Interpretation 2015, 3, 25–34. [Google Scholar] [CrossRef]
- Tang, X.; Zhang, J.; Jin, Z.; Xiong, J.; Lin, L.; Yu, Y.; Han, S. Experimental investigation of thermal maturation on shale reservoir properties from hydrous pyrolysis of Chang 7 shale, Ordos Basin. Mar. Pet. Geol. 2015, 64, 165–172. [Google Scholar] [CrossRef]
- Fishman, N.S.; Hackley, P.C.; Lowers, H.A.; Hill, R.J.; Egenhoff, S.O.; Eberl, D.D.; Blum, A.E. The nature of porosity in organic-rich mudstones of the Upper Jurassic Kimmeridge Clay Formation, North Sea, offshore United Kingdom. Int. J. Coal Geol. 2012, 103, 32–50. [Google Scholar] [CrossRef]
- Curtis, M.E.; Cardott, B.J.; Sondergeld, C.H.; Rai, C.S. Development of organic porosity in the Woodford Shale with increasing thermal maturity. Int. J. Coal Geol. 2012, 103, 26–31. [Google Scholar] [CrossRef]
- Wang, F.; Guo, S. Shale gas content evolution in the Ordos basin. Int. J. Coal Geol. 2019, 211, 103231. [Google Scholar] [CrossRef]
- Wei, J.; Wang, Y.; Wang, G.; Wei, Z.; He, W. Geochemistry and shale gas potential of the lower permian marine-continental transitional shales in the eastern Ordos Basin. Energy Explor. Exploit. 2020, 39, 014459872097924. [Google Scholar] [CrossRef]
- Guo, W.; Shen, W.; Zhou, S.; Xue, H.; Liu, D.; Wang, N. Shale favorable area optimization in coal-bearing series: A case study from the shanxi formation in northern Ordos Basin, China. Energy Explor. Exploit. 2017, 36, 014459871774895. [Google Scholar] [CrossRef]
- Zhang, L.; Dong, D.; Qiu, Z.; Wu, C.; Pan, S. Sedimentology and geochemistry of Carboniferous-Permian marine-continental transitional shales in the eastern Ordos Basin, North China. Palaeogeogr. Palaeoclimatol. Palaeoecol. 2021, 571, 110389. [Google Scholar] [CrossRef]
- Zhang, J.Z.; Li, X.Q.; Zhang, G.W.; Zou, X.Y.; Wang, F.Y.; Tang, Y.J. Microstructural investigation of different nanopore types in marine-continental transitional shales: Examples from the Longtan formation in Southern Sichuan Basin, south China. Mar. Pet. Geol. 2019, 110, 912–927. [Google Scholar] [CrossRef]
- Brunauer, S.; Emmett, P.H.; Teller, E. Adsorption of Gases in Multimolecular Layers. J. Am. Chem. Soc. 1938, 60, 309–319. [Google Scholar] [CrossRef]
- Barrett, E.P.; Joyner, L.G.; Halenda, P.P. The Determination of Pore Volume and Area Distributions in Porous Substances I Computations from Nitrogen Isotherms. J. Am. Chem. Soc. 1951, 73, 373–380. [Google Scholar] [CrossRef]
- Bustin, R.M.; Clarkson, C.R. Geological controls on coalbed methane reservoir capacity and gas content. Int. J. Coal Geol. 1998, 38, 3–26. [Google Scholar] [CrossRef]
- Peng, N.J.; He, S.; Hu, Q.H.; Zhang, B.Q.; He, X.P.; Zhai, G.Y.; He, C.C.; Yang, R. The effects of mineral composition, Organic nanopore structure and fractal characteristics of Wufeng and lower member of Longmaxi shales in southeastern Sichuan, China. Mar. Pet. Geol. 2019, 103, 456–472. [Google Scholar] [CrossRef]
- Bai, B.; Elgmati, M.; Zhang, H.; Wei, M. Rock characterization of Fayetteville shale gas plays. Fuel 2013, 105, 645–652. [Google Scholar] [CrossRef]
- Clarkson, C.R.; Solano, N.R.; Bustin, R.M.; Bustin, A.M.M.; Blach, T.P. Pore structure characterization of North American shale gas reservoirs;using USANS/SANS, gas adsorption, and mercury intrusion. Fuel 2013, 103, 606–616. [Google Scholar] [CrossRef]
- Zhang, X.; Wu, C.; He, J.; Ren, Z.; Zhou, T. The controlling effects of compositions on nanopore structure of over-mature shale from the longtan formation in the laochang area, eastern yunnan, china. Minerals 2019, 9, 403. [Google Scholar] [CrossRef]
- Sing, K.S.W.; Everett, D.H.; Haul, R.A.W.; Moscou, L.; Pierotti, R.A.; Rouquerol, J.; Siemieniewska, T. Reporting physisorption data for gas/solid systems with special reference to the determination of surface area and porosity. Pure Appl. Chem. 1985, 57, 603–619. [Google Scholar] [CrossRef]
- Guan, Q.Z.; Dong, D.Z.; Wang, S.F.; Huang, J.L.; Wang, Y.M.; Lu, H.; Zhang, C.C. Preliminary study on shale gas micro-reservoir characteristics of the lower silurian Longmaxi formation in the southern Sichuan basin, China. J. Nat. Gas Sci. Eng. 2016, 31, 382–395. [Google Scholar] [CrossRef]
- Chen, J.; Xiao, X. Evolution of nanoporosity in organic-rich shales during thermal maturation. Fuel 2014, 129, 173–181. [Google Scholar] [CrossRef]
- Han, H.; Guo, C.; Zhong, N.N.; Pang, P.; Chen, S.J.; Lu, J.G.; Gao, Y. Pore structure evolution of lacustrine shales containing Type I organic matter from the Upper Cretaceous Qingshankou Formation, Songliao Basin, China: A study of artificial samples from hydrous pyrolysis experiments. Mar. Pet. Geol. 2019, 104, 375–388. [Google Scholar] [CrossRef]
- Wang, P.F.; Zhang, C.; Li, X.; Zhang, K.; Yuan, Y.; Zang, X.P.; Cui, W.J.; Liu, S.Y.; Jiang, Z.X. Organic matter pores structure and evolution in shales based on the he ion microscopy (HIM): A case study from the Triassic Yanchang, Lower Silurian Longmaxi and Lower Cambrian Niutitang shales in China. J. Nat. Gas Sci. Eng. 2020, 84, 103682. [Google Scholar] [CrossRef]
- Metwally, Y.M.; Chesnokov, E.M. Clay mineral transformation as a major source for authigenic quartz in thermo-mature gas shale. Appl. Clay Sci. 2012, 55, 138–150. [Google Scholar] [CrossRef]
















| Well | Sample ID | Depth (m) | Ro (%) | TOC (%) | Mineral Composition (wt.%) | |||||||
|---|---|---|---|---|---|---|---|---|---|---|---|---|
| Quartz | Feldspar | Carbonate | Pyrite | Kaolinite | Chlorite | Illite | I/S | |||||
| HS1 | HS1-2 | 694.6 | 0.47 | 2.78 | 33.3 | 12.8 | 9.3 | 8.0 | 1.2 | 1.9 | 2.0 | 27.8 |
| G1 | G1-5 | 967.8 | 0.50 | 2.44 | 29.3 | 7.5 | 8.7 | 9.0 | 1.6 | 2.5 | 5.1 | 17.5 |
| N23 | N23-3 | 1566.9 | 0.56 | 3.75 | 14.5 | 1.7 | 3.5 | 1.0 | 2.8 | 1.1 | 7.4 | 47.6 |
| N42 | N42-6 | 1883.2 | 0.72 | 6.32 | 18.2 | 1.5 | 2.5 | 0.0 | 3.5 | 5.1 | 8.2 | 48.8 |
| Y5 | Y5-7 | 2206.8 | 0.84 | 3.17 | 26.3 | 2.5 | 5.5 | 3.0 | 4.6 | 3.7 | 9.7 | 37.6 |
| Y61 | Y61-3 | 2548.4 | 0.93 | 1.53 | 22.1 | 1.9 | 4.6 | 2.0 | 3.8 | 2.6 | 10.3 | 47.9 |
| LT1 | LT1-4 | 2386.2 | 1.15 | 1.95 | 25.2 | 2.4 | 6.7 | 3.0 | 2.6 | 2.0 | 12.4 | 37.8 |
| D8 | D8-2 | 2678.3 | 1.29 | 2.86 | 17.2 | 1.8 | 7.2 | 2.7 | 3.1 | 1.6 | 14.2 | 44.8 |
| Y2 | Y2-5 | 2745.4 | 1.37 | 3.23 | 18.4 | 1.3 | 7.8 | 11.2 | 2.5 | 0.9 | 18.8 | 38.7 |
| D15 | D15-3 | 2835.7 | 1.57 | 3.21 | 15.5 | 0.9 | 5.7 | 8.5 | 1.7 | 0.5 | 23.7 | 38.7 |
| NT1 | NT1-6 | 3658.3 | 1.75 | 3.45 | 17.3 | 0.7 | 3.0 | 16.9 | 1.2 | 0.8 | 20.6 | 31.7 |
| HT1 | HT1-5 | 3707.1 | 1.88 | 2.53 | 15.3 | 0.5 | 4.7 | 21.7 | 0.7 | 1.1 | 19.7 | 34.8 |
| Sample | Depth (m) | Basic Data | Micropore Volume per Unit Mass (m3/t) | ||||||
|---|---|---|---|---|---|---|---|---|---|
| Rock Density (g/cm3) | Porosity (%) | TOC (%) | Clay Mineral Content (wt.%) | Brittle Mineral Content (wt.%) | VTOC | VClay | VBri | ||
| N42-6 | 1883.2 | 2.85 | 5.4 | 3.23 | 60.91 | 38.68 | 0.2477 | 0.0100 | 0.0126 |
| Y5-7 | 2206.8 | 2.85 | 4.3 | 1.95 | 54.72 | 37.29 | |||
| Y61-3 | 2548.4 | 2.50 | 3.5 | 1.53 | 64.60 | 30.60 | |||
Disclaimer/Publisher’s Note: The statements, opinions and data contained in all publications are solely those of the individual author(s) and contributor(s) and not of MDPI and/or the editor(s). MDPI and/or the editor(s) disclaim responsibility for any injury to people or property resulting from any ideas, methods, instructions or products referred to in the content. |
© 2023 by the authors. Licensee MDPI, Basel, Switzerland. This article is an open access article distributed under the terms and conditions of the Creative Commons Attribution (CC BY) license (https://creativecommons.org/licenses/by/4.0/).
Share and Cite
Zhang, J.; Lin, W.; Li, M.; Wang, J.; Xiao, X.; Li, Y.; Zhang, X. Evolution Mechanism of Microscopic Pore System in Coal-Bearing Marine–Continental Transitional Shale with Increasing Maturation. Minerals 2023, 13, 1482. https://doi.org/10.3390/min13121482
Zhang J, Lin W, Li M, Wang J, Xiao X, Li Y, Zhang X. Evolution Mechanism of Microscopic Pore System in Coal-Bearing Marine–Continental Transitional Shale with Increasing Maturation. Minerals. 2023; 13(12):1482. https://doi.org/10.3390/min13121482
Chicago/Turabian StyleZhang, Jizhen, Wei Lin, Mingtao Li, Jianguo Wang, Xiao Xiao, Yu Li, and Xiaochan Zhang. 2023. "Evolution Mechanism of Microscopic Pore System in Coal-Bearing Marine–Continental Transitional Shale with Increasing Maturation" Minerals 13, no. 12: 1482. https://doi.org/10.3390/min13121482
APA StyleZhang, J., Lin, W., Li, M., Wang, J., Xiao, X., Li, Y., & Zhang, X. (2023). Evolution Mechanism of Microscopic Pore System in Coal-Bearing Marine–Continental Transitional Shale with Increasing Maturation. Minerals, 13(12), 1482. https://doi.org/10.3390/min13121482

