Improving Functional Connectivity in Developmental Dyslexia through Combined Neurofeedback and Visual Training
Abstract
1. Introduction
2. Materials and Methods
2.1. Participants
2.2. Experimental Paradigm
2.3. EEG Signal Preprocessing
2.4. Neurofeedback Online Training Measures
2.5. Visual Training Procedure
2.6. Small-World Propensity
2.7. Statistics
3. Results
3.1. Behavioral Results of the LSF Illusion
3.2. Functional Connectivity Alterations
3.2.1. Global SWP Measures
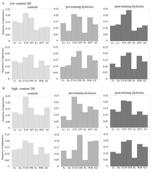
3.2.2. Local SWP Measures at Low-Contrast LSF Illusion
3.2.3. Local SWP Measures at High-Contrast LSF Illusion
3.3. z-NF Training with LSF Illusion
4. Discussion
5. Limitations of the Study
6. Conclusions
Author Contributions
Funding
Institutional Review Board Statement
Informed Consent Statement
Data Availability Statement
Acknowledgments
Conflicts of Interest
Appendix A
| Control | Pre- Dys | Post- Dys | Con/Pre- Dys | Con/Post- Dys | Pre-/Post- Dys | |||||
|---|---|---|---|---|---|---|---|---|---|---|
| Hubs | Hubs | Hubs | p | χ2 | p | χ2 | p | χ2 | ||
| δ | Str | FT10 C2 CP4 TP8 PO7 | AF4 Fz C1 C5 TP8 PO8 | AF4 F8 FC6 FC3-4 C3-4 T8 CP4 P7 | 0.021 | 5.29 | 0.640 | 0.21 | 0.052 | 3.75 |
| BC | FT9-10 C2 TP8 T7 PO7 P8 | AF3-4 FT9 Fz C5 T7-T8 TP8 PO4 P8 | AF4 F7-8 C3 T8 Oz | 0.067 | 3.33 | 0.868 | 0.03 | 0.227 | 1.45 | |
| θ | Str | F3 Fz C1 Cz CP3 CP4 TP8 | F3 C2 C4 CP4 P4 O1 | FT9 C5 Pz CP1 PO3 PO7 | 0.973 | 0.001 | 0.335 | 0.92 | 0.301 | 1.07 |
| BC | F7 Fz Oz PO3 FT10 | FT9-10 Fz Cz C2 Oz O2 | AF4 FT9-10 Pz T7 P4 PO7 | 0.195 | 1.67 | 0.611 | 0.26 | 0. 128 | 2.31 | |
| α | Str | Fz Cz CP1 CP3-4 Pz P4 | AF4 Fz FC3 C2 C3 CP1-2 | Fz C3 C5 Pz P4 | 0.023 | 5.16 | 0.085 | 2.96 | 0.938 | 0.01 |
| BC | FT9-10 Fz Pz PO8 T8 P8 Oz | FT9-10 C2 C3 P7 O1 | AF3 F7 Fz FT10 CP2 PO8 P8 | 0.591 | 0.28 | 0.611 | 0.19 | 0.941 | 0.01 | |
| β1 | Str | Fz F4 FC6 FC4 Cz C4 CP2 CP4 | AF3 F3 FC3 F7 FC5 C3 C5 | Fz C6 CP1-2 CP4 PO4 | 0.661 | 0.19 | 0.517 | 0.42 | 0.0005 | 12.06 |
| BC | Fz Cz C5 T7 PO4 P8 O1 | F7 C3 P7 | Fz C1 C5 T7 PO4 O1 | 0.994 | 3.9 × 10−5 | 0.986 | 0.0003 | 0.041 | 4.18 | |
| β2 | Str | FC6 C4 C5-6 P8 | Fz FC4 C3-4 C5-6 CP4 | Fz F4 FC4 Cz C1 C6 CP1 | 0.661 | 0.19 | 0.775 | 0.08 | 0.948 | 0.004 |
| BC | F7 Fz FT10 C2 T7 P8 | FT9-10 C3 C5 P7 | Fz F4 FT10 C1 C6 T8 | 0.994 | 3.9 × 10−5 | 0.205 | 1.61 | 0.208 | 1.57 | |
| γ1 | Str | Fz CP2 CP4 TP8 P4 | FC3-4 C4 C5-6 CP3 | AF4 F4 FC4 Fz FC6 C2 C4 C6 | 6.8 × 10−6 | 20.24 | 0.991 | 0.0001 | 0.0002 | 13.48 |
| BC | FT10 C4 T7-8 CP2 TP8 P4 | FC3 FT10 C3 C5 T7 | FC6 C2 T7 CP2 | 0.001 | 10.14 | 0.801 | 0.06 | 0.003 | 8.70 | |
| γ2 | Str | FC3 FT9 C1-2 CP2 | F3 FC3 FT9 Cz C1-C2 C3 C5 | FC3-4 C2 CP2 CP4 PO4 P4 | 2.0 × 10−13 | 54.02 | 0.012 | 6.22 | 1.0 × 10−15 | 64.35 |
| BC | FT9-10 C1-2 C5 PO4 PO7 | FT9 Cz C3 C5 | C2 PO4 | 8.8 × 10−6 | 19.76 | 0.004 | 8.17 | 1.4 × 10−10 | 41.22 | |
| Control | Pre- Dys | Post- Dys | Con/Pre- Dys | Con/Post- Dys | Pre-/Post- Dys | |||||
|---|---|---|---|---|---|---|---|---|---|---|
| Hubs | Hubs | Hubs | p | χ2 | p | χ2 | p | χ2 | ||
| δ | Str | AF4 F4 F8 FC6 TP7 PO7-8 | C5 CP4 PO8 P8 | FC6 FT10 C2 C4 O1 | 0.138 | 2.19 | 0.068 | 3.30 | 0.402 | 0.70 |
| BC | FT9 F4 T7 CP2 PO7-8 | FC3 FT10 C5 T7 P4 PO8 P7 | F7 FT9-10 C6 PO4 PO8 O1 | 0.923 | 0.009 | 0.975 | 0.001 | 0.971 | 0.001 | |
| θ | Str | AF4 C4 P3 TP7 PO7 | FC3 Fz Cz C3 C5 Oz | F3-4 FC5 F8 C5 T7 CP1 Pz TP7 | 1.7 × 10−5 | 18.51 | 0.066 | 3.36 | 0.185 | 1.75 |
| BC | FT9-10 T7 PO4 PO7 P8 | PO7 Oz O1 | F4 T7 PO8 O2 | 0.339 | 4.49 | 0.067 | 3.33 | 0.755 | 0.09 | |
| α | Str | Fz Cz Pz C2 | AF4 F3 FC5 Fz C3 C5 CP1 | FC4 Cz CP1 C2 P4 PO4 | 0.511 | 0.43 | 0.108 | 2.57 | 0.029 | 4.73 |
| BC | FT9 Cz C2 TP7 PO3-4 PO8 P8 | FT9-10 Fz T7 PO4 PO8 Oz O1 | FT9 F4 CP1 P7 PO4 PO8 O2 | 0.655 | 0.19 | 0.394 | 0.72 | 0.605 | 0.26 | |
| β1 | Str | Fz CP1-2 C6 CP4 P4 | CP1 Pz CP3 PO4 | Fz C2 C4 CP2 TP8 P4 PO4 | 0.283 | 1.14 | 0.005 | 7.61 | 0.0002 | 13.29 |
| BC | Cz PO8 T7 P7 | T7 PO4 PO7 P7 | F7 Fz C2 T8 PO3-4 | 0.716 | 0.13 | 0.070 | 3.28 | 0.032 | 4.59 | |
| β2 | Str | F3 FC3 C4 CP2 CP4 P4 | F3 FC3-4 FC5-6 Fz C3 C5-6 | FC6 C2 C4 C6 CP2 CP4 TP8 PO4 P4 P8 | 0.101 | 2.67 | 7.1 × 10−6 | 20.16 | 1.8 × 10−9 | 36.14 |
| BC | AF4 F7 FT10 T7 CP2 PO4 | Fz FT9-10 C3 C5 T7 | C2 C4 C6 T8 TP8 PO4 P8 | 0.001 | 9.72 | 0.027 | 4.88 | 1.3 × 10−6 | 23.43 | |
| γ1 | Str | F4 FC4 FC6 C4 C6 CP2 CP4 TP8 P4 | AF3 F3 FC5 C5-6 CP4 | FC4 C4 CP2 CP4 TP8 T7 | 0.009 | 6.67 | 0.012 | 6.26 | 5.9 × 10−6 | 20.51 |
| BC | F4 FC6 FT10 C6 CP2 | AF3 F7 FC3 FT9-10 C2 C3 C5 | FC4 FT10 T7 C4 TP8 PO4 | 0.013 | 6.07 | 0.009 | 6.65 | 6.2 × 10−6 | 20.42 | |
| γ2 | Str | FC3 FT9 Cz C1-2 C3 PO4 | FC3 FC5 FT9 Cz C1-2 C3 | Fz FC4 Cz C1-2 C4 CP2 PO4 | 1.7 × 10−17 | 27.29 | 0.001 | 10.65 | 8.6 × 10−13 | 51.14 |
| BC | FT9-10 C2 C3-4 CP2 PO4 | FT9 Cz C2 C3 T8 O1 | FT9 C2 C4 T8 CP2 PO4 PO8 | 0.003 | 8.69 | 0.009 | 6.78 | 4.5 × 10−7 | 25.48 | |
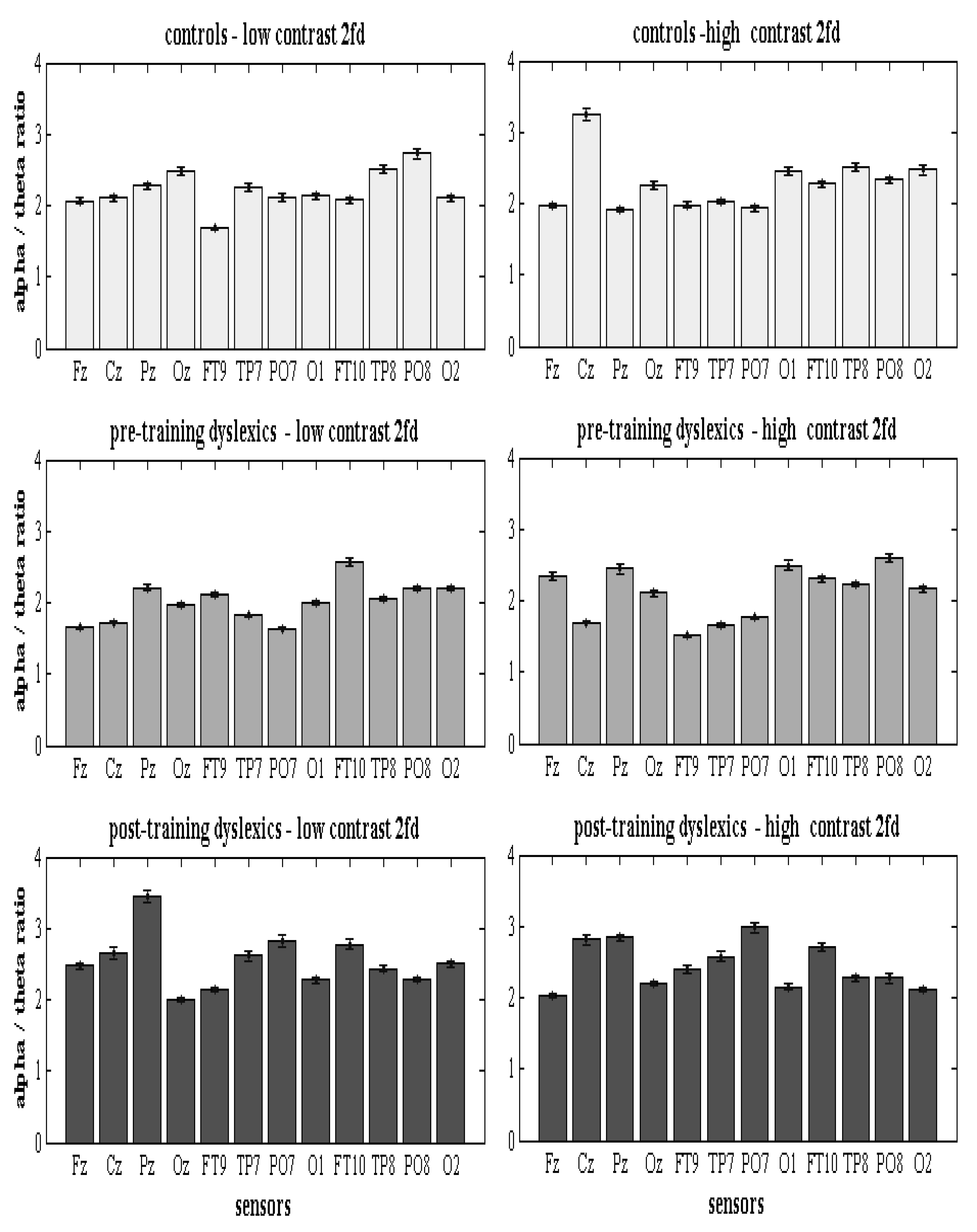
| α/θ Scores | Con | Pre-D | Post-D | Con/Pre-D | Con/Post-D | Pre-/Post-D | |||
|---|---|---|---|---|---|---|---|---|---|
| Mean ± s.e. | Mean ± s.e. | Mean ± s.e. | p | χ2 | p | χ2 | p | χ2 | |
| Low-contrast | |||||||||
| Fz | 2.06 ± 0.04 | 1.65 ± 0.02 | 2.47 ± 0.05 | 1.9 × 10−10 | 40.8 | 2.4 × 10−11 | 44.6 | 2.7 × 10−40 | 176.6 |
| Cz | 2.10 ± 0.04 | 1.73 ± 0.01 | 2.66 ± 0.08 | 0.0010 | 10.6 | 0.0131 | 6.2 | 5.2 × 10−4 | 12.1 |
| Pz | 2.27 ± 0.05 | 2.21 ± 0.04 | 3.44 ± 0.08 | 0.0039 | 8.34 | 3.3 × 10−40 | 176.2 | 3.7 × 10−32 | 139.4 |
| Oz | 2.48 ± 0.06 | 1.97 ± 0.04 | 2.00 ± 0.03 | 4.0 × 10−17 | 70.8 | 7.2 × 10−6 | 20.2 | 2.0 × 10−11 | 44.9 |
| FT9 | 1.68 ± 0.02 | 2.12 ± 0.03 | 2.13 ± 0.03 | 1.3 × 10−22 | 95.7 | 4.9 × 10−33 | 143.4 | 0.303 | 1.06 |
| TP7 | 2.26 ± 0.05 | 1.82 ± 0.02 | 2.62 ± 0.07 | 1.9 × 10−5 | 18.3 | 7.2 × 10−10 | 37.9 | 2.2 × 10−24 | 103.8 |
| PO7 | 2.12 ± 0.05 | 1.64 ± 0.02 | 2.82 ± 0.08 | 2.7 × 10−9 | 35.4 | 2.4 × 10−15 | 62.7 | 3.7 × 10−38 | 166.8 |
| O1 | 2.13 ± 0.04 | 2.01± 0.03 | 2.27 ± 0.05 | 0.4743 | 0.51 | 0.0339 | 4.5 | 0.193 | 1.71 |
| FT10 | 2.08 ± 0.04 | 2.57 ± 0.06 | 2.77 ± 0.07 | 1.9 × 10−14 | 58.6 | 4.7 × 10−11 | 43.3 | 0.79 | 0.07 |
| TP8 | 2.50 ± 0.06 | 2.06 ± 0.03 | 2.43 ± 0.04 | 5.1 × 10−4 | 12.1 | 8.8 × 10−4 | 11.1 | 1.2 × 10−9 | 36.9 |
| PO8 | 2.73 ± 0.07 | 2.21 ± 0.03 | 2.28 ± 0.03 | 6.1 × 10−7 | 24.9 | 0.202 | 1.63 | 0.0015 | 10.1 |
| O2 | 2.10 ± 0.03 | 2.20 ± 0.03 | 2.50 ± 0.04 | 0.1045 | 2.64 | 3.4 × 10−18 | 75.3 | 1.9 × 10−11 | 45.1 |
| High-contrast | |||||||||
| Fz | 1.97 ± 0.03 | 2.34 ± 0.06 | 2.02 ± 0.03 | 2.4 × 10−4 | 13.5 | 6.2 × 10−4 | 11.7 | 2.5 × 10−9 | 35.5 |
| Cz | 3.24 ± 0.09 | 1.70 ± 0.02 | 2.81 ± 0.07 | 5.6 × 10−49 | 216.4 | 0.002 | 9.5 | 3.5 × 10−38 | 166.9 |
| Pz | 1.92± 0.02 | 2.44 ± 0.06 | 2.84 ± 0.04 | 2.0 × 10−6 | 22.6 | 9.9 × 10−62 | 274.9 | 1.8 × 10−28 | 122.5 |
| Oz | 2.26 ± 0.05 | 2.10 ± 0.03 | 2.21 ± 0.03 | 0.215 | 1.54 | 0.002 | 9.77 | 0.008 | 7.02 |
| FT9 | 1.98 ± 0.04 | 1.51 ± 0.02 | 2.40 ± 0.06 | 1.8 × 10−18 | 76.9 | 8.0 × 10−8 | 28.8 | 4.4 × 10−45 | 198.5 |
| TP7 | 2.04 ± 0.03 | 1.66 ± 0.02 | 2.58 ± 0.06 | 1.4 × 10−28 | 122.9 | 6.7 × 10−4 | 11.6 | 1.9 × 10−42 | 186.4 |
| PO7 | 1.93 ± 0.03 | 1.76 ± 0.02 | 2.98 ± 0.08 | 1.4 × 10−7 | 27.7 | 2.0 × 10−22 | 94.9 | 8.6 × 10−40 | 174.3 |
| O1 | 2.45 ± 0.06 | 2.49 ± 0.07 | 2.15 ± 0.04 | 0.062 | 3.49 | 0.040 | 4.21 | 1.2 × 10−8 | 32.4 |
| FT10 | 2.27 ± 0.04 | 2.30 ± 0.04 | 2.70 ± 0.06 | 0.032 | 4.61 | 5.3 × 10−4 | 12.0 | 3.2 × 10−9 | 35.1 |
| TP8 | 2.50 ± 0.06 | 2.23 ± 0.03 | 2.27 ± 0.04 | 0.007 | 7.30 | 0.048 | 4.61 | 0.613 | 0.26 |
| PO8 | 2.33 ± 0.04 | 2.59 ± 0.05 | 2.27 ± 0.06 | 8.8 × 10−5 | 15.4 | 8.6 × 10−6 | 19.8 | 1.2 × 10−19 | 82.2 |
| O2 | 2.47 ± 0.06 | 2.16 ± 0.04 | 2.12 ± 0.03 | 4.6 × 10−5 | 16.6 | 9.4 × 10−20 | 82.7 | 0.12 | 2.5 |



| Groups | Present Study | (qEEG z-NF | -VT) | Other Study | (AutoTrainBrain) | [54,126] |
|---|---|---|---|---|---|---|
| Features | Advantages | Disadvantages | Differences | Advantages | Disadvantages | Differences |
| Control group | Typically reading children | No VT | Size of group (36) | Multisensory learning with alphabet letters | Children with pure dyslexia | Size of group (14) |
| Pre- qEEG z-NF | Functional connectivity (neural network) in all frequency bands | Pre- qEEG z-NF, post- qEEG z-NF | Complexity (entropy), coherence powers of all frequency bands | |||
| qEEG z-NF-alpha/theta | qEEG z-NF-theta | |||||
| Experimental group | Developmental dyslexia | Size of group (72) | Multisensory learning | Dyslexia combined with comorbid cases | Size of group (16) | |
| VT directed to specific visual deficits (deficits of magnocellular pathway and its functioning; parvocellular pathway; temporal cortex; visual-spatial attention) | No chosen individual parameters for training the specific visual deficits | Visual, auditory, and reading tasks in pretraining period; visual and reading tasks in postperiod | Multisensory learning | No specific training; | Common reading tasks in pre- and post-training periods | |
| Pre-NF, post-NF | NF-specific magnocellular task | Pre-qEEG z-NF, post- qEEG z-NF | qEEG z-NF audio-visual word task | |||
| More flexible 12- qEEG z-NF system | Stimulates compensatory mechanisms in the hemisphere’s functioning | Less flexible 14- qEEG z-NF | Improved the cognitive abilities | |||
| Pre- qEEG z-NF, Post- qEEG z-NF | 3-month duration between pre- and post- EEG measurements | Pre- qEEG z-NF, post- qEEG z-NF | 6-month duration between pre- and post- EEG measurements | |||
| 12 pre- and post- qEEG z-NF | 360 sessions of VT training during 12 consecutive weeks (11,600 trials) | 60 sessions of qEEG z-NF training during 12 consecutive weeks | ||||
| Reading assessments [55] | Reading assessments [126] |
References
- Lawrence, E.J.; Su, L.; Barker, G.J.; Medford, N.; Dalton, J.; Williams, S.C.R.; Birbaumer, N.; Veit, R.; Ranganatha, S.; Bodurka, J.; et al. Self-regulation of the anterior insula: Reinforcement learning using real-time fMRI neurofeedback. Neuroimage 2014, 88, 113–124. [Google Scholar] [CrossRef]
- Coben, R.; Linden, M.; Myers, T.E. Neurofeedback for autistic spectrum disorder: A review of the literature. Appl. Psychophysiol. Biofeedback 2010, 35, 83–105. [Google Scholar] [CrossRef] [PubMed]
- Lofthouse, N.; Hendren, R.; Hurt, E.; Arnold, L.E.; Butter, E. A review of complementary and alternative treatments for autism spectrum disorders. Autism Res. Treat. 2012, 2012, 870391. [Google Scholar] [CrossRef] [PubMed]
- Zoefel, B.; Huster, R.J.; Herrmann, C.S. Neurofeedback training of the upper α frequency band in EEG improves cognitive performance. Neuroimage 2011, 54, 1427–1431. [Google Scholar] [CrossRef] [PubMed]
- Angelakis, E.; Stathopoulou, S.; Frymiare, J.L.; Green, D.L.; Lubar, J.F.; Kounios, J. EEG Neurofeedback: A Brief Overview and an Example of Peak Alpha Frequency Training for Cognitive Enhancement in the Elderly. Clin. Neuropsychol. 2007, 21, 110–129. [Google Scholar] [CrossRef]
- Pérez-Elvira, R.; Oltra-Cucarella, J.; Carrobles, J.A. Effects of quantitative electroencephalogram normalization using 4-channel live z-score training neurofeedback for children with learning disabilities: Preliminary data. Behav. Psychol. Psicol. Conduct. 2021, 29, 191–206. [Google Scholar] [CrossRef]
- Wigton, N.L.; Krigbaum, G. Attention, executive function, behavior, and electrocortical function, significantly improved with 19-channel z-score neurofeedback in a clinical setting: A pilot study. J. Atten. Disord. 2015, 23, 398–408. [Google Scholar] [CrossRef]
- Collura, T. Live z-score Neurofeedback. Biofeedback 2016, 44, 212–217. [Google Scholar] [CrossRef]
- Smetanin, N.; Lebedev, M.A.; Ossadtchi, A. Towards zero-latency neurofeedback. bioRxiv 2018, 424846. [Google Scholar] [CrossRef]
- Tang, Y.Y.; Posner, M.I. Training brain networks and states. Trends Cogn. Sci. 2014, 18, 345–350. [Google Scholar] [CrossRef]
- Petersen, S.E.; Posner, M.I. The attention system of the human brain: 20 years after. Annu. Rev. Neurosci. 2012, 35, 73–89. [Google Scholar] [CrossRef] [PubMed]
- Jensen, C.G.; Vangkilde, S.; Frokjaer, V.; Hasselbalch, S.G. Mindfulness training affects attention or is it attentional effort? J. Exp. Psychol Gen. 2012, 141, 106–123. [Google Scholar] [CrossRef] [PubMed]
- Cattinelli, I.; Borghese, N.A.; Gallucci, M.; Paulesu, E. Reading the reading brain: A new meta-analysis of functional imaging data on reading. J. Neurolinguistics 2013, 26, 214–238. [Google Scholar] [CrossRef]
- Cao, F.; Yan, X.; Wang, Z.; Liu, Y.; Wang, J.; Spray, G.J.; Deng, Y. Neural signatures of phonological deficits in Chinese developmental dyslexia. Neuroimage 2017, 146, 301–311. [Google Scholar] [CrossRef] [PubMed]
- Buchweitz, A.; Costa, A.C.; Toazza, R.; de Moraes, A.B.; Cara, V.M.; Esper, N.B.; Aguzzoli, C.; Gregolim, B.; Dresch, L.F.; Soldatelli, M.D.; et al. Decoupling of the occipitotemporal cortex and the brain’s default-mode network in dyslexia and a role for the cingulate cortex in good readers: A brain imaging study of Brazilian children. Dev. Neuropsychol. 2019, 44, 146–157. [Google Scholar] [CrossRef]
- Bosch-Bayard, J.; Peluso, V.; Galan, L.; Valdes Sosa, P.; Chiarenza, G. Clinical and Electrophysiological Differences between Subjects with Dysphonetic Dyslexia and Non-Specific Reading Delay. Brain Sci. 2018, 8, 172. [Google Scholar] [CrossRef]
- Roca-Stappung, M.; Fernández, T.; Bosch-Bayard, J.; Harmony, T.; Ricardo-Garcell, J. Electroencephalographic characterization of subgroups of children with learning disorders. PLoS ONE 2017, 12, e0179556. [Google Scholar] [CrossRef]
- Kaiser, D.A.; Othmer, S. Effect of neurofeedback on variables of attention in a large multi-center trial. J. Neurother. 2000, 4, 5–15. [Google Scholar] [CrossRef]
- Medici, D. Neurofeedback versus pharmacological intervention in the treatment of childhood attention-deficit/hyperactivity disorder (ADHD), First Spanish clinical neuropsychological study. Am. J. Appl. Psychol. 2018, 7, 57. [Google Scholar] [CrossRef]
- Ochi, Y.; Laksanasopin, T.; Kaewkamnerdpong, B.; Thanasuan, K. Neurofeedback game for attention training in adults. In Proceedings of the 10th Biomedical Engineering International Conference (BMEiCON), Hokkaido, Japan, 31 August–2 September 2017; pp. 1–5. [Google Scholar]
- Rastegar, N.; Dolatshahi, B.; Rezaee Dogahe, E. The effect of neurofeedback training on increasing sustained attention in veterans with posttraumatic stress disorder. Pract. Clin. Psychol. 2016, 4, 97–104. [Google Scholar] [CrossRef]
- Wang, J.-R.; Hsieh, S. Neurofeedback training improves attention and working memory performance. Clin. Neurophysiol. 2013, 124, 2406–2420. [Google Scholar] [CrossRef] [PubMed]
- Gasser, T.; Rousson, V.; Gasser, U.S. EEG power and coherence in children with educational problems. J. Clin. Neurophysiol. 2003, 20, 273–282. [Google Scholar] [CrossRef]
- Dickinson, A.; DiStefano, C.; Senturk, D.; Jeste, S.S. Peak alpha frequency is a neural marker of cognitive function across the autism spectrum. Eur. J. Neurosci. 2018, 47, 643–651. [Google Scholar] [CrossRef] [PubMed]
- Klimesch, W. EEG alpha and theta oscillations reflect cognitive and memory performance: A review and analysis. Brain Res. Rev. 1999, 29, 169–195. [Google Scholar] [CrossRef]
- Bazanova, O.M. Alpha EEG Activity Depends on the Individual Dominant Rhythm Frequency. J. Neurother. 2012, 16, 270–284. [Google Scholar] [CrossRef]
- Grandy, T.H.; Werkle-Bergner, M.; Chicherio, C.; Lövdén, M.; Schmiedek, F.; Lindenberger, U. Individual alpha peak frequency is related to latent factors of general cognitive abilities. NeuroImage 2013, 79, 10–18. [Google Scholar] [CrossRef] [PubMed]
- Niedermeyer, E.; Lopes da Silva, F.H. Electroencephalography: Basic Principles, Clinical Applications, and Related Fields, 5th ed.; Lippincott Williams & Wilkins: London, UK, 2005; ISBN 978-0-7817-5126-1. [Google Scholar]
- Fernández, T.; Bosch-Bayard, J.; Harmony, T.; Caballero, M.I.; Díaz-Comas, L.; Galán, L.; Ricardo-Garcell, J.; Aubert, E.; Otero-Ojeda, G. Neurofeedback in Learning Disabled Children: Visual versus Auditory Reinforcement. Appl. Psychophysiol. Biofeedback 2016, 41, 27–37. [Google Scholar] [CrossRef] [PubMed]
- Arns, M. EEG-Based Personalized Medicine in ADHD: Individual Alpha Peak Frequency as an Endophenotype Associated with Nonresponse. J. Neurother. 2012, 16, 123–141. [Google Scholar] [CrossRef]
- Güntensperger, D.; Thüring, C.; Kleinjung, T.; Neff, P.; Meyer, M. Investigating the Efficacy of an Individualized α/δ Neurofeedback Protocol in the Treatment of Chronic Tinnitus. Neural Plast. 2019, 2019, 3540898. [Google Scholar] [CrossRef]
- Albarrán-Cárdenas, L.; Silva-Pereyra, J.; Martínez-Briones, B.J.; Bosch-Bayard, J.; Fernández, T. Neurofeedback effects on EEG connectivity in children with reading disorder: I. Coherence. Preprints 2021, 2021080427. [Google Scholar] [CrossRef]
- Martínez-Briones, B.J.; Bosch-Bayard, J.; Biscay-Lirio, R.J.; Silva-Pereyra, J.; Albarrán-Cárdenas, L.; Fernández, T. Effects of neurofeedback on the working memory of children with learning disorders—An eeg power-spectrum analysis. Brain Sci. 2021, 11, 957. [Google Scholar] [CrossRef] [PubMed]
- Van Dijk, H.; Schoffelen, J.M.; Oostenveld, R.; Jensen, O. Prestimulus oscillatory activity in the alpha band predicts visual discrimination ability. J. Neurosci. 2008, 28, 1816–1823. [Google Scholar] [CrossRef] [PubMed]
- Gola, M.; Magnuski, M.; Szumska, I.; Wróbel, A. EEG beta-band activity is related to attention and attentional deficits in the visual performance of elderly subjects. Int. J. Psychophysiol. 2013, 89, 334–341. [Google Scholar] [CrossRef] [PubMed]
- Phipps-Nelson, J.; Redman, J.R.; Rajaratnam, S.M. Temporal profile of prolonged, night-time driving performance: Breaks from driving temporarily reduce time-on-task fatigue but not sleepiness. J. Sleep Res. 2011, 20, 404–415. [Google Scholar] [CrossRef]
- Wascher, E.; Rasch, B.; Sänger, J.; Hoffmann, S.; Schneider, D.; Rinkenauer, G.; Heuer, H.; Gutberlet, I. Frontal theta activity reflects distinct aspects of mental fatigue. Biol. Psychol. 2014, 96, 57–65. [Google Scholar] [CrossRef]
- Henson, R.; Rugg, M. Neural response suppression, hemodynamic repetition effects, and behavioural priming. Neuropsychologia 2003, 41, 263–270. [Google Scholar] [CrossRef]
- Maksimenko, V.; Kuc, A.; Frolov, N.S.; Hramov, A.; Pisarchik, A.; Lebedev, M. Neuronal adaptation in the course of the prolonged task improves visual stimuli processing. bioRxiv 2020. [CrossRef]
- Harmony, T.; Hinojosa, G.; Marosi, E.; Becker, J.; Rodriguez, M.; Reyes, A.; Rocha, C. Correlation between EEG Spectral Parameters and an Educational Evaluation. Int. J. Neurosci. 1990, 54, 147–155. [Google Scholar] [CrossRef]
- Jäncke, L.; Alahmadi, N. Resting-State EEG in Children with Learning Disabilities. Clin. EEG Neurosci. 2016, 47, 24–36. [Google Scholar] [CrossRef]
- Fonseca, L.C.; Tedrus, G.M.A.S.; Chiodi, M.G.; Cerqueira, J.N.; Tonelotto, J.M.F. Quantitative EEG in Children with Learning Disabilities: Analysis of Band Power. Arq. Neuropsiquiatr. 2006, 64, 376–378. [Google Scholar] [CrossRef]
- Coben, R.; Wright, E.K.; Decker, S.L.; Morgan, T. The impact of coherence neurofeedback on reading delays in learning disabled children: A randomized controlled study. NeuroRegulation 2015, 2, 168. [Google Scholar] [CrossRef][Green Version]
- Murias, M.; Swanson, J.M.; Srinivasan, R. Functional Connectivity of Frontal Cortex in Healthy and ADHD Children Reflected in EEG Coherence. Cereb. Cortex 2007, 17, 1788–1799. [Google Scholar] [CrossRef] [PubMed]
- Dhar, M.; Been, P.H.; Minderaa, R.B.; Althaus, M. Reduced Interhemispheric Coherence in Dyslexic Adults. Cortex 2010, 46, 794–798. [Google Scholar] [CrossRef] [PubMed]
- Marosi, E.; Harmony, T.; Reyes, A.; Bernal, J.; Fernández, T.; Guerrero, V.; Rodríguez, M.; Silva, J.; Yáñez, G.; Rodríguez, H. A Follow-up Study of EEG Coherences in Children with Different Pedagogical Evaluations. Int. J. Psychophysiol. 1997, 25, 227. [Google Scholar] [CrossRef]
- Leisman, G. Coherence of Hemispheric Function in Developmental Dyslexia. Brain Cogn. 2002, 48, 425–431. [Google Scholar]
- Au, A.; Ho, G.S.; Choi, E.W.; Leung, P.; Waye, M.M.; Kang, K.; Au, K.-Y. Does it help to train attention in dyslexic children: Pilot case studies with a ten-session neurofeedback program. Int. J. Disabil. Hum. Dev. 2014, 13, 45–54. [Google Scholar] [CrossRef]
- Breteler, M.H.; Arns, M.; Peters, S.; Giepmans, I.; Verhoeven, L. Improvements in spelling after qEEG-based neurofeedback in dyslexia: A randomized controlled treatment study. Appl. Psychophysiol. Biofeedback 2010, 35, 5–11. [Google Scholar] [CrossRef]
- Nazari, M.A.; Mosanezhad, E.; Hashemi, T.; Jahan, A. The effectiveness of neurofeedback training on EEG coherence and neuropsychological functions in children with reading disability. Clin. EEG Neurosci. 2012, 43, 315–322. [Google Scholar] [CrossRef]
- Klimesch, W.; Doppelmayr, M.; Wimmer, H.; Gruber, W.; Röhm, D.; Schwaiger, J.; Hutzler, F. Alpha and beta band power changes in normal and dyslexic children. Clin. Neurophysiol. 2001, 112, 1186–1195. [Google Scholar] [CrossRef]
- Rippon, G.; Brunswick, N. Trait and state EEG indices of information processing in developmental dyslexia. Int. J. Psychophysiol. 2000, 36, 251–265. [Google Scholar] [CrossRef]
- Arns, M.; Peters, S.; Breteler, R.; Verhoeven, L. Different brain activation patterns in dyslexic children: Evidence from EEG power and coherence patterns for the double-deficit theory of dyslexia. J. Integr. Neurosci. 2007, 6, 175–190. [Google Scholar] [CrossRef] [PubMed]
- Eroğlu, G.; Teber, S.; Ertürk, K.; Kırmızı, M.; Ekici, B.; Arman, F.; Balcisoy, S.; Özcan, Y.Z.; Çetin, M. A mobile app that uses neurofeedback and multi-sensory learning methods improve reading abilities in dyslexia: A pilot study. Appl. Neuropsychol. Child 2021, 1–11. [Google Scholar] [CrossRef] [PubMed]
- Dushanova, J.; Lalova, Y.; Kalonkina, A. Protocol for Visual Intervention of Developmental Dyslexia. In Proceedings of the 4th International Conference on Research in Humanities and Social Sciences, Milan, Italy, 7–9 May 2021; pp. 1–19. [Google Scholar]
- Rajabi, S.; Pakize, A.; Moradi, N. Effect of combined neurofeedback and game-based cognitive training on the treatment of ADHD: A randomized controlled study. Appl. Neuropsychol. Child 2020, 9, 193–205. [Google Scholar] [CrossRef] [PubMed]
- Tu, W.; Ma, Z.; Zhang, N. Brain network reorganization after a targeted attack at a hub region. NeuroImage 2021, 237, 118219. [Google Scholar] [CrossRef]
- Martin, A.; Schurz, M.; Kronbichler, M.; Richlan, F. Reading in the Brain of Children and Adults: A Meta-Analysis of 40 Functional Magnetic Resonance Imaging Studies. Hum. Brain Mapp. 2015, 36, 1963–1981. [Google Scholar] [CrossRef] [PubMed]
- Taskov, T.; Dushanova, J. Reading-network in developmental dyslexia before and after visual training. Symmetry 2020, 12, 1842. [Google Scholar] [CrossRef]
- Taskov, T.; Dushanova, J. Functional connectivity in developmental dyslexia during speed discrimination. Symmetry 2021, 13, 749. [Google Scholar] [CrossRef]
- Raichev, P.; Geleva, T.; Valcheva, M.; Rasheva, M.; Raicheva, M. Protocol on neurological and neuropsychological studies of children with specific learning disabilities. In Integrated Learning and Resource Teacher; Evgenieva, E., Ed.; Publishing House “Dr. Ivan Bogorov”: Sofia, Bulgaria, 2005; pp. 82–105. (In Bulgarian) [Google Scholar]
- Annett, A. A classification of hand preference by association analysis. Br. J. Psychol 1970, 61, 303–321. [Google Scholar] [CrossRef]
- Matanova, V.; Todorova, E. DDE-2 Test Battery for Evaluation of Dyslexia of Development—Bulgarian Adaptation; OS Bulgaria Ltd.: Sofia, Bulgaria, 2013; Available online: https://www.giuntipsy.bg/bg/prod-19-testova-bateriq-za-ocenka-nadisleksiq-na-razvitieto.htm (accessed on 1 October 2013).
- Kalonkina, A.; Lalova, J. Normative indicators for the test battery for a written speech assessment. Logop. Cent. Romel 2016, 30–38. (In Bulgarian) [Google Scholar]
- Yakimova, R. Abnormalities of Written Speech; Rommel Publuling House: Sofia, Bulgaria, 2004. (In Bulgarian) [Google Scholar]
- Girolami-Boulinier, A. Contrôle des Aptitudes à la Lecture et à l’Ecriture (CALE); CALE: Paris, France, 1985. (In French) [Google Scholar]
- Raven, J.; Raven, J.C.; Court, J.H. Manual for Raven’s Progressive Matrices and Vocabulary Scales. Section 2: The Colored Progressive Patrices; Oxford Psychologists Press: Oxford, UK; The Psychological Corporation: San Antonio, TX, USA, 1998. [Google Scholar]
- Fraga González, G.; Žarić, G.; Tijms, J.; Bonte, M.; Blomert, L.; van der Molen, M.W. A randomized controlled trial on the beneficial effects of training letter-speech sound integration on reading fluency in children with dyslexia. PLoS ONE 2015, 10, e0143914. [Google Scholar] [CrossRef]
- Huurneman, B.; Goossens, J. Broad and Long-Lasting Vision Improvements in Youth With Infantile Nystagmus After Home Training With a Perceptual Learning App. Front. Neurosci. 2021, 15, 651205. [Google Scholar] [CrossRef] [PubMed]
- Pammer, K.; Wheatley, C. Isolating the M(y)-cell response in dyslexia using the spatial frequency doubling illusion. Vis. Res. 2001, 41, 2139–2147. [Google Scholar] [CrossRef]
- Sperling, A.J.; Lu, Z.L.; Manis, F.R.; Seidenberg, M.S. Deficits in perceptual noise exclusion in developmental dyslexia. Nat. Neurosci. 2005, 8, 862–863. [Google Scholar] [CrossRef] [PubMed]
- Lalova, J.; Dushanova, J.; Kalonkina, A.; Tsokov, S.; Hristov, I.; Totev, T.; Stefanova, M. Vision and visual attention of children with developmental dyslexia. Psychol. Res. 2018, 21, 247–261, (Online). [Google Scholar]
- Koessler, L.; Maillard, L.; Benhadid, A.; Vignal, J.P.; Felblinger, J.; Vespignani, H.; Braun, M. Automated cortical projection of EEG sensors: Anatomical correlation via the international 10-10 system. NeuroImage 2009, 46, 64–72. [Google Scholar] [CrossRef]
- Giacometti, P.; Perdue, K.L.; Diamond, S.G. Algorithm to find high density EEG scalp coordinates and analysis of their correspondence to structural and functional regions of the brain. J. Neurosci. Methods 2014, 229, 84–96. [Google Scholar] [CrossRef]
- Pitzalis, S.; Serra, C.; Sulpizio, V.; Committeri, G.; de Pasquale, F.; Fattori, P.; Galletti, C.; Sepe, R.; Galati, G. Neural bases of self- and object-motion in a naturalistic vision. Hum. Brain Mapp. 2020, 41, 1084–1111. [Google Scholar] [CrossRef]
- Hülsmann, E.R.M. Traveling cortical netwaves compose a mindstream. bioRxiv 2020, 705947. [Google Scholar] [CrossRef]
- Belinskaia, A.; Smetanin, N.; Lebedev, M.; Ossadtchi, A. Short-delay Neurofeedback facilitates training of the parietal alpha rhythm. J. Neural Eng. 2020, 17, 066012. [Google Scholar] [CrossRef]
- Lalova, J.; Dushanova, J.; Kalonkina, A.; Tsokov, S. Application of specialized psychometric tests and training practices in children with developmental dyslexia. Psychol. Res. 2019, 22, 271–283. [Google Scholar]
- Sasaki, Y.; Nanez, J.E.; Watanabe, T. Advances in visual perceptual learning and plasticity. Nat. Rev. Neurosci. 2010, 11, 53–60. [Google Scholar] [CrossRef]
- Stam, C.J.; Nolte, G.; Daffertshofer, A. Phase lag index: Assessment of functional connectivity from multi-channel EEG and MEG with diminished bias from common sources. Hum. Brain Mapp. 2007, 28, 1178–1193. [Google Scholar] [CrossRef] [PubMed]
- Vinck, M.; Oostenveld, R.; van Wingerden, M.; Battaglia, F.; Pennartz, C.M.A. An improved index of phase-synchronization for electrophysiological data in the presence of volume-conduction, noise, and sample-size bias. Neuroimage 2011, 55, 1548–1565. [Google Scholar] [CrossRef] [PubMed]
- Bullmore, E.; Sporns, O. Complex brain networks: Graph theoretical analysis of structural and functional systems. Nat. Rev. Neurosci. 2009, 10, 186–198. [Google Scholar] [CrossRef] [PubMed]
- Rubinov, M.; Sporns, O. Complex network measures of brain connectivity: Uses and interpretations. Neuroimage 2010, 52, 1059–1069. [Google Scholar] [CrossRef] [PubMed]
- Cohen, J.R.; D’Esposito, M. The segregation and integration of distinct brain networks and their relationship to cognition. J. Neurosci. 2016, 36, 12083–12094. [Google Scholar] [CrossRef]
- Onnela, J.P.; Saramäki, J.; Kertész, J.; Kaski, K. Intensity and coherence of motifs in weighted complex networks. Phys. Rev. E 2005, 71, 065103. [Google Scholar] [CrossRef]
- Boccaletti, S.; Latora, V.; Moreno, Y.; Chavez, M.; Hwanga, D.U. Complex networks: Structure and dynamics. Phys. Rep. 2006, 424, 175–308. [Google Scholar] [CrossRef]
- Stam, C.J.; van Straaten, E.C. The organization of physiological brain networks. Clin. Neurophysiol. 2012, 123, 1067–1087. [Google Scholar] [CrossRef]
- Muldoon, S.F.; Bridgeford, E.W.; Bassett, D.S. Small-world propensity and weighted brain networks. Sci. Rep. 2016, 6, 22057. [Google Scholar] [CrossRef]
- Bassett, D.S.; Nelson, B.G.; Mueller, B.A.; Camchong, J.; Lim, K.O. Altered resting-state complexity in schizophrenia. NeuroImage 2012, 59, 2196–2207. [Google Scholar] [CrossRef] [PubMed]
- Maris, E.; Oostenveld, R. Nonparametric statistical testing of EEG-and MEG-data. J. Neurosci. Methods 2007, 164, 177–190. [Google Scholar] [CrossRef] [PubMed]
- Mason, D.M.; Newton, M.A. A Rank Statistics Approach to the Consistency of a General Bootstrap. Ann. Stat. 1992, 20, 1611–1624. [Google Scholar] [CrossRef]
- Xia, M.; Wang, J.; He, Y. BrainNet Viewer: A network visualization tool for human brain connectomics. PLoS ONE 2013, 8, e68910. [Google Scholar] [CrossRef] [PubMed]
- Fernández, T.; Harmony, T.; Fernández-Bouzas, A.; Díaz-Comas, L.; Prado-Alcalá, R.A.; Valdés-Sosa, P.; Otero, G.; Bosch, J.; Galán, L.; Santiago-Rodríguez, E.; et al. Changes in EEG current sources induced by neurofeedback in learning disabled children. An exploratory study. Appl. Psychophysiol. Biofeedback 2007, 32, 169–183. [Google Scholar] [CrossRef] [PubMed]
- Fernández, T.; Harmony, T.; Fernández-Bouzas, A.; Silva, J.; Herrera, W.; Santiago-Rodríguez, E.; Sánchez, L. Sources of EEG Activity in Learning Disabled Children. Clin. EEG Electroencephalogr. 2002, 33, 160–164. [Google Scholar] [CrossRef]
- Coben, R.; Hammond, D.C.; Arns, M. 19 Channel Z-Score, and LORETA Neurofeedback: Does the Evidence Support the Hype? Appl. Psychophysiol. Biofeedback 2019, 44, 1–8. [Google Scholar] [CrossRef]
- Honkanen, R.; Rouhinen, S.; Wang, S.H.; Palva, J.M.; Palva, S. Oscillations Underlie the Maintenance of feature-specific Information and the Contents of Visual Working Memory. Cereb. Cortex 2015, 25, 3788–3801. [Google Scholar] [CrossRef]
- Schapkin, S.A.; Raggatz, J.; Hillmert, M.; Böckelmann, I. EEG Correlates of Cognitive Load in a Multiple Choice Reaction Task. Acta Neurobiol. Exp. 2020, 80, 76–89. [Google Scholar] [CrossRef]
- Franchi, J.M.; Fovet, T. A Framework for Disentangling the Hyperbolic Truth of Neurofeedback Comment on Thibault & Raz. Am. Psychol. 2017, 73, 933–935. [Google Scholar]
- Thornton, K.E.; Carmody, D.P. Electroencephalogram biofeedback for reading disability and traumatic brain injury. Child. Adolesc. Psychiatr. Clin. 2005, 14, 137–162. [Google Scholar] [CrossRef] [PubMed]
- Pugh, K.R.; Mencl, W.E.; Jenner, A.R.; Katz, L.; Frost, S.J.; Lee, J.R.; Shaywitz, S.E.; Shaywitz, B.A. Functional neuroimaging studies of reading and reading disability (developmental dyslexia). Ment. Retard. Dev. Disabil. Res. Rev. 2000, 6, 207–213. [Google Scholar]
- Siok, W.T.; Perfetti, C.A.; Jin, Z.; Tan, L.H. Biological abnormality of impaired reading is constrained by culture. Nature 2004, 431, 71–76. [Google Scholar] [CrossRef] [PubMed]
- Shaywitz, S.E.; Shaywitz, B.A. Paying attention to reading: The neurobiology of reading and dyslexia. Dev. Psychopathol. 2008, 20, 1329–1349. [Google Scholar] [CrossRef]
- Zumer, J.M.; Scheeringa, R.; Schoffelen, J.M.; Norris, D.G.; Jensen, O. Occipital alpha activity during stimulus processing gates the information flow to object-selective cortex. PLoS Biol. 2014, 12, e1001965. [Google Scholar] [CrossRef]
- Berger, B.; Griesmayr, B.; Minarik, T.; Biel, A.; Pinal, D.; Sterr, A.; Sauseng, P. Dynamic regulation of interregional cortical communication by slow brain oscillations during working memory. Nat. Commun. 2019, 10, 4242. [Google Scholar] [CrossRef]
- Rahm, B.; Kaiser, J.; Unterrainer, J.M.; Simon, J.; Bledowski, C. fMRI characterization of visual working memory recognition. NeuroImage 2014, 90, 413–422. [Google Scholar] [CrossRef]
- Bartha-Doering, L.; Novak, A.; Kollndorfer, K.; Kasprian, G.; Schuler, A.L.; Berl, M.M.; Fischmeister, F.P.S.; Gaillard, W.D.; Alexopoulos, J.; Prayer, D.; et al. When two are better than one: Bilateral mesial temporal lobe contributions are associated with better vocabulary skills in children and adolescents. Brain Lang. 2018, 184, 1–10. [Google Scholar] [CrossRef]
- Bauer, M.; Kennett, S.; Driver, J. Attentional selection of location and modality in vision and touch modulates low-frequency activity in associated sensory cortices. J. Neurophysiol. 2012, 107, 2342–2351. [Google Scholar] [CrossRef]
- Dale, G.; Arnell, K.M. Investigating the stability of and relationships among global/local processing measures. Atten. Percept. Psychophys. 2013, 75, 394–406. [Google Scholar] [CrossRef]
- Mellet, E.; Zago, L.; Jobard, G.; Crivello, F.; Petit, L.; Joliot, M.; Mazoyer, B.; Tzourio-Mazoyer, N. Weak language lateralization affects both verbal and spatial skills: An fMRI study in 297 subjects. Neuropsychologia 2014, 65, 56–62. [Google Scholar] [CrossRef] [PubMed]
- Gable, P.A.; Poole, B.D.; Cook, M.S. Asymmetrical hemisphere activation enhances global-local processing. Brain Cogn. 2013, 83, 337–341. [Google Scholar] [CrossRef] [PubMed]
- Vossel, S.; Geng, J.J.; Fink, G.R. Dorsal and ventral attention systems: Distinct neural circuits but collaborative roles. Neuroscientist 2014, 20, 150–159. [Google Scholar] [CrossRef] [PubMed]
- Spagna, A.; Kim, T.H.; Wu, T.; Fan, J. Right hemisphere superiority for executive control of attention. Cortex 2020, 122, 263–276. [Google Scholar] [CrossRef]
- Peyrin, C.; Baciu, M.; Segebarth, C.; Marendaz, C. Cerebral regions and hemispheric specialization for processing spatial frequencies during natural scene recognition. An event-related fMRI study. Neuroimage 2004, 23, 698–707. [Google Scholar] [CrossRef]
- Peyrin, C.; Chokron, S.; Guyader, N.; Gout, O.; Moret, J.; Marendaz, C. Neural correlates of spatial frequency processing: A neuropsychological approach. Brain Res. 2006, 1073–1074, 1–10. [Google Scholar] [CrossRef]
- Iidaka, T.; Yamashita, K.; Kashikura, K.; Yonekura, Y. Spatial frequency of visual image modulates neural responses in the temporo-occipital lobe. An investigation with event-related fMRI. Brain Res. Cogn. Brain Res. 2004, 18, 196–204. [Google Scholar] [CrossRef]
- Bullier, J. An integrated model of visual processing. Brain Res. Rev. 2004, 36, 96–107. [Google Scholar] [CrossRef]
- Weissman, D.H.; Woldorff, M.G. Hemispheric asymmetries for different components of global/local attention occur in distinct temporo-parietal loci. Cereb. Cortex 2005, 15, 870–876. [Google Scholar] [CrossRef]
- Fink, R.; Marshall, J.C.; Halligan, P.W.; Dolan, R.J. Neuronal activity in early visual areas during global and local processing: A comment on Heinze, Hinrichs, Scholz, Burchert and Mangun. J. Cogn. Neurosci. 2000, 12, 355–356. [Google Scholar] [CrossRef] [PubMed]
- Kauffmann, L.; Ramanoël, S.; Peyrin, C. The neural bases of spatial frequency processing during scene perception. Front. Integr. Neurosci. 2014, 8, 37. [Google Scholar] [CrossRef]
- Silver, M.A.; Ress, D.; Heeger, D.J.; Michael, A.; Neural, D.J.H. Neural correlates of sustained spatial attention in human early visual cortex. J. Neurophysiol. 2007, 97, 229–237. [Google Scholar] [CrossRef] [PubMed]
- Saygin, A.P.; Sereno, M.I. Retinotopy and attention in human occipital, temporal, parietal, and frontal cortex. Cereb. Cortex 2008, 18, 2158–2168. [Google Scholar] [CrossRef] [PubMed]
- Musel, B.; Bordier, C.; Dojat, M.; Pichat, C.; Chokron, S.; Le Bas, J.F.; Peyrin, C. Retinotopic and lateralized processing of spatial frequencies in human visual cortex during scene categorization. J. Cogn. Neurosci. 2013, 25, 1315–1331. [Google Scholar] [CrossRef]
- Hupe, J.M.; James, A.C.; Girard, P.; Lomber, S.G.; Payne, B.R.; Bullier, J. Feedback connections act on the early part of the responses in monkey visual cortex. J. Neurophysiol. 2001, 85, 134–145. [Google Scholar] [CrossRef] [PubMed]
- Bar, M.; Kassam, K.S.; Ghuman, A.S.; Boshyan, J.; Schmid, A.M.; Dale, A.M.; Hämäläinen, M.S.; Marinkovic, K.; Schacter, D.L.; Rosen, B.R.; et al. Top-down facilitation of visual recognition. Proc. Natl. Acad. Sci. USA 2006, 103, 449–454. [Google Scholar] [CrossRef]
- Zeidman, P.; Mullally, S.L.; Schwarzkopf, D.S.; Maguire, E.A. Exploring the parahippocampal cortex response to high and low spatial frequency spaces. Neuroreport 2012, 23, 503–507. [Google Scholar] [CrossRef]
- Eroğlu, G.U. Improving Reading Abilities in Dyslexia with Neurofeedback and Multi-Sensory Learning. Ph.D. Thesis, Sabanci University, İstanbul, Turkey, June 2020. [Google Scholar]




| 2fd Condition | Con | PreD | PostD | Con/PreD | Con/PostD | Pre/PostD | |||
|---|---|---|---|---|---|---|---|---|---|
| Mean ± s.e. | Mean ± s.e. | Mean ± s.e. | p | χ2 | p | χ2 | p | χ2 | |
| Low-contrast | |||||||||
| success (%) | 71.28 ± 3.26 | 53.12 ± 3.72 | 62.00 ± 3.47 | 0.002 | 9.43 | 0.029 | 4.58 | 0.015 | 5.94 |
| RT (ms) | 853.36 ± 10.25 | 935.41 ± 31.7 | 724.92 ± 25.6 | 0.020 | 5.14 | 4.9 × 10−8 | 33.21 | 8.7 × 10−7 | 24.79 |
| High-contrast | |||||||||
| success % | 71.66 ± 2.12 | 56.25 ± 2.76 | 72.5 ± 2.84 | 0.003 | 8.62 | 0.98 | 0.0001 | 0.0007 | 11.82 |
| RT (ms) | 789.47 ± 10.36 | 882.56 ± 28.6 | 743.38 ± 25.7 | 0.04 | 4.18 | 0.46 | 0.49 | 0.0002 | 12.57 |
| Con | PreD | PostD | Con/PreD | Con/PostD | Prx 10-/PostD | |||||
|---|---|---|---|---|---|---|---|---|---|---|
| F | Metric | Mean ± s.e. | Mean ± s.e. | Mean ± s.e. | p | χ2 | p | χ2 | p | χ2 |
| Δ | ϕ | 0.648 ± 0.014 | 0.589 ± 0.009 | 0.643 ± 0.021 | 0.002 | 9.49 | 0.938 | 0.01 | 0.048 | 3.90 |
| ΔC | 0.377 ± 0.028 | 0.478 ± 0.017 | 0.428 ± 0.037 | 0.005 | 8.01 | 0.395 | 0.72 | 0.225 | 1.46 | |
| ΔL | 0.243 ± 0.012 | 0.253 ± 0.012 | 0.202 ± 0.026 | 0.707 | 0.14 | 0.056 | 3.64 | 0.054 | 3.68 | |
| θ | ϕ | 0.511 ± 0.008 | 0.534 ± 0.007 | 0.515 ± 0.013 | 0.066 | 3.36 | 0.891 | 0.02 | 0.124 | 2.36 |
| ΔC | 0.665 ± 0.013 | 0.609 ± 0.013 | 0.655 ± 0.021 | 0.018 | 5.51 | 0.916 | 0.01 | 0.057 | 3.61 | |
| ΔL | 0.137 ± 0.006 | 0.168 ± 0.008 | 0.138 ± 0.010 | 0.017 | 5.69 | 0.886 | 0.02 | 0.050 | 3.82 | |
| α | ϕ | 0.510 ± 0.007 | 0.535 ± 0.007 | 0.499 ± 0.011 | 0.012 | 6.28 | 0.241 | 1.37 | 0.003 | 8.66 |
| ΔC | 0.667 ± 0.011 | 0.631 ± 0.011 | 0.691 ± 0.017 | 0.014 | 5.96 | 0.193 | 1.70 | 0.002 | 9.54 | |
| ΔL | 0.125 ± 0.005 | 0.129 ± 0.005 | 0.109 ± 0.007 | 0.372 | 0.79 | 0.105 | 2.63 | 0.022 | 5.17 | |
| β1 | ϕ | 0.471 ± 0.006 | 0.479 ± 0.006 | 0.451 ± 0.009 | 0.383 | 0.76 | 0.045 | 4.01 | 0.005 | 7.64 |
| ΔC | 0.736 ± 0.010 | 0.724 ± 0.009 | 0.759 ± 0.016 | 0.398 | 0.71 | 0.055 | 3.66 | 0.008 | 6.95 | |
| ΔL | 0.084 ± 0.004 | 0.079 ± 0.004 | 0.078 ± 0.007 | 0. 095 | 2.77 | 0.009 | 6.69 | 0.195 | 1.68 | |
| β2 | ϕ | 0.455 ± 0.005 | 0.478 ± 0.006 | 0.453 ± 0.008 | 0.010 | 6.50 | 0.479 | 0.50 | 0.008 | 6.92 |
| ΔC | 0.764 ± 0.008 | 0.729 ± 0.009 | 0.766 ± 0.012 | 0.011 | 6.45 | 0.521 | 0.41 | 0.009 | 6.63 | |
| ΔL | 0.067 ± 0.003 | 0.071 ± 0.003 | 0.069 ± 0.005 | 0.369 | 0.80 | 0.903 | 0.01 | 0.503 | 0.45 | |
| γ1 | ϕ | 0.499 ± 0.006 | 0.505 ± 0.006 | 0.509 ± 0.009 | 0.875 | 0.02 | 0.546 | 0.36 | 0.596 | 0.28 |
| ΔC | 0.686 ± 0.010 | 0.672 ± 0.011 | 0.671 ± 0.014 | 0.680 | 0.17 | 0.534 | 0.39 | 0.746 | 0.10 | |
| ΔL | 0.116 ± 0.005 | 0.128 ± 0.006 | 0.121 ± 0.006 | 0.593 | 0.28 | 0.315 | 1.01 | 0.626 | 0.24 | |
| γ2 | ϕ | 0.504 ± 0.008 | 0.502 ± 0.008 | 0.502 ± 0.012 | 0.905 | 0.01 | 0.769 | 0.09 | 0.727 | 0.12 |
| ΔC | 0.433 ± 0.016 | 0.521 ± 0.016 | 0.305 ± 0.020 | 0.0001 | 13.97 | 9.4 × 10−6 | 19.63 | 9.1 × 10−14 | 55.54 | |
| ΔL | 0.400 ± 0.016 | 0.318 ± 0.013 | 0.534 ± 0.022 | 3.6 × 10−6 | 21.49 | 4.0 × 10−7 | 25.69 | 1.6 × 10−18 | 77.11 | |
| Con | PreD | PostD | Con/PreD | Con/PostD | Pre-/PostD | |||||
|---|---|---|---|---|---|---|---|---|---|---|
| F | Metric | Mean ± s.e. | Mean ± s.e. | Mean ± s.e. | p | χ2 | p | χ2 | P | χ2 |
| Δ | ϕ | 0.620 ± 0.010 | 0.630 ± 0.009 | 0.656 ± 0.016 | 0.521 | 0.41 | 0.095 | 2.77 | 0.185 | .75 |
| ΔC | 0.427 ± 0.021 | 0.409 ± 0.017 | 0.331 ± 0.037 | 0.428 | 0.63 | 0.041 | 4.15 | 0.071 | 3.25 | |
| ΔL | 0.249 ± 0.010 | 0.261 ± 0.010 | 0.281 ± 0.023 | 0.695 | 0.15 | 0.261 | 1.26 | 0.436 | 0.61 | |
| θ | ϕ | 0.506 ± 0.006 | 0.558 ± 0.007 | 0.528 ± 0.013 | 1.7 × 10−6 | 22.91 | 0.265 | 1.24 | 0.023 | 5.11 |
| ΔC | 0.670 ± 0.011 | 0.570 ± 0.013 | 0.634 ± 0.022 | 1.1 × 10−7 | 28.28 | 0.338 | 0.92 | 0.004 | 7.95 | |
| ΔL | 0.146 ± 0.006 | 0.177 ± 0.008 | 0.141 ± 0.009 | 0.009 | 6.72 | 0.494 | 0.47 | 0.014 | 5.94 | |
| α | ϕ | 0.511 ± 0.006 | 0.532± 0.007 | 0.513 ± 0.009 | 0.032 | 4.56 | 0.798 | 0.06 | 0.173 | 1.86 |
| ΔC | 0.672 ± 0.010 | 0.637 ± 0.011 | 0.665 ± 0.016 | 0.030 | 4.69 | 0.767 | 0.09 | 0.173 | 1.85 | |
| ΔL | 0.115 ± 0.005 | 0.127 ± 0.004 | 0.121 ± 0.007 | 0.011 | 6.32 | 0.416 | 0.66 | 0.222 | 1.48 | |
| β1 | ϕ | 0.472 ± 0.006 | 0.482 ± 0.005 | 0.477 ± 0.009 | 0.140 | 2.17 | 0.586 | 0.29 | 0.588 | 0.29 |
| ΔC | 0.737 ± 0.009 | 0.719 ± 0.009 | 0.726 ± 0.014 | 0.143 | 2.15 | 0.562 | 0.34 | 0.605 | 0.26 | |
| ΔL | 0.079 ± 0.003 | 0.083 ± 0.004 | 0.084 ± 0.006 | 0.622 | 0.24 | 0.896 | 0.02 | 0.813 | 0.06 | |
| β2 | ϕ | 0.461 ± 0.006 | 0.481 ± 0.006 | 0.480 ± 0.009 | 0.033 | 4.51 | 0.198 | 1.65 | 0.653 | 0.21 |
| ΔC | 0.754 ± 0.008 | 0.725 ± 0.009 | 0.723 ± 0.015 | 0.035 | 4.41 | 0.198 | 1.66 | 0.698 | 0.15 | |
| ΔL | 0.069 ± 0.003 | 0.072 ± 0.003 | 0.077 ± 0.005 | 0.349 | 0.87 | 0.267 | 1.23 | 0.634 | 0.22 | |
| γ1 | ϕ | 0.491 ± 0.006 | 0.518 ± 0.007 | 0.524 ± 0.009 | 0.002 | 9.12 | 0.0009 | 10.87 | 0.357 | 0.84 |
| ΔC | 0.701 ± 0.010 | 0.654 ± 0.011 | 0.651 ± 0.014 | 0.001 | 10.15 | 0.001 | 10.41 | 0.489 | 0.47 | |
| ΔL | 0.106 ± 0.004 | 0.124 ± 0.005 | 0.118 ± 0.006 | 0.013 | 6.11 | 0.042 | 4.13 | 0.918 | 0.01 | |
| γ2 | ϕ | 0.517 ± 0.008 | 0.474 ± 0.008 | 0.511 ± 0.012 | 3.2 × 10−5 | 17.29 | 0.759 | 0.09 | 0.009 | 6.78 |
| ΔC | 0.375 ± 0.015 | 0.555 ± 0.015 | 0.353 ± 0.021 | 4.7 × 10−15 | 61.38 | 0.519 | 0.41 | 1.5 × 10−13 | 54.52 | |
| ΔL | 0.432 ± 0.015 | 0.326 ± 0.014 | 0.486 ± 0.021 | 1.5 × 10−8 | 32.03 | 0.035 | 4.41 | 7.9 × 10−12 | 46.76 | |
| z-NF α/θ Scores | Con | PreD | PostD | Con/PreD | Con/PostD | Pre-/PostD | |||
|---|---|---|---|---|---|---|---|---|---|
| Mean ± s.e. | Mean ± s.e. | Mean ± s.e. | p | χ2 | p | χ2 | p | χ2 | |
| Low-contrast | |||||||||
| All sensors | 2.27 ± 0.04 | 1.98 ± 0.03 | 2.52 ± 0.05 | 7.2 × 10−6 | 20.1 | 7.8 × 10−4 | 11.3 | 1.3 × 10−12 | 50.3 |
| Midline sensors | 2.10 ± 0.04 | 1.95 ± 0.03 | 2.28 ± 0.05 | 0.705 | 0.14 | 1.6 × 10−22 | 95.4 | 1.5 × 10−12 | 50.1 |
| Left-side sensors | 1.99 ± 0.04 | 1.89 ± 0.03 | 2.64 ± 0.08 | 0.0357 | 4.41 | 3.4 × 10−7 | 25.96 | 1.5 × 10−12 | 50.1 |
| Right-side sensors | 2.33 ± 0.05 | 2.22 ± 0.04 | 2.49 ± 0.05 | 0.187 | 1.74 | 1.5 × 10−5 | 18.73 | 0.0018 | 9.7 |
| Left/right-side p | 1.2 × 10−12 | 2.3 × 10−6 | 0.192 | ||||||
| χ2 | 50.5 | 31.2 | 1.7 | ||||||
| High-contrast | |||||||||
| All sensors | 2.30 ± 0.05 | 2.11 ± 0.05 | 2.44 ± 0.06 | 2.2 × 10−6 | 22.4 | 0.003 | 8.86 | 1.1 × 10−4 | 14.9 |
| Midline sensors | 2.13 ± 0.05 | 1.82 ± 0.03 | 2.34 ± 0.05 | 1.3 × 10−5 | 18.9 | 0.017 | 5.66 | 1.1 × 10−11 | 46.2 |
| Left-side sensors | 2.02 ± 0.04 | 1.63 ± 0.03 | 2.51 ± 0.06 | 9.3 × 10−20 | 82.8 | 3.9 × 10−8 | 30.2 | 4.1 × 10−43 | 189.5 |
| Right-side sensors | 2.35 ± 0.04 | 2.30 ± 0.04 | 2.40 ± 0.05 | 0.18 | 1.89 | 0.15 | 2.1 | 0.94 | 0.01 |
| Left/right p | 9.7 × 10−10 | 1.3 × 10−61 | 0.131 | ||||||
| χ2 | 37.39 | 274.3 | 2.29 | ||||||
Publisher’s Note: MDPI stays neutral with regard to jurisdictional claims in published maps and institutional affiliations. |
© 2022 by the authors. Licensee MDPI, Basel, Switzerland. This article is an open access article distributed under the terms and conditions of the Creative Commons Attribution (CC BY) license (https://creativecommons.org/licenses/by/4.0/).
Share and Cite
Taskov, T.; Dushanova, J. Improving Functional Connectivity in Developmental Dyslexia through Combined Neurofeedback and Visual Training. Symmetry 2022, 14, 369. https://doi.org/10.3390/sym14020369
Taskov T, Dushanova J. Improving Functional Connectivity in Developmental Dyslexia through Combined Neurofeedback and Visual Training. Symmetry. 2022; 14(2):369. https://doi.org/10.3390/sym14020369
Chicago/Turabian StyleTaskov, Tihomir, and Juliana Dushanova. 2022. "Improving Functional Connectivity in Developmental Dyslexia through Combined Neurofeedback and Visual Training" Symmetry 14, no. 2: 369. https://doi.org/10.3390/sym14020369
APA StyleTaskov, T., & Dushanova, J. (2022). Improving Functional Connectivity in Developmental Dyslexia through Combined Neurofeedback and Visual Training. Symmetry, 14(2), 369. https://doi.org/10.3390/sym14020369

