Abstract
Global climate change, combined with socio-economic issues such as conflicts, inflation, energy crises, and inequality, is reshaping urban governance. Cities, which host most of the global population, are highly exposed to climate-related risks, especially those associated with the degradation of ecosystem services. These risks are manifested, among other factors, as the alteration and degradation of the habitat quality, heightened hydraulic vulnerability, and intensified urban heat islands phenomena. Addressing these challenges requires innovative planning tools to integrate ecosystem-based strategies to enhance urban resilience and support sustainable transformation processes. This paper attempts to do this by introducing ecosystem zoning, an experimental tool designed to integrate ecosystem services into urban planning and its regulatory framework. Applied to the city of Torino, this approach offers a biophysical classification of municipal territory through a mapping of habitat quality, cooling capacity, carbon sequestration, and stormwater retention. The resulting classification provides an overview of the different ecosystem characterizations of the urban fabric and informs site-specific interventions to maintain or enhance ecosystem services and guide urban regeneration processes. By embedding ecosystem services into planning regulations, the project supports sustainable urban development while mitigating climate impacts. The proposed tool contributes to the broader discourse on creating resilient, ecologically sustainable cities and demonstrates the potential of integrating scientific research into urban decision-making processes.
1. Introduction
The rapid growth of urban areas and human activities has significantly transformed the Earth’s surface, leading to numerous environmental challenges [1,2]. One notable outcome of urbanization is the loss of ecosystem services (ESs), where urban areas experience the paucity or absence of natural features if compared to their rural surroundings [3,4,5]. This phenomenon is primarily caused by factors such as the widespread use of materials like concrete and asphalt, the reduction in vegetation cover, and increased energy consumption [6,7]. The absence of ES provision impacts the environment, public health, and overall urban livability, intensifying heat stress, raising energy demands for cooling, and worsening air quality [8,9].
As urban populations expand, it becomes essential to adopt strategies for transforming and adapting cities while fostering sustainable urban environments [10,11]. Addressing this challenge requires a comprehensive approach that considers the integration of nature-based solutions (NBSs), including built-up, non-built-up, and green areas. Recent European initiatives [12], such as the EU’s Soil and Biodiversity Strategies for 2030 and Horizon 2020 projects [13], emphasize the importance of the issue and the urgent need to regulate and systematize the use of nature-based solutions within urban planning frameworks across different territorial levels.
Given the complexity and dynamism of cities, urban mapping and data integration play a pivotal role in understanding and managing the adaptation of cities through normative zoning1 [14,15]. Moreover, the complexity of the spatial planning system under analysis requires a brief explanation of the structure of spatial governance in Italy, to identify the administrative dimension in which to work for the implementation of ecosystem-based zoning [16,17].
A hierarchical–vertical structure in spatial planning characterizes Italy as articulated around three fundamental levels of territorial government: regional, provincial/metropolitan, and municipal [18,19]. Spatial planning legislation falls under the concurrent legislative powers of the State and the regions, as laid down in Article 117 of the Constitution. At the regional level, each region has a regional law that defines the planning instruments. Among these, the Regional Territorial Plan (PTR), which establishes the guidelines for regional development, and the Regional Landscape Plan (PPR), which operates as a constraint, are fundamental tools for territorial planning. At the provincial or metropolitan level, the Provincial Coordination Territorial Plan (PTCP) or the Metropolitan General Territorial Plan (PTGM) outline the objectives of spatial planning and protection. These instruments focus on supra-municipal or provincial interests and the implementation of regional directives. Finally, at the municipal level, the General Municipal Regulatory Plan (PRGC) is the main instrument for regulating and binding land use, implementing directives and constraints from higher levels (Laws n. 1150/1942; n. 765/1967) [20]. It is through the PRGC that regional and provincial regulations are translated into implementing and coercive measures. It is, therefore, at this local level that land use is regulated [21].
The provisions mentioned above highlight the governmental fragmentation of the Italian territory. Piedmont and the Metropolitan City of Turin present a high degree of administrative fragmentation and considerable municipal heterogeneity in terms of demographic size and the ratio between mountain and plain areas, with a marked socio-economic imbalance in favor of the former. In the context of predominantly vertical planning, the integration of the ecosystem and environmental perspective into planning is defined through strategies and objectives outlined at the regional level.
The socio-political imbalances generated by this top-down model, together with the limited technical capacities and economic resources of administrations [22,23], the conflicting economic interests related to development, the inability to define a long-term political vision due to frequent political changes and administrative discontinuity, and the rigidity of the regulatory system, further complicate the applicability of an effective long-term environmental strategy homogeneously across the territory.
In view of these critical issues [24], Turin was selected as a case study, representing a pilot context for analyzing the challenges and potential for applying the strategy at the local level.
In urban areas, the capacity of the soil to provide ecosystem services and support biodiversity is closely linked to lithological and morphological characteristics, as well as to land use and land cover [25,26]. Therefore, it is essential to analyze at the municipal level how different urban land uses affect ecosystem quality. Subsequently, urban management, through the PRGC, must be oriented towards increasing the ecosystem services provided and promoting sustainable and resilient urban planning.
Spatial information on land use, building morphology, and green spaces, combined with data from remote sensing, meteorological observations, and socio-economic analyses, offers valuable insights into the causes of and solutions to ES deployment [27,28,29]. Interdisciplinary methodologies are crucial for guiding the environmental, architectural, and green energy design of urban landscapes. By leveraging urban mapping techniques and on-site measurements, policymakers, urban planners, and researchers can develop evidence-based strategies to reduce the urbanization effect and advance sustainable urban development. Detailed urban maps help identify ecosystemic gaps, enabling targeted interventions such as the implementation of green infrastructure, improved urban designs, and efficient energy management systems [14,30,31].
This work will investigate that stream while contributing to understanding how ES mapping can effectively support the definition of concrete actions of adaptation. In fact, it is well known that natural capital is in high demand in densely inhabited urban systems, where the scarcity of green can expose citizens to several disorders [32,33]. Therefore, new modalities of investigation are needed to overcome the gap between the theory of ES benefits and their implementation in urban transformations. Moreover, ahead of the theoretical limitations on how to produce valuable information from ES models to support planning, additional limits arise. To illustrate this point, it should be noted that only a small fraction of ES models is used to set norms, rules, and prescriptions that affect the ordinary implementation of urban plans [34]. Mostly, adaptation relies on the extraordinary opportunities of urban transformation/regeneration right after big shocks or extreme events that damaged cities (when victims are not created) [35,36,37].
On the other hand, just a few plans adopt a systematic, preventive, and comprehensive set of rules that allow the ordinary transformation of urban areas through an organic and coherent definition of regulations. While some advanced experiences show the potential for integrating urban zoning by defining performance-based parameters that promote the incorporation of NBSs in urban areas [38,39], these experiences do not provide structural changes to the urban planning technique.
Typically, performance-based design is employed for specific areas and regeneration projects, but it functions more as a technique than a comprehensive planning tool. Performance-based design serves as a complementary approach to ecosystem zoning, helping to define targeted and tailor-made actions that address the specific vulnerabilities and ecosystem capacities of different urban fabrics.
The proposed tool is intended to encourage local administration to promote this stepwise approach, based on its efficacy in integrating adaptation to climate change into regular planning decisions.
Given the finding that ES provisioning capacity is significantly affected by urban morphology, this study proposes a methodological approach aimed at dividing the urban catchment into further sub-areas using a parcel-based assessment. A cluster analysis has been employed for this implementation [40,41,42]. This analysis enabled the delineation of morphological units, which can be regarded as categorizations of city zones that have been grouped according to the most significant morphological variables on ecosystem services. Consequently, it can be deduced that these clusters correspond to urban plots encompassing the entire urban area of the catchment, exhibiting analogous morphological characteristics and comparable biophysical capacity2. Despite the numerical nature of the model output, which assigns a number to each statistical cluster, a concise descriptive interpretation of each urban zone has been provided in this study. The ecosystem zoning3 approach has been instrumental in establishing several guidelines aimed at facilitating urban adaptation through the ongoing transformation process [12,43]. The results of the ecosystem zoning process are used to formulate policy recommendations that advocate for the integration of ecosystem mapping and its implementation by urban zoning as a foundation for a more sustainable planning process.
1.1. Limits and Potential
The authors recognize the inherent limitations of using model-based approaches to represent complex phenomena such as ecosystem service provision [44,45]. In recognition of these limitations, this section highlights key considerations regarding the limitations and potential of the methodology used. Specifically, the mapping of four ecosystem services—habitat quality, urban stormwater retention, carbon storage and sequestration, and urban cooling capacity—offers a model-based perspective on environmental scenarios. This critical approach underlines the importance of the quality and accuracy of input data, as the reliability of ecosystem service calculations depends heavily on how well the data reflect real-world land use and land cover conditions [46,47,48].
A significant contribution comes from the development of models based on the new Land Cover Piemonte (LCP), updated in 2023 and structured across five levels of detail [49]. This update highlights both new opportunities and certain limitations. On the one hand, the increased detail enables precise differentiation between various types of urban and rural vegetation. It allows a more accurate representation of ecosystem services, facilitating effective environmental assessment and planning. On the other hand, challenges persist, particularly regarding the dependency on input data quality and the simplifications inherent in the models.
A primary issue is the lack of integration of management data, which prevents the inclusion of information on the supervision and maintenance of urban green areas, agricultural zones, forested regions, and drainage systems [50,51]. Additionally, the values and parameters assigned to different land cover classes are heavily influenced by the quality of the input data, which can compromise the reliability of the evaluations. The model’s simplifications, which assume fixed storage capacities for land use and land cover classes, disregard temporal changes due to the natural evolution of soils and vegetation. Furthermore, the hydrological component is excluded from the calculation of carbon sequestration and storage capacity, thereby limiting the comprehensiveness of the overall assessment.
Another crucial aspect to address in this section is the balance between the simplification inherent in modeling techniques [52] and the complexity of urban environments that these are addressing. From a research perspective, this trade-off is marked by fundamental factors related to data interpretation and representation. A deep understanding of the territorial context is essential, as it allows for the identification of specific local characteristics and the refinement of model inputs and outputs to better reflect real-world conditions. Equally important is technical awareness—the ability to critically evaluate model results [53]—recognizing the limitations of model results while leveraging them as a valuable tool for planning. Rather than being used in isolation, models should be integrated into a broader analytical framework, contributing to a more comprehensive, multi-layered understanding of urban dynamics.
2. Materials and Methods
2.1. Case Study
Turin, located in the northwest of Italy, is one of the country’s most populous municipalities and the fourth-largest city. It is home to approximately 882,000 residents within an administrative area of about 130 square kilometers [54]. Situated at an altitude of 240 m, Turin lies at the base of the western Alps, while its eastern and southern boundaries are marked by the hilly terrains of Turin and Monferrato [55]. The city’s geography has been shaped by the fluvial systems of the Po River and its tributaries, including the Sangone, Dora, and Stura Rivers [56]. The urban fabric of Turin is densely built, with compact development and a significant proportion of impermeable surfaces. More than 7400 hectares of the city are sealed, resulting in an average sealing rate of 57.55%, calculated as the proportion of sealed surfaces relative to the total administrative area [57]. Ecologically, Turin benefits from high-quality peri-urban green spaces. Fluvial corridors along major watercourses create a structural connection between the green backbone of the Po River and the eastern hills [58]. These are complemented by radial green axes that extend toward the western part of the city, forming a cohesive network of natural areas [59].
From an urban planning point of view, the city is governed by the General Regulatory Plan of 1995 and subsequent amendments [60]. As early as 30 years ago, the need arose to restore the city’s environmental condition, with the aim of recovering and improving the quality of the urban space. In fact, during the urban and industrial development phase of the second half of the 20th century, this component had been neglected, also due to the lack of legal and planning instruments that favored such an approach. In this sense, Law n. 765/1967 and Decree n. 1444/1968 were a real turning point in the development of public urban and green spaces, introducing the compulsory nature of regulatory plans for all Italian municipalities and the regulation of urban standards (public city).
After the post-war economic boom, driven by FIAT (Stellantis) and its allied industries, the city reached its demographic peak in the 1970s, with more than 1.1 million inhabitants [61]. However, with the crisis in the industrial sector and globalization, the city suffered a marked demographic decline, accompanied by the closure of numerous manufacturing plants. This process has left large “urban voids”, often associated with the phenomena of social marginalization and environmental degradation. The 1995 PRG sought to respond to these challenges by promoting the regeneration of these areas through the progressive tertiarization of the city’s socio-economic fabric.
The current strategic lines of the plan follow two main strands from the point of view of improving the quality of urban spaces. The first aims at restoring the main degraded resources to improve the conditions of the plain through the strategic use of river areas and non-urbanized areas. The second rehabilitates, as far as possible and with the best quality, the remaining urban spaces within the urban organism.
Turin represents a compelling case study due to its unique morphological, functional, and environmental characteristics, being the fourth most populous city in Italy. In recent decades, the city of Turin has undergone major changes, both at the local and regional level, which have profoundly altered the physical, economic, cultural, and social structure of the city and its surrounding areas. In fact, the city is currently undergoing a revision of its regulatory plan, coinciding with significant urban interventions and projects that have recently positioned it at the center of transformative initiatives. These developments are supported by funding from the National Recovery and Resilience Plan (PNRR) and reflect a renewed focus on environmental awareness and climate change adaptation. Notable examples include the Idropolitana project and the environmental and landscape redevelopment of Parco del Valentino, which further underscore the city’s commitment to sustainable urban planning.
The recent vicissitudes that have affected and continue to affect the urban environment have highlighted the need for a dynamic and flexible response to new challenges. To enable the city to adapt to evolving needs and risks, it is essential to have agile and elastic tools that can keep pace with change, foster innovation, and attract new opportunities.
2.2. Methodology
The present article constitutes an advancement of a similar work employed in the city of Varese (Italy)4 [62]. In that work, one of the declared limits was the absence of potential replications that ground the procedure more consistently. Thus, the ecosystem zoning project for the city of Turin aims to build more consistent knowledge in this field while replicating the method and discussing the results in the light of a different catchment.
The research project under consideration comprises three primary methodological steps: the ecosystem modeling (ES mapping) [63], the processing and elaboration of the data obtained (ES composite analyses) [42,64], and finally the clustering that has been used to divide the city into different performance-based zones (ES Clustering) [19,65].
The initial step involves the analysis and mapping of four chosen ecosystem services, which form the structural backbone of the research project. These analyses are performed using InVEST Software 3.13.0 (Integrated Valuation of Ecosystem Services and Tradeoffs) [66]. It is to be noted that the authors were directly responsible for the development of the methodological and design phase, from the ecosystem mapping that forms the basis of the research to the ecosystem zoning interpretation and integration phase.
2.2.1. ES Mapping
The ecosystem services modeling phase occupied the initial stage of the research, which comprised an exploratory data collection phase, the subsequent geoprocessing of these to align with the designated requirements, and the employment of the model. The data utilized were extracted from public datasets and were then customized and adapted to the specific requirements of the software. Notably, the core data were obtained from the following freely accessible datasets:
- ARPA Piemonte (Regional Agency for Environmental Protection and Research, open source) [67];
- Geoportale Piemonte (dataset collecting basic and sectoral information for the region, open source);
- Geoportale del Comune di Torino (dataset collecting basic and sectoral information for Torino municipality, open source).
Further information can be found in Appendix A.
The present paper focuses on the analysis and interpretation of four specific models, which are explained below: habitat quality, urban cooling capacity, urban stormwater retention, and carbon storage and sequestration. The spatial resolution of the raster grid of the four ES models and the Multisystemic Composite Value is 10 m.
Habitat Quality
The habitat quality model employs habitat quality and rarity as indicators to represent the biodiversity of a landscape [68]. It assesses the extent of different habitat and vegetation types present across the landscape, as well as their level of degradation. The model has been largely described in several scientific works that testify how this ecosystem service can be considered a proxy of all the other regulative functions of the natural capital. The model can be used to identify areas of significant natural value that should be protected or restored.
Urban Stormwater retention
The model calculates the volume of annual stormwater retention as the portion of rainfall that is not transpired or evapotranspired from the soil or aboveground vegetation. The methodology used closely aligns with the approach outlined in the paper of Salata (2023) [69]. Recent works demonstrate how this model can support the definition of specific nature-based solutions designed to maximize the retention capacity of soil, thus reducing the run-off and the potential flooding risk [29,70].
Urban Cooling Capacity
The urban cooling model is a scientific tool that is used to calculate a heat mitigation index [71]. This index is calculated by evaluating various factors, including but not limited to shade, evapotranspiration, albedo, and proximity to cooling islands. The methodology employed in the execution of the model is in accordance with the procedures delineated in the paper by Ronchi et al. (2020) [72]. This model has been employed to check how far the presence of natural elements in densely inhabited systems can contribute to diminishing the average temperature.
Carbon Storage and Sequestration
The carbon storage and sequestration model is used to estimate the current amount of carbon stored in a landscape and to calculate the amount of sequestered carbon over time [9,73]. It employs a data-driven approach, aggregating the biophysical amount of carbon stored in carbon pools based on land use data. The methodology employed to run this model followed the procedures outlined in the paper by Salata and Ronchi (2015) [74]. This model can actively support the potential empirical calculation of the carbon that can be stored by soil pools, thus contributing to increasing the quality of air.
2.2.2. ES Composite Analyses
The mappings previously delineated were consequently processed in a Geographic Information System (GIS) environment, with the objective of producing a summary dataset capable of representing the multisystemic value for the entire municipal territory of Turin [75]. Initially, the four indicators were normalized using the Rescale function of QGis, thereby ensuring that they all had the same scale of values (0–1). In a subsequent step, the normalized models were summed up using the “raster calculator” function of QGis, obtaining a new raster output with a range of values from 0 to 4. The parts of the municipal territory with the lowest scores indicate the areas where the quality and quantity of ecosystem services are lowest, while the areas with higher values indicate a more satisfactory delivery capacity.
2.2.3. ES Clustering
In this study, clustering was utilized to facilitate the interpretation and understanding of composite values, aiming to identify land parcels exhibiting similar behaviors in terms of composite ecosystem service (ES) delivery capacity [75]. This analysis served as the foundation for designing an ecosystemic zoning framework for the city.
The obtained data provide a comprehensive overview of the territory, providing a solid cognoscitive structure for our research. These data are pivotal in achieving the project’s objective of interpreting and systematizing ecosystem and climate adaptation knowledge in regulatory and normative terms. The clustering tool proves instrumental for the aggregation of zoning parcels according to the similar ecosystem performance of the four analyzed indicators, thus informing the development of ecosystem-based zoning.
Clustering is a data analysis technique employed to group similar objects or data points into clusters or segments. Its primary objective is to partition a dataset into subsets, ensuring that objects within each subset exhibit a higher degree of similarity to one another than to objects in other subsets [41,76]. This classification is attribute-based rather than spatially driven and typically operates through the k-means algorithm.
The k-means algorithm iteratively refines the classification of observations into clusters while updating cluster centroids until the centroids stabilize over successive iterations [77]. This approach has been widely applied across multiple domains, including machine learning, data mining, pattern recognition, image analysis, and customer segmentation [78]. It is to be noted that the sensitivity analyses for the clustering analyses have been tested by applying the hierarchical clustering method.
To align with the requirements of the clustering method and ensure flexibility in the ecosystem zoning process, the input data was modified. Since clustering operates on vector data, the composite raster layer was converted into polygons. Individual ecosystem service maps were spatially integrated with the existing urban fabric and zoning of open spaces using the “Zonal Statistics” tool. This procedure assigned average values for all four ESs to each regulated polygon within the urban plan. While this step inevitably introduced simplifications, particularly in larger polygons, it enabled a cross-comparative analysis between biophysical soil performance and the regulatory framework, which was critical for subsequent decision-making steps.
The process settings were as follows:
- Attribute Clustering: Average values of the four ecosystem services classified according to PGT zoning;
- Clustering Method: K-means;
- Number of Classes: 7;
- Number of Iterations for K-means: 20;
- Threshold5: 0.00001.
To define the most appropriate number of classes for the clustering, the elbow method was utilized to support the decision. Initially, the maximum number of clusters was set as 15 in the elbow method section in the clustering tool. The resulting analyses showed that the “elbow” was identified around value 5 (see Appendix B). Given the extensive nature of the area in question, which is characterized by a heterogeneous variety of morphological and ecosystemic features, it was considered proper to explore classifications comprising a minimum of 5 clusters. To this end, a series of trials was conducted (setting as number of classes 5, 6, 7), meticulously refining the approach until a reliable and representative classification of the ecosystemic characteristics defining the municipal territory diversity was attained. The following figure (Figure 1) provides a concise overview of the employed clustering methodology.
Figure 1.
Schematic overview of the methodology steps.
3. Results
3.1. Multisystemic Composite Analyses
The primary outcome of the study is to investigate the multisystemic composite map, which represents the overall ecosystem capacity of the municipality of Turin. The four models (Figure 2) provide a clear delineation of the structural elements of the territory, both in terms of landscape features and ecosystem capacity. The assessment of the four models reveals key aspects to be considered in defining a knowledge framework related to the current capacity of the soil, subsoil, and vegetation to mitigate and respond to the effects of climate change in urban areas.
Figure 2.
The four ecosystem services models: habitat quality, urban stormwater retention, carbon sequestration and storage, and urban cooling capacity.
The multisystemic composite analysis (Figure 3) identifies three primary entities: the consolidated and dispersed urban fabric, the natural hillside area, and the hydrographic system in conjunction with marginal green areas. The consolidated urban fabric, which is concentrated in the central and western parts of the municipal area, shows the lowest values in terms of multisystemic capacity. Dense and compact urbanized areas are characterized by a low presence of vegetation and permeable soil, a high concentration of impermeable materials, and low albedo values, resulting in limited ecosystem service delivery capacity. Conversely, the presence of expansive, open urban spaces in specific parts of the catchment has a favorable impact on the surrounding areas; in particular, the cooling capacity and the quality of available habitats are highly affected by the quantity and quality of open, permeable, and well-vegetated areas.
Figure 3.
Multisystemic composite value.
The discontinuous urban fabric, primarily located at the periphery of the dense urban areas and in the hillside region, demonstrates higher overall ecosystem values. The presence of significant nearby green spaces, such as the green corridor along the Stura River and the urban parks of Pellerina (to the west) and Boschetto (to the south), as well as the non-urbanized hillside area and the parks of Meisino and Colletta (to the north-east), is clearly evident and has a discernible impact on these areas.
The natural elements of the hillside and the hydrographic system can be considered as cooling islands and carbon pools, positively affecting the adjacent urbanized areas. The non-urbanized hillside area is of particular significance from an ecological perspective due to its dense vegetation, the presence of permeable soil, and its higher altitude. These factors collectively enhance habitat quality, mitigate high summer temperatures, and reduce the presence of air pollutants.
The municipality is hardly affected by urban runoff, which is expected to increase in conjunction with the intensification of climate change dynamics [79]. This problem is mainly related to the high degree of urbanization and the poor capacity of urban soil to drain stormwater during high rainfall events. Additionally, the landform of the city is variegated, and the water that does not infiltrate into the ground constitutes a risk for the population since it moves on the soil surface, creating flow accumulations and temporary streams. Moreover, the presence of four rivers within the municipal boundaries contributes to generating flood risk scenarios during extreme rainfall events.
The analysis of Zonal Statistics for the composite multisystemic value across different land use classes (Figure 4 and Appendix C) reveals significant insights into the correlation between human land use and associated ecosystem service capacities. As expected, the most impacting and polluting activities—typically located in commercial and industrial districts—exhibit the lowest levels of ecosystem service provision, which also affects the dense and compact urban areas. Conversely, as the urban fabrics and spaces become more open and permeable, leaving space for vegetation with less surface sealing, the ecosystem service deliveries improve significantly, peaking in the forested and agroforestry areas situated in the hilly regions of Turin.
Figure 4.
Land use classes’ multisystemic values.
3.2. Clustering and Ecosystem Zoning
The integration of this research into urban planning mechanisms is crucial to facilitate a well-informed and equitable urban transition towards climate change adaptability. The ecosystem-based zoning methodology employed in this study aims to group land parcels within the urban plan’s zoning framework according to their ecosystem performance. The classification obtained through the previously mentioned clustering process enables targeted mitigation or enhancement actions by applying a performance-based design tool. This approach facilitates the definition of tailor-made interventions that directly address the ecosystem services or disservices identified within each class. The resultant zoning map comprises seven distinct classes, offering an innovative perspective on the municipal territory based on the capacity of both anthropogenic and natural elements to cope with climate change effects.
As mentioned, each class is grouped according to similar biophysical values among the regulated polygons, thereby sharing common trends across the four ecosystem services [62]. The zoning is structured within two overarching frameworks (Figure 5) grouping the seven classes (Figure 6). The first four classes—dense, porous, sponge and perifluvial—are closely related to the urban realm, encompassing both continuous and discontinuous urban fabrics.
Figure 5.
Ecosystem zoning frameworks.
Figure 6.
The ecosystem zoning.
The final two classes, designated extra-urban seminatural and natural, are associated with the structural elements of the hillside and the hydrographic system. An additional class, labeled urban green, serves as a bridging category between the two frameworks. This class includes urban parks, which exhibit characteristics that are common to both the urban environment and more natural areas, thus playing a pivotal role in connecting the two systems. The presentation and description of the classes will follow a crescent order of multisystemic capacity, starting from the fabric with the lowest ecosystem performance to the one with the highest. The initial urban framework (Figure 7) includes municipal areas belonging to the consolidated urban fabric. Its multisystemic performance is generally low due to the adverse impact of the densely inhabited built environment made by tall and large buildings, extensive impervious surfaces, and a deficiency of open and vegetated areas.
Figure 7.
The ecosystem zoning—urban framework.
The dense class represents the urban fabric with the lowest multisystemic capacity, predominantly composed of the compact and dense historic core of Turin, characterized by the historic urban structure that has been developed respecting the grid of the ancient Roman Castrum [80]. The narrow, tightly packed blocks significantly limit permeability and the presence of substantial vegetated areas. This class also includes some peripheral areas beyond the historic center that exhibit similar ecosystem performance despite differences in their urban configuration. The porous class exhibits higher ecosystem performance compared to the dense class yet retains analogous dominant features, as illustrated by the performance trends in Figure 7.
Notable benefits are observed in habitat quality and urban cooling, primarily due to the close proximity of open spaces and the increased permeability of plots within the urban fabric.
The sponge class marks a clear departure from the tightly consolidated fabric. Despite the limited number of plots included, this class delineates specific, recognizable neighborhoods characterized by extensive open spaces, often vegetated, that serve residential and public functions. Consequently, ecosystem performance is significantly enhanced for carbon sequestration and stormwater retention, which were limited in the previous two classes.
The perifluvial class upholds this trend, exhibiting distinctive ecosystem characteristics that diverge from the consolidated urban matrix, as suggested by its definition, which alludes to its proximity to riverbanks. These areas are adjacent to the major waterways of Turin, particularly the Po and Stura Rivers.
The fabric is characterized by reduced building density and proximity to significant natural areas, including hill and riverine ecosystems, which function as cooling islands and thereby enhance the cooling capacity of the fabric. However, despite the increased availability of open spaces, the habitat quality and carbon sequestration values remain moderate, reflecting the predominantly urban characteristics of this class.
The urban green class (Figure 8) represents a transitional fabric between urban ecosystems and the broader extra-urban domain. This class includes medium-sized and small urban green spaces that permeate the dense and compact urban fabric. These areas exhibit significantly increased ecosystem capacities compared to the previously described classes, particularly in terms of carbon sequestration and stormwater retention, due to the high tree cover density and permeable soil. However, the values for both habitat quality and cooling capacity remain similar to those of the sponge class, as they are negatively affected by intensive anthropogenic activities. These include frequent human use and high accessibility of these areas, as well as pollutant emissions and the presence of low-reflectance materials that reduce their cooling potential.
Figure 8.
The ecosystem zoning—green and blue belts.
Finally, the last framework is defined by the natural and seminatural extra-urban areas that primarily occupy the hill to the east and some other areas bordering the Dora and Stura watercourses to the northwest and the Sangone River to the south. The extra-urban seminatural class includes those areas of the municipal territory characterized by the coexistence of highly natural green areas and urbanized lots with a predominantly residential function. The built-up density is notably low, predominantly consisting of detached or semi-detached houses, consistent with the character of hillside areas where topography and limited accessibility have precluded substantial urban expansion. Other areas encompassed by this category are distinguished by significant urban green spaces, which, despite not being designated for residential use, exhibit analogous ecosystem performance to the urbanized hill and pre-hill areas. As previously mentioned, the landfill site (situated to the north) is a peculiar example in this class. Despite its divergent function from the other plots within the class, it exhibits analogous ecosystem characteristics. The ecosystem performance of these areas is very high in terms of carbon sequestration and urban cooling. However, for the same reason as in the previous class, i.e., the negative influence of urban materials and functions, the values of habitat quality and stormwater retention remain discrete.
In conclusion, the extra-urban natural ecosystem fabric is primarily composed of hilly areas, where urbanization is minimal or negligible. Despite the road system that branches off to connect the surrounding urban settlements, the class’ landscape remains predominantly wooded. The ecosystem capacity of this fabric is notably high, especially considering its proximity to the densely urbanized core of the city. Compared to the previous fabric, all ecosystem indicators show significant improvement, with particularly high values in carbon sequestration and stormwater retention, driven by the dense tree cover and the extensive presence of permeable soils characteristic of this area.
4. Discussion
This chapter will examine and contextualize Torino’s PRGC and investigate the spatial–functional relationships between ecosystem classes and regulatory zoning categories. This preliminary assessment underscores the extent to which environmental and ecosystem features remain insufficiently integrated into current planning frameworks, as they are largely absent from the urban plan and its associated regulatory framework [62].
Subsequently, the section provides an initial demonstration of how the ecosystem zoning tool can be incorporated into planning regulations. The objective of this study is to illustrate the potential of ecosystem zoning to facilitate the implementation of sustainable urban interventions, with the overarching goal of preserving and enhancing the composite ecosystem performance of the urban fabric.
The urban plan of Turin is currently organized into eleven normative zones (Figure 9) that provide specific regulations and constraints based on land use, density, and spatial characteristics.
Figure 9.
Comparison between the normative and ecosystem zonings for the city of Torino.
The plan recognizes and differently treats the two morphologies structuring the territory, the flat part and the hilly part.
In the flat part, the core urban area comprises historical districts, consolidated mixed-use zones with a predominance of residential, commercial, and tertiary functions, and areas of historical and environmental significance surrounding the central fabric. The large industrial and production zones are primarily located in the northeast and southwest outskirts of the municipality. Additionally, designated transformation areas intended for the development of urban services or other urban functions are scattered throughout the consolidated city. Urban parks and riparian areas are situated along the Dora, Stura, Sangone, and Po Rivers, as well as at the edges of the built environment.
The hillside area of the city features its specific zoning categories, including historically significant residential areas along the riverbanks and three distinct zones representing the urban-to-natural transition: consolidated hillside areas, private green spaces with existing buildings, and woodland zones.
When compared in Figure 9, the biophysical capacity perspective shows significant parallels and divergences with the functional–normative perspective. Initially focusing on what is referred to as the urban macro-framework, it is crucial to acknowledge the pivotal role of the historical and cultural dimension in the urban plan, particularly with respect to the regulatory zoning of the historic center and areas of historical environmental value [81]. The areas designated as historic fabric by regulatory zoning possess a comparable value to many areas of the consolidated urban fabric in terms of ecosystem performance, which disseminates extensively around the central nucleus (dense class). In contrast, areas classified as significant historical–environmental zones demonstrate ecosystem attributes similar to the encompassing consolidated fabric, with the notable exception of the Crocetta districts situated west of the Porta Nuova station. These areas, as defined by ecosystem zoning, exhibit distinct characteristics belonging to the sponge class. The Crocetta area, despite being a residential area near the city center, presents an urban morphology that is completely detached from the rest of the adjacent compact fabric [82]. In this area, the integration of built and open spaces creates a unique low-density settlement morphology that favors the provision of the ecosystem services analyzed. Similarly, the Borgo Po district, located on the opposite side of the Po River from the urban center in the pre-hill area, is classified as perifluvial due to its distinctive characteristics linked to the proximity of the watercourse.
The consolidated fabric of mixed residential zones, which occupies a substantial portion of the municipal territory, offers limited consideration of the multifaceted characteristics of this zone. These are clearly evident in the ecosystem zoning, which exhibits greater heterogeneity and variation in terms of values and multisystemic capacities. Here, the classes that alternate most frequently are porous, sponge, and urban green.
The hillside area is perhaps the one that most combines the two classifications, in fact, it can be observed how the two classes, ‘Consolidated hillside areas’ and ‘Private green areas with existing buildings’, have a perimeter very similar to the areas of the ecosystem class extra-urban seminatural (as far as the strictly hillside area is concerned), constituting a fabric with ecosystem and functional-normative coherence. In contrast, the other areas belonging to this last ecosystem class, located outside the hill within the expansive green spaces adjacent to water bodies, are reflected at the regulatory level by the “urban and river park areas” class. Lastly, the ecosystem class extra-urban natural is predominantly constituted by two normative areas, hillside park areas and wooded areas, which represent the most valuable natural and ecosystem areas within the municipal boundaries. Therefore, the hillside is a key element for biodiversity conservation and ecological connectivity in the urban context due to its coherent ecosystem assessment and regulatory regime. This element, which structures the morphology of the territory, can act as an ecological corridor, helping to mitigate ecosystem disturbances caused by densely urbanized areas and contribute to building a more resilient framework to climate change.
As previously stated, the objective of the present article and the research is to address the complex challenge of integrating adaptive regulatory implications into urban planning mechanisms. Ecosystem-based zoning currently exhibits a lack of adherence to normative zoning, both in terms of geometries and in purely strategic and conceptual terms. The normative areas in question are defined by a historical characterization of the urban fabric, which is endowed with strong cultural and context-specific roots. These aspects lend themselves very well to understanding and interpretation of the city and its intangible values linked to the functions and evolution of urban settlement. However, they are insufficient to provide a meaningful ecosystem characterization.
Given the significant challenges associated with climate change affecting urban environments, it is beneficial to prepare for, prevent and, where possible, act to increase the capacity of urban elements to respond positively to external impulses and shocks [83]. It is possible to achieve this objective through an adequate study of the biophysical characteristics of the territory. This will allow for the subsequent profiling of interventions and actions that are suitable for maintaining, if not already satisfactory, or strengthening, when latent, ecosystem performance. In particular, the objectives of these interventions will be aimed primarily at avoiding or mitigating the frequent phenomena of urban runoff, the creation of the heat island phenomenon, the loss of habitats and biodiversity, the excessive concentration of carbon in the air, soil erosion and degradation, etc. [84,85].
To provide a more tangible and concrete perspective on this concept, let us now consider an example related to the analysis just presented. This will serve purely as an illustrative example of how ecosystem zoning could be implemented, as this research is still at an experimental stage. No data on stakeholders, cost–benefit analyses, or pilot projects are currently available.
Let us take, as an instance, an ecosystem class and a regulatory class that turns out to have many common features (see Figure 10, where the most significant intersections are highlighted in grey).
Figure 10.
Normative composition of the ecosystem zoning.
The intersection of the sponge class and the mixed residential consolidated areas offers a particularly interesting perspective. The normative plan for these areas indicates a wide variety of possible urban interventions, defining some limits and requirements for the implementation. However, these plans do not take into consideration the significant environmental value of some of the areas that make up the class. As discussed above, the sponge class plays a crucial role in strictly urban areas in terms of water retention capacity and all the benefits associated with the presence of vegetation and open spaces. It is, therefore, critical to ensure that urban interventions permitted in regulatory areas falling within the sponge class consider the significant ecosystem value of the areas. At present, the only environmental requirement in the plan relating to completion, new planting, and urban redevelopment is the requirement to green at least fifty percent of the courtyard area. To maintain and strengthen the multisystemic capacity and the overall performance of these plots, it is recommended that demand for compensatory interventions be increased. Such interventions may take the form of NBS application, the integration of shrub/tree density indices, and the sizing of sealed and free soil. Given the important role of the class defined by the infiltration capacity, it is important to try not to limit this characteristic but rather to increase it by taking advantage of the new intervention. In the cases of minor interventions related to ordinary maintenance, no further requirements will be necessary. For more significant interventions that could modify the configuration of the plot and consequently its biophysical characteristics, further requirements will be integrated within the specific regulatory article. It is proposed that urban restructuring and new development interventions be integrated with compensatory solutions capable of increasing the area’s retention capacity. The selection of these solutions will be informed by a detailed analysis of the specific context and the scale of the intervention. The range of options for enhancing urban drainage includes swales, rain gardens, filter strips, permeable pavements, and green roofs [86]. The agreed NBS should be integrated within the urban design of the plot wherever possible. In cases of compact and consolidated urban fabric, due to lack of space, the private party will act by means of monetary compensation. The municipality would proceed with the implementation of the public works where possible, trying to intervene as close as possible to the transformed lot to increase and/or restore the ecosystemic capacity within the same neighborhood.
5. Conclusions
In the international urban landscape, where the impacts of climate change and the loss of ecosystem values are increasingly alarming, this study proposes an innovative method to integrate environmental concerns within regulatory frameworks [30]. The research project focused on developing practical knowledge to support traditional planning by embedding climate adaptation strategies into normative processes. The tool introduced—ecosystem zoning—reclassifies municipal territories through a biophysical lens, assessing each zone’s ecosystem performance, vulnerabilities, and strengths.
The experiment, previously tested for the municipality of Varese, underlines a promising approach to translating critical environmental data into regulatory language. This approach enables urban planning interventions to consider the specific ecosystem characteristics and capacities of each plot, thus guiding adaptive transformations [87,88]. The interventions proposed within the urban plan must comply with the newly established regulatory limits and compensatory measures aimed at preserving, reinforcing, or enhancing the ecosystem services of the most vulnerable areas [89].
As previously highlighted in Section 1.1, it is appropriate to revisit the limitations of the proposed research in the conclusion. Beyond the challenges related to the lack of information on land management, monitoring, and the standardization of input data concerning land use classes, it is essential to emphasize additional constraints associated with the implementation and replicability of this method across different scales.
Given the spatial resolution and the characteristics of the data used to compute the ecosystem service estimation model, it can be asserted that this approach serves as a reliable proxy at the urban or territorial scale, as it enables the clustering of the territory based on similar ecosystemic features. However, its replicability at a more detailed scale—such as in smaller municipalities or in project-level analyses—may be significantly constrained by the need for more granular data that better capture the specific characteristics of the territory. Consequently, the enhancement of the method’s accuracy and applicability in these contexts would be facilitated by the availability of higher-resolution and more detailed datasets. An important addition to this study could be the projection of ecosystem zoning evolution through transformation scenarios based on urban planning decisions. This would also provide valuable insights into the periodic revision of this tool, aligning it with the iterative re-evaluation of the urban plan.
A conclusive significant limitation of the ecosystem zoning tool is its integration within planning instruments, particularly referring to the Italian planning framework. Without structural modifications to municipal plans, implementation remains challenging, requiring a complex matrix that cross-references regulatory and ecosystem zoning to determine appropriate compensatory measures. A more effective approach would involve restructuring zoning regulations to prioritize ecosystem-based classification, streamlining implementation and enhancing applicability.
From this standpoint, the restructuring of the planning system should be initiated by prioritizing urban resilience and adaptive planning within the Italian planning framework, in conjunction with raising awareness of the increasingly evident impacts of climate change on urban areas. This signifies the primary cultural shift, which should be accompanied by the restructuring of both local and supra-local planning tools. These tools must incorporate binding and effective mechanisms to support the adaptive transition of urban areas, such as ecosystem zoning. Further research and experimentation are needed to explore viable alternatives and optimize integration within planning frameworks.
The implementation of the ecosystem zoning approach, enriched by further research, has the potential to provide urban planners with a practical tool to guide design choices towards greater awareness and respect for the natural and ecosystem wealth, while simultaneously promoting planning that takes into account climate change and the importance of natural capital in making cities resilient. This approach demonstrates that municipal urban plans can play a pivotal role in defining strategic priorities for urban climate adaptation [90]. By directing, incentivizing, and regulating compensatory measures, they ensure that cities adopt solutions to increase their resilience to climate impacts. The integration of ecosystem zoning within regulatory frameworks provides planners with a practical, adaptable tool to bridge the gap between environmental knowledge and normative actions, thereby fostering a more sustainable and adaptive urban future.
Author Contributions
Conceptualization B.M. and A.N.; methodology B.M., S.S. and A.N.; validation B.M., A.N. and S.S.; formal analysis B.M. and A.N.; investigation B.M., A.N. and S.S.; resources S.S.; data curation B.M. and A.N.; writing—original draft preparation, B.M. and A.N.; writing—review and editing, B.M., A.N. and S.S.; visualization, B.M. and A.N.; supervision, S.S. The article is the result of coordinated and shared work between the three authors. All authors have read and agreed to the published version of the manuscript.
Funding
This research received no external funding.
Data Availability Statement
The original contributions presented in this study are included in the article. Further inquiries can be directed to the corresponding author.
Conflicts of Interest
The authors declare no conflicts of interest.
Abbreviations
The following abbreviations are used in this manuscript:
| ES | Ecosystem Service |
| LCP | Land Cover Piemonte |
| NBS | Nature-Based Solutions |
| PRGC | General Municipal Regulatory Plan |
| PTCP | Provincial Coordination Territorial Plan |
| PTGM | Metropolitan General Territorial Plan |
| PTR | Regional Territorial Plan |
Appendix A
The main datasets that contributed to the development of the models in the InVEST software are listed here. Some of these datasets are used across multiple models, while others are tailored to meet the specific requirements of certain models. The time-invariant mapping justification, now mentioned in the article, is ensured by the fact that the data used for phenomena characterized by seasonal behavior (such as evapotranspiration, temperature, and precipitation) have been calculated based on the annual average for the period 2013–2023. The availability of detailed and local data allowed a high-resolution output. In fact, the ecosystem models are composed of raster cells characterized by a length of 10 m.
Additionally, some indices and values that are not included in this table are provided as standard recommendations within the software guide (InVEST guide). The authors have adhered to the guideline recommendations for all these indices that were not highly context-dependent, which are listed in the table.
The validation of the input and output data was not conducted within the project framework. While it is acknowledged that validation is a crucial requirement for research credibility, the focus of this project was on testing a methodology rather than validating ecosystem models. The emphasis here is on experimenting with an approach that utilizes ecosystem models—while recognizing their inherent limitations—to develop a practical tool applicable to planning processes.
Table A1.
InVEST models dataset and sources.
Table A1.
InVEST models dataset and sources.
| Input | Source |
|---|---|
| Current Land Cover (raster) | Land use map—Geoportale Comune di Torino |
| Evapotranspiration (raster, units: mm) | Annual evapotranspiration average (2013–2023)—Arpa Piemonte |
| Reference Air Temperature (number, units: °C) | Annual temperature average (2013–2023)—Arpa Piemonte |
| Soil Hydrologic Groups | Soil map—Geoportale Piemonte |
| Precipitation | Annual precipitation average (2013–2023)—Arpa Piemonte |
Appendix B
Appendix B.1
Clustering method—Statistical data.
The elbow method proved useful during the clustering phase by helping to define a suitable number of classes. As detailed in the clustering method paragraph, the elbow is found around five classes. After multiple trials from 5 on, the proper number of classes for the case study area was set at 7.
Figure A1.
ES clustering elbow method.
Figure A1.
ES clustering elbow method.

Appendix B.2
To analyze the differences between the clusters, an analysis of variance (ANOVA) was performed, which gave a value of F = 12,455 and a p-value < 2 × 10−16.
- F = 12,455: This value measures the ratio between the variability explained by the model and the residual variability. Such a high value indicates that the between-group variability is much greater than the within-group variability, suggesting marked differences between the classes analyzed.
- p < 2 × 10−16: This value represents the probability of obtaining a similar result if the null hypothesis were true (i.e., if there were no differences between the groups). Such a small value indicates that it is highly unlikely that the observed differences are due to chance, confirming the existence of statistically significant differences between the clusters.
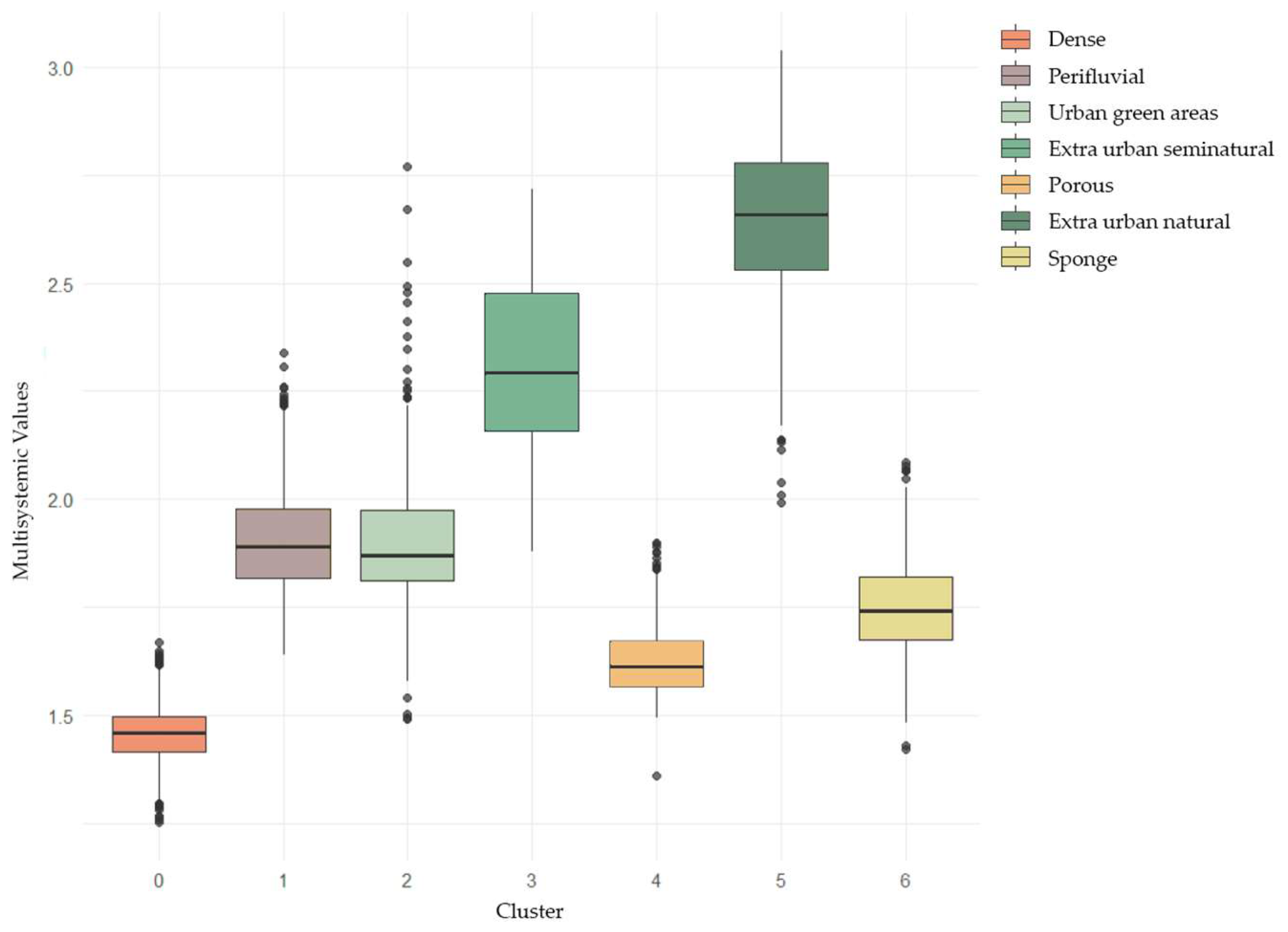
A Tukey HSD post hoc test was then used to identify cluster pairs with significant differences. The results show that almost all cluster pairs show highly significant differences (p < 0.0001), with the sole exception of the perifluvial–urban green pair, for which the difference was not statistically significant (p = 0.78). Although the multisystem value of the perifluvial–urban green clusters does not show statistically significant differences, it was nevertheless chosen to distinguish these two classes as they represent different spatial scenarios (Figure A2). From an urban planning point of view, it is essential to maintain this distinction, as the spatial morphologies characterizing the two clusters are significantly different:
- areas classified as urban green correspond mainly to urban public green spaces, such as parks and urban gardens;
- the perifluvial class, while having similar ecosystem services, is characterized by semi-compact urban fabrics, characterized by their proximity to urban watercourses.
This distinction, although not supported by a significant statistical difference in ecosystem values, is essential for spatial planning and environmental management of different urban areas.
Figure A2.
Box plot of the distribution of ecosystem values for each cluster.
Figure A2.
Box plot of the distribution of ecosystem values for each cluster.

Appendix B.3
Clustering method—classes’ statistical significance.
The box plot analyses shown help to better define the statistical differences among the classes composing the ecosystem zoning. For each class, the four indicators taken into consideration by the clustering tool are explicated by each graph to support a deeper understanding of the different ecosystem specificities.
Figure A3.
Statistical significance of the clustering classes.
Figure A3.
Statistical significance of the clustering classes.

Appendix C
Incremental spatial autocorrelation (ISA)–hot spot analysis.
To highlight the spatial autocorrelation patterns of areas with low and high ecosystem service (ES) values, a hot spot analysis supported by incremental spatial autocorrelation (ISA) was performed. Four reference distances were tested: 14 m, 30 m, 50 m, and 110 m. The results show an increasingly polarized clustering with increasing distance, as indicated by the increase in Moran’s I (from 0.93 to 0.85) and Z-score (from 1500 to more than 13,000).
Table A2.
Incremental spatial autocorrelation (ISA).
Table A2.
Incremental spatial autocorrelation (ISA).
| Distance (m) | Moran’s Index | Z-Score | p-Value |
|---|---|---|---|
| 14 | 0.93 | 1500.25 | 0 |
| 30 | 0.90 | 3614.30 | 0 |
| 50 | 0.88 | 6026.96 | 0 |
| 110 | 0.85 | 13,114.79 | 0 |
This trend suggests that as distance increases, the pattern shifts from a more fragmented distribution to a more defined and polarized one, with a clear reduction in the areas classified as non-significant. It also shows how Turin’s hills represent an ecological stronghold for the city, together with the large peripheral green areas that develop near the Dora and Stura Rivers, which emerge as significant hot spots.
Within the urban fabric, on the other hand, as the threshold distance increases, there is a loss of detail in the inner green areas, which tend to dissolve into the wider urban context.
Figure A4.
Hot spot analysis (Getis-Ord Gi*) conducted on multisystemic composite value, for incremental distances of 14 m, 30 m, 50 m, 110 m.
Figure A4.
Hot spot analysis (Getis-Ord Gi*) conducted on multisystemic composite value, for incremental distances of 14 m, 30 m, 50 m, 110 m.

Notes
| 1 | A traditional urban planning approach based on a normative–functional perspective that assigns specific functions and land uses to each regulated parcel within a municipality’s territory. This zoning framework establishes permitted and restricted uses, guiding urban development through predefined regulations. Italian urban plans have historically been characterized by a strong regulatory identity rooted in a functional–morphological standpoint. However, this paper seeks to expand the conventional perspective by integrating ecosystemic values into the planning framework, fostering a more holistic and environmentally conscious approach to urban development. |
| 2 | The ability of an ecosystem to sustain ecological functions, support biodiversity, and provide essential services based on its natural resources, energy flows, and resilience to environmental changes. In this research, we refer to biophysical capacity by considering the composite analyses of the multiple ecosystem services involved in the project: habitat quality, stormwater retention, urban cooling, and carbon storage and sequestration. |
| 3 | A strategic urban planning approach that classifies land parcels within the zoning framework based on similar ecosystem performance. This methodology leverages clustering techniques to categorize areas according to their ecological functions, environmental impact, and resilience. The resulting classification enables the implementation of targeted mitigation measures or enhancement strategies by utilizing performance-based design tools. By integrating ecological considerations into zoning regulations, this approach promotes sustainable urban development, optimizes land use efficiency, and enhances environmental quality. |
| 4 | This paper presents an initial analysis and findings on recognizing and assessing natural capital and ecosystem services (ESs) to enhance Varese’s climate adaptive capacity through resilient urban planning. By spatializing ES data, it integrates climate-proof strategies with regulatory planning tools. The proposed ES-oriented zoning, based on clustering areas with similar biophysical performance, provides a scientific foundation for targeted interventions to preserve, enhance, and optimize ES delivery. |
| 5 | The threshold ensures computational efficiency by preventing unnecessary iterations once the clustering has stabilized, leading to an optimal balance between precision and performance. Adjusting the threshold allows users to control the sensitivity of the algorithm—lower values result in finer adjustments at the cost of increased computation, while higher values speed up convergence but may lead to less refined clusters. |
References
- Brenner, N.; Schmid, C. Towards a New Epistemology of the Urban? City 2015, 19, 151–182. [Google Scholar] [CrossRef]
- Brenner, N. Introduction: Urban Theory without an Outside. In Implosions/Explosions Towards a Study of Planetary Urbanization; Brenner, N., Ed.; Jovis: Berlin, Germany, 2013; p. 576. ISBN 978-3-86859-317-4. [Google Scholar]
- De Valck, J.; Landuyt, D.; Broekx, S.; Liekens, I.; De Nocker, L.; Vranken, L. Outdoor Recreation in Various Landscapes: Which Site Characteristics Really Matter? Land Use Policy 2017, 65, 186–197. [Google Scholar] [CrossRef]
- McPhearson, T.; Cook, E.M.; Berbés-Blázquez, M.; Cheng, C.; Grimm, N.B.; Andersson, E.; Barbosa, O.; Chandler, D.G.; Chang, H.; Chester, M.V.; et al. A Social-Ecological-Technological Systems Framework for Urban Ecosystem Services. One Earth 2022, 5, 505–518. [Google Scholar] [CrossRef]
- Stürck, J.; Schulp, C.J.E.; Verburg, P.H. Spatio-Temporal Dynamics of Regulating Ecosystem Services in Europe—The Role of Past and Future Land Use Change. Appl. Geogr. 2015, 63, 121–135. [Google Scholar] [CrossRef]
- Maragno, D.; Dall’omo, C.F.; Pozzer, G.; Musco, F. Multi-Risk Climate Mapping for the Adaptation of the Venice Metropolitan Area. Sustainability 2021, 13, 1334. [Google Scholar] [CrossRef]
- Kousis, I.; Pigliautile, I.; Pisello, A.L. Intra-Urban Microclimate Investigation in Urban Heat Island through a Novel Mobile Monitoring System. Sci. Rep. 2021, 11, 9732. [Google Scholar] [CrossRef]
- Ali-Toudert, F.; Böttcher, S. Urban Microclimate Prediction Prior to Dynamic Building Energy Modelling Using the TEB Model as Embedded Component in TRNSYS. Theor. Appl. Climatol. 2018, 134, 1413–1428. [Google Scholar] [CrossRef]
- Egegård, C.H.; Lindborg, M.; Gren, Å.; Marcus, L.; Pont, M.B.; Colding, J. Climate Proofing Cities by Navigating Nature-Based Solutions in a Multi-Scale, Social–Ecological Urban Planning Context: A Case Study of Flood Protection in the City of Gothenburg, Sweden. Land 2024, 13, 143. [Google Scholar] [CrossRef]
- Holing, C.S. Understanding the Complexity of Economic, Ecological, and Social Systems. Ecosystems 2001, 4, 390–405. [Google Scholar] [CrossRef]
- Meerow, S.; Newell, J.P. Urban Resilience for Whom, What, When, Where, and Why? Urban. Geogr. 2019, 40, 309–329. [Google Scholar] [CrossRef]
- Calliari, E.; Castellari, S.; Davis, M.; Linnerooth-Bayer, J.; Martin, J.; Mysiak, J.; Pastor, T.; Ramieri, E.; Scolobig, A.; Sterk, M.; et al. Building Climate Resilience through Nature-Based Solutions in Europe: A Review of Enabling Knowledge, Finance and Governance Frameworks. Clim. Risk Manag. 2022, 37, 100450. [Google Scholar] [CrossRef]
- O’Sullivan, F.; Mell, I.; Clement, S. Novel Solutions or Rebranded Approaches: Evaluating the Use of Nature-Based Solutions (NBS) in Europe. Front. Sustain. Cities 2020, 2, 572527. [Google Scholar] [CrossRef]
- Venter, Z.S.; Barton, D.N.; Martinez-Izquierdo, L.; Langemeyer, J.; Baró, F.; McPhearson, T. Interactive Spatial Planning of Urban Green Infrastructure—Retrofitting Green Roofs Where Ecosystem Services Are Most Needed in Oslo. Ecosyst. Serv. 2021, 50, 101314. [Google Scholar] [CrossRef]
- Goličnik, B.; Ward Thompson, C. Emerging Relationships between Design and Use of Urban Park Spaces. Landsc. Urban Plan. 2010, 94, 38–53. [Google Scholar] [CrossRef]
- Li, Y.; Ji, C.; Wang, P.; Huang, L. Proactive Intervention of Green Infrastructure on Flood Regulation and Mitigation Service Based on Landscape Pattern. J. Clean. Prod. 2023, 419, 138152. [Google Scholar] [CrossRef]
- Grilo, F.; Pinho, P.; Aleixo, C.; Catita, C.; Silva, P.; Lopes, N.; Freitas, C.; Santos-Reis, M.; McPhearson, T.; Branquinho, C. Using Green to Cool the Grey: Modelling the Cooling Effect of Green Spaces with a High Spatial Resolution. Sci. Total Environ. 2020, 724, 138182. [Google Scholar] [CrossRef] [PubMed]
- Staccione, A.; Candiago, S.; Mysiak, J. Mapping a Green Infrastructure Network: A Framework for Spatial Connectivity Applied in Northern Italy. Environ. Sci. Policy 2022, 131, 57–67. [Google Scholar] [CrossRef]
- Romano, B.; Zullo, F. The Urban Transformation of Italy’s Adriatic Coastal Strip: Fifty Years of Unsustainability. Land Use Policy 2014, 38, 26–36. [Google Scholar] [CrossRef]
- Pristeri, G.; di Martino, V.; Ronchi, S.; Salata, S.; Mazza, F.; Benedini, A.; Arcidiacono, A. An Operational Model to Downscale Regional Green Infrastructures in Supra-Local Plans: A Case Study in an Italian Alpine Sub-Region. Sustainability 2023, 15, 11542. [Google Scholar] [CrossRef]
- Attolico, A. Building Resilience Through Territorial Planning: The Experience of Province of Potenza. Procedia Econ. Financ. 2014, 18, 528–535. [Google Scholar] [CrossRef]
- Santoloni, R.; Morri, E.; Scolozzi, R. Mettere in Gioco i Servizi Ecosistemici: Limiti e Opportunità Di Nuovi Scenari Sociali Ed Economici. Ri-Vista Ric. Per La Progett. Del Paesaggio 2011, 9, 41–55. [Google Scholar]
- Assennato, F. Il Suolo Conteso: Potenzialità e Limiti Della Valutazione Dei Servizi Ecosistemici Nella Pianificazione Locale. Ph.D. Thesis, Sapienza University of Rome, Roma, Italy, 2018. [Google Scholar]
- Colavitti, A.M.; Usai, N.; Bonfiglioli, S. Urban Planning in Italy: The Future of Urban General Plan and Governance. Eur. Plan. Stud. 2013, 21, 167–186. [Google Scholar] [CrossRef]
- Heath, L.S.; Birdsey, R.A.; Williams, D.W. Methodology for Estimating Soil Carbon for the Forest Carbon Budget Model of the United States, 2001. Environ. Pollut. 2002, 116, 373–380. [Google Scholar] [CrossRef] [PubMed]
- Barbosa, B.; Rocha, J.; Costa, H.; Caetano, M. Uncovering Vegetation Changes in the Urban–Rural Interface through Semi-Automatic Methods. Appl. Sci. 2022, 12, 2294. [Google Scholar] [CrossRef]
- Fletcher, D.H.; Garrett, J.K.; Thomas, A.; Fitch, A.; Cryle, P.; Shilton, S.; Jones, L. Location, Location, Location: Modelling of Noise Mitigation by Urban Woodland Shows the Benefit of Targeted Tree Planting in Cities. Sustainability 2022, 14, 7079. [Google Scholar] [CrossRef]
- Dworczyk, C.; Burkhard, B. Challenges Entailed in Applying Ecosystem Services Supply and Demand Mapping Approaches: A Practice Report. Land 2022, 12, 52. [Google Scholar] [CrossRef]
- Herreros-Cantis, P.; McPhearson, T. Mapping Supply of and Demand for Ecosystem Services to Assess Environmental Justice in New York City. Ecol. Appl. 2021, 31, e2390. [Google Scholar] [CrossRef]
- Kopperoinen, L.; Itkonen, P.; Niemelä, J. Using Expert Knowledge in Combining Green Infrastructure and Ecosystem Services in Land Use Planning: An Insight into a New Place-Based Methodology. Landsc. Ecol. 2014, 29, 1361–1375. [Google Scholar] [CrossRef]
- Kienast, F.; Degenhardt, B.; Weilenmann, B.; Wäger, Y.; Buchecker, M. Landscape and Urban Planning GIS-Assisted Mapping of Landscape Suitability for Nearby Recreation. Landsc. Urban Plan. 2012, 105, 385–399. [Google Scholar] [CrossRef]
- Duarte, G.T.; Ribeiro, M.C.; Paglia, A.P.; Csuti, B.; Fackler, P.; Lonsdorf, E. Ecosystem Services Modeling as a Tool for Defining Priority Areas for Conservation. PLoS ONE 2016, 11, e0154573. [Google Scholar] [CrossRef]
- Maes, J.; Liquete, C.; Teller, A.; Erhard, M.; Paracchini, M.L.; Barredo, J.I.; Grizzetti, B.; Cardoso, A.; Somma, F.; Petersen, J.E.; et al. An Indicator Framework for Assessing Ecosystem Services in Support of the EU Biodiversity Strategy to 2020. Ecosyst. Serv. 2016, 17, 14–23. [Google Scholar] [CrossRef]
- Ronchi, S.; Arcidiacono, A.; Pogliani, L. Integrating Green Infrastructure into Spatial Planning Regulations to Improve the Performance of Urban Ecosystems. Insights from an Italian Case Study. Sustain. Cities Soc. 2020, 53, 101907. [Google Scholar] [CrossRef]
- Pásztor, L.; Laborczi, A.; Takács, K.; Szatmári, G.; Fodor, N.; Illés, G.; Farkas-Iványi, K.; Bakacsi, Z.; Szabó, J. Compilation of Functional Soil Maps for the Support of Spatial Planning and Land Management in Hungary. Soil Mapp. Process Model. Sustain. Land Use Manag. 2017, 293–317. [Google Scholar] [CrossRef]
- García-Ayllón, S.; Tomás, A.; Ródenas, J.L. The Spatial Perspective in Post-Earthquake Evaluation to Improve Mitigation Strategies: Geostatistical Analysis of the Seismic Damage Applied to a Real Case Study. Appl. Sci. 2019, 9, 3182. [Google Scholar] [CrossRef]
- Malgwi, M.B.; Schlögl, M.; Keiler, M. Expert-Based versus Data-Driven Flood Damage Models: A Comparative Evaluation for Data-Scarce Regions. Int. J. Disaster Risk Reduct. 2021, 57, 102148. [Google Scholar] [CrossRef]
- Ronchi, S.; Salata, S.; Arcidiacono, A. The Adoption of Performance Based Planning for Setting Urban Design Parameters against Climate Changes. An Urban Cooling Application in Milano City. In Proceedings of the Third World Conference of the Society for Urban Ecology, Poznan, Poland, 7–9 July 2021; p. 164. [Google Scholar]
- Ahn, Y.J.; Sohn, D.W. The Effect of Neighbourhood-Level Urban Form on Residential Building Energy Use: A GIS-Based Model Using Building Energy Benchmarking Data in Seattle. Energy Build 2019, 196, 124–133. [Google Scholar] [CrossRef]
- Wang, Y.; Fu, Q.; Wang, T.; Gao, M.; Chen, J. Multiscale Characteristics and Drivers of the Bundles of Ecosystem Service Budgets in the Su-Xi-Chang Region, China. Int. J. Environ. Res. Public Health 2022, 19, 2910. [Google Scholar] [CrossRef]
- Grillenzoni, C. Design of Blurring Mean-Shift Algorithms for Data Classification. J. Classif. 2016, 33, 262–281. [Google Scholar] [CrossRef]
- Mubareka, S.; Koomen, E.; Estreguil, C.; Lavalle, C. Development of a Composite Index of Urban Compactness for Land Use Modelling Applications. Landsc. Urban Plan. 2011, 103, 303–317. [Google Scholar] [CrossRef]
- Fabricius, C. Resilience, Development and Global Change; Routledge: London, UK, 2016; Volume 71, ISBN 9781134614110. [Google Scholar]
- Orgiazzi, A.; Panagos, P.; Yigini, Y.; Dunbar, M.B.; Gardi, C.; Montanarella, L.; Ballabio, C. A Knowledge-Based Approach to Estimating the Magnitude and Spatial Patterns of Potential Threats to Soil Biodiversity. Sci. Total Environ. 2016, 545, 11–20. [Google Scholar] [CrossRef] [PubMed]
- Salata, S.; Arslan, B. Designing with Ecosystem Modelling: The Sponge District Application in İzmir, Turkey. Sustainability 2022, 14, 3420. [Google Scholar] [CrossRef]
- Borrego, C.; Amorim, J.H.; Tchepel, O.; Dias, D.; Rafael, S.; Sá, E.; Pimentel, C.; Fontes, T.; Fernandes, P.; Pereira, S.R.; et al. Urban Scale Air Quality Modelling Using Detailed Traffic Emissions Estimates. Atmos. Environ. 2016, 131, 341–351. [Google Scholar] [CrossRef]
- De Sy, V.; Schoorl, J.M.; Keesstra, S.D.; Jones, K.E.; Claessens, L. Landslide Model Performance in a High Resolution Small-Scale Landscape. Geomorphology 2013, 190, 73–81. [Google Scholar] [CrossRef]
- Delo, G.; Civera, M.; Lenticchia, E.; Miraglia, G.; Surace, C.; Ceravolo, R. Interferometric Satellite Data in Structural Health Monitoring: An Application to the Effects of the Construction of a Subway Line in the Urban Area of Rome. Appl. Sci. 2022, 12, 1658. [Google Scholar] [CrossRef]
- Giaimo, C.; Regis, D.; Salata, S. Integrated Process of Ecosystem Services Evaluation and Urban Planning. The Experience of LIFE SAM4CP Project towards Sustainable and Smart Communities. In Proceedings of the 9th International Conference Improving Energy Efficiency in Commercial Buildings and Smart Communities, Frankfurt, Germany, 16–18 March 2016; pp. 43–54. [Google Scholar]
- Sjöman, J.D.; Gill, S.E. Residential Runoff—The Role of Spatial Density and Surface Cover, with a Case Study in the Höjeå River Catchment, Southern Sweden. Urban. For. Urban Green. 2014, 13, 304–314. [Google Scholar] [CrossRef]
- Zölch, T.; Henze, L.; Keilholz, P.; Pauleit, S. Regulating Urban Surface Runoff through Nature-Based Solutions—An Assessment at the Micro-Scale. Environ. Res. 2017, 157, 135–144. [Google Scholar] [CrossRef]
- Hamel, P.; Bryant, B.P. Uncertainty Assessment in Ecosystem Services Analyses: Seven Challenges and Practical Responses. Ecosyst. Serv. 2017, 24, 1–15. [Google Scholar] [CrossRef]
- Box, G.E.P. Some Problems of Statistics and Everyday Life. J. Am. Stat. Assoc. 1979, 74, 1–4. [Google Scholar] [CrossRef]
- ISTAT Italian Census. Available online: https://www.istat.it/en/permanent-censuses/population-and-housing (accessed on 1 December 2024).
- Salata, S. The Utilization of Supervised Classification Sampling for Environmental Monitoring in Turin (Italy). Sustainability 2021, 13, 2494. [Google Scholar] [CrossRef]
- Salata, S.; Ronchi, S.; Giaimo, C.; Arcidiacono, A.; Pantaloni, G.G. Performance-Based Planning to Reduce Flooding Vulnerability Insights from the Case of Turin (North-West Italy). Sustainability 2021, 13, 5697. [Google Scholar] [CrossRef]
- Cassatella, C. The ‘Corona Verde’ Strategic Plan: An Integrated Vision for Protecting and Enhancing the Natural and Cultural Heritage. Urban. Res. Pract. 2013, 6, 219–228. [Google Scholar] [CrossRef]
- Mutani, G.; Todeschi, V. An Urban Energy Atlas and Engineering Model for Resilient Cities. Int. J. Heat Technol. 2019, 37, 936–947. [Google Scholar] [CrossRef]
- Salata, S.; Grillenzoni, C. A Spatial Evaluation of Multifunctional Ecosystem Service Networks Using Principal Component Analysis: A Case of Study in Turin, Italy. Ecol. Indic. 2021, 127, 107758. [Google Scholar] [CrossRef]
- Caldarice, O.; Salata, S. Valutare i Servizi Ecosistemici Nel Piano Come Risposta Alla Vulnerabilità Territoriale. Una Riflessione Metodologica a Partire Dalla Proposta Di Legge Sul Consumo Di Suolo in Piemonte | Ecosystem Service Assessment in Land Use Planning Decreasing Territo. Valori Valutazioni 2019, 22, 67–83. [Google Scholar]
- Italian National Institute of Statistics Italian National Institute of Statistics (Istat), Istituto Centrale di Statistica, Roma. 1973. Available online: https://ebiblio.istat.it/digibib/Censimenti%20popolazione/censpop1971/IST0004793CP1971_Pop_Leg_comuni.pdf (accessed on 1 December 2024).
- Ghirardelli, F.; Mosso, B.; Ronchi, S.; Salata, S.; Pogliani, L.; Arcidiacono, A. Integrating Ecosystem Services Performance into Urban Planning Tools: The Case of Varese City (Italy) Prestazioni Ecosistemiche Integrate Negli Strumenti Di Pianificazione Urbana: Il Caso Della Città Di Varese (Italia). BDC Boll. Cent. Calza Bini 2024, 24, 63–80. [Google Scholar]
- Cortinovis, C.; Geneletti, D. Mapping and Assessing Ecosystem Services to Support Urban Planning: A Case Study on Brownfield Regeneration in Trento, Italy. One Ecosyst. 2018, 3, e25477. [Google Scholar] [CrossRef]
- Dizdaroglu, D.; Yigitcanlar, T. Integrating Urban Ecosystem Sustainability Assessment into Policy-Making: Insights from the Gold Coast City. J. Environ. Plan. Manag. 2016, 59, 1982–2006. [Google Scholar] [CrossRef]
- Tang, Y.; Sun, Y.; Han, Z.; Soomro, S.; Wu, Q.; Tan, B.; Hu, C. Flood Forecasting Based on Machine Learning Pattern Recognition and Dynamic Migration of Parameters. J. Hydrol. Reg. Stud. 2023, 47, 101406. [Google Scholar] [CrossRef]
- Tallis, H.T.; Ricketts, T.; Guerry, A.D.; Wood, S.A.; Sharp, R.; Nelson, E.; Ennaanay, D.; Wolny, S.; Olwero, N.; Vigerstol, K.; et al. VEST 2.0 Beta User’s Guide; Stanford University: Stanford, CA, USA, 2011. [Google Scholar]
- Congedo, L.; Sallustio, L.; Munafò, M.; Ottaviano, M.; Tonti, D.; Marchetti, M. Copernicus High-Resolution Layers for Land Cover Classification in Italy. J. Maps 2016, 12, 1195–1205. [Google Scholar] [CrossRef]
- Meerow, S.; Newell, J.P. Spatial Planning for Multifunctional Green Infrastructure: Growing Resilience in Detroit. Landsc. Urban Plan. 2017, 159, 62–75. [Google Scholar] [CrossRef]
- Salata, S. Filling the Gaps in Biophysical Knowledge of Urban Ecosystems: Flooding Mitigation and Stormwater Retention. Land 2023, 12, 702. [Google Scholar] [CrossRef]
- Biswal, B.K.; Bolan, N.; Zhu, Y.G.; Balasubramanian, R. Nature-Based Systems (NbS) for Mitigation of Stormwater and Air Pollution in Urban Areas: A Review. Resour. Conserv. Recycl. 2022, 186, 106578. [Google Scholar] [CrossRef]
- Larsen, L. Urban Climate and Adaptation Strategies. Front. Ecol. Environ. 2015, 13, 486–492. [Google Scholar] [CrossRef]
- Ronchi, S.; Salata, S.; Arcidiacono, A. Which Urban Design Parameters Provide Climate-Proof Cities? An Application of the Urban Cooling InVEST Model in the City of Milan Comparing Historical Planning Morphologies. Sustain. Cities Soc. 2020, 67, 102459. [Google Scholar] [CrossRef]
- Nowak, D.J.; Crane, D.E. Carbon Storage and Sequestration by Urban Trees in the USA. Environ. Pollut. 2002, 116, 381–389. [Google Scholar] [CrossRef] [PubMed]
- Arcidiacono, A.; Ronchi, S.; Salata, S. Ecosystem Services Assessment Using Invest as a Tool to Support Decision Making Process: Critical Issues and Opportunities; Springer: Cham, Switzerland, 2015; Volume 9158, ISBN 9783319214092. [Google Scholar]
- Alam, M.; Dupras, J.; Messier, C. A Framework towards a Composite Indicator for Urban Ecosystem Services. Ecol. Indic. 2016, 60, 38–44. [Google Scholar] [CrossRef]
- Grillenzoni, C. Adaptive Spatio-Temporal Models for Satellite Ecological Data. J. Agric. Biol. Environ. Stat. 2004, 9, 158–180. [Google Scholar] [CrossRef]
- Kwon, Y.J.; Lee, D.K.; Kim, J.H.; Oh, K. Improving Urban Thermal Environments by Analysing Sensible Heat Flux Patterns in Zoning Districts. Cities 2021, 116, 103276. [Google Scholar] [CrossRef]
- van Griensven, A.; Meixner, T.; Grunwald, S.; Bishop, T.; Diluzio, M.; Srinivasan, R. A Global Sensitivity Analysis Tool for the Parameters of Multi-Variable Catchment Models. J. Hydrol. 2006, 324, 10–23. [Google Scholar] [CrossRef]
- Caldarice, O.; Pochettino, T. Ripensare la regolazione urbana per la resilienza. Una proposta di interpretazione normativa per l’integrazione dell’adattamento nella revisione del Piano Regolatore di Torino. Reconsidering urban regulation for resilience. A proposal of normative orienta. Atti Rass. Tec. 2021, 154, 29–35. [Google Scholar]
- Puttilli, M. Torino: Storia di una Città (Museo Torino–dal 18/03/2011 al 31/12/2011); Sapienza University of Rome: Roma, Italy, 2011. [Google Scholar]
- Comoli, V.; Fasoli, V.; Viglino, M.; Lupo, G.M. La Struttura Storico Urbanistica. In Piano Regolatore Generale di Torino, Qualità e Valori Della Struttura Storica di Torino, Parte Seconda Il Processo di Formazione Della Città Contemporanea; Polytechnic University of Turin: Torino, Italy, 1992; pp. 75–97. [Google Scholar]
- Ternavasio, M. Crocetta. Storia Di Un Quartiere; Graphot, Ed.; Graphot: Torino, Italy, 2008. [Google Scholar]
- Blečić, I.; Cecchini, A. Antifragile Planning. Plan. Theory 2020, 19, 172–192. [Google Scholar] [CrossRef]
- UN General Assembly. Transforming Our World: The 2030 Agenda for Sustainable Development; UN General Assembly: New York, NY, USA, 2015. [Google Scholar]
- Calvin, K.; Dasgupta, D.; Krinner, G.; Mukherji, A.; Thorne, P.W.; Trisos, C.; Romero, J.; Aldunce, P.; Barrett, K.; Blanco, G.; et al. IPCC, 2023: Climate Change 2023: Synthesis Report. Contribution of Working Groups I, II and III to the Sixth Assessment Report of the Intergovernmental Panel on Climate Change; Core Writing Team, Lee, H., Romero, J., Eds.; IPCC: Geneva, Switzerland, 2023. [Google Scholar]
- Jiménez Ariza, S.L.; Martínez, J.A.; Muñoz, A.F.; Quijano, J.P.; Rodríguez, J.P.; Camacho, L.A.; Díaz-Granados, M. A Multicriteria Planning Framework to Locate and Select Sustainable Urban Drainage Systems (SUDS) in Consolidated Urban Areas. Sustainability 2019, 11, 2312. [Google Scholar] [CrossRef]
- Scoones, I.; Stirling, A.; Abrol, D.; Atela, J.; Charli-Joseph, L.; Eakin, H.; Ely, A.; Olsson, P.; Pereira, L.; Priya, R.; et al. Transformations to Sustainability: Combining Structural, Systemic and Enabling Approaches. Curr. Opin. Environ. Sustain. 2020, 42, 65–75. [Google Scholar] [CrossRef]
- Davoudi, S. Resilience, Uncertainty, and Adaptive Planning. In Governance of Climate Responsive Cities: Exploring Cross-Scale Dynamics; Springer: Cham, Switzerland, 2021; pp. 9–19. [Google Scholar]
- Terzi, F.; Tezer, A.; Turkay, Z.; Uzun, O.; Köylü, P.; Karacor, E.; Okay, N.; Kaya, M. An Ecosystem Services-Based Approach for Decision-Making in Urban Planning. J. Environ. Plan. Manag. 2020, 63, 433–452. [Google Scholar] [CrossRef]
- Cortinovis, C.; Geneletti, D. Ecosystem Services in Urban Plans: What Is There, and What Is Still Needed for Better Decisions. Land Use Policy 2018, 70, 298–312. [Google Scholar] [CrossRef]
Disclaimer/Publisher’s Note: The statements, opinions and data contained in all publications are solely those of the individual author(s) and contributor(s) and not of MDPI and/or the editor(s). MDPI and/or the editor(s) disclaim responsibility for any injury to people or property resulting from any ideas, methods, instructions or products referred to in the content. |
© 2025 by the authors. Licensee MDPI, Basel, Switzerland. This article is an open access article distributed under the terms and conditions of the Creative Commons Attribution (CC BY) license (https://creativecommons.org/licenses/by/4.0/).









