Rainfall Characteristics and Effective Precipitation Analysis of Rice Growth Period in Typical Areas in East China
Abstract
1. Introduction
2. Materials and Methods
2.1. Site Description
2.2. Data Sources
2.3. Methods
2.3.1. Effective Precipitation
2.3.2. Effective Precipitation Utilization Coefficient
2.4. Prediction with a Machine Learning Model
2.4.1. Input and Output
- (1)
- Daily rainfall , representing the precipitation on day ;
- (2)
- Antecedent wetness indicators, including the cumulative rainfall over the previous seven days and the number of consecutive dry days. The former was represented by the Antecedent Precipitation Index (API), calculated as follows [20]:
- (3)
- Extreme rainfall events, where precipitation exceeding a threshold (≥50 mm) was assigned a value of 1, otherwise 0.
2.4.2. Model Construction and Parameter Optimization
2.4.3. Model Evaluation Metrics
3. Results
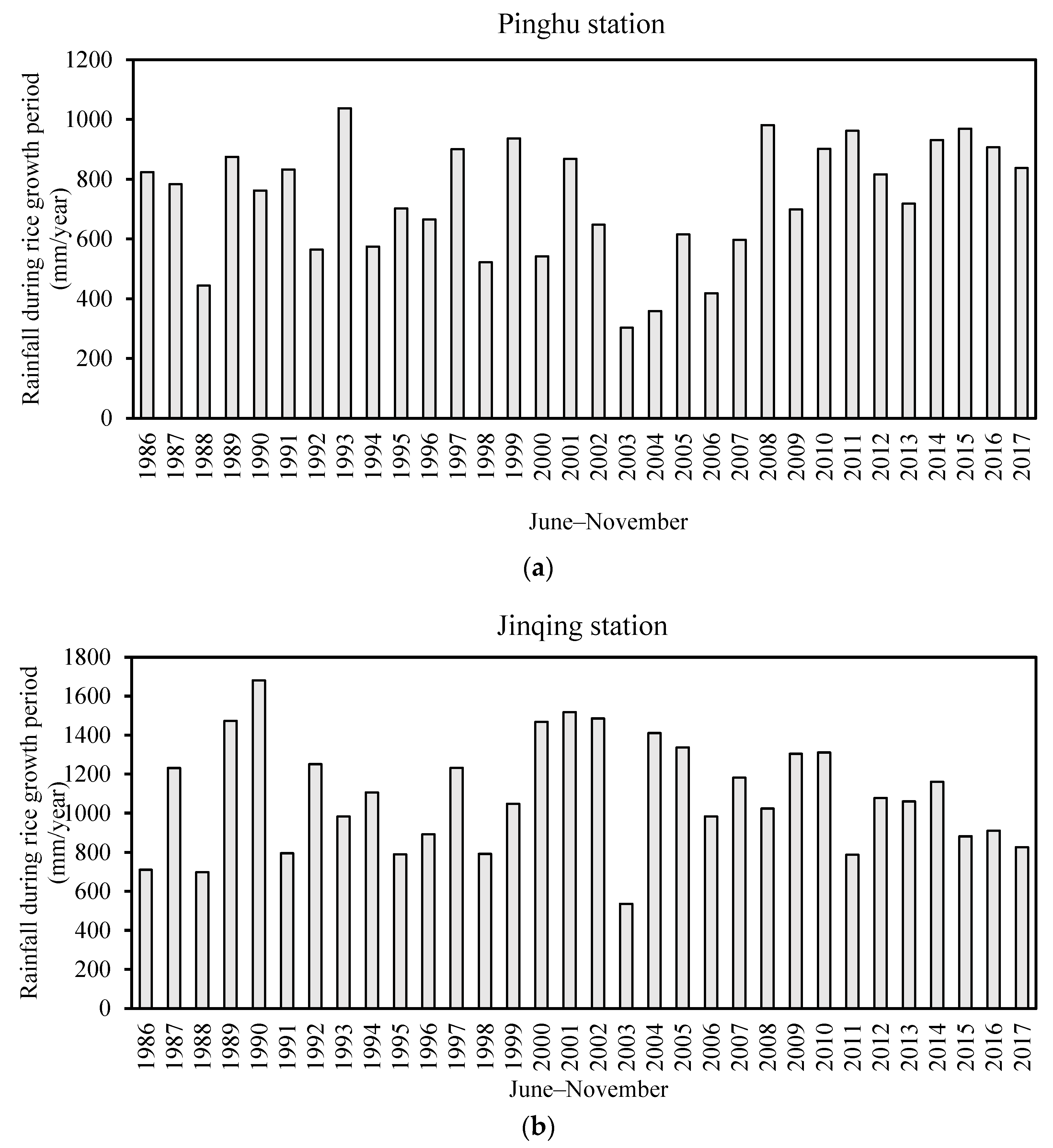
3.1. Rainfall Characteristics in Typical Regions
3.1.1. Interannual Rainfall Analysis
3.1.2. Rainfall Concentration During the Rice-Growing Season
3.1.3. Monthly Rainfall During the Rice-Growing Season
3.2. Analysis Based on the Soil–Water Balance Method
3.2.1. Results of Effective Precipitation Calculation
3.2.2. Analysis of Effective Precipitation Utilization Coefficients
3.3. Analysis Based on Support Vector Regression
3.3.1. Model Evaluation
3.3.2. Prediction Results of the Effective Precipitation Utilization Coefficient
3.4. Discussion
4. Conclusions
- (1)
- The mean seasonal rainfall during 1986–2017 show significant interannual variability among the three stations of interest. The historical data suggests that more than 60% of the rainfall occurs during the rice-growing season, providing favorable water availability for rice production.
- (2)
- Over 80% of the rainfall occurred from June to September at all stations, which coincides with critical growing stages. This highlights the importance of early-season rainfall in supporting crop water requirements.
- (3)
- At Pinghu, between 2018 and 2020, effective precipitation accounted for 57% to 76% of the seasonal rainfall, demonstrating that effective precipitation is a crucial water source for paddy fields under the study conditions.
- (4)
- The effective precipitation utilization coefficient showed non-linear responses to rainfall magnitude. High coefficients were observed for both heavy rainfall events and small showers, suggesting efficient water use, whereas moderate rainfall showed more variability, influenced by soil moisture and field management practices.
- (5)
- The SVR model generally well predicts the effective precipitation utilization coefficient. It can be an alternative approach for prediction of effective precipitation utilization, which could be helpful to optimize irrigation schedules based on forecasted rainfall. However, the model underestimates high-value cases due to limited extreme event samples. Further improvements could be made by expanding the dataset and enhancing the predictor variables.
Author Contributions
Funding
Data Availability Statement
Conflicts of Interest
References
- Zhang, S.; Rasool, G.; Guo, X.; Sen, L.; Cao, K. Effects of different irrigation methods on environmental factors, rice production, and water use efficiency. Water 2020, 12, 2239. [Google Scholar] [CrossRef]
- Zhu, S.; Tong, W.; Li, H.; Li, K.; Xu, W.; Liang, B. Temporal variations in rice water requirements and the impact of effective rainfall on irrigation demand: Strategies for sustainable rice cultivation. Water 2025, 17, 656. [Google Scholar] [CrossRef]
- Azhar, A.H.; Murty, V.V.N.; Phien, H.N. Modeling irrigation schedules for lowland rice with stochastic rainfall. J. Irrig. Drain. Eng. 1992, 118, 36–55. [Google Scholar] [CrossRef]
- Cao, J.; Tan, J.; Cui, Y.; Luo, Y. Irrigation scheduling of paddy rice using short-term weather forecast data. Agric. Water Manag. 2019, 213, 714–723. [Google Scholar] [CrossRef]
- Bouman, B.A.M.; Tuong, T.P. Field water management to save water and increase its productivity in irrigated lowland rice. Agric. Water Manag. 2001, 49, 11–30. [Google Scholar] [CrossRef]
- Geerts, S.; Raes, D. Deficit irrigation as an on-farm strategy to maximize crop water productivity in dry areas. Agric. Water Manag. 2009, 96, 1275–1284. [Google Scholar] [CrossRef]
- Pereira, L.S.; Cordery, I.; Iacovides, I. Improved indicators of water use performance and productivity for sustainable water conservation and saving. Agric. Water Manag. 2012, 108, 39–51. [Google Scholar] [CrossRef]
- Wei, Z.; Bian, D.; Du, X.; Pushpa, R.; Cui, Y. Spatio-temporal distribution characteristics of precipitation, water demand, and drought during the summer maize growth period in the Heilonggang Basin. Trans. Chin. Soc. Agric. Eng. 2020, 36, 124–133, (In Chinese with English abstract). [Google Scholar]
- Wu, W.; Mo, M. Variation characteristics of effective precipitation and water requirement of cassava in Guangxi from 1958 to 2015. Water Sav. Irrig. 2020, 80–87, (In Chinese with English abstract). [Google Scholar]
- Zhang, B.; Pei, X.; Cao, H.; Gu, S.; Mo, J. Characteristics of water requirement and irrigation demand index for flue-cured tobacco in Guizhou Province. Res. Soil Water Conserv. 2019, 26, 215–221, (In Chinese with English abstract). [Google Scholar]
- Chen, C.; Pang, Y.; Pan, X. Variation characteristics of water surplus and deficit of single-season rice in Sichuan Province under climate change. J. Nat. Resour. 2014, 29, 1508–1519, (In Chinese with English abstract). [Google Scholar]
- Chen, W.; Chen, L.; Sun, C.; Zheng, Z.; Li, X. Spatial distribution pattern of water requirement for main crops in the eastern Loess Plateau. Res. Soil Water Conserv. 2020, 27, 166–176, (In Chinese with English abstract). [Google Scholar]
- Dehghanisanij, H.; Emami, S.; Khasheisiuki, A. Functional properties of irrigated cotton under urban treated wastewater using an intelligent method. Appl. Water Sci. 2022, 12, 66. [Google Scholar] [CrossRef]
- Emami, H.; Emami, S.; Parsa, J. A Walnut optimization algorithm applied to discharge coefficient prediction on labyrinth weirs. Soft Comput. 2022, 26, 12197–12215. [Google Scholar] [CrossRef]
- Achite, M.; Emami, S.; Jehanzaib, M.; Katipoğlu, O.M.; Emami, H. An election algorithm combined with support vector regression for estimating hydrological drought. Model. Earth Syst. Environ. 2024, 10, 1395–1405. [Google Scholar] [CrossRef]
- Ma, L.; Hu, X.; Jiang, X.; Wang, W. Simulation and analysis of soil moisture at different growth stages of paddy fields based on HYDRUS. J. Drain. Irrig. Mach. Eng. 2022, 40, 729–736, (In Chinese with English abstract). [Google Scholar]
- Ministry of Water Resources, Department of Rural Water Resources. Practical Manual of Water-Saving Irrigation Engineering; China Water Power Press: Beijing, China, 2005. (In Chinese) [Google Scholar]
- Linsley, R.K.; Kohler, M.R. Predicting the runoff from storm rainfall. US Weather Res. Pap. 1951, 30. Available online: https://www.nrc.gov/docs/ML0819/ML081900279.pdf (accessed on 10 December 2025).
- Allen, R.G.; Pereira, L.S.; Raes, D.; Smith, M. Crop evapotranspiration—Guidelines for computing crop water requirements—FAO Irrigation and drainage paper 56. FAO Rome 1998, 300, D05109. [Google Scholar]
- Pisner, D.A.; Schnyer, D.M. Support vector machine. In Machine Learning; Academic Press: Cambridge, MA, USA, 2020; pp. 101–121. [Google Scholar]
- Tao, F.; Zhang, Z. Climate change, high-temperature stress, rice productivity, and water use in Eastern China: A new superensemble-based probabilistic projection. J. Appl. Meteorol. Climatol. 2013, 52, 531–551. [Google Scholar] [CrossRef]
- Barati, M.K.; Manivasagam, V.S.; Nikoo, M.R.; Saravanane, P.; Narayanan, A.; Manalil, S. Rainfall variability and rice sustainability: An evaluation study of two distinct rice-growing ecosystems. Land 2022, 11, 1242. [Google Scholar] [CrossRef]
- Dong, Q.; Wang, W.; Kunkel, K.E.; Shao, Q.; Xing, W.; Wei, J. Heterogeneous response of global precipitation concentration to global warming. Int. J. Climatol. 2021, 41, E2347–E2359. [Google Scholar] [CrossRef]
- Wei, K.; Jiao, Y.; Zhang, G.; Wang, Y.; Zhang, H. Influence of Spring Water Residence Time on the Irrigation Water Stability in the Hani Rice Terraces. Water 2024, 16, 804. [Google Scholar] [CrossRef]
- Belder, P.; Bouman, B.A.M.; Spiertz, J.H.J. Exploring options for water savings in lowland rice using a modelling approach. Agric. Syst. 2007, 92, 91–114. [Google Scholar] [CrossRef]
- Ekanayake, E.M.P.; Wickramasinghe, L.C.D.; Weliwatta, R.T. Use of regression techniques for rice yield estimation in the North-Western province of Sri Lanka. Ceylon J. Sci. 2021, 50, 4. [Google Scholar] [CrossRef]
- Ahmed, M.S.; Tazwar, M.T.; Khan, H.; Roy, S.; Iqbal, J.; Rabiul Alam, M.G.; Hassan, M.M. Yield Response of Different Rice Ecotypes to Meteorological, Agro-Chemical, and Soil Physiographic Factors for Interpretable Precision Agriculture Using Extreme Gradient Boosting and Support Vector Regression. Complexity 2022, 2022, 5305353. [Google Scholar] [CrossRef]
- El Hafyani, M.; El Himdi, K.; El Adlouni, S.E. Improving monthly precipitation prediction accuracy using machine learning models: A multi-view stacking learning technique. Front. Water 2024, 6, 1378598. [Google Scholar] [CrossRef]








| Date | Rainfall (mm) | Effective Precipitation (mm) | Effective Precipitation Utilization Coefficient |
|---|---|---|---|
| 22 July | 24 | 13.5 | 0.563 |
| 4 August | 139 | 106.5 | 0.766 |
| 12 August | 0.5 | 0.5 | 1 |
| 17 August | 48.5 | 36 | 0.742 |
| 18 August | 10.5 | 8 | 0.762 |
| 21 August | 11.5 | 5.5 | 0.478 |
| 25 August | 1 | 1 | 1 |
| 26 August | 10 | 7.5 | 0.75 |
| 7 September | 19.5 | 17 | 0.872 |
| 9 September | 2 | 2 | 1 |
| 17 September | 144 | 37 | 0.257 |
| 21 September | 8.5 | 6 | 0.706 |
| 22 September | 6.7 | 4.9 | 0.731 |
| 23 September | 3.5 | 0.5 | 0.143 |
| Total | 429.2 | 245.9 | 0.573 |
| Date | Rainfall (mm) | Effective Precipitation (mm) | Effective Precipitation Utilization Coefficient |
|---|---|---|---|
| 5 August | 54.5 | 14 | 0.257 |
| 9 August | 2 | 1 | 0.5 |
| 10 August | 75 | 71.5 | 0.953 |
| 11 August | 155.5 | 95.5 | 0.614 |
| 24 August | 4.5 | 1 | 0.222 |
| 26 August | 2 | 1 | 0.5 |
| 28 August | 11 | 3.5 | 0.318 |
| 30 August | 31.5 | 21 | 0.667 |
| 1 September | 9 | 6 | 0.667 |
| 22 September | 17 | 8.5 | 0.5 |
| 2 October | 89 | 67.4 | 0.757 |
| Total | 451 | 290.4 | 0.644 |
| Date | Rainfall (mm) | Effective Precipitation (mm) | Effective Precipitation Utilization Coefficient |
|---|---|---|---|
| 25 July | 2.5 | 1.9 | 0.76 |
| 27 July | 0.5 | 0.3 | 0.6 |
| 29 July | 9.5 | 1.6 | 0.168 |
| 5 August | 316.5 | 266.5 | 0.842 |
| 6 August | 21 | 0.5 | 0.024 |
| 28 August | 9.5 | 2.5 | 0.263 |
| 11 September | 53 | 40 | 0.755 |
| 17 September | 77 | 58 | 0.753 |
| 18 September | 42 | 36.5 | 0.869 |
| 19 September | 12 | 12 | 1 |
| 28 September | 14 | 9.5 | 0.679 |
| 16 October | 17 | 13.7 | 0.806 |
| 17 October | 5.5 | 0.5 | 0.091 |
| 2 November | 1.5 | 0.8 | 0.533 |
| Total | 581.5 | 444.3 | 0.764 |
| Date | Rainfall/mm | 7-Day API | Consecutive Dry Days | Extreme Rainfall Within 7 Days | Effective Precipitation/mm | Effective Precipitation Coefficient |
|---|---|---|---|---|---|---|
| 22 July 2018 | 24 | 0 | 14 | 0 | 13.5 | 0.563 |
| 04 Aug 2018 | 139 | 1.200 | 10 | 0 | 106.5 | 0.766 |
| 17 Aug 2018 | 48.5 | 11.081 | 3 | 0 | 36 | 0.742 |
| 18 Aug 2018 | 10.5 | 56.257 | 0 | 0 | 8 | 0.762 |
| 21 Aug 2018 | 11.5 | 15.330 | 3 | 0 | 5.5 | 0.478 |
| 25 Aug 2018 | 1 | 6.870 | 2 | 0 | 1 | 1 |
| 26 Aug 2018 | 10 | 4.944 | 3 | 0 | 7.5 | 0.75 |
| 07 Sep 2018 | 19.5 | 12.494 | 2 | 0 | 17 | 0.872 |
| 09 Sep 2018 | 2 | 26.901 | 0 | 0 | 2 | 1 |
| 21 Sep 2018 | 8.5 | 71.442 | 2 | 0 | 6 | 0.706 |
| 22 Sep 2018 | 6.7 | 58.509 | 0 | 0 | 4.9 | 0.731 |
| 23 Sep 2018 | 3.5 | 47.656 | 0 | 0 | 0.5 | 0.143 |
| 05 Aug 2019 | 54.5 | 5 | 0 | 0 | 14 | 0.257 |
| 09 Aug 2019 | 2 | 19.894 | 3 | 0 | 1 | 0.5 |
| 10 Aug 2019 | 75 | 15.925 | 4 | 0 | 71.5 | 0.953 |
| 11 Aug 2019 | 155.5 | 86.148 | 0 | 0 | 95.5 | 0.614 |
| 24 Aug 2019 | 4.5 | 0 | 9 | 0 | 1 | 0.222 |
| 26 Aug 2019 | 2 | 3.15 | 1 | 0 | 1 | 0.5 |
| 28 Aug 2019 | 11 | 2.943 | 3 | 0 | 3.5 | 0.318 |
| 30 Aug 2019 | 31.5 | 16.142 | 0 | 0 | 21 | 0.667 |
| 01 Sep 2019 | 9 | 42.799 | 0 | 0 | 6 | 0.667 |
| 22 Sep 2019 | 17 | 0 | 14 | 0 | 8.5 | 0.5 |
| 02 Oct 2019 | 89 | 0 | 11 | 0 | 67.4 | 0.757 |
| 25 Jul 2020 | 2.5 | 22.857 | 0 | 0 | 1.9 | 0.76 |
| 27 Jul 2020 | 0.5 | 12.950 | 2 | 0 | 0.3 | 0.6 |
| 29 Jul 2020 | 9.5 | 6.489 | 4 | 0 | 1.6 | 0.168 |
| 06 Aug 2020 | 21 | 316.5 | 0 | 1 | 0.5 | 0.024 |
| 28 Aug 2020 | 9.5 | 0 | 16 | 0 | 2.5 | 0.263 |
| 11 Sep 2020 | 53 | 0 | 7 | 0 | 40 | 0.755 |
| 17 Sep 2020 | 77 | 24.203 | 0 | 0 | 58 | 0.753 |
| 18 Sep 2020 | 42 | 93.942 | 0 | 0 | 36.5 | 0.869 |
| 19 Sep 2020 | 12 | 103.394 | 0 | 0 | 12 | 1 |
| 28 Sep 2020 | 14 | 0.838 | 8 | 0 | 9.5 | 0.679 |
| 16 Oct 2020 | 17 | 0 | 17 | 0 | 13.7 | 0.806 |
| 17 Oct 2020 | 5.5 | 17 | 0 | 0 | 0.5 | 0.091 |
| 02 Nov 2020 | 1.5 | 0 | 15 | 0 | 0.8 | 0.533 |
Disclaimer/Publisher’s Note: The statements, opinions and data contained in all publications are solely those of the individual author(s) and contributor(s) and not of MDPI and/or the editor(s). MDPI and/or the editor(s) disclaim responsibility for any injury to people or property resulting from any ideas, methods, instructions or products referred to in the content. |
© 2025 by the authors. Licensee MDPI, Basel, Switzerland. This article is an open access article distributed under the terms and conditions of the Creative Commons Attribution (CC BY) license (https://creativecommons.org/licenses/by/4.0/).
Share and Cite
Fang, H.; Weng, Z.; Hu, M.; Feng, X.; Liu, Q. Rainfall Characteristics and Effective Precipitation Analysis of Rice Growth Period in Typical Areas in East China. Water 2025, 17, 3542. https://doi.org/10.3390/w17243542
Fang H, Weng Z, Hu M, Feng X, Liu Q. Rainfall Characteristics and Effective Precipitation Analysis of Rice Growth Period in Typical Areas in East China. Water. 2025; 17(24):3542. https://doi.org/10.3390/w17243542
Chicago/Turabian StyleFang, Haifei, Zhan Weng, Miao Hu, Xingya Feng, and Qiang Liu. 2025. "Rainfall Characteristics and Effective Precipitation Analysis of Rice Growth Period in Typical Areas in East China" Water 17, no. 24: 3542. https://doi.org/10.3390/w17243542
APA StyleFang, H., Weng, Z., Hu, M., Feng, X., & Liu, Q. (2025). Rainfall Characteristics and Effective Precipitation Analysis of Rice Growth Period in Typical Areas in East China. Water, 17(24), 3542. https://doi.org/10.3390/w17243542

