Preparation of Sulfhydryl Functionalized MCM-48 and Its Adsorption Performance for Cr(VI) in Water
Abstract
1. Introduction
2. Materials and Methods
2.1. Experimental Raw Materials
2.2. Preparation of the Adsorption Materials
2.3. Adsorption Experiment
2.4. Detection and Analysis Methods
3. Results and Discussion
3.1. MCM-48-SH Characterization and Analysis of Materials
3.1.1. Scanning Electron Microscope (SEM) Characterization Analysis
3.1.2. X-ray Diffraction (XRD) Characterization Analysis
3.1.3. Brunauer–Emmett–Teller (BET) Characterization Analysis
3.1.4. Fourier Transform Infrared Spectroscopy (FTIR) Characterization Analysis
3.2. Adsorption of Cr(VI) by MCM-48-SH
3.2.1. Comparison of the Maximum Adsorption Capacity of Several Mesoporous Materials
3.2.2. Adsorption Isotherm
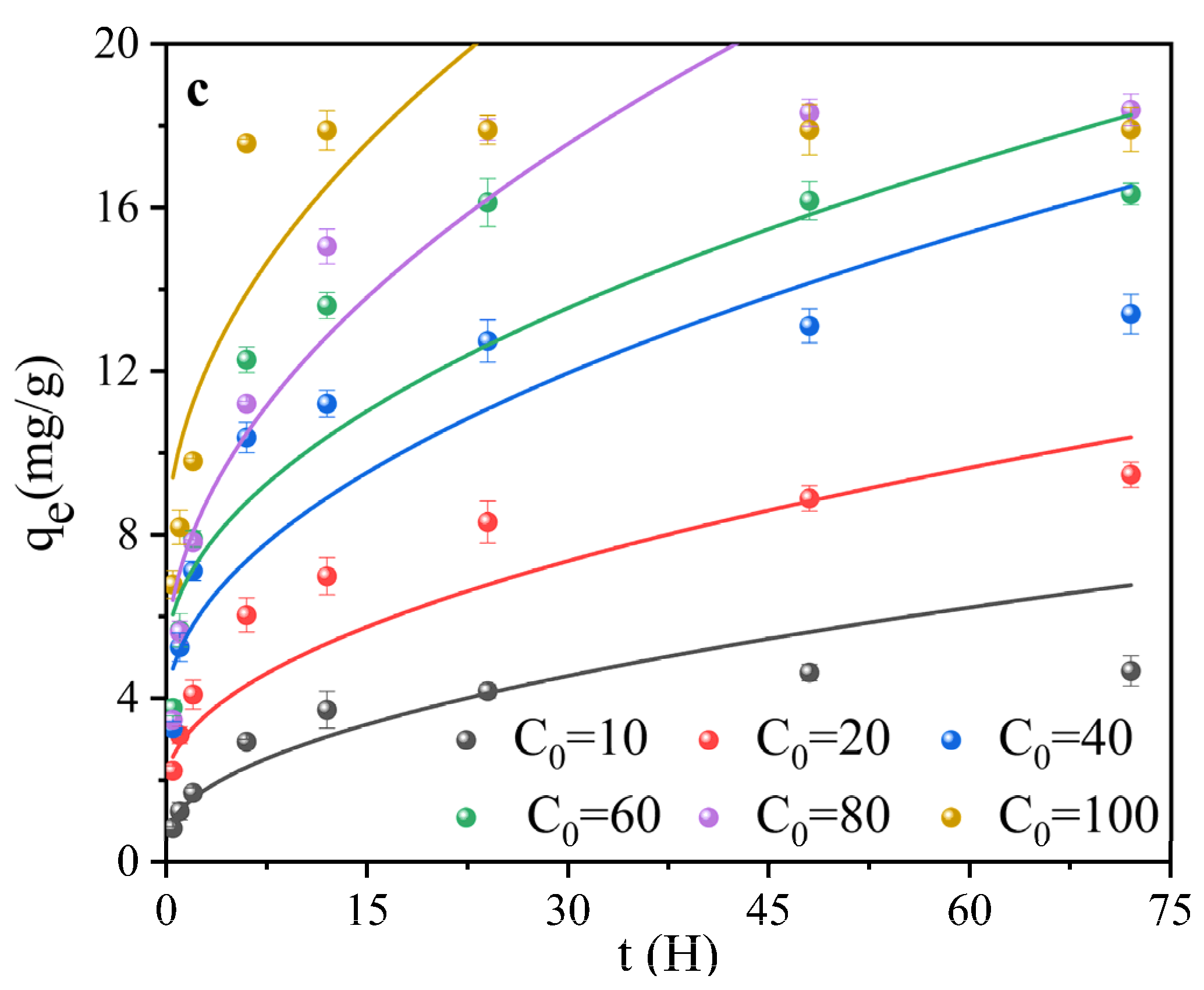
3.2.3. Adsorption Kinetics
3.2.4. Influence of the pH Value on the Adsorption Effect
3.2.5. Influence of the Coexisting Ions in the Wastewater on the Adsorption Effect
3.2.6. Adsorption Comparison between the Traditional Adsorbent and MCM-48-SH
4. Conclusion
- (1)
- A modified mesoporous nanomaterial (MCM-48-SH) was prepared in this experiment. Through a series of characterization analyses, such as SEM, BET, XRD, and FTIR, it was found that MCM-48-SH was a standard mesoporous material with an average diameter of 2.5 μm and an average pore diameter of 4 nm. The introduction of -SH groups reduced the ordering of the materials;
- (2)
- The optimal adsorption concentration of MCM-48-SH for Cr(VI) was 80 mg/L and the optimum pH value was 2. The metal cations in the solution had little effect on adsorption, while the anions did reduce the adsorption capacity, among which SO42− had the most obvious influence;
- (3)
- The adsorption of Cr(VI) by MCM-48-SH accorded with the Langmuir isothermal adsorption model and pseudo-second-order dynamic model. Experimental data showed that the maximum adsorption capacity reached 17.9 mg/g and the removal rate reached 93.45%. MCM-48-SH showed a typical mesoporous structure, grafted sulfhydryl groups, and good dispersibility in water, which caused it to have good adsorption properties. It was shown to be a high-efficiency adsorbent for removing Cr(VI) from wastewater;
- (4)
- Compared to CAC and BTT, MCM-48-SH showed better adsorption of Cr2O72−. Therefore, MCM-48-SH showed better adsorption of Cr(VI) at pH < 4 and CAC showed better adsorption of Cr(VI) at pH > 4. In subsequent studies, it is hoped that more efficient adsorption of Cr(VI) can be achieved by optimizing the adsorbent material or adjusting the pH of the agent.
Supplementary Materials
Author Contributions
Funding
Institutional Review Board Statement
Data Availability Statement
Conflicts of Interest
References
- Mahringer, D.; Zerelli, S.S.; Dippon, U.; Ruhl, A.S. Pilot scale hexavalent chromium removal with reduction, coagulation, filtration and biological iron oxidation. Sep. Purif. Technol. 2020, 253, 8. [Google Scholar] [CrossRef]
- Saha, R.; Nandi, R.; Saha, B. Sources and toxicity of hexavalent chromium. J. Coord. Chem. 2011, 64, 1782–1806. [Google Scholar] [CrossRef]
- WHO Organization. Guidelines for Drinking-Water Quality-Fourth Edition Incorporating the First Addendum. 2017. Available online: https://www.who.int/publications/i/item/9789241549950 (accessed on 9 November 2022).
- China, M.o.E.a.E.o. List of toxic and harmful water pollutants (first batch). 2019. Available online: https://www.mee.gov.cn/xxgk2018/xxgk/xxgk01/201907/t20190729_712633.html (accessed on 9 November 2022).
- Abdel Wahaab, R.; Alseroury, F.A. Wastewater treatment: A case study of electronics manufacturing industry. Int. J. Environ. Sci. Technol. 2018, 16, 47–58. [Google Scholar] [CrossRef]
- Chabaane, L.; Tahiri, S.; Albizane, A.; Krati, M.E.; Cervera, M.L.; de la Guardia, M. Immobilization of vegetable tannins on tannery chrome shavings and their use for the removal of hexavalent chromium from contaminated water. Chem. Eng. J. 2011, 174, 310–317. [Google Scholar] [CrossRef]
- Shaw, L.; Shaw, D.; Hardisty, M.; Britz-McKibbin, P.; Verma, D.K. Relationships between inhalable and total hexavalent chromium exposures in steel passivation, welding and electroplating operations of Ontario. Int. J. Hyg. Environ. Health. 2020, 230, 6. [Google Scholar] [CrossRef]
- Gu, F.; Zhang, Y.; Su, Z.; Tu, Y.; Liu, S.; Jiang, T. Recovery of chromium from chromium-bearing slags produced in the stainless-steel smelting: A review. J. Clean. Prod. 2021, 296, 126467. [Google Scholar] [CrossRef]
- Sharma, S.K.; Petrusevski, B.; Amy, G. Chromium removal from water: A review. J. Water Supply Res. Technol.-Aqua 2008, 57, 541–553. [Google Scholar] [CrossRef]
- Yusaf, A.; Usman, M.; Mansha, A.; Saeed, M.; Ahmad, M.; Siddiq, M. Micellar-enhanced ultrafiltration (MEUF) for removal of rhodamine B (RhB) from aqueous system. J. Dispers. Sci. Technol. 2022, 43, 336–348. [Google Scholar] [CrossRef]
- Yusaf, A.; Usman, M.; Ibrahim, M.; Mansha, A.; Haq, A.U.; Rehman, H.F.; Ali, M. Mixed micellar solubilization for procion blue MxR entrapment and optimization of necessary parameters for micellar enhanced ultrafiltration. Chemosphere 2022, 313, 137320. [Google Scholar] [CrossRef]
- Shah, B.A.; Patel, A.V.; Bagia, M.I.; Oluyinka, O.A. Removal of Cr(VI) from aqueous solutions using EDCC-MCM-41: Isotherm, kinetics and thermodynamic evaluation. J. Dispers. Sci. Technol. 2019, 40, 1827–1841. [Google Scholar] [CrossRef]
- Shimizu, S.; Matubayasi, N. Fluctuation adsorption theory: Quantifying adsorbate-adsorbate interaction and interfacial phase transition from an isotherm. Phys. Chem. Chem. Phys. 2020, 22, 28304–28316. [Google Scholar] [CrossRef] [PubMed]
- Zhang, P.; Cai, Y.; Zhang, L.J.; Mao, Y.T.; Xiang, M.X.; Zhu, Z.B.; Zou, Y.Q. Superior selective removal of lead via sulfate doped flower like layered double oxide: An example of high value-added utilization of organic waste. J. Clean. Prod. 2021, 307, 10. [Google Scholar] [CrossRef]
- Pakade, V.E.; Tavengwa, N.T.; Madikizela, L.M. Recent advances in hexavalent chromium removal from aqueous solutions by adsorptive methods. RSC Adv. 2019, 9, 26142–26164. [Google Scholar] [CrossRef]
- Zito, P.; Shipley, H.J. Inorganic nano-adsorbents for the removal of heavy metals and arsenic: A review. RSC Adv. 2015, 5, 29885–29907. [Google Scholar] [CrossRef]
- Fuchigami, T.; Kawamura, R.; Kitamoto, Y.; Nakagawa, M.; Namiki, Y. Ferromagnetic FePt-nanoparticles/polycation hybrid capsules designed for a magnetically guided drug delivery system. Langmuir 2011, 27, 2923–2928. [Google Scholar] [CrossRef] [PubMed]
- Jiang, Y.J.; Meng, L.Q.; Mu, X.D.; Li, X.T.; Wang, H.S.; Chen, X.F.; Wang, X.C.; Wang, W.; Wu, F.; Wang, X.Y. Effective TiO2 hybrid heterostructure fabricated on nano mesoporous phenolic resol for visible-light photocatalysis. J. Mater. Chem. 2012, 22, 23642–23649. [Google Scholar] [CrossRef]
- Xue, R.; Guo, H.; Yue, L.G.; Wang, T.; Wang, M.Y.; Li, Q.; Liu, H.; Yang, W. Preparation and energy storage application of a long-life and high rate performance pseudocapacitive COF material linked with -NH- bonds. New J. Chem. 2018, 42, 13726–13731. [Google Scholar] [CrossRef]
- Zhai, Q.Z.; Li, X.D. Immobilization and sustained release of cefalexin on MCF nano-mesoporous material. J. Dispers. Sci. Technol. 2019, 40, 1675–1685. [Google Scholar] [CrossRef]
- Zhai, Q.Z. Use of SBA-15 ordered nano mesoporous silica for removal of copper(II) from aqueous media: Studies on equilibrium, isotherm, kinetics and thermodynamics. J. Environ. Chem. Eng. 2019, 7, 9. [Google Scholar] [CrossRef]
- Yusaf, A.; Usman, M.; Mansha, A.; Siddiq, M.; Amjad, Z.; Irshad, S.; Sultana, H. Self-organised surfactant assemblies as nanostructured dye carriers: A mixed micellar comparative approach for enhanced dye solubilisation. Int. J. Environ. Anal. Chem. 2022, 1–12. [Google Scholar] [CrossRef]
- Xu, J.; Cao, Z.; Zhang, Y.L.; Yuan, Z.L.; Lou, Z.M.; Xu, X.H.; Wang, X.K. A review of functionalized carbon nanotubes and graphene for heavy metal adsorption from water: Preparation, application, and mechanism. Chemosphere 2018, 195, 351–364. [Google Scholar] [CrossRef] [PubMed]
- Weng, C.; Wang, J.; Huang, C. Adsorption of Cr (VI) onto TiO2 from dilute aqueous solutions. Water Sci. Technol. 1997, 35, 55–62. [Google Scholar] [CrossRef]
- Ding, Y.D.; Ma, L.J.; Yang, X.Q.; Zhu, X.; Wang, H.; Cheng, M.; Liao, Q. Anhydrous multi-hybrid absorbent with low viscosity and high regeneration efficiency for post-combustion CO2 capture. Energy 2023, 263, 125742. [Google Scholar] [CrossRef]
- Periyasamy, S.; Gopalakannan, V.; Viswanathan, N. Fabrication of magnetic particles imprinted cellulose based biocomposites for chromium(VI) removal. Carbohydr. Polym. 2017, 174, 352–359. [Google Scholar] [CrossRef]
- Zhao, W.; Hao, Z.P.; Hu, C. Synthesis of Nanosize mesoporous MCM-48 material. J. Nanosci. Nanotechnol. 2005, 5, 1752–1754. [Google Scholar] [CrossRef]
- Nayab, S.; Farrukh, A.; Oluz, Z.; Tuncel, E.; Tariq, S.R.; Rahrnan, H.U.; Kirchhoff, K.; Duran, H.; Yameen, B. Design and Fabrication of Branched Polyamine Functionalized Mesoporous Silica: An Efficient Absorbent for Water Remediation. ACS Appl. Mater. Interfaces 2014, 6, 4408–4417. [Google Scholar] [CrossRef]
- Bala, T.; Prasad, B.L.V.; Sastry, M.; Kahaly, M.U.; Waghmare, U.V. Interaction of different metal ions with carboxylic acid group: A quantitative study. J. Phys. Chem. A 2007, 111, 6183–6190. [Google Scholar] [CrossRef]
- Gunathilake, C.; Kadanapitiye, M.S.; Dudarko, O.; Huang, S.D.; Jaroniec, M. Adsorption of Lead Ions from Aqueous Phase on Mesoporous Silica with P-Containing Pendant Groups. ACS Appl. Mater. Interfaces 2015, 7, 23144–23152. [Google Scholar] [CrossRef] [PubMed]
- Zhang, P.; Wang, Y.L.; Zhang, D.X. Removal of Nd(III), Sr(II) and Rb(I) Ions from Aqueous Solution by Thiacalixarene-Functionalized Graphene Oxide Composite as an Adsorbent. J. Chem. Eng. Data 2016, 61, 3679–3691. [Google Scholar] [CrossRef]
- Alsbaiee, A.; Smith, B.J.; Xiao, L.L.; Ling, Y.H.; Helbling, D.E.; Dichtel, W.R. Rapid removal of organic micropollutants from water by a porous beta-cyclodextrin polymer. Nature 2016, 529, 190–194. [Google Scholar] [CrossRef]
- Delacote, C.; Gaslain, F.O.M.; Lebeau, B.; Walcarius, A. Factors affecting the reactivity of thiol-functionalized mesoporous silica adsorbents toward mercury(II). Talanta 2009, 79, 877–886. [Google Scholar] [CrossRef] [PubMed]
- Cheng, D.; Shao, A.; Du, C.; Du, Q.; Huang, Z.; Dai, J. Adsorption of Zn(Ⅱ)by sulfhydryl modified rice husk carbon. J. Nanjing Agric. Univ. 2019, 42, 308–315. [Google Scholar]
- Anbia, M.; Kargosha, K.; Khoshbooei, S. Heavy metal ions removal from aqueous media by modified magnetic mesoporous silica MCM-48. Chem. Eng. Res. Des. 2015, 93, 779–788. [Google Scholar] [CrossRef]
- Marjanovic, V.M.; Lazarevic, S.S.; Jankovic-Castvan, I.M.; Jokic, B.M.; Bjelajac, A.Z.; Janackovic, D.T.; Petrovic, R.D. Functionalization of thermo-acid activated sepiolite by amine-silane and mercapto-silane for chromium(VI) adsorption from aqueous solutions. Hem. Ind. 2013, 67, 715–728. [Google Scholar] [CrossRef]
- Bao, S.Y.; Wang, Y.J.; Wei, Z.S.; Yang, W.W.; Yu, Y.S.; Sun, Y.Y. Amino-assisted AHMT anchored on graphene oxide as high performance adsorbent for efficient removal of Cr(VI) and Hg(II) from aqueous solutions under wide pH range. J. Hazard. Mater. 2021, 416, 125825. [Google Scholar] [CrossRef]
- Ntuli, T.D.; Pakade, V.E. Hexavalent chromium removal by polyacrylic acid-grafted Macadamia nutshell powder through adsorption–reduction mechanism: Adsorption isotherms, kinetics and thermodynamics. Chem. Eng. Commun. 2019, 207, 279–294. [Google Scholar] [CrossRef]
- Sarojini, G.; Venkatesh Babu, S.; Rajamohan, N.; Senthil Kumar, P.; Rajasimman, M. Surface modified polymer-magnetic-algae nanocomposite for the removal of chromium- equilibrium and mechanism studies. Environ. Res. 2021, 201, 111626. [Google Scholar] [CrossRef]
- Su, J.; Hao, H.; Lv, X.; Jin, X.; Yang, Q. Properties and mechanism of hexavalent chromium removal by FeS@ graphite carbon nitride nanocomposites. Colloids Surf. A Physicochem. Eng. Asp. 2020, 597, 124751. [Google Scholar] [CrossRef]
- Wang, H.; Cui, H.; Song, X.; Xu, R.; Wei, N.; Tian, J.; Niu, H. Facile synthesis of heterojunction of MXenes/TiO2 nanoparticles towards enhanced hexavalent chromium removal. J Colloid Interface Sci. 2020, 561, 46–57. [Google Scholar] [CrossRef]
- Zhu, S.H.; Wang, S.; Yang, X.; Tufail, S.; Chen, C.; Wang, X.; Shang, J. Green sustainable and highly efficient hematite nanoparticles modified biochar-clay granular composite for Cr(VI) removal and related mechanism. J. Clean. Prod. 2020, 276, 123009. [Google Scholar] [CrossRef]
- Zhang, K.; Yuan, E.H.; Xu, L.L.; Xue, Q.S.; Luo, C.; Albela, B.; Bonneviot, L. Preparation of High-Quality MCM-48 Mesoporous Silica and the Mode of Action of the Template. Eur. J. Inorg. Chem. 2012, 2012, 4183–4189. [Google Scholar] [CrossRef]
- Han, Y.; Chen, J.J.; Gu, X.X.; Chen, J.R. Adsorption of multi-bivalent heavy metal ions in aqueous solution onto aminopropyl-functionalized MCM-48 preparation by co-condensation. Sep. Sci. Technol. 2021, 56, 1819–1829. [Google Scholar] [CrossRef]
- Yusaf, A.; Usman, M.; Siddiq, M.; Bakhtiar, M.; Mansha, A.; Shaukat, S.; Rehman, H.F. Mixed Micellar Solubilization of Naphthol Green B Followed by Its Removal from Synthetic Effluent by Micellar-Enhanced Ultrafiltration under Optimized Conditions. Molecules 2022, 27, 6436. [Google Scholar] [CrossRef]
- Nowruzi, R.; Heydari, M.; Javanbakht, V. Synthesis of a chitosan/polyvinyl alcohol/activate carbon biocomposite for removal of hexavalent chromium from aqueous solution. Int. J. Biol. Macromol. 2020, 147, 209–216. [Google Scholar] [CrossRef]
- Schutz, T.; Dolinska, S.; Hudec, P.; Mockovciakova, A.; Znamenackova, I. Cadmium adsorption on manganese modified bentonite and bentonite-quartz sand blend. Int. J. Miner. Process. 2016, 150, 32–38. [Google Scholar] [CrossRef]
- Wang, J.L.; Guo, X. Adsorption isotherm models: Classification, physical meaning, application and solving method. Chemosphere 2020, 258, 25. [Google Scholar] [CrossRef]
- Russo, V.; Trifuoggi, M.; Di Serio, M.; Tesser, R. Fluid-Solid Adsorption in Batch and Continuous Processing: A Review and Insights into Modeling. Chem. Eng. Technol. 2017, 40, 799–820. [Google Scholar] [CrossRef]
- Mitra, S.; Chakraborty, S.; Mukherjee, S.; Sau, A.; Das, S.; Chakraborty, B.; Mitra, S.; Adak, S.; Goswami, A.; Hessel, V. A comparative study on the modulatory role of mesoporous silica nanoparticles MCM 41 and MCM 48 on growth and metabolism of dicot Vigna radiata. Plant Physiol. Biochem. 2022, 187, 25–36. [Google Scholar] [CrossRef] [PubMed]
- Jiang, Y.L.; Abukhadra, M.R.; Refay, N.M.; Sharaf, M.F.; El-Meligy, M.A.; Awwad, E.M. Synthesis of chitosan/MCM-48 and beta-cyclodextrin/MCM-48 composites as bio-adsorbents for environmental removal of Cd2+ ions; kinetic and equilibrium studies. React. Funct. Polym. 2020, 154, 104675. [Google Scholar] [CrossRef]
- Dutta, D.; Roy, S.K.; Talukdar, A.K. Effective removal of Cr(VI) from aqueous solution by diamino-functionalised mesoporous MCM-48 and selective oxidation of cyclohexene and ethylbenzene over the Cr containing spent adsorbent. J. Environ. Chem. Eng. 2017, 5, 4707–4715. [Google Scholar] [CrossRef]
- Schlogl, R. X-ray Diffraction: A Basic Tool for Characterization of Solid Catalysts in the Working State. In Advances in Catalysis; Gates, B.C., Knozinger, H., Eds.; Elsevier Academic Press Inc: San Diego, CA, USA, 2009; Volume 52, pp. 273–338. [Google Scholar]
- Melendez-Ortiz, H.I.; Puente-Urbina, B.; Ibarra-Vallejo, E.; Garcia-Uriostegui, L.; Ortega, A. Polyacrylamide-coated MCM-48 mesoporous silica spheres: Synthesis, characterization and drug delivery study. J. Porous Mat. 2018, 25, 649–656. [Google Scholar] [CrossRef]
- Foo, K.Y.; Hameed, B.H. Insights into the modeling of adsorption isotherm systems. Chem. Eng. J. 2010, 156, 2–10. [Google Scholar] [CrossRef]
- Jossens, L.; Prausnitz, J.; Fritz, W.; Schlünder, E.; Myers, A. Thermodynamics of multi-solute adsorption from dilute aqueous solutions. Chem. Eng. Sci. 1978, 33, 1097–1106. [Google Scholar] [CrossRef]
- Karaca, H.; Altintig, E.; Turker, D.; Teker, M. An evaluation of coal fly ash as an adsorbent for the removal of methylene blue from aqueous solutions: Kinetic and thermodynamic studies. J. Dispers. Sci. Technol. 2018, 39, 1800–1807. [Google Scholar] [CrossRef]
- Hosseini, S.M.S.; Falamaki, C. An efficient algorithm for modeling the thermodynamics of multi-solute adsorption from liquids. Fluid Phase Equilib. 2015, 390, 34–41. [Google Scholar] [CrossRef]
- Lei, C.; Wang, C.W.; Chen, W.Q.; He, M.H.; Huang, B.B. Polyaniline@magnetic chitosan nanomaterials for highly ef ficient simultaneous adsorption and in -situ chemical reduction of hexavalent chromium: Removal ef ficacy and mechanisms. Sci. Total Environ. 2020, 733, 139316. [Google Scholar] [CrossRef] [PubMed]
- Abbas, M.; Kaddour, S.; Trari, M. Kinetic and equilibrium studies of cobalt adsorption on apricot stone activated carbon. J. Ind. Eng. Chem. 2014, 20, 745–751. [Google Scholar] [CrossRef]
- Sang, P.L.; Wang, Y.Y.; Zhang, L.Y.; Chai, L.Y.; Wang, H.Y. Effective adsorption of sulfate ions with poly(m-phenylenediamine) in aqueous solution and its adsorption mechanism. Trans. Nonferrous Met. Soc. China 2013, 23, 243–252. [Google Scholar] [CrossRef]
- Asimakopoulos, G.; Baikousi, M.; Salmas, C.; Bourlinos, A.B.; Zboril, R.; Karakassides, M.A. Advanced Cr(VI) sorption properties of activated carbon produced via pyrolysis of the "Posidonia oceanica" seagrass. J. Hazard. Mater. 2021, 405, 124274. [Google Scholar] [CrossRef]
- Suganya, E.; Saranya, N.; Sivaprakasam, S.; Varghese, L.A.; Narayanasamy, S. Experimentation on raw and phosphoric acid activated Eucalyptuscamadulensis seeds as novel biosorbents for hexavalent chromium removal from simulated and electroplating effluents. Environ. Technol. Innov. 2020, 19, 100977. [Google Scholar] [CrossRef]
- Ganji, R.; Peyravi, M.; Khalili, S.; Jahanshahi, M. Bilayer adsorptive ceramic membranes supported cage-like mesoporous silica for hexavalent chromium removal: Experimental and DFT studies. Process Saf. Environ. Prot. 2020, 143, 45–54. [Google Scholar] [CrossRef]
- Huang, J.; Shi, B.; Han, W.; Qiu, S.; Li, H.; Hou, P.; Wu, W.; Tang, J. Effect of pH on hexavalent chromium removal driven by henna (Lawsonia inermis) fermentation. Biochem. Eng. J. 2021, 167, 107919. [Google Scholar] [CrossRef]
- Rambabu, K.; Bharath, G.; Banat, F.; Show, P.L. Biosorption performance of date palm empty fruit bunch wastes for toxic hexavalent chromium removal. Environ. Res. 2020, 187, 11. [Google Scholar] [CrossRef] [PubMed]
- Wang, G.; Gao, G.; Yang, S.; Wang, Z.; Jin, P.; Wei, J. Magnetic mesoporous carbon nanospheres from renewable plant phenol for efficient hexavalent chromium removal. Microporous Mesoporous Mater. 2021, 310, 110623. [Google Scholar] [CrossRef]
- Dehghani, M.H.; Taher, M.M.; Bajpai, A.K.; Heibati, B.; Tyagi, I.; Asif, M.; Agarwal, S.; Gupta, V.K. Removal of noxious Cr (VI) ions using single-walled carbon nanotubes and multi-walled carbon nanotubes. Chem. Eng. J. 2015, 279, 344–352. [Google Scholar] [CrossRef]
- Dehghani, M.H.; Sanaei, D.; Ali, I.; Bhatnagar, A. Removal of chromium(VI) from aqueous solution using treated waste newspaper as a low-cost adsorbent: Kinetic modeling and isotherm studies. J. Mol. Liq. 2016, 215, 671–679. [Google Scholar] [CrossRef]
- Prajapati, A.K.; Mondal, M.K. Green synthesis of Fe3O4-onion peel biochar nanocomposites for adsorption of Cr(VI), methylene blue and congo red dye from aqueous solutions. J. Mol. Liq. 2022, 349, 118161. [Google Scholar] [CrossRef]
- Wang, C.; Xiong, C.; He, Y.L.; Yang, C.; Li, X.T.; Zheng, J.Z.; Wang, S.X. Facile preparation of magnetic Zr-MOF for adsorption of Pb(II) and Cr(VI) from water: Adsorption characteristics and mechanisms. Chem. Eng. J. 2021, 415, 128923. [Google Scholar] [CrossRef]
- Abilio, T.E.; Soares, B.C.; Jose, J.C.; Milani, P.A.; Labuto, G.; Carrilho, E. Hexavalent chromium removal from water: Adsorption properties of in natura and magnetic nanomodified sugarcane bagasse. Environ. Sci. Pollut. Res. Int. 2021, 28, 24816–24829. [Google Scholar] [CrossRef]
- Wang, Z.C.; Zhang, L.Y.; Fang, P.F.; Wang, L.; Wang, W.W. Study on Simultaneous Removal of Dye and Heavy Metal Ions by NiAl-Layered Double Hydroxide Films. ACS Omega 2020, 5, 21805–21814. [Google Scholar] [CrossRef]
- Murakami, K.; Hori, K.; Maeda, K.; Fukuyama, M.; Yoshida, Y. Distribution and Adsorption of Ionic Species into a Liposome Membrane and Their Dependence upon the Species and Concentration of a Coexisting Counterion. Langmuir 2016, 32, 10678–10684. [Google Scholar] [CrossRef] [PubMed]
- Kosmulski, M. pH-dependent surface charging and points of zero charge III. Update. J. Colloid Interface Sci. 2006, 298, 730–741. [Google Scholar] [CrossRef] [PubMed]
- Warwick, C.; Guerreiro, A.; Soares, A. Sensing and analysis of soluble phosphates in environmental samples: A review. Biosens. Bioelectron. 2013, 41, 1–11. [Google Scholar] [CrossRef] [PubMed]
- Wang, L.; Wang, J.; Wang, Z.; He, C.; Lyu, W.; Yan, W.; Yang, L. Enhanced antimonate (Sb(V)) removal from aqueous solution by La-doped magnetic biochars. Chem. Eng. J. 2018, 354, 623–632. [Google Scholar] [CrossRef]













| Material | Specific Surface Area (m2/g) | Mean Pore Size (nm) | Average Pore Volume (cm3/g) |
|---|---|---|---|
| MCM-48 | 951.493 | 5.167 | 0.746 |
| MCM-48-SH | 596.396 | 4.003 | 0623 |
| MCM-48-NH2 | 348.296 | 2.295 | 0.669 |
| Material | Langmuir | Freundlich | ||||
|---|---|---|---|---|---|---|
| qmax(mg/g) | KL | R2 | 1/n | KF | R2 | |
| MCM-48 | 4.13 | 0.094 | 0.992 | 0.108 | 0.254 | 0.896 |
| MCM-48-SH MCM-48-NH2 | 18.3 0.506 | 0.101 0.078 | 0.938 0.948 | 0.067 0.094 | 0.970 0.332 | 0.774 0.934 |
| C0 (mg/L) | Pseudo-First-Order Dynamics Model | Pseudo-Second-Order Dynamics Model | Intraparticle Diffusion Model | ||||
|---|---|---|---|---|---|---|---|
| K1 (×10−2) | R2 | K2 (×10−3) | R2 | Kp | C | R2 | |
| 10 | 2.11 | 0.954 | 1.13 | 0.973 | 0.738 | 0.506 | 0.847 |
| 20 | 3.11 | 0.872 | 1.28 | 0.929 | 1.00 | 1.86 | 0.923 |
| 40 | 4.53 | 0.938 | 4.28 | 0.966 | 1.52 | 3.65 | 0.747 |
| 60 | 3.59 | 0.942 | 3.81 | 0.969 | 1.57 | 4.95 | 0.758 |
| 80 | 2.27 | 0.930 | 1.37 | 0.957 | 2.34 | 4.75 | 0.818 |
| 100 | 5.49 | 0.927 | 2.24 | 0.963 | 2.58 | 7.58 | 0.414 |
Disclaimer/Publisher’s Note: The statements, opinions and data contained in all publications are solely those of the individual author(s) and contributor(s) and not of MDPI and/or the editor(s). MDPI and/or the editor(s) disclaim responsibility for any injury to people or property resulting from any ideas, methods, instructions or products referred to in the content. |
© 2023 by the authors. Licensee MDPI, Basel, Switzerland. This article is an open access article distributed under the terms and conditions of the Creative Commons Attribution (CC BY) license (https://creativecommons.org/licenses/by/4.0/).
Share and Cite
Li, H.; Wang, S.; Li, R.; Zhang, Y.; Wang, H. Preparation of Sulfhydryl Functionalized MCM-48 and Its Adsorption Performance for Cr(VI) in Water. Water 2023, 15, 524. https://doi.org/10.3390/w15030524
Li H, Wang S, Li R, Zhang Y, Wang H. Preparation of Sulfhydryl Functionalized MCM-48 and Its Adsorption Performance for Cr(VI) in Water. Water. 2023; 15(3):524. https://doi.org/10.3390/w15030524
Chicago/Turabian StyleLi, Heng, Shijing Wang, Ranran Li, Yan Zhang, and Hao Wang. 2023. "Preparation of Sulfhydryl Functionalized MCM-48 and Its Adsorption Performance for Cr(VI) in Water" Water 15, no. 3: 524. https://doi.org/10.3390/w15030524
APA StyleLi, H., Wang, S., Li, R., Zhang, Y., & Wang, H. (2023). Preparation of Sulfhydryl Functionalized MCM-48 and Its Adsorption Performance for Cr(VI) in Water. Water, 15(3), 524. https://doi.org/10.3390/w15030524

