Abstract
To investigate the effects of rapid urbanization on water pollution, the water quality, daily unit area pollutant load, water quality score, and real-time water quality index for the Jinwi River watershed were assessed. The contribution of known pollution sources was identified using multivariate statistical analysis and absolute principal component score-multiple linear regression. The water quality data were collected during the dry and wet seasons to compare the pollution characteristics with varying precipitation levels and flow rates. The highest level of urbanization is present in the upstream areas of the Hwangguji and Osan Streams. Most of the water quality parameter values were the highest in the downstream areas after the polluted rivers merged. The results showed a dilution effect with a lower pollution level in the wet season. Conversely, the daily unit area pollutant load was higher in the rainy season, indicating that the pollutants increased as the flow rate increased. A cluster analysis identified that the downstream water quality parameters are quite different from the upstream values. Upstream is an urban area with relatively high organic matter and nutrient loads. The upstream sewage treatment facilities were the main pollution sources. This study provides basic data for policymakers in urban water quality management.
1. Introduction
Excessive concentrations of biological nutrients and hazardous chemicals in water bodies result in a variety of problems, including shortages of safe drinking water, toxic algal blooms, oxygen loss, and biodiversity loss. Due to the water pollution caused by these agents in rivers, the health of the aquatic community in the river basin deteriorates and the species composition changes. Considering that water quality management in polluted watersheds is expensive as polluted water cannot be cleaned up easily, it is more cost-effective to prevent contamination instead [1,2,3,4].
Rivers and streams form a natural drain between the watershed and the sea and serve as a network for transporting natural substances as well as anthropogenic pollutants [5]. Various human activities within the watershed have contributed to various types of water pollution [6,7,8]. In urban areas, residential expansion stemming from higher population densities and the creation of large-scale industrial complexes due to industrial development are considered the main causes of pollution [9]. Furthermore, as impermeable urban areas increase, more pollutants flow into rivers from point and nonpoint pollution sources, and biodiversity also declines [10,11].
Urbanization contributes to drastic changes in river flow characteristics, affecting the fate and transport of pollutants. In general, the pollutants discharged into rivers accumulate in the riverbed with the sediment. During the dry season, when the precipitation and water levels are low, river pollution is aggravated by pollutants accumulating in the riverbed [9]. In the wet season, the increased precipitation leads to higher water levels; the concentration of pollutants may be lower due to the dilution effect, but, conversely, the water quality may be further deteriorated due to the additional pollutants from pollution sources [1,12,13].
In South Korea, industrialization began rapidly in the 1960s with the population concentrated in metropolitan areas, which led to urbanization [14]. The upstream areas of the Hwangguji and Osan Streams (the streams of the Jinwi River watershed) are the most urbanized areas in the Jinwi River watershed, which belongs to the Han River Basin, the largest in South Korea [15]. The upstream area of the Jinwi River is located in the mountains and is relatively clean. Conversely, the upstream areas of the Hwangguji and Osan Streams are located in the city center and are polluted by sewage and wastewater [15,16,17,18,19,20]. On the other hand, downstream of the Hwangguji and Osan Streams is mainly agricultural land. However, the Hwangguji and Osan Stream are polluted beyond their self-purification capacities, causing deteriorated water quality in the downstream Jinwi River [16,20,21].
The Ministry of Environment has been operating the Total Pollution Load Management System (TPLMS) since 2009 to improve the water quality in the downstream area of the Jinwi River. The TPLMS is a system that reduces the total pollutants discharged within the watershed to below the permissible limit. As for the Jinwi River watershed, the target water quality for BOD5 at the endpoint of the watershed is 6.6 ppm. In addition, water quality changes are monitored by determining the allotted quota of pollutants for eight cities covering the Jinwi River watershed and assessing designated sites on the river as it passes through the local government boundaries [17].
The aim of this study is to assess the water quality and source contribution using variable statistical techniques in the Jinwi River watershed from 2013 to 2019. The specific objectives of this study were to (1) analyze the water quality with fluctuating flow rates and pollution sources, (2) calculate the water quality score via river water quality criteria and pollutant load (3) calculate and compare the water quality indices using various factors affecting water quality, (4) identify cluster sites with similar characteristics via multivariate statistical analysis and determine the main influencing factors, and (5) estimate the pollution contribution rates through absolute principal component score-multiple linear regression (APCS-MLR) analysis. This study will provide policymakers with statistical techniques to identify the current status of water pollution stemming from urbanization.
2. Materials and Methods
2.1. Study Area Description
The Jinwi River watershed is close to Seoul, the capital of South Korea, and is in the southern section of the metropolitan area (Figure 1). The total area of the watershed is 734.28 km2, and there are eight cities within the watershed. The cities within the watershed include Suwon (121.0 km2) and Osan (42.7 km2). The flow rate measurements and water quality sampling were collected from the boundary points of each city, which are provided in Table S1. The Jinwi River watershed samples were mainly collected from the Jinwi River (J-1, J-2, J-3, J-A), the Osan Stream (O-1, O-2, O-3), and the Hwangguji Stream (H-1, H-2, H-3, H-4, H-5). Samples were also collected from the tributaries, Seongeun Stream (S-T) and Gwanri Stream (G-T) (Figure 1).
Figure 1.
Location of the Jinwi River watershed with the monitoring sites in the study area.
The areas that were urbanized from the 1980s to the 2010s are illustrated in Figure S1a. In the Jinwi River watershed, most of the areas from upstream to midstream of the Hwangguji and Osan Streams were urbanized [22]. In this period, new towns were developed and large-scale residential complexes were created, as shown in Figure S1b. The population rapidly increased from 202,040 (in 1970) to 2,517,832 (in 2018) inhabitants [23]. The land use patterns in the watershed composed of: forest area covering 243.6 km2 (33%), the residential area was 213.2 km2 (29%), upland and paddy field accounted for 185.1 km2 (25%), and other uses, including roads and rivers covers 92.1 km2 (13%) [24]. As illustrated in Figure S2a, in 2017, the impermeable area of the watershed was 181.86 km2, accounting for 24.77% of the total watershed area [24]. The pollution sources affecting the water quality of the watershed included wastewater from industrial complexes, drainage water from livestock breeding facilities, sewage, and waste treatment, which are located on the map [25] (Figure S2b).
2.2. Data Collection and Pre-Processing
The flow rate measurement and water quality sampling were performed, on average, every eight days. The river and stream flow data followed the measurement guidelines with hydrological observation manual. An Acoustic Doppler Velocimeter (ADV) and Acoustic Doppler Current Profiler (ADCP) were used to assess the site conditions, water depth, and flow velocity [26,27]. All samples were collected with a grab sampler in the middle of the river using a boat, washed with deionized water, and placed into flushed sterile vials. The water quality parameters (water temperature, pH, EC, and DO) were measured and recorded on-site, immediately after sample collection. The collected samples were maintained below 4 °C as they were transferred to the laboratory. The samples were used for the biochemical oxygen demand (BOD), chemical oxygen demand (COD), suspended solids (SS), total nitrogen (T-N), total phosphorus (T-P), total organic carbon (TOC), and chlorophyll-a (Chl-a) analyses. Detailed information on the analytical methods is provided in Table S2. The sample preservation and analyses methods conformed with the water pollution standard method of the Ministry of Environment [28]. The monthly precipitation and monthly average temperature data were obtained from the Suwon Meteorological Observatory provided by the Korea Meteorological Administration [29].
2.3. Estimation of Daily Unit Area Pollutant Load
Daily unit area pollutant load directly affects water quality and identifies the potential water pollution [30]. Efficient water quality management requires the following quantifications: an estimation of the discharge load flowing into the river from pollution sources in the corresponding watershed, and the behavioral identification of the daily pollutant load reaching the end of the drainage area. Accordingly, the daily pollutant load was calculated using the simultaneously collected flow rates and water quality data from the sites in the Jinwi River watershed (Equation (1)).
Daily pollutant load (kg/day) = Flow (m3/s) × Water Quality (mg/L) × 86.4
The daily pollutant load does not identify pollutants generated or discharged from unspecified places, such as roads, farmland, mountain areas, and naturally generated pollutants. Therefore, the environmental characteristics of the watershed involving the daily unit area pollutant load (which is the daily pollutant load per unit area) were calculated to confirm the level of pollution load corresponding with the watershed area. As the value of the daily unit area pollutant load was higher, it was interpreted that the water pollution level at each corresponding site was higher [30].
2.4. Grade Classification of Water Quality
2.4.1. Water Quality Score
Calculation of the water quality score is a method of determining the water quality quantitative indicators to classify and rank the river pollution levels and the pollution characteristics. The use of consistent calculation criteria allows sites to be easily compared. Therefore, water quality scoring has been used extensively in water quality research [2,31,32,33]. The water quality score is estimated using the following parameters: BOD, COD, T-P, and TOC. The score of each parameter is calculated following the methodology of the river living environment standard by the Ministry of Environment [34]. Furthermore, the load densities of the parameters used for scoring are divided into six parts (5, 10, 25, 50, 75, 90%) using a box diagram for each parameter (Table S3). The scores were the sum of the calculations based on the score criteria for each parameter. The level of river pollution was graded according to the score. The highest score represents the most severe water pollution of the corresponding site.
2.4.2. Real-Time Water Quality Index (RTWQI)
The water quality index is calculated by synthesizing the water quality index data and converting them into single indices. The index enables a comprehensive evaluation of water quality and determines relative pollution levels. The calculation methodology followed the Canadian Water Quality Index (CWQI). This methodology is widely used in general water quality comparison studies because it comprehensively evaluates water quality to determine the relative pollution levels [35,36,37,38,39,40,41]. CWQI was developed by the Canadian Council Ministers of the Environment (CCME) and is the most widely used method worldwide. RTWQI is a modified version of CWQI to account for the conditions in South Korea [8,36,37,38,42,43,44,45,46]. In RTWQI, there are eight water quality parameters and water quality ranges in accordance with the Korean environmental standards (Table S4). Conversely, CWQI defined the number of water quality parameters (a minimum of four) and the number of measurements (over four replicates), but there are no set criteria for the specific water quality parameters and the exact number of samples. In other words, there might be subjective calculation results depending on the number of water quality parameters tested and the application patterns. RTWQI is divided into five categories within the index range, and the definition of the water quality status by grade is summarized in Table S4. The closer the index is to 100, the better water quality is, and the lower the score is, the higher the pollution level (Table S4).
2.5. Multivariate Statistical Analysis
The measurement unit for each water quality parameter is different. Therefore, data were standardized to improve the explanatory power of the statistical analysis results by reducing the corresponding errors. Standardization involves changing the data values to dimensionless data with the mean value of 0 and the standard deviation value of 1; this altered value is called the standard score (Z-Score) [47,48]. Flow rate and water quality data were converted to Z-Scores before analyzing the correlation analysis, cluster analysis, and factor analysis. The correlations were used to estimate the Pearson’s coefficient (r).
The cluster analysis, hierarchical clustering, and Euclidean distance calculation methods were carried out. A factor analysis was performed on the clusters with similar water quality and flow characteristics (as identified in the cluster analysis), and the pollution sources of the main factor were categorized. Prior to the cluster analysis, the Kaiser–Mayer–Olkin (KMO) test and Bartlett’s test were performed. The KMO was 0.5 or more, and the significance level (p) of Bartlett’s test was 0.05 or less, confirming that it was statistically significant and suitable for factor analysis [49]. Principal component analysis applied followed the factor extraction method, and the varimax rotation used the factor rotation method. The factor extraction criterion required an eigenvalue of 1 or more, and the analysis results with the largest total cumulative values were selected to reflect various pollution sources.
The multiple linear regression analysis was based on the results of factor analysis in a multiple linear regression analysis using APCS-MLR. The contribution rates of each water quality parameter at each pollution source were calculated. The research estimates of the contribution rates of each water quality and air pollution source were calculated using APCS-MLR. The selection methods of the independent variables included forward selection, backward elimination, and the stepwise method. The variables were selected using a stepwise method to determine the entry and exit of the variables using the level of significance for each phase [50]. Each APCS value was calculated by utilizing an unstandardized coefficient (B) with the contribution rates of the unidentified sources from other causes, other than the pollution sources identified by the factor analysis [51,52]. All statistical analyses were performed using the SPSS statistical package program version 22.0 (SPSS Inc, Chicago, IL, USA).
3. Results and Discussion
3.1. Variations of Climate and Water Quality
South Korea experiences its highest precipitation levels in the summer, especially in July (Figure S3a). The average monthly precipitation in the Jinwi River watershed from 2013 to 2019 reached 330.2 mm in July, followed by 184.0 mm in August, and 91.4 mm in September. The average monthly precipitation in the dry season of April, May, and June was 75.5, 89.7, and 58.4 mm, respectively. The fluctuations in the flow rates and water quality parameters, such as BOD, TOC, and T-N, were compared with time-series graphs at the sites of H-5, O-3, and J-A, which were located at the ends of the Hwangguji Stream, Osan Stream, and Jinwi River (Figure S3b–d). The BOD, TOC, and T-N showed a pattern of the concentrations temporarily decreasing when the flow rates increased due to increased precipitation [1,30,53]. As the flow rate decreased, the concentrations of BOD, TOC, and T-N increased again. The period from April to June was defined as the dry season, and the period from July to September was defined as the wet season. Using these set periods, we attempted to identify any changes in the flow rates, water quality, and the characteristics of the pollution sources with the season.
Table S5 summarizes the average values and distribution of each water quality parameter and the flow rate in the dry and wet seasons. The average water temperature and flow rate at all the sites increased during the wet season due to seasonal influences. In particular, the average flow rate at the J-A site (the end of the Jinwi River) showed the highest increase, from 21.623 to 38.207 m3/s. The concentration of most water quality parameters, such as EC, BOD, COD, SS, T-N, T-P, TOC, and Chl-a, decreased due to the dilution effect by precipitation in the wet season, whereas the parameter concentrations occasionally increased in the season. The average concentration of the SS increased during the wet season in the Osan Stream (O-1, O-2, O-3), upstream of the Hwangguji Stream (H-1, H-2), and downstream and in the tributary of the Jinwi River (J-3, J-A, G-T). It was assumed that increases in the flow rate contributed to the inflow of materials from surface runoff [30,54,55]. The average concentration of the T-P also increased during the wet season in the sites upstream of the Hwangguji Stream (H-1, H-2) and in the downstream tributaries of the Jinwi River (G-T). The H-2 showed the highest average SS value in both the dry and the wet seasons (30.3 mg/L in the dry season and 35.3 mg/L in the wet season). During the wet season, the COD recorded the highest average value of 19.3 mg/L, and the TOC peaked at 7.4 mg/L. Previous reports state the water quality at H-2 fluctuates depending on whether the floodgate is open or closed during the dry seasons, releasing the effluent from the Wangsong Reservoir [20]. The average value of the Chl-a was the highest at the J-A site (at the end of the Jinwi River), which was 81.5 mg/m3 during the dry season and 55.1 mg/m3 during the wet season. The effects of the various pollution sources were observed at the target sites and corresponded with the geographic distribution and precipitation. Similar trends have been observed in other countries [1,5,9,53,54].
3.2. Pollutant Load Estimation
To confirm the level of the pollution load at each site in the watershed area, the daily unit area pollutant load of the BOD, COD, T-N, T-P, and TOC were calculated (Figure 2). The load densities of BOD, COD, and TOC were the highest at J-A (the end of the watershed). The T-N and T-P were highest at the H-4 site of the Hwangguji Stream. The J-A site had the highest values of BOD, COD, and TOC.
Figure 2.
Daily unit area pollutant load at each site during (a) dry season and (b) wet season.
The water quality was lower in the wet season than in the dry season, but the load density increased in the wet season due to the flow rate increase, which leads to a higher total amount of pollutants [30]. In terms of the Osan Stream, O-3 (at the end of the Osan Stream) had the highest load density when compared to the upstream sites. In summary, based on the load densities, the downstream pollution level was higher than upstream, and the pollution level in the wet season was higher than the dry season. These results support previous research on urban rivers and streams in other countries [56,57].
3.3. Grade Classification Results
The water quality score of each site was within the ranges of 27 to 95 in the dry season and 24 to 92 in the wet season. The Jinwi River and Osan Stream increased in their pollution levels from upstream to downstream. On the other hand, the Hwangguji Stream had a higher pollution level at H-4 rather than H-5 (the end of the stream). This is considered to be due to the influx of pollution sources associated with ongoing urbanization, as demonstrated in other countries, such as China [2,9,53,58]. In general, the pollution level increased slightly during the dry season, and the pollution index between the dry and wet seasons showed a high correlation (Figure 3).
Figure 3.
Results of the water quality scores during the dry and wet seasons.
The RTWQI calculated the water quality index by evaluating various influencing factors on water quality (including the water temperature and EC), rather than the water quality score. The scores were classified into five grades and are displayed on the map (Figure 4). The RTWQI ranged from 51 to 93 in the dry season, and 53 to 93 in the wet season. The majority of the upstream sites (H-2, O-2, J-2, and S-T) had a higher water quality score during the wet season when compared to the dry season. This result indicates lower pollution levels, mainly due to the dilution effect of wet season rainfall. However, at the G-T site (which is on a stream flowing into the downstream Jinwi River), the average SS and T-P values were higher in the wet season than in the dry season (Table S5), and the TOC temporarily increased in the rainy season, causing many outliers in our data. Therefore, G-T experienced an increase in the SS and T-P, which was introduced from non-point source pollution, or from local runoff, rather than from the dilution effects from an increase in the flow rate during the rainy season.
Figure 4.
Results of the RTWQI during the dry (a) and wet season (b).
3.4. Identification of Potential Pollution Sources
3.4.1. Correlation Analysis
The Pearson correlation coefficients showed significant positive correlations between the DO and pH, COD and BOD, EC and T-N, TOC and BOD, and TOC and COD. The correlations were consistent in both the dry and wet seasons (Table 1). The correlation coefficients between the COD, BOD, and TOC showed the strongest correlations, ranging from 0.843 to 0.871 in the dry season and from 0.791 to 0.831 in the wet season. Therefore, the highest pollution effects were due to the inflow of organic pollutants within the watershed. In the dry season, the correlation coefficients between the T-P and T-N (r = 0.609) and T-P and BOD (r = 0.661) were significant. These correlations were stronger during the dry season than during the wet season, and this difference is considered to be attributable to the lower precipitation and flow rates. On the other hand, the rainy season presented high correlation coefficients between the Chl-a and pH (r = 0.630) and Chl-a and COD (r = 0.656). Therefore, the higher temperature during the wet summer season may have contributed to increased phytoplankton, resulting in an increase of the pH value [30,59].
Table 1.
Pearson’s correlation coefficients for the different water quality parameters in the dry and wet seasons.
3.4.2. Cluster Analysis
Cluster analyses were performed using the data on the water quality and flow rate in the dry and wet seasons. The resulting clusters formed based on the same sites in both seasons (Figure 5). Seasonal effects were analyzed in various ways; however, there were no obvious seasonal impacts. Cluster one consisted of sites H-3, H-4, and H-5 (located in the middle and downstream in the Hwangguji Stream) and the sites of J-3 and J-A (located downstream in the Jinwi River). Most of these sites were located adjacent to agricultural land. The cluster two sites were located in the most urbanized areas with densely populated residential and industrial facilities, and included the sites of O-1, O-2, O-3, H-1, and G-T. Cluster three was based on J-1, J-2, and S-T (upstream in the Jinwi River). Unlike other sites, the sites in cluster three were not in an urban area and thus maintained a higher water quality. Cluster four consisted of H-2, which was affected by effluent from the Wangsong Reservoir. H-2 was located approximately 80 m downstream from the sluice gate of the reservoir. The sluice gate is closed during the dry season, allowing more algae and organic pollutants to grow in the reservoir, making the environment vulnerable to pollution [20,60].
Figure 5.
Dendrogram of the 14 monitoring sites using hierarchical cluster analysis.
3.4.3. Principal Component Analysis
The main pollution factors impacting the clustering pattern were classified using a principal component analysis for each grouped cluster (Table 2). Cluster one consisted of four influential factors in the dry and wet seasons. Organic pollutants were the main influencing pollutants in cluster one. The TOC, BOD, and COD were common in VF1 in the dry and wet seasons. VF2 included the pH, DO, and Chl-a during both the dry and wet seasons. The increases in the pH and DO with the proliferation of phytoplankton were considerable. The flow rate and EC were included in VF3 in both the dry and wet seasons. The increase in the flow rate caused the dilution effect, resulting in less EC. The water temperature influenced VF4, which varied with the seasons.
Table 2.
Loadings of twelve variables on VARIMAX rotated factors in the dry and wet seasons.
In cluster two, the COD, TOC, and BOD corresponded to VF1 in both seasons. The effects of increased BOD and COD may be due to inflows of effluent from sewage treatment facilities. Cluster two was the most urbanized area with the highest population density and land cover (Figures S1 and S2). Therefore, the results suggest the major organic pollutants were mainly introduced through effluents from sewage treatment and industrial facilities. In VF2, the water temperature and DO show seasonal effects. During the wet season, the pH, T-N, and EC results indicated an inflow of nutrients in the effluent from sewage treatment facilities, along with an impact from the higher EC. In VF3, the SS was classified as an influencing factor in both seasons. In particular, the flow rate was an influencing factor in the wet season; the suspended solids were easily introduced from the surface due to increased flow rates.
In cluster three, the pollution was triggered by agricultural activities. In VF1, the COD and BOD were the common major influencing factors in both seasons. The T-P and SS also influenced the water quality in the dry season and the TOC in the wet season. The T-P and SS may have increased due to land reclamation and fertilization in the dry season as these peak values correspond with the seasonal farming activities. The TOC increased due to the inflow of organic pollutants in the wet season. In VF2, the DO, pH, and Chl-a were the main influencing factors in the dry season, impacting the proliferation of phytoplankton. The T-P, SS, and T-N were identified as the main factors in the wet season, indicating that the runoff of nutrients and surface suspended matter from farmland was the pollution source.
Cluster four had a complex array of pollutants, such as nutrients, organic pollutants, and surface suspended matter, in both seasons. In VF1, the T-P, TOC, SS, BOD, and COD were identified as the common major factors in both the dry and wet seasons. In particular, VF1 in the dry season included the Chl-a as a major factor; therefore, it can be inferred that it was a relatively high-temperature environment with a low flow rate suitable for phytoplankton growth. In short, the effluent flow during the dry season confined the river water within the reservoir for a long period, causing complex pollution increases [20,61].
3.5. Source Apportionment Using APCS-MLR
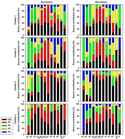
The multiple regression analysis was used to calculate the pollution contribution rate for each factor within each cluster (Figure 6). First, VF1 of cluster 2 was the TOC, BOD, and COD in the dry and wet seasons and comprised drainage water from large-scale residential complexes and industrial and sewage treatment facilities. The contribution rates were 83.0, 42.6, and 62.7% in the dry season, and 66.2, 47.8, and 50.0% in the wet season, respectively. VF2 was the water temperature and DO in the dry season and the pH, T-N, and EC in the wet season and comprised the seasonal effect and effluent from sewage treatment facilities. The contribution rates were 82.2 and 85.1% in the dry season, and 62.7, 44.1, and 43.7% in the wet season, respectively.
Figure 6.
Source contribution (%) for each variable in cluster 1, 2, 3, and 4 in the dry and wet seasons (VF: rotated components using varimax method).
Second, VF1 of cluster 1 was the TOC, BOD, and COD in the dry and wet seasons and also comprised effluent from the sewage treatment facilities. The contribution rates were 59.1, 48.8, and 47.9% in the dry season, and 48.2, 47.1, and 47.7% in the wet season, respectively. VF2 was the pH, DO, and Chl-a in both the dry and wet seasons and included the proliferation of phytoplankton. The contribution rates were 55.1, 41.0, and 47.0% in the dry season, and 71.4, 54.6, and 77.9% in the wet season, respectively. VF3 was the EC and discharge in the dry season, and was the EC, T-N, SS, and discharge in the wet season and was impacted by the dilution effect from the increase in flow rate, resulting in less EC. The contribution rates were 37.6 and 49.0% in the dry season, and 43.6, 31.1, 40.9, and 45.4% in the wet season, respectively.
Third, VF1 of cluster 3 was the BOD, COD, SS, and T-P in the dry season and BOD, COD, and TOC was the wet season. The contribution rates were 19.1, 19.2, 12.9, and 18.2% in the dry season, and 17.8, 17.5, and 15.7% in the wet season, respectively. VF2 was the DO, pH, and Chl-a in the dry season, and T-N, T-P, and SS in the wet season. The contribution rates were 54.6, 44.6, and 13.4% in the dry season, and 11.1, 15.0, and 29.6% in the wet season, respectively. The unidentified sources (UIS) of the BOD, COD, TOC, T-N, and T-P were 62.0–85.9% in the dry season and 68.8–82.2% in the wet season. These UIS contribution rates were higher than the VFs, which was due to pollutants from varied and complex sources, such as agricultural activities (the compost and fertilization by farmers) [62].
Finally, VF1 of cluster 4 was the DO, pH, BOD, COD, TOC, T-P, SS, and Chl-a in the dry season, and BOD, COD, TOC, T-P, and SS in the wet season and included complex pollutants in the reservoir. The ranges of the contribution rates were 20.9–64.5% in the dry season and 14.6–45.3% in the wet season. VF2 was the WT, EC, and T-N in the dry season and DO, pH, and Chl-a in the wet season and was impacted by the seasonal effect and proliferation of phytoplankton. The contribution rates were 54.7, 7.4, and 25.1% in the dry season, and 28.1, 32.4, and 44.5% in the wet season, respectively. The UIS ranges of the EC, BOD, COD, T-N, T-P, and discharge were 42.3–96.7% in the dry season and 38.5–94.6% in the wet season. The UIS contribution rates were higher than the VFs, which means that the effluent flow during the dry season confined the river water within the reservoir for a long period, causing complex pollution increases [62,63]. The unidentified pollution sources have not been identified in the factor analysis, suggesting there may be other major pollution sources. Therefore, it is important to investigate the pollution sources by a comprehensive field research program in the future [52,64,65,66,67].
4. Conclusions
This study applied various methods (water quality score, RTWQI calculation, multivariate statistical analysis, and source contribution calculations) to compare pollution levels within the rivers and the pollution source characteristics in the dry and wet seasons in the Jinwi River watershed. The ranges and average values for each water quality parameter in the dry and wet seasons were relatively higher in the dry season. The water quality score and RTWQI results also demonstrated the water quality improved in the wet season when compared to the dry season. The water quality was improved because of the dilution effect of the pollutants caused by an increase in the flow rate in the wet season. However, the calculation of the water quality score based on the daily unit area pollutant load showed that the water quality in the wet season deteriorated compared to that in the dry season. This is because the daily unit area pollutant load calculation was based on the total flow rate and pollutants per watershed area; thus, the total pollutants increased with the increased flow rate during the wet season. Therefore, the research results can vary depending on the comparison criteria, especially if the analysis is based on the water quality concentration or the total volume of pollutants. Therefore, it is important to compare and analyze water quality characteristics using various methods to accurately determine the water quality.
The cluster analysis using the dataset of water quality characteristics and flow rate fluctuations in the Jinwi River watershed formed a total of four clusters. These clusters were: the area adjacent to large-scale sewage treatment facilities and large-scale residential and industrial facilities (cluster two); the area downstream of cluster two, where the polluted river and stream waters join (cluster one); the area with clean water quality (cluster three); and the area affected by reservoir effluent (cluster four). The analysis of the pollution contribution rate using the APCS-MLR revealed clusters one and two showed the highest pollution contribution rate of organic matter and nutrients in the effluent from sewage treatment facilities in both the dry and wet seasons. On the other hand, cluster three’s pollution contribution rate by the TOC was high only in the dry season, which corresponds to the busy farming season, and there were no other pollution sources. Cluster four had the highest contribution rate of an unidentified source (UIS) from unknown origins. An increase in the level of complex pollution entered the river from the stream and reservoir. It is important to conduct additional field research to identify the inflow route of unknown pollution sources and causes of any unclear fluctuations. The results of this study provide useful reference data for water quality management in urbanized areas.
Supplementary Materials
The following are available online at https://www.mdpi.com/article/10.3390/w13212976/s1, Figure S1: Urbanized area (1980s–2010s) (a) and population change (b) in the Jinwi River watershed [1,2]; Figure S2: Impervious cover rate (a) and locations of pollution sources (b) in the Jinwi River watershed [1,3]; Figure S3: Monthly precipitation and air temperature data from (a) Suwon weather station, and changes of water quality concentration and discharge at (b) H-5, (c) O-3 and (d) J-A, Table S1: List of monitoring site in the Jinwi River watershed and their characteristics, Table S2: Information of analytical methods and instrument, Table S3: Water quality parameters and scores, Table S4: Information of water quality index, Table S5: Seven-year average value in the dry season and the wet season on monitoring site.
Author Contributions
Conceptualization, H.C., Y.-C.C., Y.-S.K. and J.-K.I.; methodology, H.C.; software, H.C.; validation, H.C., Y.-C.C. and J.-K.I.; formal analysis, H.C. and Y.-C.C.; investigation, Y.-S.K., J.-K.I. and S.-H.K.; resources, S.-H.K.; data curation, H.C.; writing—original draft preparation, H.C. and J.-K.I.; writing—review and editing, H.C., Y.-C.C., S.-H.K., S.-J.Y. and Y.-S.K.; visualization, H.C. and J.-K.I.; supervision, S.-J.Y.; project administration, S.-H.K.; funding acquisition, S.-J.Y. All authors have read and agreed to the published version of the manuscript.
Funding
This research was supported by the National Institute of Environmental Research (NIER) (grant number NIER-2021-01-01-134), funded by the Ministry of Environment (MOE) of the Republic of Korea.
Institutional Review Board Statement
Not applicable.
Informed Consent Statement
Not applicable.
Data Availability Statement
Not applicable.
Conflicts of Interest
The authors declare no conflict of interest.
References
- Ouyang, Y.; Nkedi-Kizza, P.; Wu, Q.; Shinde, D.; Huang, C. Assessment of seasonal variations in surface water quality. Water Res. 2006, 40, 3800–3810. [Google Scholar] [CrossRef]
- Wang, J.; Da, L.; Song, K.; Li, B.-L. Temporal variations of surface water quality in urban, suburban and rural areas during rapid urbanization in Shanghai, China. Environ. Pollut. 2008, 152, 387–393. [Google Scholar] [CrossRef] [PubMed]
- Arabi, M.; Govindaraju, R.S.; Hantush, M.M. Cost-effective allocation of watershed management practices using a genetic algorithm. Water Resour. Res. 2006, 42, W10429. [Google Scholar] [CrossRef] [Green Version]
- Johnson, E.L. A study in the economics of water quality management. Water Resour. Res. 1967, 3, 291–305. [Google Scholar] [CrossRef]
- Glińska-Lewczuk, K.; Gołaś, I.; Koc, J.; Gotkowska-Płachta, A.; Harnisz, M.; Rochwerger, A. The impact of urban areas on the water quality gradient along a lowland river. Environ. Monit. Assess. 2016, 188, 624. [Google Scholar] [CrossRef]
- Ouyang, T.; Zhu, Z.; Kuang, Y. Assessing Impact of Urbanization on River Water Quality in the Pearl River Delta Economic Zone, China. Environ. Monit. Assess. 2006, 120, 313–325. [Google Scholar] [CrossRef]
- Najapour, S.; Alkarkhi, A.F.M.; Kadir, M.O.A.; Najapour, G.D. Evaluation of spatial and temporal variation in river water quality. Int. J. Environ. Res. 2008, 2, 349–358. [Google Scholar]
- Bilgin, A. Evaluation of surface water quality by using Canadian Council of Ministers of the Environment Water Quality Index (CCME WQI) method and discriminant analysis method: A case study Coruh River Basin. Environ. Monit. Assess. 2018, 190, 554. [Google Scholar] [CrossRef]
- Chang, F.-J.; Tsai, Y.-H.; Chen, P.-A.; Coynel, A.; Vachaud, G. Modeling water quality in an urban river using hydrological factors—Data driven approaches. J. Environ. Manag. 2015, 151, 87–96. [Google Scholar] [CrossRef]
- Spänhoff, B.; Bischof, R.; Böhme, A.; Lorenz, S.; Neumeister, K.; Nöthlich, A.; Küsel, K. Assessing the Impact of Effluents from a Modern Wastewater Treatment Plant on Breakdown of Coarse Particulate Organic Matter and Benthic Macroinvertebrates in a Lowland River. Water Air Soil Pollut. 2007, 180, 119–129. [Google Scholar] [CrossRef]
- Xiao, R.; Wang, G.; Zhang, Q.; Zhang, Z. Multi-scale analysis of relationship between landscape pattern and urban river water quality in different seasons. Sci. Rep. 2016, 6, 25250. [Google Scholar] [CrossRef] [Green Version]
- Lee, H.S.; Hur, J.; Jeong, S.A.; Hwang, S.J.; Shin, J.K. Spatial characterization of water pollution in the urban stream watershed (Gap stream), Korea. J. Korean Soc. Water Environ. 2006, 22, 943–951. [Google Scholar]
- Ko, C.H.; Chang, F.C.; Lee, T.M.; Chen, P.Y.; Chen, H.H.; Hsieh, H.L.; Guan, C.Y. Impact of flood damage on pollutant removal efficiencies of a subtropical urban constructed wetland. Sci. Total Environ. 2010, 408, 4328–4333. [Google Scholar] [CrossRef] [PubMed]
- Seo, K.W.; Bae, D.H.; Shim, J.H.; Lee, J.J. A study on the variation of runoff and travel time in urban stream due to watershed development. Korea Water Resour. Assoc. 1996, 29, 207–216. [Google Scholar]
- Ministry of Land, Infrastructure, and Transport (MOLIT). River Master Plan Report on Jinwi River Basin (including Jinwi Stream, Hwangguji Stream and Osan Stream (National Stream); Ministry of Land, Infrastructure, and Transport: Seoul, Korea, 2014; p. 691. [Google Scholar]
- Korea Environment Institute (KEI). Study Report of Eco-Friendly Coexisting Development on Jinwi Stream Basin; Korea Environment Institute: Yeongi-gun, Korea, 2009; p. 369. [Google Scholar]
- Ahn, K.-H.; Ryu, D.-H.; Kim, Y.-S.; Han, M.-D.; Yu, J.-C. A Study on the implementation of TPLMS (Total Pollution Load Management System) for Jinwi watershed. Korea Water Resour. Assoc. 2014, 47, 40–44. [Google Scholar]
- Han River Basin Environmental Office (HRBEO). Water Environment Management Plan on the Mid-Sized Basin of Anseong Stream (2014~2015); Han River Basin Environmental Office: Seoul, Korea, 2014; p. 514. [Google Scholar]
- Kyounggi-do Institute of Health and Environment (KIHE). Current Status of Water Pollution and Improvement on Jinwi Stream; Kyounggi-do Institute of Health and Environment: Suwon, Korea, 2001; p. 154. [Google Scholar]
- Cho, Y.-C.; Choi, J.-W.; Noh, C.; Kwon, P.-S.; Kim, S.-H.; Yu, S. Evaluation of discharge-water quality characteristics and river grade classification of Jinwi River unit Basin. J. Environ. Impact Assess. 2018, 27, 704–716. [Google Scholar]
- National Institute of Environmental Research (NIER). A Survey on Water Quality and Flow for Total Maximum Daily Loads Management in Jinwi Stream Basin in 2019; National Institute of Environmental Research: Incheon, Korea, 2020; p. 254. [Google Scholar]
- Ministry of Environment (MOE). Environmental Geographic Information Service (EGIS). Available online: http://www.egis.me.go.kr (accessed on 2 July 2021).
- Han River Flood Control Office (HRFCO). Water Resources Management Information System (WAMIS). Population in the Standard Catchment. Available online: http://www.wamis.go.kr (accessed on 15 May 2021).
- National Institute of Environmental Research (NIER). A Study on the Establishment of Medium- and Long-Term Management Objectives for Hydrologic Cycle (II)—Han River and Other River Subbasins; National Institute of Environmental Research: Incheon, Korea, 2019; p. 453. [Google Scholar]
- Ministry of Environment (MOE). 2019 Statistics of Sewerage; Ministry of Environment: Sejong, Korea, 2020; p. 3133. [Google Scholar]
- Ministry of Land, Infrastructure and Transport (MOLIT). Manual for Hydrological Monitoring; Minister of Land, Infrastructure and Transport: Gwacheon, Korea, 2004; p. 35. [Google Scholar]
- Ministry of Science & Technology (MOST). Guideline for River Discharge Measurement (Technical Report); Sustainable Water Resources Research Center (SWRRC): Goyang-si, Korea, 2004; p. 84. [Google Scholar]
- Ministry of Environment (MOE). Official Testing Method with Respect to Water Pollution Process; National Institute of Environmental Research (NIER): Incheon, Korea, 2018. [Google Scholar]
- Korea Meteorological Administration (KMA). Weather Information. Available online: http://www.weather.go.kr (accessed on 4 April 2021).
- Kwak, I.; Choi, B.; Jeon, H.; Kim, S.; Bea, J.; Kim, S.; Kim, J. Analysis of water quality improvement effect by securing water quality characteristics and flow rate in the Geumho River. J. Environ. Impact Assess. 2020, 29, 414–429. [Google Scholar]
- Cho, Y.-C.; Park, M.; Shin, K.; Choi, H.-M.; Kim, S.; Yu, S. A study on grade classification for improvement of water quality and water quality characteristics in the Han River watershed tributaries. J. Environ. Impact Assess. 2019, 28, 215–230. [Google Scholar]
- Alexakis, D.E. Meta-Evaluation of Water Quality Indices. Application into Groundwater Resources. Water 2020, 12, 1890. [Google Scholar] [CrossRef]
- Omran, E.-S.E. A Proposed Model to Assess and Map Irrigation Water Well Suitability Using Geospatial Analysis. Water 2012, 4, 545–567. [Google Scholar] [CrossRef] [Green Version]
- Ministry of Environment (MOE). Water Quality Standards of River-Living Environment. Available online: http://www.me.go.kr (accessed on 4 April 2021).
- Ministry of Environment (MOE). Evaluation of Water Quality Data from Automated Water Quality Monitoring Network Using Water Quality Index (II); National Institute of Environmental Research (NIER): Incheon, Korea, 2009; p. 115. [Google Scholar]
- Ministry of Environment (MOE). User’s Manual of Real-Time Water Quality Information System; National Institute of Environmental Research (NIER): Incheon, Korea, 2013; p. 21. [Google Scholar]
- Kal, B.; Park, J.; Kim, S.; Im, T. Assessment of tributary water quality using integrated water quality index. J. Wetland Res. 2017, 19, 311–317. [Google Scholar]
- Park, J.; Kal, B.; Kim, S. Long-term trend analysis of major tributaries of Nakdong River using water quality index. J. Wetland Res. 2018, 20, 201–209. [Google Scholar]
- Cho, Y.-C.; Choi, H.-M.; Lee, B.; Shin, D.; Kim, S.-H.; Yu, S. Review of the applicability of water quality assessment in the major tributaries of the Namhan River using the Real-Time Water Quality Index (RTWQI). J. Environ. Sci. Int. 2021, 30, 321–333. [Google Scholar] [CrossRef]
- Cho, Y.-C.; Choi, H.-M.; Ryu, I.-G.; Kim, S.-H.; Shin, D.; Yu, S. Assessment of water quality in the lower reaches Namhan River by using statistical analysis and water quality index (WQI). J. Korean Soc. Water Environ. 2021, 37, 114–127. [Google Scholar]
- National Institute of Environmental Research (NIER). Real-Time Water Quality Information System. Available online: http://www.koreawqi.go.kr (accessed on 4 April 2021).
- Lumb, A.; Halliwell, D.; Sharma, T. Application of CCME Water Quality Index to monitor water quality: A case of the Mac-kenzie River basin, Canada. Environ. Monit. Assess. 2006, 113, 411–429. [Google Scholar] [CrossRef] [PubMed]
- Davies, J.-M. Application and Tests of the Canadian Water Quality Index for Assessing Changes in Water Quality in Lakes and Rivers of Central North America. Lake Reserv. Manag. 2006, 22, 308–320. [Google Scholar] [CrossRef] [Green Version]
- Lim, B.; Hong, J.; Yeon, I. Application of Canadian Council of Ministers of the Environment Water Quality Index (CCME WQI) in Daecheong reservoir using automatic water quality monitoring data. J. Korean Soc. Water Environ. 2010, 26, 796–801. [Google Scholar]
- CCME (Canadian Council of Ministers of the Environment). Synthesis of Research and Application of the CCME Water Quality Index; Canadian Council of Ministers of the Environment: Winnipeg, MB, Canada, 2017; p. 54. [Google Scholar]
- Kafrawy, S.B.E.; Donia, N.S.; Mohamed, A.M. Water quality assessment based on CWQI and NDWI indices in Mariout lake, Egypt. MOJ Ecol. Environ. Sci. 2017, 2, 00039. [Google Scholar] [CrossRef] [Green Version]
- Ravichandrana, S.; Ramanibai, R.; Pundarikanthan, N. Ecoregions for describing water quality patterns in Tamiraparani basin, South India. J. Hydrol. 1996, 178, 257–276. [Google Scholar] [CrossRef]
- Simeonov, V.; Stratis, J.; Samara, C.; Zachariadis, G.; Voutsa, D.; Anthemidis, A.; Sofoniou, M.; Kouimtzis, T. Assessment of the surface water quality in Northern Greece. Water Res. 2003, 37, 4119–4124. [Google Scholar] [CrossRef]
- Ouyang, Y. Evaluation of river water quality monitoring stations by principal component analysis. Water Res. 2005, 39, 2621–2635. [Google Scholar] [CrossRef] [PubMed]
- Helsel, D.R.; Hirsch, R.M.; Ryberg, K.R.; Archfield, S.A.; Gilroy, E.J. Statistical Methods in Water Resources; TWRI-4-A3; US Geological Survey: Reston, VA, USA, 2020; p. 458. [Google Scholar]
- Zhou, F.; Guo, H.; Liu, L. Quantitative identification and source apportionment of anthropogenic heavy metals in marine sediment of Hong Kong. Environ. Geol. 2007, 53, 295–305. [Google Scholar] [CrossRef]
- Su, S.; Li, D.; Zhang, Q.; Xiao, R.; Huang, F.; Wu, J. Temporal trend and source apportionment of water pollution in different functional zones of Qiantang River, China. Water Res. 2011, 45, 1781–1795. [Google Scholar] [CrossRef] [PubMed]
- Sun, W.; Xia, C.; Xu, M.; Guo, J.; Sun, G. Application of modified water quality indices as indicators to assess the spatial and temporal trends of water quality in the Dongjiang River. Ecol. Indic. 2016, 66, 306–312. [Google Scholar] [CrossRef]
- Bu, H.; Meng, W.; Zhang, Y.; Wan, J. Relationships between land use patterns and water quality in the Taizi River basin, China. Ecol. Indic. 2014, 41, 187–197. [Google Scholar] [CrossRef]
- Aenab, A.M.; Singh, S.K. Critical assessment of river water quality and Wastewater Treatment Plant (WWTP). Int. J. Adv. Res. 2015, 3, 405–411. [Google Scholar] [CrossRef]
- Luo, H.; Luo, L.; Huang, G.; Liu, P.; Li, J.; Hu, S.; Wang, F.; Xu, R.; Huang, X. Total pollution effect of urban surface runoff. J. Environ. Sci. 2009, 21, 1186–1193. [Google Scholar] [CrossRef]
- Skinner, L.; Townsend, S.; Fortune, J. The Impact of Urban Land-Use on Total Pollutant Loads Entering Darwin Harbour; Report 06/2008D; Aquatic Health Unit, Department of Natural Resources, Environment, the Arts and Sport, Australian Government: Canberra, Australia, 2009; p. 61. [Google Scholar]
- Debels, P.; Figueroa, R.; Urrutia, R.; Barra, R.; Niell, X. Evaluation of Water Quality in the Chillán River (Central Chile) Using Physicochemical Parameters and a Modified Water Quality Index. Environ. Monit. Assess. 2005, 110, 301–322. [Google Scholar] [CrossRef]
- Son, M.; Park, J.-H.; Lim, C.; Kim, S.; Lim, B.-J. Seasonal change of phytoplankton community and water quality in Yeong-san River Watershed. Korean J. Environ. Biol. 2013, 31, 105–112. [Google Scholar] [CrossRef]
- Sim, B.-R.; Kim, H.-C.; Kim, C.-S.; Kim, J.-H.; Park, K.-W.; Lim, W.-A.; Lee, W.-C. Seasonal distributions of phytoplankton and environmental factors generate algal blooms in the Taehwa River, South Korea. Water 2020, 12, 3329. [Google Scholar] [CrossRef]
- Walker, D.B.; Baumgartner, D.J.; Gerba, C.P.; Fitzsimmons, K. Environmental and Pollution Science, 3rd ed.; Academic Press: Cambridge, MA, USA, 2019; pp. 261–292. [Google Scholar]
- Zhang, Q.; Wang, L.; Wang, H.; Zhu, X.; Wang, L. Spatio-Temporal variation of groundwater quality and source apportionment using multivariate statistical techniques for the Hutuo River alluvial-pluvial fan, China. Inter. J. Environ. Res. Pub. Health 2020, 17, 1055. [Google Scholar] [CrossRef] [PubMed] [Green Version]
- Huang, H.; Lin, C.; Yu, R.; Yan, Y.; Hu, G.; Li, H. Contamination assessment, source apportionment and health risk assessment of heavy metals in paddy soils of Jiulong River Basin, Southeast China. RSC Adv. 2019, 9, 14736–14744. [Google Scholar] [CrossRef] [Green Version]
- Singh, K.P.; Malik, A.; Sinha, S. Water quality assessment and apportionment of pollution sources of Gomti river (India) using multivariate statistical techniques—A case study. Anal. Chim. Acta 2005, 538, 355–374. [Google Scholar] [CrossRef]
- Zhou, F.; Huang, G.; Guo, H.; Zhang, W.; Hao, Z. Spatio-temporal patterns and source apportionment of coastal water pollution in eastern Hong Kong. Water Res. 2007, 41, 3429–3439. [Google Scholar] [CrossRef] [PubMed]
- Li, Y.; Gao, B.; Xu, D.; Peng, W.; Liu, X.; Qu, X.; Zhang, M. Hydrodynamic impact on trace metals in sediments in the cascade reservoirs, North China. Sci. Total. Environ. 2020, 716, 136914. [Google Scholar] [CrossRef] [PubMed]
- Chen, P.; Li, L.; Zhang, H. Spatio-temporal variations and source apportionment of water pollution in Danjiangkou Reservoir Basin, Central China. Water 2015, 7, 2591–2611. [Google Scholar] [CrossRef] [Green Version]
Publisher’s Note: MDPI stays neutral with regard to jurisdictional claims in published maps and institutional affiliations. |
© 2021 by the authors. Licensee MDPI, Basel, Switzerland. This article is an open access article distributed under the terms and conditions of the Creative Commons Attribution (CC BY) license (https://creativecommons.org/licenses/by/4.0/).





