PyTheis—A Python Tool for Analyzing Pump Test Data
Abstract
:1. Introduction
2. Methods
2.1. Well Function of Theis Curve Type for Pump Test
2.2. The Parameter Fitting Method Used in PyTheis
2.3. Initial Guess Values and Parameter Bounds for T and S Values
2.4. Estimation of the Error Associated with Transmissivity and Storage Values
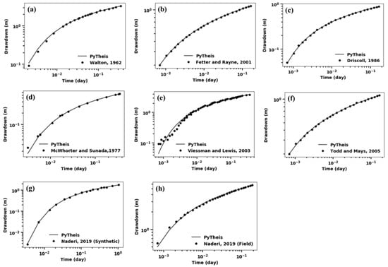
3. Test Problems Considered in This Study
4. Results and Discussion
5. Sensitivity of Parameter Values to Variations in Field Data
6. Conclusions
Author Contributions
Funding
Institutional Review Board Statement
Informed Consent Statement
Data Availability Statement
Acknowledgments
Conflicts of Interest
Appendix A
Appendix B
| Time (Day) | Drawdown (Base Case) | Drawdown (±10%) | Drawdown (±20%) | Drawdown (±40%) |
|---|---|---|---|---|
| 0.002083 | 0.09144 | 0.087782 | 0.102413 | 0.061265 |
| 0.003472 | 0.21336 | 0.21336 | 0.206959 | 0.170688 |
| 0.005556 | 0.39624 | 0.41209 | 0.356616 | 0.38039 |
| 0.008333 | 0.64008 | 0.588874 | 0.544068 | 0.64008 |
| 0.013889 | 0.97536 | 0.994867 | 0.965606 | 0.877824 |
| 0.016667 | 1.09728 | 1.119226 | 1.02047 | 1.217981 |
| 0.020833 | 1.24968 | 1.162202 | 1.062228 | 1.149706 |
| 0.026389 | 1.43256 | 1.317955 | 1.446886 | 1.618793 |
| 0.032639 | 1.55448 | 1.58557 | 1.52339 | 1.678838 |
| 0.034722 | 1.61544 | 1.776984 | 1.502359 | 1.599286 |
| 0.041667 | 1.73736 | 1.772107 | 1.563624 | 1.789481 |
| 0.048611 | 1.85928 | 1.766316 | 1.543202 | 2.175358 |
| 0.055556 | 1.92024 | 2.035454 | 2.093062 | 1.709014 |
| 0.0625 | 2.04216 | 2.083003 | 1.633728 | 2.348484 |
| 0.069444 | 2.1336 | 1.984248 | 2.02692 | 2.048256 |
| 0.090278 | 2.286 | 2.4003 | 2.01168 | 1.85166 |
| 0.111111 | 2.52984 | 2.479243 | 2.656332 | 2.200961 |
| 0.138889 | 2.5908 | 2.72034 | 2.694432 | 2.538984 |
| 0.180556 | 2.80416 | 2.663952 | 2.97241 | 3.000451 |
| 0.222222 | 2.95656 | 2.897429 | 3.400044 | 2.838298 |
| 0.263889 | 3.10896 | 3.357677 | 3.295498 | 3.202229 |
| 0.347222 | 3.32232 | 3.22265 | 3.388766 | 2.724302 |
References
- Cooper, H.H.; Jacob, C.E. A generalized graphical method for evaluating formation constants and summarizing well-field history. Eos Trans. Am. Geophys. Union 1946, 27, 526–534. [Google Scholar] [CrossRef]
- Hantush, M.S. Analysis of data from pumping tests in leaky aquifers. Eos Trans. Am. Geophys. Union 1956, 37, 702–714. [Google Scholar] [CrossRef]
- Kruseman, G.P.; de Ridder, N.A. Analysis and Evaluation of Pumping Test Data; International Institute for Land Reclamation and Improvement: Wageningen, The Netherlands, 1994. [Google Scholar]
- Neuman, S.P. Theory of flow in unconfined aquifers considering delayed response of the water table. Water Resour. Res. 1972, 8, 1031–1045. [Google Scholar] [CrossRef]
- Theis, C.V. The relation between the lowering of the piezometric surface and the rate and duration of discharge of a well using ground water storage: Transaction of American Geophysical Union. Trans. Am. Geophys. Union 1935, 16, 519–524. [Google Scholar] [CrossRef]
- Walton, W.C. Comprehensive Analysis of Water-Table Aquifer Test Data. Groundwater 1978, 16, 311–317. [Google Scholar] [CrossRef]
- Benbarka, A.M.; Davis, D.R. Aspects of Aquifer Test Error Analysis; Arizona-Nevada Academy of Science: Glendale, AZ, USA, 1981. [Google Scholar]
- Naderi, M.; Gupta, H.V. On the Reliability of Variable-Rate Pumping Test Results: Sensitivity to Information Content of the Recorded Data. Water Resour. Res. 2020, 56, e2019WR026961. [Google Scholar] [CrossRef]
- Khan, I.A. Determination of Aquifer Parameters Using Regression Analysis1. JAWRA J. Am. Water Resour. Assoc. 1982, 18, 325–330. [Google Scholar] [CrossRef]
- McElwee, C.D. Theis Parameter Evaluation from Pumping Tests by Sensitivity Analysis. Groundwater 1980, 18, 56–60. [Google Scholar] [CrossRef]
- Fetter, C.W. Applied Hydrogeology; Prentice Hall: Upper Saddle River, NJ, USA, 2001. [Google Scholar]
- Jacob, C.E. On the flow of water in an elastic artesian aquifer. Eos Trans. Am. Geophys. Union 1940, 21, 574–586. [Google Scholar] [CrossRef]
- Wenzel, L.K.; Fishel, V.C. Methods for Determining Permeability of Water-Bearing Materials with Special Reference to Discharging Well Methods, Water-Supply Paper 887; United States Government Printing Office: Washington, DC, USA, 1942.
- Labadie, J.W.; Helweg, O.J. Step-drawdown test analysis by computer. Groundwater 1975, 13, 438–444. [Google Scholar] [CrossRef]
- Reed, J.E. Type Curves for Selected Problems of Flow to Wells in Confined Aquifers; 03-B3; U.S. Geological Survey: Washington, DC, USA, 1980.
- Maslia, M.L.; Randolph, R.B. Methods and Computer Program Documentation for Determining Anisotropic Transmissivity Tensor Components of Two-Dimensional Ground-Water Flow; 86-227; U.S.Geological Survey: Reston, VA, USA, 1986.
- Barlow, P.M.; Moench, A.F. WTAQ: A Computer Program for Calculating Drawdowns and Estimating Hydraulic Properties for Confined and Water-Table Aquifers; 99-4225; U.S. Geological Survey: Northborough, MA, USA, 1999.
- Halford, K.J.; Kuniansky, E.L. Documentation of Spreadsheets for the Analysis of Aquifer-Test and Slug-Test Data; 2002-197; U.S. Geological Survey: Carson City, NV, USA, 2002.
- Duffield, G.M. AQTESOLV for Windows Version 4.5 User’s Guide; HydroSOLVE Inc.: Reston, VA, USA, 2002. [Google Scholar]
- WaterlooHydrogeologic. Aquifer Test Pro. Users Manual. Graphical Analysis and Reporting of Pumping Test and Slug Test Data; WaterlooHydrogeologic: Waterloo, ON, Canada, 2002; p. 267. [Google Scholar]
- Saleem, Z. A computer method for pumping-test analysis. Groundwater 1970, 8, 21–24. [Google Scholar] [CrossRef]
- Yeh, H.D. Theis’ Solution by Nonlinear Least-Squares and Finite-Difference Newton’s Method. Groundwater 1987, 25, 710–715. [Google Scholar] [CrossRef]
- Naderi, M. Estimating confined aquifer parameters using a simple derivative-based method. Heliyon 2019, 5, e02657. [Google Scholar] [CrossRef] [PubMed] [Green Version]
- Bateni, S.M.; Mortazavi-Naeini, M.; Ataie-Ashtiani, B.; Jeng, D.S.; Khanbilvardi, R. Evaluation of methods for estimating aquifer hydraulic parameters. Appl. Soft Comput. J. 2015, 28, 541–549. [Google Scholar] [CrossRef]
- Fletcher, R. Practical Method of Optimization: Unconstrained Optimization; John Wiley & Sons: Hoboken, NJ, USA, 1980; Volume 1. [Google Scholar]
- Aster, R.C.; Borchers, B.; Thurber, C.H. Parameter Estimation and Inverse Problems; Elsevier: Amsterdam, The Netherlands, 2005. [Google Scholar]
- Memari, S.S.; Clement, T.P. PySWR—A Python Code for Fitting Soil Water Retention Functions. Comput. Geosci. 2021, 156, 104897. [Google Scholar] [CrossRef]
- Harria, D.H. Quantitative Chemical Analysis; W. H. Freeman: New York, NY, USA, 2007. [Google Scholar]
- Taylor, J.R. An Introduction to Error Analysis, 2nd ed.; University Science Books: New York, NY, USA, 1997. [Google Scholar]
- Lohman, S.W. Ground-Water Hydraulics; 708; U.S. Geological Survey: Washington, DC, USA, 1972.
- Walton, W.C. Selected Analytical Methods for Well and Aquifer Evaluation; Illinois State Water Survey: Urbana, IL, USA, 1962. [Google Scholar]
- Fetter, C.W.; Rayne, T. Applied Hydrology Solutions Manual, 4th ed.; Prentice Hall: Upper Saddle River, NJ, USA, 2001. [Google Scholar]
- Driscol, F.G. Groundwater and Wells, 2nd ed.; Johnson Division: St Paul, MN, USA, 1986. [Google Scholar]
- McWhorter, D.B.; Sunada, D.K. Ground Water Hydrology and Hydraulics; Water Resources Publications, LLC: Fort Collins, CO, USA, 1977; p. 290. [Google Scholar]
- Viessman, W.; Lewis, G.L. Introduction to Hydrology, 5th ed.; Pearson Eduction, Inc.: Upper Saddle River, NJ, USA, 2003. [Google Scholar]
- Todd, D.K.; Mays, L.W. Groundwater Hydrology; John Wiley & Sons, Inc.: New York, NY, USA, 2005. [Google Scholar]




| Distance from Well (ft) | Lohman (1972) | PyTheis estimated values of T (ft2/day) | |
|---|---|---|---|
| Code Output | Rounded Values | ||
| 200 | 14,000 | 13,379.2554 ± 27.3641357 | 13,380 ± 30 |
| 400 | 13,405.8670 ± 43.1205549 | 13,410 ± 40 | |
| 800 | 13,339.4913 ± 49.1948724 | 13,340 ± 50 | |
| Distance from Well (ft) | Lohman (1972) | PyTheis estimated value of S (dimensionless) | |
| Code Output | Rounded Values | ||
| 200 | 2 × 10−4 | 2.01716330 × 10−4 ± 1.42597139 × 10−6 | (2.02 ± 0.01) × 10−4 |
| 400 | 2.0120642 × 10−4 ± 1.60789185 × 10−6 | (2.01 ± 0.02) × 10−4 | |
| 800 | 2.02306304 × 10−4 ± 1.24751164 × 10−6 | (2.01 ± 0.01) × 10−4 | |
| Reference | Input | Output | |||
|---|---|---|---|---|---|
| Input Variable | Values | Parameter | Literature Data | PyTheis | |
| Walton (1962) | Q (m3/day) R (m) | 1199.52 251.25 | T (m2/day) S | 125.4 2.0 × 10−5 | 123 ± 1 (2.10 ± 0.04) × 10−5 |
| Fetter and Rayne (2001) | Q (m3/day) R (m) | 1090.2 76.2 | T (m2/day)S | 498 5.17 × 10−5 | 498 ± 1 (5.18 ± 0.04) × 10−5 |
| Driscoll (1986) | Q (m3/day) R (m) | 2730 122 | T (m2/day) S | 1250 1.9 × 10−4 | 1249± 5 (2.01 ± 0.02) × 10−4 |
| McWhorter and Sunada (1977) | Q (m3/day) R (m) | 2695.68 20 | T (m2/day) S | 1175 5.3 × 10−2 | 1250 ± 10 (5.8 ± 0.1) × 10−2 |
| Viessman and Lewis (2003) | Q (m3/day) R (m) | 5450.99 91.44 | T (m2/day) S | 601.45 3 × 10−4 | 562 ± 5 (3.62 ± 0.08) × 10−4 |
| Todd and Mays (2005) | Q (m3/day) R (m) | 2500 60 | T (m2/day) S | 1110 2.06 × 10−4 | 1139 ± 5 (1.93 ± 0.03) × 10−4 |
| Naderi (2019) (Synthetic) | Q (m3/day) R (m) | 14,400 50 | T (m2/day) S | 2517 0.05 | 2520 ± 60 (5.0 ± 0.2) × 10−2 |
| Naderi (2019) (Field) | Q (m3/day) R (m) | 3888 51 | T (m2/day) S | 305 1.8×10−4 | 306 ± 2 (1.81 ± 0.04) × 10−4 |
| Case | PyTheis estimated values of T (m2/day) | |
|---|---|---|
| Code Output | Rounded Values | |
| Base Walton (1962) | 123.151860 ± 1.20663423 | 123 ± 1 |
| ±10% perturbation | 121.984308 ± 4.21487923 | 122 ± 4 |
| ±20% perturbation | 106.109730 ± 5.70221135 | 106 ± 6 |
| ±40% perturbation | 136.534842 ± 10.4565877 | 140 ± 10 |
| Case | PyTheis estimated values of S (dimensionless) | |
| Code Output | Rounded Values | |
| Base Walton (1962) | 2.09488656 × 10−5 ± 4.02955356 × 10−7 | (2.10 ± 0.04) × 10−5 |
| ±10% perturbation | 2.11467086 ×10−5 ± 1.42507828 × 10−6 | (2.1 ± 0.1) × 10−5 |
| ±20% perturbation | 2.73691488 × 10−5 ± 2.48293150 × 10−6 | (2.7 ± 0.2) × 10−5 |
| ±40% perturbation | 1.83710673 × 10−5 ± 2.98924137 × 10−6 | (1.8 ± 0.3) × 10−5 |
Publisher’s Note: MDPI stays neutral with regard to jurisdictional claims in published maps and institutional affiliations. |
© 2021 by the authors. Licensee MDPI, Basel, Switzerland. This article is an open access article distributed under the terms and conditions of the Creative Commons Attribution (CC BY) license (https://creativecommons.org/licenses/by/4.0/).
Share and Cite
Chang, S.W.; Memari, S.S.; Clement, T.P. PyTheis—A Python Tool for Analyzing Pump Test Data. Water 2021, 13, 2180. https://doi.org/10.3390/w13162180
Chang SW, Memari SS, Clement TP. PyTheis—A Python Tool for Analyzing Pump Test Data. Water. 2021; 13(16):2180. https://doi.org/10.3390/w13162180
Chicago/Turabian StyleChang, Sun Woo, Sama S. Memari, and T. Prabhakar Clement. 2021. "PyTheis—A Python Tool for Analyzing Pump Test Data" Water 13, no. 16: 2180. https://doi.org/10.3390/w13162180
APA StyleChang, S. W., Memari, S. S., & Clement, T. P. (2021). PyTheis—A Python Tool for Analyzing Pump Test Data. Water, 13(16), 2180. https://doi.org/10.3390/w13162180

