The Use of Hydrodynamic Models in the Determination of the Chart Datum Shape in a Tropical Estuary
Abstract
1. Introduction
2. Study Area
3. Methods
3.1. Hydrodynamic Modeling
3.2. Tide Characterization of an Estuary
3.2.1. Analysis of the Harmonic Constituents in the Tide Gauge Stations and Each Mesh Node of the Hydrodynamic Model
3.2.2. Form Factor
3.2.3. Tide Asymmetry
3.3. Chart Datum Determination
3.4. Assessment of the Tide Correction Methods
3.5. Chart Datum in Different Scenarios
4. Results and Analysis
4.1. Simulation and Calibration of the Hydrodynamic Model
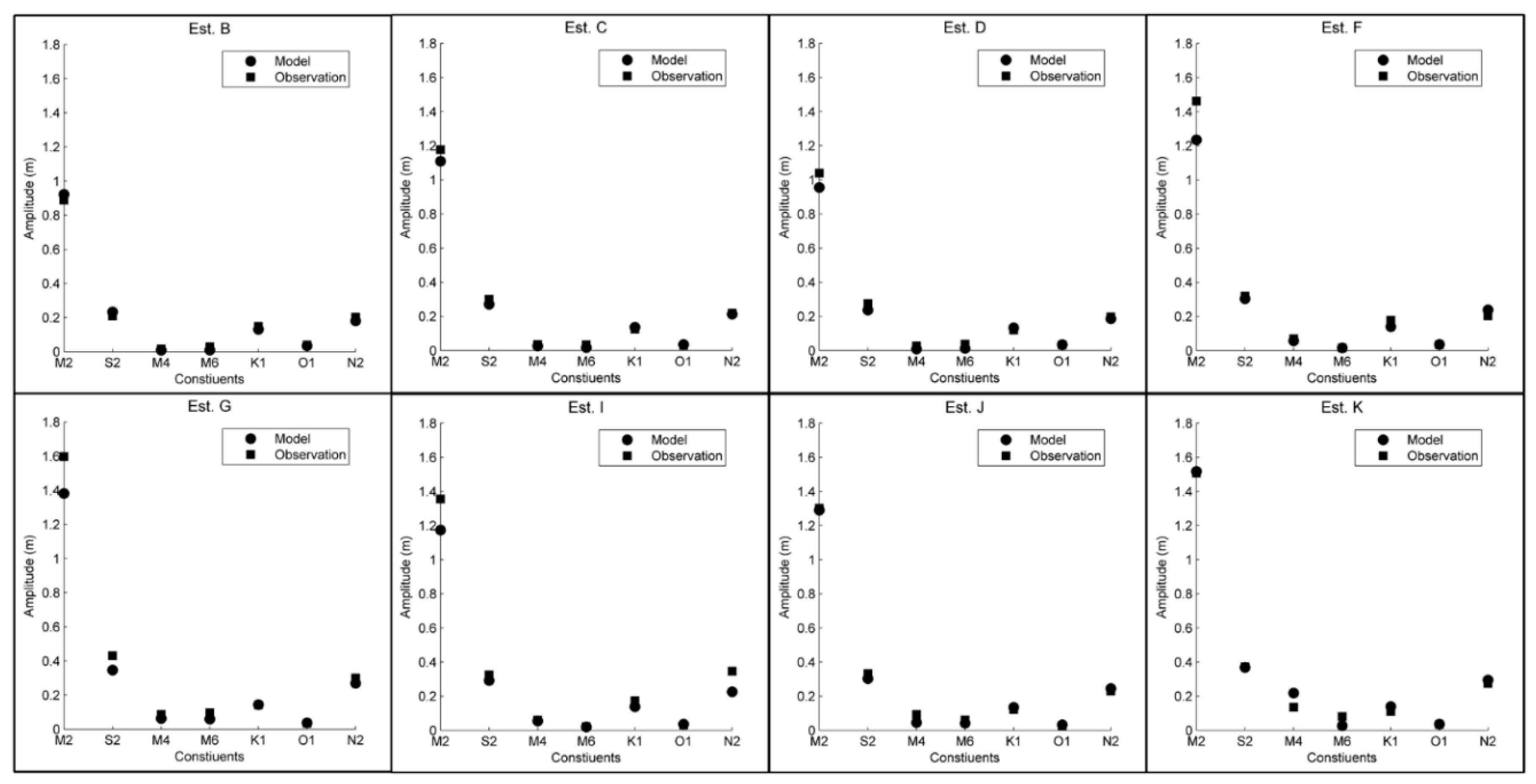
4.2. Harmonic Constituent Analysis
4.3. Tide Characterization in the Estuarine System
4.4. Chart Datum Surface
4.5. Assessment of the Tide Reduction Methods
4.6. Evaluation of the CD in Different Scenarios
5. Sources of Uncertainty in the Hydrodynamic Model
6. Conclusions
Author Contributions
Funding
Conflicts of Interest
Abbreviation
| Abbreviation | Meaning |
| CD | Chart datum |
| ERS | Ellipsoidal referenced surveying |
| DDA | Data-driven approach |
| MLLWS | Mean lower low water springs |
| LWS | Low water spring |
| MLLW | Mean lower low water |
| MLW | Mean low water |
| LW | Low water |
| LAT | Lowest astronomical tide |
| MLWS | Mean low water springs |
| MSL | Mean sea level |
| TZ | Tidal zoning |
| TGS | Tide gauge station |
| GNSS | Global navigation satellite system |
| TPS | Thin-plate interpolation |
| NOS | National Ocean Service |
| SEP | The height of the CD above the ellipsoid reference |
| SBES | Single-beam echosounder bathymetry surveys |
| DEM | Digital elevation model |
| %RMSE | The percentage variation of the root-mean-square error |
| Observed water levels | |
| Predicted water levels | |
| Average observed water levels | |
| ΔR | Tide range |
| The number of observations made | |
| Water level at time t | |
| Mean sea level overt a certain time period | |
| Nodal amplitude | |
| Local tide amplitude | |
| Frequency of the constituent | |
| Nodal argument | |
| Greenwich argument | |
| Phase lag | |
| Change of the water level induced by other dynamic factors | |
| F | Form factor |
| Amplitude ratio | |
| Type of flow | |
| Phase | |
| IDW | Inverse distance weighted |
| CDF | Final chart datum |
| Original chart datum | |
| Modeled offsets | |
| D | Charted depth |
| OD | Observer depth |
| dyn_draft | Dynamic draft |
| WL | Water level |
| H | Heave |
| Total variance associated with the observed depth | |
| Total dynamic draft uncertainty | |
| Total variance of the heave | |
| Total variance associated with the dynamic draft | |
| Total variance associated with the water level | |
| IHO | International Hydrographic Office |
| N | Geoid separation |
| Zo | Distance between the CD and MSL |
| TPL | Tension spline |
| n | Number of groups |
| LIDAR | Laser Imaging Detection and Ranging |
References and Notes
- Thrush, S.F.; Townsend, M.; Hewitt, J.E.; Davies, K.; Lohrer, A.M.; Lundquist, C.; Cartner, K. The Many Uses and Values of Estuarine Ecosystems; Manaaki Whenua Press: Lincoln, New Zealand, 2013. [Google Scholar]
- McLusky, D.S.; Elliott, M. The Estuarine Ecosystem. Ecology, Threats and Management; Oxford University Press: Oxford, UK, 2005; ISBN 9780198530916. [Google Scholar]
- Carvalho, T.M.; Fidélis, T. The relevance of governance models for estuary management plans. Land Use Policy 2013, 34, 134–145. [Google Scholar] [CrossRef]
- Lomonaco, P.; Medina, R. Harbour and Inlet Navigation-Sedimentation Interference: Morphodynamics and Optimun Desing. In Proceedings of the 12th Canadian Coastal Conference, Dartmouth, NS, Canada, 6–9 November 2005. [Google Scholar]
- ABP Research. Good Practice Guidelines for Ports and Harbours Operating within or Near UK European Marine Sites; ABP Research & Consultancy Ltd.: Southampton, UK, 1999. [Google Scholar]
- Arjun, S.; Nair, L.S.; Shamji, V.R.; Kurian, N.P. Tidal constituents in the shallow waters of the southwest Indian coast. Mar. Geod. 2010, 33, 206–217. [Google Scholar]
- Parker, B. Tidal Analysis and Prediction; NOAA, NOS Center for Operational Oceanographic Products and Services: Silver Spring, MD, USA, 2007. [Google Scholar]
- Díez-Minguito, M.; Baquerizo, A.; Ortega-Sánchez, M.; Ruiz, I.; Losada, M.A. Tidal Wave Reflection From the Closure Dam in the Guadalquivir Estuary (Sw Spain). Coast. Eng. Proc. 2012, 1, 58. [Google Scholar] [CrossRef]
- Dias, J.M.; Valentim, J.M.; Sousa, M.C. A numerical study of local variations in tidal regime of Tagus estuary, Portugal. PLoS ONE 2013, 8, e80450. [Google Scholar]
- Armenio, E.; De Serio, F.; Mossa, M. Analysis of data characterizing tide and current fluxes in coastal basins. Hydrol. Earth Syst. Sci. 2017, 21, 3441–3454. [Google Scholar] [CrossRef]
- Mazzoleni, M. Improving Flood Prediction Assimilating Uncertain Crowdsourced Data into Hydrologic and Hydraulic Models; TU Delft and UNESCO-IHE: Delft, The Netherlands, 2016. [Google Scholar]
- Papanicolaou, A.; Elhakeem, M.; Wardman, B. Calibration and Verification of a 2D Hydrodynamic Model for Simulating Flow around Emergent Bendway. J. Hydraul. Eng. 2011, 137, 75–89. [Google Scholar] [CrossRef]
- Kwanten, M.; Elema, I. Consequences of change from MLLWS to LAT. Hydro Int. 2007, 11. Available online: https://www.hydro-international.com/content/article/converting-nl-chart-datum (accessed on 15 May 2018).
- USACE. Hydrographic Surveying; USACE: Washington, DC, USA, 2003. [Google Scholar]
- Hess, K.; Schmalz, R.; Zervas, C.; Collier, W. Tidal Constituent and Residual Interpolation (TCARI): A New Method for the Tidal Correction of Bathymetric Data; U.S. Department of Commerce, National Oceanic and Atmospheric Administration, National Ocean Service, Office of Coast Survey, Coast Survey Development Laboratory: Silver Spring, MD, USA, 1999.
- Mills, J.; Dodd, D. Ellipsoidally Referenced Surveying for Hydrography; International Federation of Surveyors (FIG): Copenhagen, Denmark, 2014; ISBN 9788792853097. [Google Scholar]
- Robin, C.; Nudds, S.; MacAulay, P.; Godin, A.; De Lange Boom, B.; Bartlett, J. Hydrographic Vertical Separation Surfaces (HyVSEPs) for the Tidal Waters of Canada. Mar. Geod. 2016, 39, 195–222. [Google Scholar]
- Turner, J.F.; Iliffe, J.C.; Ziebart, M.K.; Jones, C. Global Ocean Tide Models: Assessment and Use within a Surface Model of Lowest Astronomical Tide. Mar. Geod. 2013, 36, 123–137. [Google Scholar] [CrossRef]
- Slobbe, D.C.; Sumihar, J.; Frederikse, T.; Verlaan, M.; Klees, R.; Zijl, F.; Farahani, H.H.; Broekman, R. A Kalman Filter Approach to Realize the Lowest Astronomical Tide Surface. Mar. Geod. 2018, 41, 44–67. [Google Scholar]
- Myers, E.P. Review of progress on VDatum, a vertical datum transformation tool. In Proceedings of the MTS/IEEE OCEANS, Washington, DC, USA, 17–23 September 2005; Volume 2005, pp. 1–7. [Google Scholar]
- Yang, Z.; Myers, E.; White, S. The Chesapeake and Delaware Bays VDatum Development, and Progress Towards a National VDatum. In Proceedings of the 2007 Hydro Conference, Norfolk, VA, USA, 20–22 February 2007; pp. 1–19. [Google Scholar]
- Savenije, H.; Veling, E. Relation between tidal damping and wave celerity in estuaries. J. Geophys. Res. C Ocean. 2005, 110, 1–10. [Google Scholar] [CrossRef]
- Manual, D.F. 3D/2D Modelling Suite for Integral Water Solutions; Deltares: Delft, The Netherlands, 2014. [Google Scholar]
- Hodges, B.R. Hydrodynamical Modeling. In Reference Module in Earth Systems and Environmental Sciences; Elias, S.A., Ed.; Elsevier: Amsterdam, The Netherlands, 2014. [Google Scholar]
- Myers, E.; Wong, A.; Hess, K.; White, S.; Spargo, E.; Feyen, J.; Yang, Z.; Richardson, P.; Auer, C.; Sellars, J.; et al. Development of a National Vdatum, and Its Application To Sea Level Rise in North Carolina. In Proceedings of the 2005 Hydro Conference, San Diego, CA, USA, 29–31 March 2005; pp. 1–25. [Google Scholar]
- Cucalón, E. Oceanographic Characteristics off the Coast of Ecuador. A Sustain. Shrimp Maric. Ind. Ecuador; Coastal Resources Center: Narragansett, RI, USA, 1989; pp. 186–194. [Google Scholar]
- Stevenson, M.R. Variaciones Estacionales en el Golfo de Guayaquil, un Estuario Tropical. Bol. Cient. y Tec. Inst. Nac. Pesca del Ecuador; Instituto Nacional de Pesca: Guayaquil, Guayas, Ecuador, 1981. [Google Scholar]
- Twilley, R.R.; Cárdenas, W.; Rivera-Monroy, V.H.; Espinoza, J.; Suescum, R.; Armijos, M.M.; Solórzano, L. The Gulf of Guayaquil and Guayas River Estuary, Ecuador. Ecol. Stud. 2001, 144, 245–263. [Google Scholar]
- Castro, T. Sistema Portuario Ecuatoriano; MTOP: Quito, Pichincha, Ecuador, 2016. [Google Scholar]
- INOCAR, DELFT. Estudios hidrográficos, oceanográficos y geológicos para resolver los probles de sedimentación en el canal de acceso al Puerto Marítimo de Guayaquil y en el área de la Esclusa (Río Guayas - Estero Cobina); INOCAR: Guayaquil, Ecuador, 1984. [Google Scholar]
- Lesser, G.R.; Roelvink, J.A.; van Kester, J.A.T.M.; Stelling, G.S. Development and validation of a three-dimensional morphological model. Coast. Eng. 2004, 51, 883–915. [Google Scholar] [CrossRef]
- Egbert, G.D.; Erofeeva, S.Y. Efficient inverse modeling of barotropic ocean tides. J. Atmos. Ocean. Technol. 2002, 19, 183–204. [Google Scholar] [CrossRef]
- Mancero, H.; Toctaguano, D.S.; Tacuri, C.A.; Kirby, E.; Tierra, A. Evaluación de Modelos Digitales de Elevación Obtenidos por Diferentes Sensores Remotos; ESPE: Quito, Pichincha, Ecuador, 2015; pp. 1–6. [Google Scholar]
- Allen, J.I.; Somerfield, P.J.; Gilbert, F.J. Quantifying uncertainty in high-resolution coupled hydrodynamic-ecosystem models. J. Mar. Syst. 2007, 64, 3–14. [Google Scholar] [CrossRef]
- Wu, H.; Zhu, J.; Shen, J.; Wang, H. Tidal modulation on the Changjiang River plume in summer. J. Geophys. Res. Ocean. 2011, 116, 1–21. [Google Scholar] [CrossRef]
- Díez-Minguito, M.; Baquerizo, A.; Ortega-Sánchez, M.; Navarro, G.; Losada, M.A. Tide transformation in the Guadalquivir estuary (SW Spain) and process-based zonation. J. Geophys. Res. Ocean. 2012, 117, 1–14. [Google Scholar] [CrossRef]
- Sheng, L.; Tong, C.; Lee, D.-Y.; Zheng, J.; Shen, J.; Zhang, W.; Yan, Y. Propagation of tidal waves up in Yangtze Estuary during the dry season. J. Geophys. Res. Ocean. 2015, 120, 1152–1172. [Google Scholar]
- Moore, R.D.; Wolf, J.; Souza, A.J.; Flint, S.S. Morphological evolution of the Dee Estuary, Eastern Irish Sea, UK: A tidal asymmetry approach. Geomorphology 2009, 103, 588–596. [Google Scholar] [CrossRef]
- Schureman, P. Manual of Harmonic Analysis and Prediction of Tides; United States Government Printing Office: Washington, DC, USA, 1958.
- Pawlowicz, R.; Beardsley, B.; Lentz, S. Classical Tidal Harmonic Analysis Including Error Estimates in MATLAB using T_tide. Comput. Geosci. 2002, 6, 929–937. [Google Scholar] [CrossRef]
- Joseph, A. Investigating Seafloors and Oceans from Mud Volcanoes to Giant Squid; Elsevier: Amsterdam, The Netherlands, 2017; ISBN 978-0-12-809357-3. [Google Scholar]
- Stark, J.; Smolders, S.; Meire, P.; Temmerman, S. Impact of intertidal area characteristics on estuarine tidal hydrodynamics: A modelling study for the Scheldt Estuary. Estuar. Coast. Shelf Sci. 2017, 198, 138–155. [Google Scholar] [CrossRef]
- Friedrichs, C.T.; Aubrey, D.G. Non-linear Tidal Distortion in Shallow Well-mixed Estuaries: A Synthesis. Estuar. Coast. Shelf Sci. 1988, 27, 521–545. [Google Scholar] [CrossRef]
- IHO. Diccionario Hidrográfico S 32; IHB: Monaco, 1996; Available online: https://www.iho.int/iho_pubs/standard/S-32/S-32-SPA.pdf (accessed on 10 March 2018).
- IOC; IHO; AIG. Manual Sobre los Aspectos Técnicos de la Convención de las Naciones Unidas sobre el Derecho del Mar, 1982. PE 51; IHB: Monaco, 2006; Available online: https://www.iho.int/iho_pubs/CB/C_51_SPA.pdf (accessed on 10 March 2018).
- Cea, L.; French, J.R. Bathymetric error estimation for the calibration and validation of estuarine hydrodynamic models. Estuar. Coast. Shelf Sci. 2012, 100, 124–132. [Google Scholar] [CrossRef]
- Hare, R. Depth and Position Error Budgets for Multibeam Echosounding. Int. Hydrogr. Rev. 1995, 72, 37–69. [Google Scholar]
- IHO. Manual on Hydrography; IHB: Monaco, 2005; Available online: https://www.iho.int/iho_pubs/CB/C13_Index.htm (accessed on 10 March 2018).
- NOS. NOS Hydrographic Surveys Specifications and Deliverables; NOAA: Silver Spring, MD, USA, 2016. Available online: https://nauticalcharts.noaa.gov/publications/docs/standards-and-requirements/specs/hssd-2016.pdf (accessed on 11 March 2018).
- Borba, C. Saludos y consulta. 17 September 2018. [Email].
- Rodríguez Benítez, A.J.; Álvarez Díaz, C.; García Gómez, A.; García-Alba, J. Methodological approaches for delimitating mixing zones in rivers: Establishing admissibility criteria and flow regime representation. Environ. Fluid Mech. 2018, 18, 1–30. [Google Scholar] [CrossRef]
- Sanders, P. RTK Tide Basics. Hydro Int. 2008, 7, 5–7. [Google Scholar]
- Dodd, D.; Mills, J. Ellipsoidally referenced surveys: Issues and solutions. Int. Hydrogr. Rev. 2011, 1, 19–30. [Google Scholar]
- Allen, J.; Holt, J.; Blackford, J.; Proctor, R. Error quantification of a high-resolution coupled hydrodynamic-ecosystem coastal-ocean model: Part 2. Chlorophyll-a, nutrients and SPM. J. Mar. Syst. 2007, 68, 381–404. [Google Scholar] [CrossRef]
- Stenfert, J.; Rubain, R.; Tutein, R.; Joosten, S. Flood Risk Guayaquil; TUDelft: Delft, The Netherlands, 2016. [Google Scholar]
- Lee, H.Y.; Shih, S.S. Impacts of vegetation changes on the hydraulic and sediment transport characteristics in Guandu mangrove wetland. Ecol. Eng. 2004, 23, 85–94. [Google Scholar] [CrossRef]
- Shih, S.S.; Hsieh, H.L.; Chen, P.H.; Chen, C.P.; Lin, H.J. Tradeoffs between reducing flood risks and storing carbon stocks in mangroves. Ocean Coast. Manag. 2015, 105, 116–126. [Google Scholar] [CrossRef]
- Zapata, C.; Puente, A.; García, A.; Garcia-Alba, J.; Espinoza, J. Assessment of ecosystem services of an urbanized tropical estuary with a focus on habitats and scenarios. PLoS ONE 2018, 13, e0203927. [Google Scholar] [CrossRef]
- Cáceres, M. Observations of cross-channel structure of flow in an energetic tidal channel. J. Geophys. Res. 2003, 108, 3114. [Google Scholar] [CrossRef]
- Savenije, H. Salinity and Tides in Fluvial Estuaries; Delft University of Technology: Delft, The Netherlands, 2012. [Google Scholar]
- Riding, J.; Rawson, A. South-West Pacific Regional Hydrography Program: LINZ Hydrography Risk Assessment Methodology; Land Information New Zealand: Wellington, New Zealand, 2015. [Google Scholar]
- UNCLOS. United Nations Convention on the Law of the Sea; United Nations: New York, NY, USA, 1982; pp. 7–208. [Google Scholar]














| Calibration (1984) | Validation (2009) | |||
|---|---|---|---|---|
| Station | Skill | %RMSE | Skill | %RMSE |
| A | 1 | 3.27 | 0.98 | 6.19 |
| B | 0.98 | 6.42 | 0.98 | 6.19 |
| C | 0.98 | 5.88 | - | - |
| D | 0.98 | 6.28 | - | - |
| E | 0.98 | 6.28 | - | - |
| F | 0.98 | 6.48 | - | - |
| G | 0.98 | 5.95 | 0.98 | 7.12 |
| H | 0.99 | 4.75 | - | - |
| I | 0.97 | 6.89 | 0.99 | 4.89 |
| J | 0.99 | 5.41 | - | - |
| K | 0.98 | 5.96 | 0.98 | 6.13 |
| L | 0.99 | 3.49 | 0.99 | 3.98 |
| Station | CD TGS (m) | CD of the Model (m) | TGS Offset (m) |
|---|---|---|---|
| A | −1.1886 | −1.196 | 0.0074 |
| B | −1.2806 | −1.193 | −0.0876 |
| C | −1.4703 | −1.247 | −0.2233 |
| D | −1.5879 | −1.46 | −0.1279 |
| E | −1.9591 | −1.55 | −0.4091 |
| F | −1.9286 | −1.647 | −0.2816 |
| G | −2.2164 | −1.877 | −0.3394 |
| H | −1.6948 | −1.479 | −0.2158 |
| I | −1.94 | −1.589 | −0.351 |
| J | −1.7796 | −1.602 | −0.1776 |
| K | −1.93 | −1.86 | −0.07 |
| L | −1.5014 | −1.32 | −0.1814 |
| Mean | −0.204775 | ||
| Standard deviation | 0.119627304 | ||
| CD Profiles | Estero Salado | Cascajal Channel | Guayas River | ||||||
|---|---|---|---|---|---|---|---|---|---|
| Max Diff (m) | Mean Diff (m) | %RMSE (m) | Max Diff (m) | Mean Diff (m) | %RMSE (m) | Max Diff (m) | Mean Diff (m) | %RMSE (m) | |
| CD_HM − CD_TPL | 0.0633 | −0.005 | 4% | 0.0876 | 0.0154 | 4% | 0.1722 | 0.0751 | 33% |
| CD_HM − CD_IDW | 0.1053 | −0.0184 | 7% | 0.1003 | 0.01 | 7% | 0.1153 | 0.0464 | 23% |
| CD Profiles | Estero Salado | Cascajal Channel | Guayas River | |||
|---|---|---|---|---|---|---|
| Max Diff (m) | Mean Diff (m) | Max Diff (m) | Mean Diff (m) | Max Diff (m) | Mean Diff (m) | |
| Dam − Actual cond. | −0.0621 | −0.0435 | −0.0625 | −0.0482 | −0.3313 | −0.1430 |
| Non-mangrove − Actual cond. | 0.0252 | 0.0111 | 0.0279 | 0.0204 | 0.0278 | 0.0150 |
© 2019 by the authors. Licensee MDPI, Basel, Switzerland. This article is an open access article distributed under the terms and conditions of the Creative Commons Attribution (CC BY) license (http://creativecommons.org/licenses/by/4.0/).
Share and Cite
Zapata, C.; Puente, A.; García, A.; García-Alba, J.; Espinoza, J. The Use of Hydrodynamic Models in the Determination of the Chart Datum Shape in a Tropical Estuary. Water 2019, 11, 902. https://doi.org/10.3390/w11050902
Zapata C, Puente A, García A, García-Alba J, Espinoza J. The Use of Hydrodynamic Models in the Determination of the Chart Datum Shape in a Tropical Estuary. Water. 2019; 11(5):902. https://doi.org/10.3390/w11050902
Chicago/Turabian StyleZapata, Carlos, Araceli Puente, Andrés García, Javier García-Alba, and Jorge Espinoza. 2019. "The Use of Hydrodynamic Models in the Determination of the Chart Datum Shape in a Tropical Estuary" Water 11, no. 5: 902. https://doi.org/10.3390/w11050902
APA StyleZapata, C., Puente, A., García, A., García-Alba, J., & Espinoza, J. (2019). The Use of Hydrodynamic Models in the Determination of the Chart Datum Shape in a Tropical Estuary. Water, 11(5), 902. https://doi.org/10.3390/w11050902

