Abstract
Combined air pollution of ozone and PM2.5 often occurs in coal-based cities of China such as Taiyuan City. In this study, the Weather Research and Forecasting/Chemistry (WRF-Chem) model was employed to simulate a combined high air pollution event of ozone and PM2.5 in Taiyuan City from 20 May to 29 May 2015,with the maximum daily 8-hour average (MDA8) for ozone exceeding 140 ppbv and PM2.5 concentrations surpassing . We further investigated the drivers of the combined air pollution in Taiyuan during the polluted period. The simulation results showed that the model can well simulate the combined pollution event in Taiyuan, with assessment parameters within reasonable ranges. Moreover, by analyzing the observational data and simulations, the major factors causing the PM2.5 pollution in Taiyuan during this time period were suggested to be local emissions and pollutant transport from the North China Plain (NCP) located to the east of Taiyuan. In addition, unfavorable meteorological and geographical conditions in Taiyuan also play important roles in forming severe PM2.5 pollution. Regarding the ozone pollution in Taiyuan, we suggest that the mechanism dominating the pollution event is that of ozone-rich air being transported to Taiyuan at high altitudes and then mixed downwards, resulting in an increase of the ground-level ozone in Taiyuan. Furthermore, we found local emissions and emissions from Taiyuan Basin and Henan Province, which are located to the south of Taiyuan, contributing significantly to the ozone pollution in Taiyuan City during this time.
1. Introduction
China has been experiencing serious air pollution problems due to massive emissions of polluting gases and aerosol particles [1]. The observed PM2.5 (particulate matter with aerodynamic diameter ≤2.5 µm) concentration in China increased sharply from the year 2004 to the year 2007. After that, due to the implementation of a series of control strategies by the government, the PM2.5 level in China has become stable. However, PM2.5 pollution still occurs frequently in the autumns and winters of China [1]. PM2.5 pollution in China has obvious diurnal and seasonal variations. The concentrations of PM2.5 are high in the morning and at night and are low at noon, high in winter and low in summer. PM2.5 not only affects the atmospheric visibility through light extinction but also harms human health [2]. Modeling studies, such as those reported by Chen et al. [3] and Li et al. [4], suggested that, during haze pollution events, 15–30% of the surface PM2.5 mass is contributed by secondary organic aerosols (SOAs). However, it is important to note that measurement-based studies indicated higher fractions of SOAs (up to 67%) [5,6], with varying compositions and characteristics of SOAs. Essential sources of SOA precursors include coal combustion, transportation, catering industry emissions, biomass combustion and biogenic emissions. Chemical reactions between SOA precursors and oxidants (such as OH radicals) lead to the formation and growth of SOAs [7,8].
Current research shows that, aside from directly affecting the health of lives on Earth, aerosols can also change the concentration of ozone by providing sites for heterogeneous reactions and altering the rates of photolysis reactions, thereby impacting ozone formation [9,10]. Ma et al. [11] analyzed ground-based observations and satellite data, and they suggested the changes in the aerosol concentration and optical properties as the major factors for the increase of surface ozone.
In China, ozone pollution has become more serious, especially during the summertime (June-August). Since the 1990s, ozone concentration in China has been increasing, especially in rapidly developing city groups such as the Yangtze River Delta, the Pearl River Delta and the NCP. For example, Shanxi, a province near the NCP, is faced with severe ozone pollution in summertime. It was reported that the polluted days in the capital of Shanxi Province (i.e., Taiyuan City) in 2015 and 2018 are 35 days and 100 days, respectively [12,13]. According to the observational data from 74 Chinese cities, the mean value of the daily maximum 8-h average ozone has increased by 3%·year−1 over the period 2013–2017 [9]. Thus, ozone pollution has become another major concern in China. Ozone in the troposphere is formed through combined photochemical reactions between nitrogen oxide (NOx), carbon monoxide (CO) and volatile organic compounds (VOCs) under solar radiation. Thus, the level of ozone is highly determined by the release of these precursors. Furthermore, ozone concentration is also affected by meteorological conditions [9]. Previous studies have shown that ozone pollution events in China are usually accompanied by high temperature, low wind speed and low relative humidity conditions. The increase of ozone in the environment exerts a significant impact on human health, climate change and atmospheric chemistry [14,15]. In addition, ozone influences the atmospheric oxidation and the formation of SOA [9]. In recent years, ozone and PM2.5 pollutions frequently occur at the same time. Jia et al. [16] analyzed the observational data of Nanjing, a city in eastern China, and found that, in hot seasons, a high ozone level in a strong oxidizing atmosphere promotes the formation of secondary particles, which may result in a positive correlation between PM2.5 and ozone. Li et al. [4] also reported that the oxidation state of organic aerosols in the summertime of the NCP is the highest, which may be caused by strong photochemical processes with the participation of ozone.
Atmospheric aerosols and ozone play a crucial role in air quality and atmospheric chemistry. On one hand, the formation of ozone can affect many aspects, such as the formation and growth of aerosols. For example, the concentrations of O3 and H2O2 determine the oxidation of SO2 to form sulfate aerosol, and the partitioning of HNO3 between the gas and aerosol phases governs the level of nitrate aerosol. On the other hand, aerosols can impact the ozone formation rate by altering photolysis rates [17].
Taiyuan, the capital of Shanxi Province in North China, is a major coal-based city on the Loess Plateau. It is the largest coking base in China, producing over half of the country’s charcoal [18,19]. The city has significant local emissions from coal usage and various industrial activities, leading to severe air pollution. Moreover, the geographical condition of Taiyuan City is special. As shown in Figure 1, Taiyuan is located in the northern part of the Taiyuan Basin, with an average elevation of approximately 800 m and the highest and lowest elevations of 2670 m and 760 m, respectively. Taiyuan is also adjacent to the Taihang Mountains to the east, Lvliang Mountains to the west, Yunzhong Mountain and Xizhou Mountain to the north and a river valley in the middle and the south. Thus, the terrain in the north of Taiyuan is narrow, while the terrain in the south is wide, which makes Taiyuan a trumpet-shaped terrain, characterized by a central plain surrounded by mountains on three sides, forming an overall shape resembling a trumpet. Due to the influence of Taiyuan’s trumpet-shaped terrain, the annual average wind speed in the region is low (0.3 m/s) and the frequency of calm winds is high (over 30%) [20]. Low planetary boundary layer height and low ventilation indexes (<3000 ) were also observed due to the special terrain of Taiyuan [21]. This unique topographical feature also makes it difficult for pollutants to disperse effectively. Previous studies [22,23] indicated that good air quality in Taiyuan is often associated with strong northerly winds, whereas southerly winds tend to transport pollutants into Taiyuan, leading to PM2.5 concentrations above 200 . In addition, pollution events in Taiyuan can be affected by the East Asia monsoon, which mostly brings southeasterly winds during the summertime. As a result, pollutants from the Beijing–Tianjin–Hebei region can be transported to Taiyuan, causing heavy pollution [24]. In recent years, the concentration of PM2.5 in Taiyuan has been high, and the surface ozone is also increasing, making it one of the most heavily polluted cities in China [18].
Figure 1.
Topographic map of Taiyuan.
Previous studies have investigated the air pollution in Taiyuan. To name a few, Bai et al. [25] reported that heavily polluting cities in Shanxi Province include Taiyuan, Linfen, Jincheng, Changzhi, Lvliang, Yangquan and Jinzhong, and the heavily polluted areas show negligible variations between the years 2012 and 2015. Li et al. [26] indicated that coal combustion contributes highly to VOCs in the atmosphere of Taiyuan, which are precursors of ozone and secondary aerosols. Results of the positive matrix factorization model (PMF) also showed that the coking process is the largest contributor (32.56%) to the ambient VOCs in Taiyuan, followed by coal and biomass combustion (23.25%) [27]. Through analyzing the meteorological conditions of Taiyuan and using the backward trajectory, Li et al. [26] found that the regional transportation of pollutants related to coal burning and coking from the basin may aggravate the pollution in Taiyuan.
Numerical models have also been used to simulate the air pollution in Taiyuan City. Wu et al. [28] evaluated the contributions of the trans-boundary transport of NCP emissions to the air quality in northwest China during a persistent air pollution episode in May 2015. According to the results of a model that coupled air quality and meteorology, WRF-Chem, they found that the model performs well in capturing the variations of PM2.5, ozone and NO2. In addition, they indicated that NCP emissions contribute substantially to ozone and PM2.5 in Shanxi Province, the downwind area of the NCP. Qi et al. [29] used WRF-Chem to simulate the air quality in 26 cities in northern China over January, April, July and October 2015, and they found that the net fluxes of PM2.5 in Taiyuan are positive in April, July and October but negative in January. Moreover, they indicated that the overestimation of PM2.5 in Shanxi Province by the model is due to an improper allocation of rural emissions in emission inventories, and the uncertainties in emission inventories are magnified during model computations. Bai et al. [25] employed the WRF-CAMx model to explore the spatial–temporal characteristics of air pollution in Shanxi. They found that heavily polluted areas concentrate in Taiyuan, and the effect of the emission reduction policy is not obvious there. They also pointed out possible reasons for the discrepancy of model predictions as the biases in the meteorological prediction, limitations of the special terrain and the deficiency of the model mechanism.
Despite existing studies, there is limited focus on the combined pollution of ozone and PM2.5 pollution in coal-dependent Chinese cities like Taiyuan. Numerical simulations of combined air pollution in such cities are also scarce. This study investigates the drivers of combined ozone and PM2.5 pollution in Taiyuan during May 2015 using the WRF-Chem model. We aim to identify key factors contributing to this pollution, enhancing understanding of air pollution in coal-based cities with unique terrain like Taiyuan, ultimately aiding in the development of effective control strategies.
In Section 2, we describe the model configurations, the gas-phase mechanism, the observational data and assessment parameters we used. In Section 3, we evaluate the model performance in capturing meteorological parameters and pollutant concentrations. Furthermore, this study analyzes the drivers of the pollution and discovers the meteorological and geographical conditions that are essential to the accumulation of pollutants in Taiyuan. Major conclusions and future work prospects are summarized in Section 4.
2. Methodology
We studied the combined pollution event of ozone and PM2.5 in Taiyuan City and found that its peak period is from May to June. To explore the drivers of summer atmospheric combined pollution event in Taiyuan, this study selected a typical atmospheric combined pollution event in Taiyuan from 20 May to 30 May 2015 as the studied period, with the MDA8 for ozone exceeding 140 ppbv and PM2.5 concentrations surpassing . This event can provide a reference for the study of summertime combined pollution events in Taiyuan City. We employed the Weather Research and Forecasting/Chemistry (WRF-Chem) [30] model to simulate the pollution event. Then, the simulation results, including pollutant concentrations and meteorological parameters, were compared with the observational data, and the results were evaluated using assessment parameters. In addition, we also output the horizontal distributions of pollutants and meteorological parameters to explore the drivers of this combined pollution event.
2.1. Measurements
In this study, to evaluate the model performance, we obtained the meteorological data of Taiyuan (37.73° N, 112.56° E) from the National Climatic Data Center (https://www.ncdc.noaa.gov/, accessed on 2 March 2025). The meteorological data we used include temperature, wind speed and wind direction. To validate the simulated wind, we also decomposed the wind speed into an east–west component (u) and a north–south component (v).
In addition, concentrations of pollutants such as PM2.5 and ozone were provided by the National Urban Air Quality Real-time Release Platform of China Environmental Monitoring Station (http://www.cnemc.cn/, accessed on 2 March 2025). In Taiyuan, there are nine air quality monitoring stations (see Table 1). We averaged the data over these stations to obtain the pollutant concentration for Taiyuan City. By pre-analyzing the variations of pollutants in Taiyuan since 2014, we found that, from 20 May to 30 May 2015, the concentrations of ozone and PM2.5 were both high, so we chose this time period to study.
Table 1.
Locations of the air monitoring stations used in this study.
2.2. Model Description
2.2.1. Model Settings
In this research, the Weather Research and Forecasting/Chemistry (WRF-Chem) version 3.9.1 was employed, which has been developed by research institutions including NOAA, DOE/PNNL and NCAR [31]. It is a model in which air quality and meteorological parameters are coupled together. It has been proven that the WRF-Chem model can accurately predict pollutants such as ozone [30]. We defined our computational domains on the Lambert projection, and the center of the domains was 37.2° N, 108.06° E (see Figure 2). Three nested domains were set up in this research. Domain 1 covers most of the central and eastern provinces of China, nested domain 2 covers North China, and domain 3 covers almost all areas of the Shanxi Province, with a horizontal resolution of 3.3 km × 3.3 km. In present simulations, outputs of the outer domains, including the meteorological parameters and pollutant concentrations, were passed to the inner domains as the boundary conditions. Moreover, the boundary condition of the outermost domain (i.e., D01) used the default settings, because this condition only exerts a minor influence on simulations in the innermost layer (i.e., D03), due to the long distance between the innermost domain and the boundaries of the whole computational domain. The innermost domain has 186 grid points in the east–west direction and 159 grid points in the north–south direction, and 38 vertical layers. The simulated time period is from 20 May to 30 May 2015, and the simulation results were output hourly for analysis. The default initial conditions of WRF-Chem were adopted as the initial fields of the simulations. To reduce the uncertainty caused by implementing inaccurate initial conditions in the model, the first 28 h in the simulations were treated as the spin-up time. The parameterization schemes used in this study are listed in Table 2.
Figure 2.
The nested domains defined in the model.
Table 2.
Options used for parameterizations of atmospheric processes in the WRF-Chem model.
To accurately simulate the meteorological field, Four-Dimensional Data Assimilation (FDDA) was used to improve the model’s initialization [42]. FDDA is widely used by the air-quality community and shows a positive influence in reducing simulation bias for air-quality studies by optimizing the simulations of meteorological conditions. Applying FDDA nudging methods decreases the deviations in the simulations of meteorological parameters, especially the winds [43]. Thus, it is necessary to improve the wind field simulation using FDDA. The fifth generation reanalysis product of the European Centre for Medium Range Weather Forecasts (ERA5, 0.25° × 0.25°) [44], which combines model data and observations, was employed as the initial field to drive the FDDA.
Statewide Air Pollution Research Center (SAPRC99) [45] was used as the gas-phase mechanism in this simulation, coupled with the Model for Simulating Aerosol Interactions and Chemistry (MOSAIC),with 8 sectional aerosol bins. Chen et al. [46] conducted a comparison of RACM, SAPRC99 and SAPRC07 and found that, under heavy pollution conditions, the differences in simulation results are minor. Their study suggested the choice of the chemical mechanism might not be critical under heavy polluted conditions compared to clean conditions [46]. Given that our study focuses on heavy pollution, we opted for the SAPRC99 mechanism. The chemical mechanism is generated by the kinetic preprocessor (KPP) in the model, and equations are solved using a Rosenbrock-type solver [47,48,49].
2.2.2. Gas-Phase Chemical Mechanism
In this simulation, we adopted SAPRC99 as the gas-phase mechanism, coupled with the aerosol module MOSAIC with 8 sectional aerosol bins. In the SAPRC99 simulation, volatility basis set (VBS) is included for organic aerosol evolution [50].
SAPRC99 is a condensed mechanism based on the lumped species method. It has the ability to individually characterize the atmospheric reaction of 400 VOCs, and it can estimate the reactivity of 550 VOCs. The mechanism has been evaluated based on the results of nearly 1700 environmental laboratory experiments conducted at the University of California at Riverside, including experiments to test the predictions of ozone reactivity for more than 80 VOCs [45]. Coupled with SAPRC99, we used the Model for Simulating aerosol Interactions and Chemistry (MOSAIC) as the aerosol scheme. MOSAIC can address all major aerosol species that are important at the city, local and global scales [51]. It can also use the model or sectional approach to represent the aerosol size distribution. In this study, we used the sectional aerosol scheme of 8 bins over 39 nm–10 µm. VBS was also used for the gas-particle distribution in the aerosol scheme, which helps the model cope with the oxidation of a wide range of organic aerosol types and different VOCs in the atmosphere.
2.2.3. Emissions
Anthropogenic emissions of pollutants including NOx, VOC, PM2.5 and PM10 were applied in the model using the 2015 emission inventory from the multi-resolution Emission Inventory for China (MEIC). These emissions are provided as different source sectors (electricity, industry, civil, transportation and agriculture) with a high spatial resolution (0.25° × 0.25°) on a monthly basis [52]. The MEIC emission inventory covers more than 700 anthropogenic emission sources in China, and it can provide a multi-scale and multi-component emission inventory that is in compliance with the air quality model. Aside from the anthropogenic emissions, we used the Model of Emissions of Gases and Aerosols from Nature (MEGAN) for biological emissions, which is calculated online based on weather and land-use data [53].
2.3. Assessment Parameters
The simulated meteorological parameters and pollutant concentrations were evaluated using the available surface observations. The assessment parameters used in this study include correlation coefficient (R), index of agreement (IOA), mean bias (MB), root mean square error (RMSE), normalized mean bias (NMB), normalized mean error (NME), mean fractional bias (MFB) and mean fractional error (MFE). Among these parameters, R, MB and RMSE were used to evaluate the simulation results of meteorological parameters, and R, IOA, NMB, NME, MFB and MFE were applied to validate the simulated pollutant concentrations. These parameters were calculated as follows [54]:
In these formulas, n is the total number of data, Pi is the predicted value at the ith time point and Oi is the observed value at the ith time point. and are time-averaged values in predictions and observations, respectively.
2.4. Sensitivity Tests
To quantify the contributions of local emissions and the transportation from areas with heavy emissions (i.e., Taiyuan Basin, the NCP and Henan Province) to the air pollution in Taiyuan, we conducted sensitivity tests and calculated the percentage contribution by different processes. In these tests, we in turn switched off all anthropogenic emissions in Taiyuan City and these areas. Thus, the deviation between the results of the standard simulation and the sensitivity tests (i.e., ) represent the influence of local emissions and emissions from other regions (i.e., Taiyuan Basin, the NCP and Henan Province). In this calculation, is the simulated pollutant concentration in the standard simulation and is the pollutant concentration in the sensitivity tests. Moreover, the percentage contribution was also calculated as follows:
3. Results and Discussions
We used WRF-Chem to simulate the pollution in Taiyuan City from 20 May to 30 May 2015. We first output the results of simulated meteorological parameters, such as temperature T at 2 m height, east–west wind speed u and north–south wind speed v at 10 m height and made a comparison with the measurements. In addition, we output the simulated ozone and PM2.5 and compared them with data from corresponding observation stations and analyzed the temporal variations of pollutants. In order to explore the drivers of this air pollution in Taiyuan, we also analyzed the spatial distributions of pollutants (ozone and PM2.5), meteorological parameters and emissions.
3.1. Comparison of Time Series Between Simulations and Measurements
Simulations of pollutants are strongly affected by the model accuracy in capturing meteorological parameters. For example, in this study wind plays an important role in the simulations of pollutants, because the monitoring stations are concentrated near emission sources, and the polluted area in Taiyuan is always in a small scope. If the simulated wind is largely biased from reality, a large deviation in the simulated concentrations of pollutants would occur. Thus, in order to ensure the model accuracy, we first validated the simulation results of meteorological parameters. Figure 3a gives a comparison between the simulated temperature at a height of 2 m and the observed temperature. It can be seen from the observations that, from 22 May to 27 May, the maximum of temperature in the afternoon increased day by day. The daily maximum reached a peak on 27 May, and then it began to decline. In comparison, it was found that the temperature is generally well simulated by the model, with a correlation coefficient (R) of 0.9. Overall, the gradual increase of the temperature from 20 May to 27 May, especially the peak on 27 May, which favors the ozone prediction, is well captured. In addition, the model also successfully simulates the lowest values of the temperature in the evenings, which is important for the estimation of PM2.5.
Figure 3.
The observed and predicted meteorological parameters. (a) temperature at 2 m; (b) u wind speed at 10 m; (c) v wind speed at 10 m. When the wind speed u is positive, it represents a westerly wind, when it is negative, it represents an easterly wind; when the wind speed v is positive, it represents a southerly wind, and when it is negative, it represents a northerly wind.
In addition to the temperature, we also compared the simulation results of wind at a height of 10m with the measurements (see Figure 3b,c). From the observational data shown in Figure 3, the wind direction and the wind speed change consistently, and the wind speed u has a maximum 7.88 m·s−1 on the night of 27 May, while the wind speed v mainly changes between −5 m·s−1 and 5 m·s−1. In general, the model behavior in capturing the wind speed is not as good as that in simulating the temperature. The bias in simulating the wind speed is mainly due to the special terrain of Taiyuan. Taiyuan is located in Taiyuan Basin, surrounded by three mountains; thus, it is difficult to simulate the wind using this model. However, after applying the FDDA, predictions of the wind direction and the maximum wind speed have been improved. Moreover, the maximum wind speed u on 27 May was well captured, which is important for the formation of the following severe PM2.5 pollution, which will be discussed in a later section. In addition, according to the values of the assessment parameters (see Table 3), the wind simulation is acceptable, with mean biases (MBs) of 0.37 and 0.38 for u and v, respectively. Therefore, in this study, we believe the simulations of wind are reliable.
Table 3.
Assessment parameters for meteorological predictions.
Figure 4 shows the simulated and observed temporal variations of ozone and PM2.5. According to the observations, ozone is low at night and reaches the maximum in the afternoon, which is consistent with the change of temperature. Moreover, the ozone maximum in the afternoon progressively increased from 23 May to 27 May under the condition of a low wind speed, peaking on the afternoon of 27 May (see Figure 4a), and then decreasing. In simulations, the overall temporal variation of ozone is consistent with that in observations (R = 0.81). Moreover, the model captured the high ozone on 27 May. From the assessment parameters (see Table 4), the simulation of ozone is credible (e.g., |NMB| ≤ 0.15, NME ≤ 0.35). After 28 May, precipitation and a high wind, which are unfavorable for the formation and the accumulation of ozone, appeared, so that ozone dropped remarkably. The model also captured this change.
Figure 4.
The observed and predicted concentrations of (a) ozone and (b) PM2.5.
Table 4.
Assessment parameters for ozone and PM2.5 predictions.
In Figure 4b, the observed PM2.5 shows peaks in the evenings and troughs in the afternoons. A maximum of PM2.5 on 28 May was found (see Figure 4b), following the maximum of ozone on 27 May (see Figure 4a). Similar to ozone, PM2.5 decreased after 28 May due to the precipitation. By comparing the modeled concentration of PM2.5 with the observations, we found that the model simulates the temporal evolution of PM2.5 with an R of 0.7. In addition, the high PM2.5 on the early morning of 28 May, which corresponds to the ozone peak on 27 May, is also captured by the model. In general, although the model overestimated the PM2.5 concentration, values of assessment parameters proved that the model results for PM2.5 are still credible. Connecting to the meteorological predictions, we suggest that the reason for the PM2.5 overestimation by the model might be the underestimation of the wind speed in early mornings in the simulations.
In order to further evaluate the model behavior in reproducing the pollution event, this study also analyzed the simulation results at each monitoring station for individual comparisons (see Appendix A). We calculated the correlation coefficient between the simulated values and the observed values (see Table 5). According to the evaluation criteria of Cohen [55], indicates low correlation, indicates moderate correlation, and indicates high correlation. For PM2.5 simulations, most of the stations possessed correlation coefficients greater than 0.7, indicating moderate or high correlations. For ozone simulations, most of the stations also demonstrated moderate or high correlations, with values of R greater than 0.7. Therefore, the model performed well. The appendix shows an overestimation of PM2.5 at southern observation stations in Taiyuan (Jinyuan, Jinsheng, Xiaodian), and these three observation stations are located in rural areas. As proposed by Qi et al. [29], the improper allocation of rural emissions in the emission inventory and amplified uncertainties during model calculations could contribute to PM2.5 biases in pollution simulations in Shanxi Province. Lu et al. [56] identified that mesoscale models often underestimate turbulent diffusivities in stable boundary layers, particularly at night, leading to an aerosol overestimation. Furthermore, Bai et al. [25] pointed out possible reasons for the differences in model predictions, including biases in meteorological forecasting, limitations in simulations for special terrains, and inadequate description by chemical mechanisms in the model. In summary, we believe that the PM2.5 overestimation may be influenced by uncertainties in the emission inventory, underestimation of the turbulent diffusivity in the stable boundary layer, model performance in areas with complex terrains and the choice of chemical mechanisms in the model.
Table 5.
Correlation coefficient between simulated and observed values of PM2.5 and ozone at each station.
In previous studies, Qi et al. [29] used the WRF-Chem coupled with the CBMZ mechanism and MOSAIC 8-bin scheme to simulate the air quality of cities in North China, including Taiyuan. They also found the PM2.5 concentration in Taiyuan was largely overestimated in simulations, which is similar to our findings. They speculated that the overestimation of PM2.5 is due to the uncertainty in the emission inventory and the treatment of chemical reactions in the model. The MEIC inventory used in this study includes over 700 anthropogenic emission sources [52]. Because the MEIC inventory only provides monthly average data, to apply the inventory into the air quality model, factors redistributing the monthly data into different months and days as well as different altitudes are needed, which can inevitably lead to errors when the MEIC inventory is applied to individual cases. Bai et al. [25] used WRF model with extensions (CAMx) to study the variations of pollutant concentrations in Shanxi Province from 2012 to 2015, and they found that the peak value of PM2.5 in July would be significantly underestimated by the model, while the trough value would be overestimated. Xu et al. [57] indicated that the overestimation of PM2.5 in China by WRF-CAMx may be due to the absence of certain heterogeneous reactions in the CAMx model and the uncertainties in the emission inventory. By comparison, in this study, WRF-Chem coupled with SAPRC99 performed well in predicting concentrations of ozone and PM2.5, with assessment parameters within reasonable ranges.
3.2. Analysis of the Drivers of the Combined Pollution Event in Taiyuan
Above, we have validated the simulation results for the temporal variations of pollutants (ozone and PM2.5) and meteorological parameters in Taiyuan. We then output the spatial distributions of observed and simulated pollutants, meteorological parameters and emissions to clarify the role of meteorological conditions, local emissions and emissions from other regions (e.g., Taiyuan Basin, the NCP and Henan Province) in the formation of this combined air pollution in Taiyuan City.
3.2.1. Spatial Distributions of the Observed Ozone and PM2.5
From Figure 4, we can see that, on the afternoon of May 27 and on the morning of May 28, ozone and PM2.5 in Taiyuan reached their peaks. Thus, we first pay attention to the observed ozone and PM2.5 concentrations in Taiyuan and surrounding cities (Yangquan, Jinzhong, Xinzhou and Lvliang) during this time period, shown in Figure 5 and Figure 6, respectively. Figure 5 shows that the monitoring stations in Taiyuan are concentrated in the east of Taiyuan, which belongs to an urban area. According to the observed ozone concentration on the afternoon of 27 May, the highest ozone in Taiyuan reached 163.33 ppbv at 16:00 (see Figure 5c), and the ozone pollution lasted until 19:00. During this period, almost all stations in Taiyuan detected high levels of ozone. In addition, stations in Jinzhong (to the south of Taiyuan) and Yangquan (to the east of Taiyuan) were also found to have serious pollution during this time. Thus, we believe that the high ozone on the afternoon of 27 May in Taiyuan might be significantly influenced by a transport of air from regions to the south or to the east of Taiyuan.
Figure 5.
Ozone concentrations in Taiyuan and surrounding cities on the afternoon of 27 May; the selected time points are (a) 12:00, (b) 14:00, (c) 16:00.
Figure 6.
PM2.5 concentrations in Taiyuan and surrounding cities from 27 May to 28 May; the selected time points are (a) 20:00, (b) 1:00, (c) 3:00.
In Figure 6, the level of PM2.5 increased remarkably from 20:00 on 27 May to 1:00 on 28 May in Taiyuan, reaching the highest value of 263 µg·m−3 at 1:00. This particulate matter (PM) pollution in Taiyuan lasted until 6:00 on 28 May, and analogous pollutions also occurred in Jinzhong and Yangquan during this time period, similar to the ozone pollution discussed above. Thus, PM pollutants may also be transported from regions to the south or to the east of Taiyuan. After 3:00, the PM pollutants in Jinzhong and Yangquan began to diffuse, but the PM2.5 levels in the middle of Taiyuan were still high (see Figure 6c). This is because of a weak diffusion condition in Taiyuan due to the special geographical conditions of Taiyuan and the low wind speed during this time period (see Figure 3). Therefore, we suggest that this heavy PM2.5 pollution in Taiyuan City might be caused by an accumulation of pollutants coming from regions to the south or to the east of Taiyuan under a weak diffusion condition.
3.2.2. Contributions of the Transport and Emissions to Air Pollution in Taiyuan
Integrating the ozone and PM2.5 observations and the topographical characteristics of Taiyuan, we found that the combined air pollution from 27 May to 28 May in Taiyuan might be caused by the transport of pollutants, accompanied by unfavorable diffusion conditions. Therefore, we continued to output the spatial distributions of pollutants in the simulations to understand the properties of this pollution event.
Figure 7 shows the vertical profiles of PM2.5 from 27 May to 28 May. We found that, during this pollution event, PM2.5 peaks at the surface and its concentration decreases with height. At 23:00 on 27 May, PM2.5 on the surface was 134 µg·m−3. Then, it increased to 172 µg·m−3 at 3:00 on 28 May, and finally reached a maximum of 178 µg·m−3 at 7:00. Because the increase of PM2.5 occurred close to the surface, we then displayed the model results at the lowest layer to further analyze the drivers of the PM2.5 pollution.
Figure 7.
Vertical profiles of PM2.5 in Taiyuan at different time points. (a) 23:00 on 27 May; (b) 3:00 on 28 May; (c) 7:00 on 28 May.
Figure 8 shows the spatial distributions of PM2.5 and the wind during the pollution event. We can see that the high PM2.5 in Taiyuan occurred mainly in the south of the city. The polluted area is consistent with the area, with strong emissions shown in Figure A3 in Appendix B. Thus, we suggest local primary emissions an important source of the PM2.5 pollution in Taiyuan. Moreover, the wind direction is southeast from 21:00 on 27 May to 1:00 on 28 May in Taiyuan (see Figure 8a–d), which is conducive to the transport of pollutants from the southeast to Taiyuan. As mentioned earlier, the NCP, which is located to the east of Taiyuan, has large emissions, so the PM pollution in Taiyuan is likely to be significantly affected by the transport of pollutants from the NCP. Wu et al. [28] indicated that, during the Asia summer monsoon season (from May to September), meteorological conditions over eastern China are characterized by prevailing southwesterly–southeasterly winds. They also concluded that the PM2.5 concentration in Taiyuan is considerably influenced by NCP emissions. This claim is further confirmed by our simulation results. Furthermore, from 21:00 on 27 May to 7:00 on 28 May (see Figure 8), Taiyuan experienced a southeasterly wind, which transported the pollutants from the NCP to Taiyuan along the Taihang Mountain channel. Afterwards, unfavorable diffusion conditions led to the accumulation of pollutants, resulting in the occurrence of this pollution, leading to a PM2.5 increase (higher than 200 µg·m−3) and an expansion of area with high PM2.5. Then, the wind speed declined and tended to zero at 7:00, which is unfavorable for the diffusion of particulate matters in Taiyuan. In addition, the complex terrain in Taiyuan also makes it difficult for the pollutants to diffuse. Thus, we suggest that the severe PM2.5 pollution in Taiyuan is a combined result of local emissions, a trans-boundary pollutant transport from the NCP and unfavorable geographical and diffusion conditions.
Figure 8.
Spatial distributions of PM2.5 and the wind at (a) 21:00, (b) 23:00 on 27 May and (c) 1:00, (d) 3:00, (e) 5:00 and (f) 7:00 on 28 May.
To further quantify the contributions to PM2.5 in Taiyuan by local emissions and the pollutant transport from the NCP, we performed sensitivity tests in which emissions from Taiyuan City and the NCP were switched off separately (see Appendix C). We found that emissions from the NCP are important for the severe PM2.5 pollution occurring from 27 May to 28 May, with a contribution of 52%. In contrast, local emissions in Taiyuan contribute 43% to the peak of PM2.5.
Figure 9 shows the contributions of the horizontal advection process (advh) and the vertical mixing process (vmix) to PM2.5 at different heights. From Figure 9a–c, we can see that the contribution of the horizontal advection to the surface PM2.5 in Taiyuan remains positive during this time period, and the contribution attains approximately 100 µg·m−3 at 5:00 on 28 May. In contrast, the contribution of the vertical mixing to the surface PM2.5 is less than 10 µg·m−3 (see Figure 9d–f), which is one order smaller than that of the horizontal advection. Thus, we suggest that the horizontal advection is the major factor for the severe PM pollution at the surface in Taiyuan during this time.
Figure 9.
Contributions of the horizontal advection process (advh) and the vertical mixing process (vmix) to PM2.5 in Taiyuan at different time points. (a) 21:00 on 27 May, advh; (b) 1:00 on 28 May, advh; (c) 5:00 on 28 May, advh; (d) 21:00 on 27 May, vmix; (e) 1:00 on 28 May, vmix; (f) 5:00 on 28 May, vmix.
We then turned to investigating the drivers of the severe ozone pollution in Taiyuan occurring on 27 May. Figure 10 shows the vertical profiles of ozone on the afternoon of 27 May. Different from PM2.5, ozone peaks (>100 ppbv) at a height of about 2700 m early in the morning (see Figure 10a). In contrast, the surface ozone was only 55 ppbv at the same time. As time passes, the surface ozone increased due to the enhanced turbulent mixing in the afternoon, reaching 92 ppbv and 105 ppbv at 13:00 and 15:00, respectively. At 15:00, the surface ozone level is nearly equal to that at higher altitudes (see Figure 10c).
Figure 10.
Vertical profiles of ozone at different time points of 27 May. (a) 11:00; (b) 13:00; (c) 15:00.
In order to reveal the factors dominating the ozone pollution in Taiyuan City, we also plotted the contributions of the horizontal advection process (advh) and the vertical mixing process (vmix) to ozone in Figure 11. We found that, from 11:00 to 15:00 on 27 May, contributions of the horizontal advection are negative on the ground but positive at a layer above 1000 m (see Figure 11a–c). In contrast, contributions of the vertical mixing are positive on the ground but negative at higher altitudes (see Figure 11e–f). Thus, the major factor causing the sharp increase of the surface ozone in Taiyuan during this time period is the vertical mixing, while the horizontal advection mainly contributes to the loss of the surface ozone. Based on these simulations, this study proposed the mechanism leading to the ozone pollution in Taiyuan during this time as follows: at high altitudes, ozone-rich air was horizontally transported to Taiyuan and then mixed downwards due to the enhanced vertical mixing, resulting in an increase of the surface ozone in Taiyuan City. From Figure 11d–f, we found the strongest downward vertical mixing occurring at an averaged height of approximately 1700 m. Thus, we continued to output the simulation results of ozone at the height of 1700 m to discover the major source regions of ozone.
Figure 11.
Contributions of the horizontal advection process (advh) and the vertical mixing process (vmix) to ozone in Taiyuan at different time points of 27 May. (a) 11:00, advh; (b) 13:00, advh; (c) 15:00, advh; (d) 11:00, vmix; (e) 13:00, vmix; (f) 15:00, vmix.
Figure 12 shows the spatial distributions of ozone and the wind at the height of 1700 m on the afternoon of 27 May. From 13:00 to 16:00 (Figure 12a–d), a southerly wind prevailed in Taiyuan, which was able to carry pollutants from regions to the south of Taiyuan to this city. Moreover, we found the ozone level in regions to the south of Taiyuan larger than 140 ppbv. Thus, we suggested the ozone at higher altitudes of Taiyuan mainly come from regions to the south of Taiyuan. Regions that are located to the south of Taiyuan and possess large emissions or high ozone concentrations include Taiyuan Basin and Henan Province. Thus, we conducted a series of sensitivity tests in which we in turn switched off all anthropogenic emissions in Taiyuan, the NCP, Taiyuan Basin and Henan Province, and we calculated the percentage changes of ozone after switching off the emissions of these possible source regions. Figure A5 in Appendix C shows the contributions of emissions from different source regions to the surface ozone in Taiyuan. We found emissions from these four source regions (i.e., Taiyuan, the NCP, Taiyuan Basin and Henan Province) contributing 7%, 3%, 12% and 11% to the peak value of the surface ozone in Taiyuan, respectively. Thus, emissions from Taiyuan Basin and Henan Province were found to be relatively important for this ozone pollution in Taiyuan, while NCP emissions exerted a relatively minor influence.
Figure 12.
Spatial distributions of ozone and the wind speed at different time points on 27 May at the height of 1700 m. (a) 13:00; (b) 14:00; (c) 15:00; (d) 16:00; (e) 17:00; (f) 18:00.
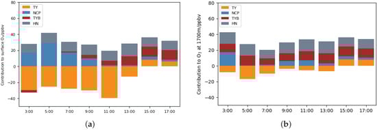
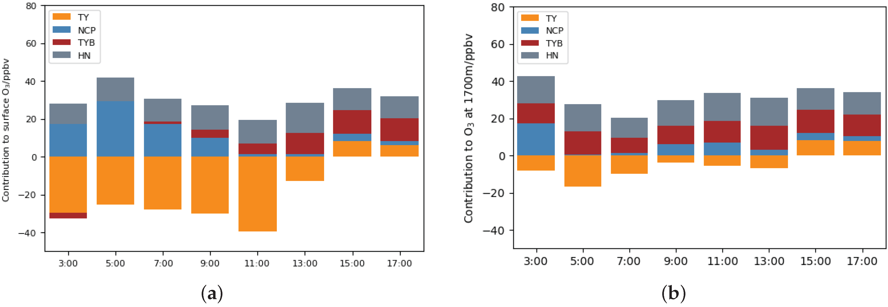
Above, we have clarified the major source regions for the high ozone event occurring on 27 May in Taiyuan. However, the influence of emissions from these regions on ozone may vary with time. To further investigate this, we show the deviation in the ozone concentration between the results of the sensitivity tests and the standard simulation at different time points of 27 May (Figure 13). We found that, from 3:00 to 13:00, local emissions contributed negatively to the surface ozone (Figure 13a) and the ozone at a higher altitude (i.e., 1700 m; see Figure 13b). But the contributions became positive after 15:00. We suggest the reason for the shift in the contribution is that, in the morning, when the solar radiation is weak, local anthropogenic emissions in Taiyuan, especially the NOx emissions, played a role in consuming ozone through the titration reaction. On the contrary, in the afternoon when the solar radiation is strong, local anthropogenic emissions would promote the ozone formation through the oxidation of VOCs. With respect to the emissions from the NCP, it is seen from Figure 13 that, in the early morning, NCP emissions contributed up to 29.33 ppbv to the surface ozone in Taiyuan. Thus, pollutants from the NCP may be transported to Taiyuan in the early morning of 27 May. However, in the afternoon, NCP emissions exerted only a minor influence on ozone in Taiyuan, no matter if they were near the ground or at a higher altitude. As we mentioned above, the prevailing wind direction in Taiyuan on the afternoon of 27 May is south, while the NCP is located to the east of Taiyuan. Thus, emissions from the NCP had only a weak impact on ozone in Taiyuan on the afternoon of 27 May. Regarding the emission from Taiyuan Basin, it can be seen in Figure 13b that its contribution to the high-altitude ozone is greater than 10 ppbv and remains stable over time. However, its contribution to the surface ozone did not show up until 7:00 (see Figure 13a). We suggest that pollutants from Taiyuan Basin were first horizontally transported to the high altitude of Taiyuan and then mixed to the ground from 7:00 in the morning, leading to the increase of the surface ozone. As for the emissions from Henan Province, they have a sustained contribution to ozone at these two height layers, with average values of 12.49 ppbv and 13.39 ppbv, respectively. Thus, we propose that pollutants from Henan Province affected the ozone at different heights uniformly in Taiyuan through the horizontal advection, along with the southerly wind.
Figure 13.
Contributions to ozone by emissions from different source regions (Taiyuan, the NCP, Taiyuan Basin and Henan Province) at different time points of 27 May. (a) surface ozone; (b) ozone at 1700 m.
4. Conclusions and Future Work
In this study, we used WRF-Chem to simulate a combined air pollution of ozone and PM2.5 in a coal-based city of China, i.e., Taiyuan, from 20 May to 30 May 2015, with the MDA8 for ozone exceeding 140 ppbv and PM2.5 concentrations surpassing . By comparing the simulation results with measurements, we found the temporal evolutions and the peak values of pollutants well captured by the model, and the assessment parameters are also within reasonable ranges (R > 0.7), indicating that the simulation results are reliable. This example can provide a reference for the study of summertime combined pollution events in Taiyuan City. However, further research on multiple cases to verify the universality of this event is still necessary.
We also explored the main factors causing the combined air pollution in Taiyuan. We found that the PM2.5 pollution in Taiyuan during this time period occurred mainly near the ground, and the surface PM2.5 was greatly affected by local emissions and emissions from the NCP located to the east of Taiyuan. It was estimated that the contributions of local emissions and emissions from the NCP to the peak value of the surface PM2.5 amount to 43% and 52%, respectively. The simulation results also showed that the horizontal advection is the dominant process for the increase of the surface PM2.5 in Taiyuan, while the impact exerted by the vertical mixing is relatively weak. With respect to the ozone pollution, the highest ozone was found to appear at an averaged height of approximately 1700 m rather than at the surface, and the vertical mixing is the dominant process causing the downward transport of the high-ozone air and thus the elevation of ozone on the ground. We also found that the ozone at higher altitudes of Taiyuan was strongly affected by emissions from source regions to the south of Taiyuan, such as the Taiyuan Basin and Henan Province, and the contributions of emissions from these two source regions to the peak of the surface ozone in Taiyuan were estimated as 12% and 11%, respectively.
The present study still has some limitations. For example, the interaction between the two major pollutants (i.e., ozone and PM2.5) should be studied further. To study the coupling mechanism between PM2.5 and ozone, which is a very complex process, in more depth, simulations under different meteorological conditions would be beneficial. Additionally, sensitivity tests should be carried out by observing the contributions of specific chemical reactions and emission sources by varying the intensity of emissions. The simulations shown in the present manuscript are the start of our research, and investigations on the coupling of PM2.5 and ozone are to be presented in our subsequent manuscripts. More processes and factors that can affect the formation of ozone and PM2.5 pollution in Taiyuan need to be further investigated. In future studies, we plan to discover the role of many other factors, such as SOAs, in the formation of the combined pollution in Taiyuan. Furthermore, a series of sensitivity tests on emissions are to be performed in the future, which can help to guide the formulation of pollution control strategies for Taiyuan City.
Author Contributions
Conceptualization, L.C. and Y.W.; methodology, H.D.; software, J.M.; validation, Y.W., L.X. and L.S.; formal analysis, S.L.; investigation, J.M.; resources, S.L.; data curation, J.M.; writing—original draft preparation, J.M. and Y.W.; writing—review and editing, L.C.; visualization, Y.W.; supervision, S.L. and L.C.; project administration, L.C.; funding acquisition, L.C. All authors have read and agreed to the published version of the manuscript.
Funding
This study is funded by the National Key Research and Development Program of China (Grant No. 2022YFC3701204), the National Natural Science Foundation of China (Grant No. 41705103) and the 2023 Outstanding Young Backbone Teacher of Jiangsu “Qinglan” Project (Grant No. R2023Q02).
Institutional Review Board Statement
Not applicable.
Informed Consent Statement
Not applicable.
Data Availability Statement
All data needed to evaluate the conclusions in the paper are present in the paper. The source code of the model and the data of the computational results shown in this article can be acquired upon request from the authors.
Acknowledgments
The numerical calculations in this paper have been performed at the National Supercomputer Center in Tianjin and the High Performance Computing Center at the Nanjing University of Information Science and Technology.
Conflicts of Interest
The authors declare no conflicts of interest.
Appendix A. Comparison of Simulated and Observed Concentrations of Ozone and PM 2.5 at Each Monitoring Station
In order to further validate the model behavior, we compared the simulated ozone and PM2.5 at each monitoring station in Taiyuan with measurements. Figure A1 shows the temporal evolutions of the observed and simulated ozone at each station. As depicted in Figure A1, the simulated ozone at each station shows a similar trend to the station-averaged ozone, shown in Figure 4 in the manuscript. Furthermore, at each station, the simulated ozone agrees well with the measurements, and the maximum on the afternoon of 27 May is also well captured. Thus, the ozone simulations in the present study are acceptable.
Figure A1.
The predicted and observed ozone concentrations at nine monitoring stations. (a) Jiancaoping; (b) Jianhe; (c) Shanglan; (d) Jinyuan; (e) Xiaodian; (f) Taoyuan; (g) Wucheng; (h) Nanzhai; (i) Jinshang.
Figure A1.
The predicted and observed ozone concentrations at nine monitoring stations. (a) Jiancaoping; (b) Jianhe; (c) Shanglan; (d) Jinyuan; (e) Xiaodian; (f) Taoyuan; (g) Wucheng; (h) Nanzhai; (i) Jinshang.

Figure A2 provides the time series of the simulated and observed PM2.5 at nine monitoring stations. As shown in the figure, the temporal variation of the simulated PM2.5 at each station is similar to that of the station-averaged PM2.5, shown in Figure 4 in the manuscript. Moreover, we found the overall trend of PM2.5 consistent with observations, and almost all stations detected a heavy PM2.5 pollution on the early morning of 28 May. We also observed that stations near emission sources are more easily affected by the changes in meteorological conditions, such as the wind speed and direction. In general, although the model overestimates PM2.5 at stations in the south of Taiyuan, such as Jinyuan, Xiaodian and Jinsheng, we suggest that the PM2.5 simulations in this study are still reliable.
Figure A2.
The predicted and observed PM2.5 concentrations at nine monitoring stations.(a) Jiancaoping; (b) Jianhe; (c) Shanglan; (d) Jinyuan; (e) Xiaodian; (f) Taoyuan; (g) Wucheng; (h) Nanzhai; (i) Jinshang.
Figure A2.
The predicted and observed PM2.5 concentrations at nine monitoring stations.(a) Jiancaoping; (b) Jianhe; (c) Shanglan; (d) Jinyuan; (e) Xiaodian; (f) Taoyuan; (g) Wucheng; (h) Nanzhai; (i) Jinshang.

Appendix B. Spatial Distributions of Anthropogenic Emissions of Ozone and PM 2.5 Precursors
Figure A3.
Spatial distributions of anthropogenic emissions of (a) VOCs and (b) NOx in the MEIC emission inventory. The area enclosed by the red line represents the administrative boundary of Taiyuan City.
Figure A3.
Spatial distributions of anthropogenic emissions of (a) VOCs and (b) NOx in the MEIC emission inventory. The area enclosed by the red line represents the administrative boundary of Taiyuan City.

Appendix C. Contributions of Emissions from Different Source Regions to the Air Pollution in Taiyuan
We first conducted sensitivity tests in which anthropogenic emissions from Taiyuan City and the NCP were switched off separately. From the results of the sensitivity tests, we found NCP emissions contributing more than 50% to the surface PM2.5 in the whole area of Taiyuan City (see Figure A4b). Switching off emissions from the NCP would cause a 52% decline in the PM2.5 peak on May 28 in Taiyuan. In contrast, local emissions contributed more than 25% to the PM pollution in Taiyuan (see Figure A4a). It was estimated that switching off the local emissions would lead to a 43% decrease in the peak value of PM2.5 on 28 May.
Figure A4.
Percentage contributions of emissions from (a) Taiyuan and (b) the NCP to the surface PM2.5 in Taiyuan.
Figure A4.
Percentage contributions of emissions from (a) Taiyuan and (b) the NCP to the surface PM2.5 in Taiyuan.

We then performed sensitivity tests by switching off all anthropogenic emissions from Taiyuan, the NCP, Taiyuan Basin and Henan Province separately and calculated the percentage contributions of emissions from these source regions to the surface ozone in Taiyuan (Figure A5). It can be seen from Figure A5 that, different from PM2.5, the surface ozone in Taiyuan is less sensitive to emissions from these source regions during this time period. Switching off local emissions of Taiyuan and emissions from the NCP, Taiyuan Basin and Henan Province would lead to a drop in the peak value of ozone by 7%, 3%, 12% and 11%, respectively.
Figure A5.
Percentage contributions of emissions from (a) Taiyuan, (b) the NCP, (c) Taiyuan Basin and (d) Henan Province to the surface ozone in Taiyuan.
Figure A5.
Percentage contributions of emissions from (a) Taiyuan, (b) the NCP, (c) Taiyuan Basin and (d) Henan Province to the surface ozone in Taiyuan.

References
- Zong, L.; Yang, Y.; Gao, M.; Wang, H.; Gao, Z. Large-scale synoptic drivers of co-occurring summertime ozone and PM2.5 pollution in eastern China. Atmos. Chem. Phys. 2021, 21, 9105–9124. [Google Scholar] [CrossRef]
- Liu, K.; Shang, Q.; Wan, C. Sources and health risks of heavy metals in PM2.5 in a campus in a typical suburb area of Taiyuan, North China. Atmosphere 2018, 9, 46. [Google Scholar] [CrossRef]
- Chen, Q.; Fu, T.M.; Hu, J.; Ying, Q.; Zhang, L. Modelling secondary organic aerosols in China. Natl. Sci. Rev. 2017, 4, 806–809. [Google Scholar] [CrossRef]
- Li, J.; Cao, L.; Gao, W.; He, L.; Yan, Y.; He, Y.; Pan, Y.; Ji, D.; Liu, Z.; Wang, Y. Seasonal variations in the highly time-resolved aerosol composition, sources and chemical processes of background submicron particles in the North China Plain. Atmos. Chem. Phys. 2021, 21, 4521–4539. [Google Scholar] [CrossRef]
- Jimenez, J.L.; Canagaratna, M.; Donahue, N.; Prevot, A.; Zhang, Q.; Kroll, J.H.; DeCarlo, P.F.; Allan, J.D.; Coe, H.; Ng, N.; et al. Evolution of organic aerosols in the atmosphere. Science 2009, 326, 1525–1529. [Google Scholar] [CrossRef] [PubMed]
- Zhang, Q.; Jimenez, J.L.; Canagaratna, M.R.; Ulbrich, I.M.; Ng, N.L.; Worsnop, D.R.; Sun, Y. Understanding atmospheric organic aerosols via factor analysis of aerosol mass spectrometry: A review. Anal. Bioanal. Chem. 2011, 401, 3045–3067. [Google Scholar] [CrossRef] [PubMed]
- Deng, Y.; Inomata, S.; Sato, K.; Ramasamy, S.; Morino, Y.; Enami, S.; Tanimoto, H. Temperature and acidity dependence of secondary organic aerosol formation from α-pinene ozonolysis with a compact chamber system. Atmos. Chem. Phys. 2021, 21, 5983–6003. [Google Scholar] [CrossRef]
- Shiraiwa, M.; Pöschl, U. Mass accommodation and gas–particle partitioning in secondary organic aerosols: Dependence on diffusivity, volatility, particle-phase reactions, and penetration depth. Atmos. Chem. Phys. 2021, 21, 1565–1580. [Google Scholar] [CrossRef]
- Fu, Y.; Liao, H.; Yang, Y. Interannual and decadal changes in tropospheric ozone in China and the associated chemistry-climate interactions: A review. Adv. Atmos. Sci. 2019, 36, 975–993. [Google Scholar] [CrossRef]
- Xing, J.; Wang, J.; Mathur, R.; Wang, S.; Sarwar, G.; Pleim, J.; Hogrefe, C.; Zhang, Y.; Jiang, J.; Wong, D.C.; et al. Impacts of aerosol direct effects on tropospheric ozone through changes in atmospheric dynamics and photolysis rates. Atmos. Chem. Phys. 2017, 17, 9869–9883. [Google Scholar] [CrossRef]
- Ma, X.; Huang, J.; Zhao, T.; Liu, C.; Zhao, K.; Xing, J.; Xiao, W. Rapid increase in summer surface ozone over the North China Plain during 2013–2019: A side effect of particulate matter reduction control? Atmos. Chem. Phys. 2021, 21, 1–16. [Google Scholar] [CrossRef]
- Li, R.; Yan, Y.; Peng, L.; Wang, F.; Lu, X.; Wang, Y.; Xu, Y.; Wang, C. Enhancement of ozone formation by increased vehicles emission and reduced coal combustion emission in Taiyuan, a traditional industrial city in northern China. Atmos. Environ. 2021, 267, 118759. [Google Scholar] [CrossRef]
- Ren, X.; Wen, Y.; He, Q.; Cui, Y.; Gao, X.; Li, F.; Wang, Y.; Guo, L.; Li, H.; Wang, X. Higher contribution of coking sources to ozone formation potential from volatile organic compounds in summer in Taiyuan, China. Atmos. Pollut. Res. 2021, 12, 101083. [Google Scholar] [CrossRef]
- Wang, P.; Shen, J.; Xia, M.; Sun, S.; Zhang, Y.; Zhang, H.; Wang, X. Unexpected enhancement of ozone exposure and health risks during National Day in China. Atmos. Chem. Phys. 2021, 21, 10347–10356. [Google Scholar] [CrossRef]
- Xie, B.; Zhang, H.; Wang, Z.; Zhao, S.; Fu, Q. A modeling study of effective radiative forcing and climate response due to tropospheric ozone. Adv. Atmos. Sci. 2016, 33, 819–828. [Google Scholar] [CrossRef]
- Jia, M.; Zhao, T.; Cheng, X.; Gong, S.; Zhang, X.; Tang, L.; Liu, D.; Wu, X.; Wang, L.; Chen, Y. Inverse relations of PM2.5 and O3 in air compound pollution between cold and hot seasons over an urban area of east China. Atmosphere 2017, 8, 59. [Google Scholar] [CrossRef]
- Liao, H.; Seinfeld, J.H. Global impacts of gas-phase chemistry-aerosol interactions on direct radiative forcing by anthropogenic aerosols and ozone. J. Geophys. Res. Atmos. 2005, 110, D18208. [Google Scholar] [CrossRef]
- Li, H.; Guo, L.; Cao, R.; Gao, B.; Yan, Y.; He, Q. A wintertime study of PM2.5-bound polycyclic aromatic hydrocarbons in Taiyuan during 2009–2013: Assessment of pollution control strategy in a typical basin region. Atmos. Environ. 2016, 140, 404–414. [Google Scholar] [CrossRef]
- Zhao, Z.; Liu, R.; Zhang, Z. Characteristics of winter haze pollution in the Fenwei plain and the possible influence of EU during 1984–2017. Earth Space Sci. 2020, 7, e2020EA001134. [Google Scholar] [CrossRef]
- Wen, Y. Temporal variations of surface ozone and its relations with meteorological parameters in Taiyuan City. Chin. J. Environ. Eng. 2015, 11, 5545–5554. [Google Scholar]
- Liu, S.; Cai, X.; Song, Y.; Zhang, H.; Yan, Y.; Wang, X. Climatic features of wind field and their impact on local air quality in Taiyuan Basin. Sci. Total Environ. 2025, 979, 179491. [Google Scholar] [CrossRef]
- Li, B.; Zhou, Z.; Xue, Z.; Wei, P.; Ren, Y.; Cao, L.; Feng, X.; Yao, Q.; Ma, J.; Xu, P.; et al. Study on the pollution characteristics and sources of ozone in typical Loess Plateau City. Atmosphere 2020, 11, 555. [Google Scholar] [CrossRef]
- Miao, Y.; Liu, S.; Guo, J.; Yan, Y.; Huang, S.; Zhang, G.; Zhang, Y.; Lou, M. Impacts of meteorological conditions on wintertime PM2.5 pollution in Taiyuan, North China. Environ. Sci. Pollut. Res. 2018, 25, 21855–21866. [Google Scholar] [CrossRef] [PubMed]
- Wang, W.; Zhang, Y.; Jiang, B.; Chen, Y.; Song, Y.; Tang, Y.; Dong, C.; Cai, Z. Molecular characterization of organic aerosols in Taiyuan, China: Seasonal variation and source identification. Sci. Total Environ. 2021, 800, 149419. [Google Scholar] [CrossRef]
- Bai, X.; Tian, H.; Liu, X.; Wu, B.; Liu, S.; Hao, Y.; Luo, L.; Liu, W.; Zhao, S.; Lin, S.; et al. Spatial-temporal variation characteristics of air pollution and apportionment of contributions by different sources in Shanxi province of China. Atmos. Environ. 2021, 244, 117926. [Google Scholar] [CrossRef]
- Li, Y.; Yan, Y.; Hu, D.; Li, Z.; Hao, A.; Li, R.; Wang, C.; Xu, Y.; Cao, J.; Liu, Z.; et al. Source apportionment of atmospheric volatile aromatic compounds (BTEX) by stable carbon isotope analysis: A case study during heating period in Taiyuan, northern China. Atmos. Environ. 2020, 225, 117369. [Google Scholar] [CrossRef]
- Li, J.; Li, H.; He, Q.; Guo, L.; Zhang, H.; Yang, G.; Wang, Y.; Chai, F. Characteristics, sources and regional inter-transport of ambient volatile organic compounds in a city located downwind of several large coke production bases in China. Atmos. Environ. 2020, 233, 117573. [Google Scholar] [CrossRef]
- Wu, J.; Bei, N.; Li, X.; Cao, J.; Feng, T.; Wang, Y.; Tie, X.; Li, G. Widespread air pollutants of the North China Plain during the Asian summer monsoon season: A case study. Atmos. Chem. Phys. 2018, 18, 8491–8504. [Google Scholar] [CrossRef]
- Qi, M.; Wang, L.; Ma, S.; Zhao, L.; Lu, X.; Liu, Y.; Zhang, Y.; Tan, J.; Liu, Z.; Zhao, S.; et al. Evaluation of PM2.5 fluxes in the “2 + 26” cities: Transport pathways and intercity contributions. Atmos. Pollut. Res. 2021, 12, 101048. [Google Scholar] [CrossRef]
- Grell, G.A.; Peckham, S.E.; Schmitz, R.; McKeen, S.A.; Frost, G.; Skamarock, W.C.; Eder, B. Fully coupled “online” chemistry within the WRF model. Atmos. Environ. 2005, 39, 6957–6975. [Google Scholar] [CrossRef]
- Mar, K.A.; Ojha, N.; Pozzer, A.; Butler, T.M. Ozone air quality simulations with WRF-Chem (v3.5.1) over Europe: Model evaluation and chemical mechanism comparison. Geosci. Model Dev. 2016, 9, 3699–3728. [Google Scholar] [CrossRef]
- Morrison, H.; Thompson, G.; Tatarskii, V. Impact of cloud microphysics on the development of trailing stratiform precipitation in a simulated squall line: Comparison of one-and two-moment schemes. Mon. Weather. Rev. 2009, 137, 991–1007. [Google Scholar] [CrossRef]
- Mlawer, E.J.; Taubman, S.J.; Brown, P.D.; Iacono, M.J.; Clough, S.A. Radiative transfer for inhomogeneous atmospheres: RRTM, a validated correlated-k model for the longwave. J. Geophys. Res. Atmos. 1997, 102, 16663–16682. [Google Scholar] [CrossRef]
- Chou, M.D.; Suarez, M.J.; Ho, C.H.; Yan, M.M.; Lee, K.T. Parameterizations for cloud overlapping and shortwave single-scattering properties for use in general circulation and cloud ensemble models. J. Clim. 1998, 11, 202–214. [Google Scholar] [CrossRef]
- Monin, A.; Obukhov, A. Basic laws of turbulent mixing in the atmosphere near the ground. Tr. Geofiz. Inst. Akad. Nauk SSSR 1954, 24, 163–187. [Google Scholar]
- Janić, Z.I. Nonsingular Implementation of the Mellor-Yamada Level 2.5 Scheme in the NCEP Meso Model; National Centers for Environmental Prediction: College Park, MD, USA, 2001. [Google Scholar]
- Chen, F.; Dudhia, J. Coupling an advanced land surface–hydrology model with the Penn State–NCAR MM5 modeling system. Part I: Model implementation and sensitivity. Mon. Weather. Rev. 2001, 129, 569–585. [Google Scholar] [CrossRef]
- Ek, M.; Mitchell, K.; Lin, Y.; Rogers, E.; Grunmann, P.; Koren, V.; Gayno, G.; Tarpley, J. Implementation of Noah land surface model advances in the National Centers for Environmental Prediction operational mesoscale Eta model. J. Geophys. Res. Atmos. 2003, 108, 8851. [Google Scholar] [CrossRef]
- Saijo, S.; Ikeda, S.; Yamabe, K.; Kakuta, S.; Ishigame, H.; Akitsu, A.; Fujikado, N.; Kusaka, T.; Kubo, S.; Chung, S.H.; et al. Dectin-2 recognition of α-mannans and induction of Th17 cell differentiation is essential for host defense against Candida albicans. Immunity 2010, 32, 681–691. [Google Scholar] [CrossRef]
- Hong, S.Y.; Noh, Y.; Dudhia, J. A new vertical diffusion package with an explicit treatment of entrainment processes. Mon. Weather. Rev. 2006, 134, 2318–2341. [Google Scholar] [CrossRef]
- Grell, G.A.; Dévényi, D. A generalized approach to parameterizing convection combining ensemble and data assimilation techniques. Geophys. Res. Lett. 2002, 29, 38-1–38-4. [Google Scholar] [CrossRef]
- Liu, Z.; Liu, Q.; Lin, H.C.; Schwartz, C.S.; Lee, Y.H.; Wang, T. Three-dimensional variational assimilation of MODIS aerosol optical depth: Implementation and application to a dust storm over East Asia. J. Geophys. Res. Atmos. 2011, 116, D23206. [Google Scholar] [CrossRef]
- Zhang, T.; Cao, L.; Li, S.; Zhan, C.; Wang, J.; Zhao, T. Comprehensive sensitivity analysis of the WRF model for meteorological simulations in the Arctic. Atmos. Res. 2024, 299, 107200. [Google Scholar] [CrossRef]
- Hersbach, H.; Bell, B.; Berrisford, P.; Hirahara, S.; Horányi, A.; Muñoz-Sabater, J.; Nicolas, J.; Peubey, C.; Radu, R.; Schepers, D.; et al. The ERA5 global reanalysis. Q. J. R. Meteorol. Soc. 2020, 146, 1999–2049. [Google Scholar] [CrossRef]
- Carter, W.P. Documentation of the SAPRC-99 chemical mechanism for VOC reactivity assessment. Contract 2000, 92, 95–308. [Google Scholar]
- Chen, S.; Ren, X.; Mao, J.; Chen, Z.; Brune, W.H.; Lefer, B.; Rappenglück, B.; Flynn, J.; Olson, J.; Crawford, J.H. A comparison of chemical mechanisms based on TRAMP-2006 field data. Atmos. Environ. 2010, 44, 4116–4125. [Google Scholar] [CrossRef]
- Damian, V.; Sandu, A.; Damian, M.; Potra, F.; Carmichael, G.R. The kinetic preprocessor KPP-a software environment for solving chemical kinetics. Comput. Chem. Eng. 2002, 26, 1567–1579. [Google Scholar] [CrossRef]
- Sandu, A.; Daescu, D.N.; Carmichael, G.R. Direct and adjoint sensitivity analysis of chemical kinetic systems with KPP: Part I—theory and software tools. Atmos. Environ. 2003, 37, 5083–5096. [Google Scholar] [CrossRef]
- Sandu, A.; Sander, R. Simulating chemical systems in Fortran90 and Matlab with the Kinetic PreProcessor KPP-2.1. Atmos. Chem. Phys. 2006, 6, 187–195. [Google Scholar] [CrossRef]
- Donahue, N.M.; Robinson, A.; Stanier, C.; Pandis, S. Coupled partitioning, dilution, and chemical aging of semivolatile organics. Environ. Sci. Technol. 2006, 40, 2635–2643. [Google Scholar] [CrossRef]
- Zaveri, R.A.; Easter, R.C.; Fast, J.D.; Peters, L.K. Model for simulating aerosol interactions and chemistry (MOSAIC). J. Geophys. Res. Atmos. 2008, 113, D13204. [Google Scholar] [CrossRef]
- Li, M.; Liu, H.; Geng, G.; Hong, C.; Liu, F.; Song, Y.; Tong, D.; Zheng, B.; Cui, H.; Man, H.; et al. Anthropogenic emission inventories in China: A review. Natl. Sci. Rev. 2017, 4, 834–866. [Google Scholar] [CrossRef]
- Guenther, A.; Karl, T.; Harley, P.; Wiedinmyer, C.; Palmer, P.I.; Geron, C. Estimates of global terrestrial isoprene emissions using MEGAN (Model of Emissions of Gases and Aerosols from Nature). Atmos. Chem. Phys. 2006, 6, 3181–3210. [Google Scholar] [CrossRef]
- Vautard, R.; Builtjes, P.H.; Thunis, P.; Cuvelier, C.; Bedogni, M.; Bessagnet, B.; Honore, C.; Moussiopoulos, N.; Pirovano, G.; Schaap, M.; et al. Evaluation and intercomparison of Ozone and PM10 simulations by several chemistry transport models over four European cities within the CityDelta project. Atmos. Environ. 2007, 41, 173–188. [Google Scholar] [CrossRef]
- Cohen, J. Statistical Power Analysis for the Behavioral Sciences, 2nd ed.; Routledge: New York, NY, USA, 1988; p. 567. [Google Scholar] [CrossRef]
- Lu, W.; Zhu, B.; Yan, S.; Shi, S.; Li, J.; Wang, Z. Improving PM2.5 simulation in the stable boundary layer over eastern China through parameterized minimum eddy diffusivity. J. Environ. Sci. 2025. [Google Scholar] [CrossRef]
- Xu, Y.; Xue, W.; Lei, Y.; Huang, Q.; Zhao, Y.; Cheng, S.; Ren, Z.; Wang, J. Spatiotemporal variation in the impact of meteorological conditions on PM2.5 pollution in China from 2000 to 2017. Atmos. Environ. 2020, 223, 117215. [Google Scholar] [CrossRef]
Disclaimer/Publisher’s Note: The statements, opinions and data contained in all publications are solely those of the individual author(s) and contributor(s) and not of MDPI and/or the editor(s). MDPI and/or the editor(s) disclaim responsibility for any injury to people or property resulting from any ideas, methods, instructions or products referred to in the content. |
© 2025 by the authors. Licensee MDPI, Basel, Switzerland. This article is an open access article distributed under the terms and conditions of the Creative Commons Attribution (CC BY) license (https://creativecommons.org/licenses/by/4.0/).












