Splitting Nitrogen Fertilization Is More Important than Nitrogen Level When Mixed Wheat Varieties Are Cultivated in a Conservation Agriculture System
Abstract
1. Introduction
2. Materials and Methods
2.1. Site Characteristics
2.2. Experimental Design
2.3. Seed Preparation and Crop Management
2.4. Data Collection and Chemical Analysis
2.4.1. Determination of Nitrogen Fluxes in the Plant
2.4.2. Soil Sampling and Chemical Analyses
2.5. Calculations and Data Analysis
3. Results
3.1. Grain Production and Nitrogen Uptake According to Fertilization Mode
3.2. Impact of N Fertilization Management on Nitrogen Use Efficiency
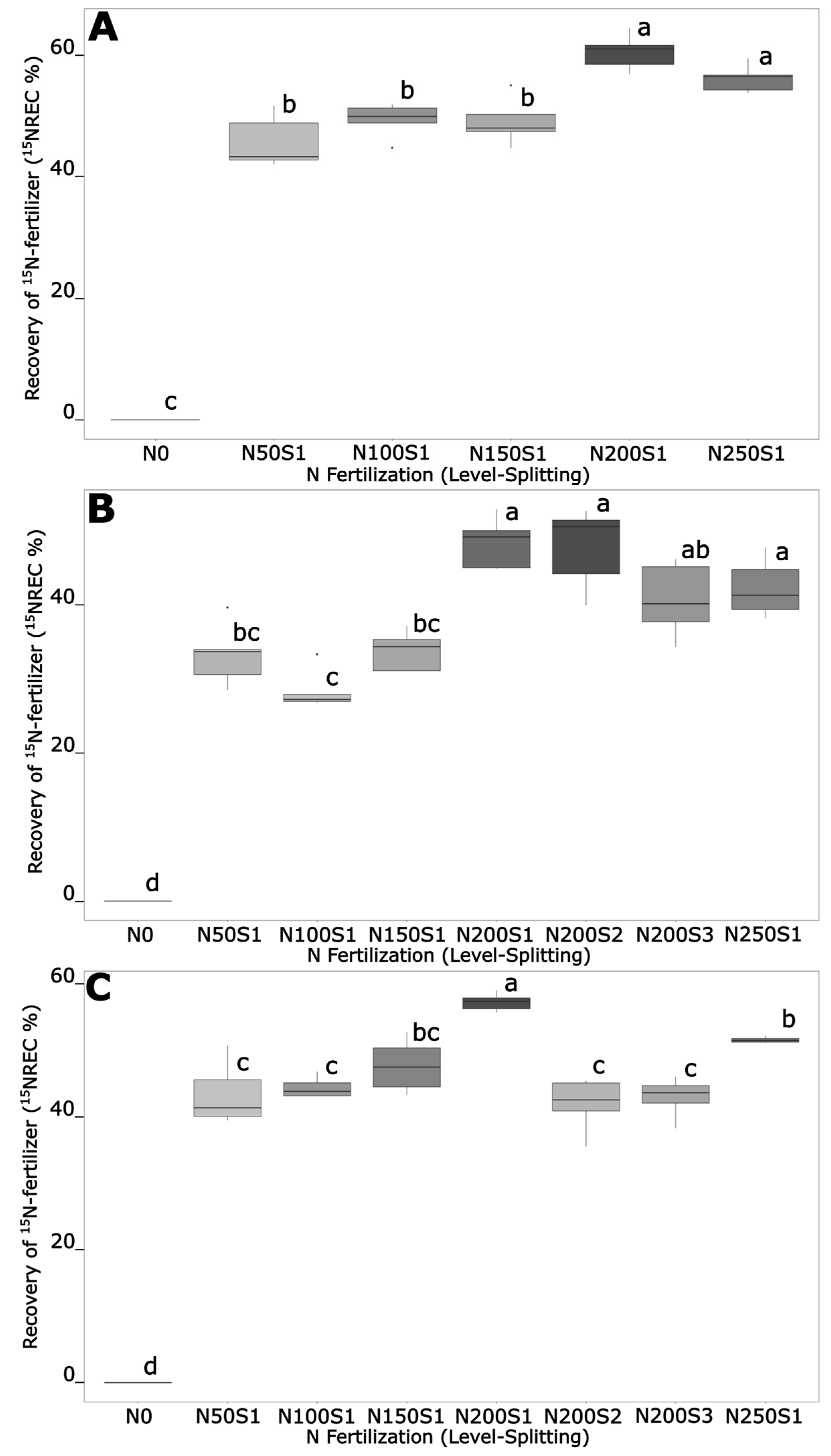
3.3. Monitoring Plant N Uptake and Accumulation Using 15N-Labelling Experiments
4. Discussion
4.1. N Split Applications Are a Key Factor for Optimizing Wheat Productivity and Nitrogen Uptake
4.2. Nitrogen Use Efficiency Is Different According to the Level of N Fertilization and N Split Application
4.3. Variation in 15N-Recovery and 15N-Net Uptake
5. Conclusions
Supplementary Materials
Author Contributions
Funding
Institutional Review Board Statement
Informed Consent Statement
Data Availability Statement
Acknowledgments
Conflicts of Interest
References
- FAO. Crop Prospects and Food Situation #3, September 2022; FAO: Rome, Italy, 2022; ISBN 978-92-5-136962-3. Available online: http://www.fao.org/documents/card/en/c/cc2300en (accessed on 6 October 2022).
- Charrière, P.; Prost, C. Grandes Cultures. Cultures de Printemps: Rendements et Productions Attendus en Baisse; Report No.: n°2022-111; Agreste Infos Rapides; Agreste; La Statistique Agricole: Paris, France, 2022; Available online: https://agreste.agriculture.gouv.fr/agreste-web/disaron/IraGcu22111/detail/ (accessed on 6 December 2022).
- Cormier, F.; Foulkes, J.; Hirel, B.; Gouache, D.; Moënne-Loccoz, Y.; Le Gouis, J. Breeding for increased nitrogen-use efficiency: A review for wheat (T. aestivum L.). Plant Breed. 2016, 135, 255–278. [Google Scholar] [CrossRef]
- Ladha, J.K.; Tirol-Padre, A.; Reddy, C.K.; Cassman, K.G.; Verma, S.; Powlson, D.S.; van Kessel, C.; de B. Richter, D.; Chakraborty, D.; Pathak, H. Global nitrogen budgets in cereals: A 50-year assessment for maize, rice and wheat production systems. Sci. Rep 2016, 6, 19355. [Google Scholar] [CrossRef] [PubMed]
- Hamnér, K.; Weih, M.; Eriksson, J.; Kirchmann, H. Influence of nitrogen supply on macro- and micronutrient accumulation during growth of winter wheat. Field Crops Res. 2017, 213, 118–129. [Google Scholar] [CrossRef]
- Miller, A.J.; Cramer, M.D. Root Nitrogen Acquisition and Assimilation. Plant Soil 2005, 274, 1–36. [Google Scholar] [CrossRef]
- Kong, L.; Xie, Y.; Hu, L.; Feng, B.; Li, S. Remobilization of vegetative nitrogen to developing grain in wheat (Triticum aestivum L.). Field Crops Res. 2016, 196, 134–144. [Google Scholar] [CrossRef]
- Colomb, B. Guide de la Fertilisation Raisonnée; Editions France Agricole: Paris, France, 2017. [Google Scholar]
- Choudhary, A.K.; Thakur, S.K.; Suri, V.K. Technology Transfer Model on Integrated Nutrient Management Technology for Sustainable Crop Production in High-Value Cash Crops and Vegetables in Northwestern Himalayas. Commun. Soil Sci. Plant Anal. 2013, 44, 1684–1699. [Google Scholar] [CrossRef]
- Fowler, D.; Coyle, M.; Skiba, U.; Sutton, M.A.; Cape, J.N.; Reis, S.; Sheppard, L.J.; Jenkins, A.; Grizzetti, B.; Galloway, J.N.; et al. The global nitrogen cycle in the twenty-first century. Phil. Trans. R. Soc. B 2013, 368, 20130164. [Google Scholar] [CrossRef]
- Erisman, J.W.; Sutton, M.A.; Galloway, J.; Klimont, Z.; Winiwarter, W. How a century of ammonia synthesis changed the world. Nat. Geosci. 2008, 1, 636–639. [Google Scholar] [CrossRef]
- Wezel, A.; Bellon, S.; Doré, T.; Francis, C.; Vallod, D.; David, C. Agroecology as a science, a movement and a practice. A review. Agron. Sustain. Dev. 2009, 29, 503–515. [Google Scholar] [CrossRef]
- Calegari, A.; Tiecher, T.; Hargrove, W.L.; Ralisch, R.; Tessier, D.; de Tourdonnet, S.; de Fátima Guimarães, F.; dos Santos, D.R. Long-term effect of different soil management systems and winter crops on soil acidity and vertical distribution of nutrients in a Brazilian Oxisol. Soil Tillage Res. 2013, 133, 32–39. [Google Scholar] [CrossRef]
- Gozubuyuk, Z.; Sahin, U.; Celik, A. Operational and yield performances and fuel-related CO2 emissions under different tillage-sowing practices in a rainfed crop rotation. Int. J. Environ. Sci. Technol. 2020, 17, 4563–4576. [Google Scholar] [CrossRef]
- Six, J.; Ogle, S.M.; Jay Breidt, F.; Conant, R.T.; Mosier, A.R.; Paustian, K. The potential to mitigate global warming with no-tillage management is only realized when practised in the long term: Greenhouse gas mitigation by long-term no-tillage. Glob. Chang. Biol. 2004, 10, 155–160. [Google Scholar] [CrossRef]
- Mangalassery, S.; Sjögersten, S.; Sparkes, D.L.; Sturrock, C.J.; Craigon, J.; Mooney, S.J. To what extent can zero tillage lead to a reduction in greenhouse gas emissions from temperate soils? Sci. Rep. 2015, 4, 4586. [Google Scholar] [CrossRef] [PubMed]
- Nunes, M.R.; van Es, H.M.; Schindelbeck, R.; Ristow, A.J.; Ryan, M. No-till and cropping system diversification improve soil health and crop yield. Geoderma 2018, 328, 30–43. [Google Scholar] [CrossRef]
- Kabiri, V.; Raiesi, F.; Ghazavi, M.A. Tillage effects on soil microbial biomass, SOM mineralization and enzyme activity in a semi-arid Calcixerepts. Agric. Ecosyst. Environ. 2016, 232, 73–84. [Google Scholar] [CrossRef]
- Verzeaux, J.; Hirel, B.; Dubois, F.; Lea, P.J.; Tétu, T. Agricultural practices to improve nitrogen use efficiency through the use of arbuscular mycorrhizae: Basic and agronomic aspects. Plant Sci. 2017, 264, 48–56. [Google Scholar] [CrossRef]
- Pecci Canisares, L.; Grove, J.; Miguez, F.; Poffenbarger, H. Long-term no-till increases soil nitrogen mineralization but does not affect optimal corn nitrogen fertilization practices relative to inversion tillage. Soil Tillage Res. 2021, 213, 105080. [Google Scholar] [CrossRef]
- Spiess, E.; Humphrys, C.; Richner, W.; Schneider, M.K.; Piepho, H.-P.; Chervet, A.; Prasuhn, V. Does no-tillage decrease nitrate leaching compared to ploughing under a long-term crop rotation in Switzerland? Soil Tillage Res. 2020, 199, 104590. [Google Scholar] [CrossRef]
- Mengistu, N.; Baenziger, P.S.; Nelson, L.A.; Eskridge, K.M.; Klein, R.N.; Baltensperger, D.D.; Elmore, R.W. Grain Yield Performance and Stability of Cultivar Blends vs. Component Cultivars of Hard Winter Wheat in Nebraska. Crop Sci. 2010, 50, 617–623. [Google Scholar] [CrossRef]
- Fang, Y.; Xu, B.; Liu, L.; Gu, Y.; Liu, Q.; Turner, N.C.; Li, F.M. Does a mixture of old and modern winter wheat cultivars increase yield and water use efficiency in water-limited environments? Field Crops Res. 2014, 156, 12–21. [Google Scholar] [CrossRef]
- Cossani, C.M.; Sadras, V.O. Symmetric response to competition in binary mixtures of cultivars associates with genetic gain in wheat yield. Evol. Appl. 2021, 14, 2064–2078. [Google Scholar] [CrossRef] [PubMed]
- Sarandon, S.J.; Sarandon, R. Mixture of Cultivars: Pilot Field Trial of an Ecological Alternative to Improve Production or Quality of Wheat (Triticum aestivum). J. Appl. Ecol. 1995, 32, 288–294. [Google Scholar] [CrossRef]
- Hirel, B.; Le Gouis, J.; Ney, B.; Gallais, A. The challenge of improving nitrogen use efficiency in crop plants: Towards a more central role for genetic variability and quantitative genetics within integrated approaches. J. Exp. Bot. 2007, 58, 2369–2387. [Google Scholar] [CrossRef] [PubMed]
- Habbib, H.; Hirel, B.; Verzeaux, J.; Roger, D.; Lacoux, J.; Lea, P.; Dubois, F.; Tétu, T. Investigating the Combined Effect of Tillage, Nitrogen Fertilization and Cover Crops on Nitrogen Use Efficiency in Winter Wheat. Agronomy 2017, 7, 66. [Google Scholar] [CrossRef]
- Habbib, H.; Hirel, B.; Spicher, F.; Dubois, F.; Tétu, T. In Winter Wheat (Triticum Aestivum L.), No-Till Improves Photosynthetic Nitrogen and Water-Use Efficiency. J. Crop Sci. Biotechnol. 2020, 23, 39–46. [Google Scholar] [CrossRef]
- Habbib, H.; Verzeaux, J.; Nivelle, E.; Roger, D.; Lacoux, J.; Catterou, M.; Hirel, B.; Dubois, F.; Tétu, T. Conversion to No-Till Improves Maize Nitrogen Use Efficiency in a Continuous Cover Cropping System. PLoS ONE 2016, 11, e0164234. [Google Scholar] [CrossRef]
- Arvalis [L’actu d’Arvalis] Comment Gérer la Fertilisation Azotée des Blés Conduits en ACS ? Available online: https://www.terre-net.fr/agriculture-de-conservation/article/207624/comment-gerer-la-fertilisation-azotee-des-bles-conduits-en-acs- (accessed on 9 December 2022).
- Pampana, S.; Masoni, A.; Ercoli, L.; Mariotti, M.; Arduini, I. Effects of nitrogen splitting and source on durum wheat. Cereal Res. Commun. 2013, 41, 338–347. [Google Scholar] [CrossRef]
- Nadeem, M.Y.; Zhang, J.; Zhou, Y.; Ahmad, S.; Ding, Y.; Li, G. Quantifying the Impact of Reduced Nitrogen Rates on Grain Yield and Nitrogen Use Efficiency in the Wheat and Rice Rotation System of the Yangtze River Region. Agronomy 2022, 12, 920. [Google Scholar] [CrossRef]
- Giuliani, M.M.; Giuzio, L.; De Caro, A.; Flagella, Z. Relationships between Nitrogen Utilization and Grain Technological Quality in Durum Wheat: I. Nitrogen Translocation and Nitrogen Use Efficiency for Protein. Agron. J. 2011, 103, 1487–1494. [Google Scholar] [CrossRef]
- Casabianca, H. L’azote 15 N dans les sols. Analusis 1999, 27, 207–208. [Google Scholar] [CrossRef]
- Lancashire, P.D.; Bleiholder, H.; Boom, T.V.D.; Langelüddeke, P.; Stauss, R.; Weber, E.; Witzenberger, A. A uniform decimal code for growth stages of crops and weeds. Ann. Appl. Biol. 1991, 119, 561–601. [Google Scholar] [CrossRef]
- Jones, M.N. Nitrate reduction by shaking with cadmium: Alternative to cadmium columns. Water Res. 1984, 18, 643–646. [Google Scholar] [CrossRef]
- Slawyk, G.; MacIsaac, J.J. Comparison of two automated ammonium methods in a region of coastal upwelling. Deep Sea Res. Oceanogr. Abstr. 1972, 19, 521–524. [Google Scholar] [CrossRef]
- Ruisi, P.; Giambalvo, D.; Di Miceli, G.; Frenda, A.S.; Saia, S.; Amato, G. Tillage Effects on Yield and Nitrogen Fixation of Legumes in Mediterranean Conditions. Agron. J. 2012, 104, 1459–1466. [Google Scholar] [CrossRef]
- Hauck, R.D.; Bremner, J.M. Use of Tracers For Soil And Fertilizer Nitrogen Research. In Advances in Agronomy; Elsevier: Amsterdam, The Netherlands, 1976; pp. 219–266. ISBN 978-0-12-000728-8. Available online: https://linkinghub.elsevier.com/retrieve/pii/S0065211308605568 (accessed on 31 August 2022).
- Moll, R.H.; Kamprath, E.J.; Jackson’, W.A. Analysis and Interpretation of Factors Which Contribute to Efficiency of Nitrogen Utilizatilon’. Agron. J. 1982, 74, 562–564. [Google Scholar] [CrossRef]
- Martinez-Feria, R.A.; Castellano, M.J.; Dietzel, R.N.; Helmers, M.J.; Liebman, M.; Huber, I.; Archontoulis, S.V. Linking crop- and soil-based approaches to evaluate system nitrogen-use efficiency and tradeoffs. Agric. Ecosyst. Environ. 2018, 256, 131–143. [Google Scholar] [CrossRef]
- Zhang, Z.; Zhang, Y.; Shi, Y.; Yu, Z. Optimized split nitrogen fertilizer increase photosynthesis, grain yield, nitrogen use efficiency and water use efficiency under water-saving irrigation. Sci. Rep. 2020, 10, 20310. [Google Scholar] [CrossRef]
- Abid, M.; Tian, Z.; Ata-Ul-Karim, S.T.; Cui, Y.; Liu, Y.; Zahoor, R.; Jiang, D.; Dai, T. Nitrogen Nutrition Improves the Potential of Wheat (Triticum aestivum L.) to Alleviate the Effects of Drought Stress during Vegetative Growth Periods. Front. Plant Sci. 2016, 7, 981. [Google Scholar] [CrossRef]
- Zhang, L.; He, X.; Liang, Z.; Zhang, W.; Zou, C.; Chen, X. Tiller development affected by nitrogen fertilization in a high-yielding wheat production system. Crop Sci. 2020, 60, 1034–1047. [Google Scholar] [CrossRef]
- Barunawati, N.; Hettwer Giehl, R.F.; Bauer, B.; Von Wirén, N. The influence of inorganic nitrogen fertilizer forms on micronutrient retranslocation and accumulation in grains of winter wheat. Front. Plant Sci. 2013, 4, 320. [Google Scholar] [CrossRef]
- Muurinen, S.; Kleemola, J.; Peltonen-Sainio, P. Accumulation and Translocation of Nitrogen in Spring Cereal Cultivars Differing in Nitrogen Use Efficiency. Agron. J. 2007, 99, 441–449. [Google Scholar] [CrossRef]
- Liu, Z.; Gao, F.; Liu, Y.; Yang, J.; Zhen, X.; Li, X.; Li, Y.; Zhao, J.; Li, J.; Qian, B.; et al. Timing and splitting of nitrogen fertilizer supply to increase crop yield and efficiency of nitrogen utilization in a wheat–peanut relay intercropping system in China. Crop J. 2019, 7, 101–112. [Google Scholar] [CrossRef]
- Haile, D.; Nigussie, D.; Ayana, A. Nitrogen use efficiency of bread wheat: Effects of nitrogen rate and time of application. J. Soil Sci. Plant Nutr. 2012, 12, 389–410. [Google Scholar] [CrossRef]
- Xu, H.; Wu, Z.; Xu, B.; Sun, D.; Hassan, M.A.; Cai, H.; Wu, Y.; Yu, M.; Chen, A.; Li, J.; et al. Optimized Phosphorus Application Alleviated Adverse Effects of Short-Term Low-Temperature Stress in Winter Wheat by Enhancing Photosynthesis and Improved Accumulation and Partitioning of Dry Matter. Agronomy 2022, 12, 1700. [Google Scholar] [CrossRef]
- Ercoli, L.; Masoni, A.; Pampana, S.; Mariotti, M.; Arduini, I. As durum wheat productivity is affected by nitrogen fertilisation management in Central Italy. Eur. J. Agron. 2013, 44, 38–45. [Google Scholar] [CrossRef]
- López-Bellido, L.; López-Bellido, R.J.; Redondo, R. Nitrogen efficiency in wheat under rainfed Mediterranean conditions as affected by split nitrogen application. Field Crops Res. 2005, 94, 86–97. [Google Scholar] [CrossRef]
- Belete, F.; Dechassa, N.; Molla, A.; Tana, T. Effect of split application of different N rates on productivity and nitrogen use efficiency of bread wheat (Triticum aestivum L.). Agric. Food Secur. 2018, 7, 92. [Google Scholar] [CrossRef]
- Abedi, T.; Alemzadeh, A.; Kazemeini, S.A. Wheat Yield and Grain Protein Response to Nitrogen Amount and Timing. Aust. J. Crop Sci. 2011, 5, 330–336. [Google Scholar] [CrossRef]
- Shi, R.; Zhang, Y.; Chen, X.; Sun, Q.; Zhang, F.; Römheld, V.; Zou, C. Influence of long-term nitrogen fertilization on micronutrient density in grain of winter wheat (Triticum aestivum L.). J. Cereal Sci. 2010, 51, 165–170. [Google Scholar] [CrossRef]
- Beral, A.; Rincent, R.; Gouis, J.L.; Girousse, C.; Allard, V. Wheat individual grain-size variance originates from crop development and from specific genetic determinism. PLoS ONE 2020, 15, e0230689. Available online: https://journals.plos.org/plosone/article?id=10.1371/journal.pone.0230689 (accessed on 9 September 2022). [CrossRef]
- Schierenbeck, M.; Alqudah, A.M.; Lohwasser, U.; Tarawneh, R.A.; Simón, M.R.; Börner, A. Genetic dissection of grain architecture-related traits in a winter wheat population. BMC Plant Biol. 2021, 21, 417. [Google Scholar] [CrossRef]
- Hawkesford, M.J.; Griffiths, S. Exploiting genetic variation in nitrogen use efficiency for cereal crop improvement. Curr. Opin. Plant Biol. 2019, 49, 35–42. [Google Scholar] [CrossRef] [PubMed]
- Gate, P. Ecophysiologie du blé: De la Plante à la Culture. Technique et Doc; Lavoisier: Paris, France, 1995. [Google Scholar]
- Justes, E.E.; Bedoussac, L.; Prieur, L. Est-il possible d’améliorer le rendement et la teneur en protéines du blé en Agriculture Biologique au moyen de cultures intermédiaires ou de cultures associées? Innov. Agron. 2009, 4, 165–176. [Google Scholar]
- Adeyemi, O.; Keshavarz-Afshar, R.; Jahanzad, E.; Battaglia, M.L.; Luo, Y.; Sadeghpour, A. Effect of Wheat Cover Crop and Split Nitrogen Application on Corn Yield and Nitrogen Use Efficiency. Agronomy 2020, 10, 1081. [Google Scholar] [CrossRef]
- Vidican, R.; Mălinaș, A.; Rotar, I.; Kadar, R.; Deac, V.; Mălinaș, C. Assessing Wheat Response to N Fertilization in a Wheat–Maize–Soybean Long-Term Rotation through NUE Measurements. Agronomy 2020, 10, 941. [Google Scholar] [CrossRef]
- Litke, L.; Gaile, Z.; Ruža, A. Effect of nitrogen rate and forecrop on nitrogen use efficiency in winter wheat (Triticum aestivum). EMU DSpace 2019, 17(2), 582–592. [Google Scholar] [CrossRef]
- Rahimizadeh, M.; Kashani, A.; Zare-Feizabadi, A.; Koocheki, A.R.; Nassiri-Mahallati, M. Nitrogen Use Efficiency of Wheat as Affected by Preceding Crop, Application Rate of Nitrogen and Crop Residues. Aust. J. Crop Sci. 2010, 4, 363–368. [Google Scholar] [CrossRef]
- Jenkinson, D.; Fox, R.; Rayner, J. Interactions between fertilizer nitrogen and soil nitrogen: The so-called “priming” effect. J. Soil Sci. 2006, 36, 425–444. [Google Scholar] [CrossRef]
- Ashraf, M.; Mahmood, T.; Azam, F.; Qureshi, R.M. Comparative effects of applying leguminous and non-leguminous green manures and inorganic N on biomass yield and nitrogen uptake in flooded rice (Oryza sativa L.). Biol. Fertil. Soils 2004, 40, 147–152. [Google Scholar] [CrossRef]
- Schimel, J.P.; Bennett, J. Nitrogen Mineralization: Challenges of a Changing Paradigm. Ecology 2004, 85, 591–602. [Google Scholar] [CrossRef]
- Liu, X.-J.A.; van Groenigen, K.J.; Dijkstra, P.; Hungate, B.A. Increased plant uptake of native soil nitrogen following fertilizer addition—Not a priming effect? Appl. Soil Ecol. 2017, 114, 105–110. [Google Scholar] [CrossRef]
- Recous, S.; Fresneau, C.; Faurie, G.; Mary, B. The fate of labelled15N urea and ammonium nitrate applied to a winter wheat crop. Plant Soil 1988, 112, 205–214. [Google Scholar] [CrossRef]
- Rowlings, D.W.; Scheer, C.; Liu, S.; Grace, P.R. Annual nitrogen dynamics and urea fertilizer recoveries from a dairy pasture using 15N; effect of nitrification inhibitor DMPP and reduced application rates. Agric. Ecosyst. Environ. 2016, 216, 216–225. [Google Scholar] [CrossRef]
- Westerman, R.L.; Kurtz, L.T. Priming Effect of 15N-Labeled Fertilizers on Soil Nitrogen in Field Experiments. Soil Sci. Soc. Am. J. 1973, 37, 725–727. [Google Scholar] [CrossRef]
- Hgaza, V.K.; Diby, L.N.; Oberson, A.; Tschannen, A.; Tié, B.T.; Sangakkara, U.R.; Aké, S.; Frossard, E. Nitrogen Use by Yam as Affected by Mineral Fertilizer Application. Agron. J. 2012, 104, 1558–1568. [Google Scholar] [CrossRef]
- Glendining, M.J.; Poulton, P.R.; Powlson, D.S.; Jenkinson, D.S. Fate of 15N-labelled fertilizer applied to spring barley grown on soils of contrasting nutrient status. Plant Soil 1997, 195, 83–98. [Google Scholar] [CrossRef]
- Ghaley, B.B.; Høgh-Jensen, H.; Christiansen, J.L. Recovery of nitrogen fertilizer by traditional and improved rice cultivars in the Bhutan Highlands. Plant Soil 2010, 332, 233–246. [Google Scholar] [CrossRef]
- Nehe, A.S.; Misra, S.; Murchie, E.H.; Chinnathambi, K.; Singh Tyagi, B.; Foulkes, M.J. Nitrogen partitioning and remobilization in relation to leaf senescence, grain yield and protein concentration in Indian wheat cultivars. Field Crops Res. 2020, 251, 107778. [Google Scholar] [CrossRef] [PubMed]
- Ayadi, S.; Jallouli, S.; Chamekh, Z.; Zouari, I.; Landi, S.; Hammami, Z.; Ben Azaiez, F.E.; Baraket, M.; Esposito, S.; Trifa, Y. Variation of Grain Yield, Grain Protein Content and Nitrogen Use Efficiency Components under Different Nitrogen Rates in Mediterranean Durum Wheat Genotypes. Agriculture 2022, 12, 916. [Google Scholar] [CrossRef]
- Khan, Z.; Nauman Khan, M.; Luo, T.; Zhang, K.; Zhu, K.; Rana, M.S.; Hu, L.; Jiang, Y. Compensation of high nitrogen toxicity and nitrogen deficiency with biochar amendment through enhancement of soil fertility and nitrogen use efficiency promoted rice growth and yield. GCB Bioenergy 2021, 13, 1765–1784. [Google Scholar] [CrossRef]
- Ma, Q.; Wang, M.; Zheng, G.; Yao, Y.; Tao, R.; Zhu, M.; Ding, J.; Li, C.; Guo, W.; Zhu, X. Twice-split application of controlled-release nitrogen fertilizer met the nitrogen demand of winter wheat. Field Crops Res. 2021, 267, 108163. [Google Scholar] [CrossRef]
- Bhardwaj, V.; Yadav, V.; Chauhan, B.S. Effect of nitrogen application timings and varieties on growth and yield of wheat grown on raised beds. Arch. Agron. Soil Sci. 2010, 56, 211–222. [Google Scholar] [CrossRef]
- Jia, S.; Wang, X.; Yang, Y.; Dai, K.; Meng, C.; Zhao, Q.; Zhang, X.; Zhang, D.; Feng, Z.; Sun, Y.; et al. Fate of labeled urea-15N as basal and topdressing applications in an irrigated wheat–maize rotation system in North China Plain: I winter wheat. Nutr. Cycl. Agroecosystems 2011, 90, 331–346. [Google Scholar] [CrossRef]
- Wan, X.; Wu, W.; Shah, F. Nitrogen fertilizer management for mitigating ammonia emission and increasing nitrogen use efficiencies by 15N stable isotopes in winter wheat. Sci. Total Environ. 2021, 790, 147587. [Google Scholar] [CrossRef] [PubMed]
- Limon-Ortega, A.; Sayre, K.D.; Francis, C.A. Wheat Nitrogen Use Efficiency in a Bed Planting System in Northwest Mexico. Agron. J. 2000, 92, 303–308. [Google Scholar] [CrossRef]
- Celette, F.; Findeling, A.; Gary, C. Competition for nitrogen in an unfertilized intercropping system: The case of an association of grapevine and grass cover in a Mediterranean climate. Eur. J. Agron. 2009, 30, 41–51. [Google Scholar] [CrossRef]
- Chen, X.; Zhang, F.; Römheld, V.; Horlacher, D.; Schulz, R.; Böning-Zilkens, M.; Wang, P.; Claupein, W. Synchronizing N Supply from Soil and Fertilizer and N Demand of Winter Wheat by an Improved Nmin Method. Nutr. Cycl. Agroecosyst 2006, 74, 91–98. [Google Scholar] [CrossRef]
- Pampana, S.; Mariotti, M. Durum Wheat Yield and N Uptake as Affected by N Source, Timing, and Rate in Two Mediterranean Environments. Agronomy 2021, 11, 1299. [Google Scholar] [CrossRef]
- Alcoz, M.M.; Hons, F.M.; Haby, V.A. Nitrogen Fertilization Timing Effect on Wheat Production, Nitrogen Uptake Efficiency, and Residual Soil Nitrogen. Agron. J. 1993, 85, 1198–1203. [Google Scholar] [CrossRef]
- Chen, Z.; Wang, H.; Liu, X.; Chen, X.; Lu, D.; Jia, Y.; Zhou, J. Spatial and temporal nitrogen applications for winter wheat in a loamy soil in south-eastern China. Nutr. Cycl. Agroecosyst 2017, 109, 43–55. [Google Scholar] [CrossRef]
- Riga, A.; Fischer, V.; Van Praag, H.J. Fate of fertilizer nitrogen applied to winter wheat as Na15NO3 and (15NH4)2SO4 studied in microplots through a four-course rotation: 1. influence of fertilizer splitting on soil and fertilizer nitrogen. Soil Sci. 1980, 130, 88–99. [Google Scholar] [CrossRef]
- Zhang, Z.; Yu, Z.; Zhang, Y.; Shi, Y. Split nitrogen fertilizer application improved grain yield in winter wheat (Triticum aestivum L.) via modulating antioxidant capacity and 13C photosynthate mobilization under water-saving irrigation conditions. Ecol. Process. 2021, 10, 21. [Google Scholar] [CrossRef]
- Zhang, Y.; Dai, X.; Jia, D.; Li, H.; Wang, Y.; Li, C.; Xu, H.; He, M. Effects of plant density on grain yield, protein size distribution, and breadmaking quality of winter wheat grown under two nitrogen fertilisation rates. Eur. J. Agron. 2016, 73, 1–10. [Google Scholar] [CrossRef]
- Quan, Z.; Li, S.; Zhang, X.; Zhu, F.; Li, P.; Sheng, R.; Chen, X.; Zhang, L.-M.; He, J.-Z.; Wei, W.; et al. Fertilizer nitrogen use efficiency and fates in maize cropping systems across China: Field 15N tracer studies. Soil Tillage Res. 2020, 197, 104498. [Google Scholar] [CrossRef]
- Wang, Y.; Li, C.; Li, Y.; Zhu, L.; Liu, S.; Yan, L.; Feng, G.; Gao, Q. Agronomic and environmental benefits of nutrient expert on maize and rice in Northeast China. Env. Sci. Pollut. Res. 2020, 27, 28053–28065. [Google Scholar] [CrossRef]








Disclaimer/Publisher’s Note: The statements, opinions and data contained in all publications are solely those of the individual author(s) and contributor(s) and not of MDPI and/or the editor(s). MDPI and/or the editor(s) disclaim responsibility for any injury to people or property resulting from any ideas, methods, instructions or products referred to in the content. |
© 2023 by the authors. Licensee MDPI, Basel, Switzerland. This article is an open access article distributed under the terms and conditions of the Creative Commons Attribution (CC BY) license (https://creativecommons.org/licenses/by/4.0/).
Share and Cite
Allart, K.; Almoussawi, A.; Kerbey, L.; Catterou, M.; Roger, D.; Mortier, D.; Blanc, E.; Robert, B.; Spicher, F.; Emery, L.; et al. Splitting Nitrogen Fertilization Is More Important than Nitrogen Level When Mixed Wheat Varieties Are Cultivated in a Conservation Agriculture System. Agronomy 2023, 13, 1295. https://doi.org/10.3390/agronomy13051295
Allart K, Almoussawi A, Kerbey L, Catterou M, Roger D, Mortier D, Blanc E, Robert B, Spicher F, Emery L, et al. Splitting Nitrogen Fertilization Is More Important than Nitrogen Level When Mixed Wheat Varieties Are Cultivated in a Conservation Agriculture System. Agronomy. 2023; 13(5):1295. https://doi.org/10.3390/agronomy13051295
Chicago/Turabian StyleAllart, Kévin, Ali Almoussawi, Louay Kerbey, Manuella Catterou, David Roger, David Mortier, Elisa Blanc, Bastien Robert, Fabien Spicher, Léa Emery, and et al. 2023. "Splitting Nitrogen Fertilization Is More Important than Nitrogen Level When Mixed Wheat Varieties Are Cultivated in a Conservation Agriculture System" Agronomy 13, no. 5: 1295. https://doi.org/10.3390/agronomy13051295
APA StyleAllart, K., Almoussawi, A., Kerbey, L., Catterou, M., Roger, D., Mortier, D., Blanc, E., Robert, B., Spicher, F., Emery, L., Hirel, B., Dubois, F., & Tetu, T. (2023). Splitting Nitrogen Fertilization Is More Important than Nitrogen Level When Mixed Wheat Varieties Are Cultivated in a Conservation Agriculture System. Agronomy, 13(5), 1295. https://doi.org/10.3390/agronomy13051295

