Abstract
Vermicompost is an organic fertilizer rich in nutrients, beneficial microbes, and plant growth hormones that not only enhances the growth of crops but also contributes to the improvement in the physicochemical and biological properties of the soil. However, its lower nutrient content makes it less preferable among farmers and limits its applicability. Here, we investigate, for the first time, nutrient enrichment of vermicompost by supplementing the free-floating macrophyte biomass with cow manure and organic nutrient supplements (eggshell, bone meal, banana peel, and tea waste). Free-floating macrophytes are aquatic plants that are found suspended on the water surface, playing a significant role in the structural and functional aspects of aquatic ecosystems. However, uncontrolled proliferation of these macrophytes endangers these ecosystems, having both economic and ecological implications; therefore, they need to be managed. Results showed an enhanced total nitrogen (2.87%), total phosphorus (0.86%), total potassium (3.74%), and other nutrients in vermicompost amended with cow manure and nutrient supplements. Highest biomass gain (710–782 mg), growth rate (11.83–13.04 mg), and reproduction rate (3.34–3.75 cocoons per worm) was also observed, indicating that amending bulking agent and nutrient supplements not only enhance the nutrient content of the final product but also improve overall earthworm activity. The stability and maturity of vermicompost, as indicated by C/N (<20) and Germination Index (>80), indicates that vermicompost obtained is suitable for agricultural applications. The study concluded that amendment of cow manure and organic nutrient supplements results in producing mature and nutrient-enriched vermicompost suitable for sustainable agricultural production.
1. Introduction
Vermicomposting is considered an economically viable, socially acceptable, and environmentally friendly technique that uses earthworms to transform any type of organic waste into highly valuable organic fertilizer [1,2,3]. Several authors have attempted vermicomposting of aquatic macrophytes in order to alleviate the environmental problems connected with their disposal and to recover the nutrients from them for agricultural purposes [4,5,6]. Gusain and Suthar [4] observed that the amendment of cow manure is suitable for the transformation of these weeds into vermicompost using the earthworm Eisenia fetida. Further, the addition of cow manure, at least in small amounts, is essential for the growth and fecundity of earthworms [7], which aids in the recovery of nutrients from them.
Organic manures, such as farmyard manure, compost, and vermicompost, are utilized as organic fertilizers to improve soil fertility and crop yield. However, the low nutrient content, bulkiness, less availability in the market, lack of awareness among farmers of their beneficial effects, and handling challenges of these organic manures discourage farmers from using them more frequently [8,9]. The recycling speed and quality of vermicompost can be improved with the incorporation of different organic substrates such as banana peel, eggshell, bone meal, and certain microbial inoculants as well as by maintaining optimum temperature, pH, and moisture [3]. Various researchers have investigated the possibility of augmenting vermicomposts with additional nutrient-rich organic and inorganic materials as a remedy to the poor nutrient content of organic fertilizers. To enrich, researchers have added organic materials such as green manure plants [7,10], biofertilizer microbes [11], and inorganic materials such as rock phosphate [12], and fly ash [13,14]. However, mixing organic with inorganic substrates has been observed to cause a general decrease in microbial activity, which could jeopardize the efficacy of the vermidegradation process [15].
Nutrient recovery from organic wastes such as kitchen trash, agricultural waste, and municipal waste is critical for waste management and environmental protection [3]. However, when these organic wastes are inappropriately disposed of, significant amounts of nutrients stored in them are lost or diminished [16]. These essential nutrients might be recovered via vermitechnology and used as nutrient-rich fertilizers in agricultural fields to improve soil fertility.
Eggshells, a vital source of calcium, are frequently thrown out as waste from households, hotels, and other establishments [17]. When this calcium-rich substrate is applied to the soil, it not only nourishes the soil with calcium, but also increases its pH [17]. In the recent years, with the improvement in revenue and dietary acceptance, increasing egg consumption is noticed as eggs are recognized as a high-quality protein source. For the year 2018, global egg production was 78 million metric tonnes (MMT), resulting in roughly 8.58 MMT of eggshells, which are typically deposited in landfills as waste, leading to numerous environmental problems and therefore should be carefully managed [18]. Another important biowaste is banana peel, which, if not adequately managed, can pollute the environment [19]. Potassium (9.39% of DW) is the most abundant element in banana peel, followed by magnesium, calcium, sodium, and other minerals [20]. Traditionally, banana peel has been utilized as a fertilizer by simply decomposing it to improve soil nutrients. Kalemelawa et al. [21] found increased levels of K and N in compost amended with banana peel, indicating that banana peel has a strong potential as a source of K and N. Tea waste is another important biowaste that is commonly thrown in open areas after tea processing, where it contributes to toxic gases, soil, water pollution, and unpleasant surroundings [22,23]. Recently, Bhuvaneswari et al. [24] have reported that tea waste can be managed by vermicomposting and have shown an improvement in nitrogen content. Another significant organic resource and a key source of phosphorus, i.e., bone meal, is also discarded as waste. Because of the scarcity of the P reserves based on rock phosphate, it is critical to seek out organic sources of phosphorus. Mäkelä et al. [25] reported that organic P sources such as bone meal are a potential alternative to artificial P fertilizers because they can induce functional mycorrhizal symbiosis with roots, which improves P absorption and utilization efficiency in crops. Baker et al. [26] also confirmed via a greenhouse experiment that bonemeal is a better source of P than regularly used rock phosphate. Thus, vermicomposting of organic waste at the point of generation should be given top priority in handling the waste, which will help in reducing transportation costs, disease transmission risks, greenhouse gas emissions, water pollution, and land space for dumping, besides producing organic fertilizer that can be utilized as a soil supplement [3].
Hence, the main aim of the current study was to produce enriched vermicompost from free-floating macrophytes by amending it with easily available kitchen waste such as tea waste (source of nitrogen), banana peel (source of potassium), and bone meal (source of phosphorus). All the major nutrients have been targeted. The study might provide a strategy to utilize kitchen waste to produce useful enriched vermicompost in order to achieve sustainable agriculture while at the same time avoiding organic-waste-related environmental issues in an eco-friendly way.
2. Materials and Methods
2.1. Collection of Feedstocks and Earthworms for Vermicomposting
The earthworm species Eisenia fetida was obtained from the vermicomposting unit of the Soil Science Department, Sher-e-Kashmir University of Agricultural Science and Technology, Wadoora Sopore, Jammu and Kashmir, India. Eisenia fetida was selected because of its high speed of bioconversion, wide range of temperature tolerance, high reproduction rate, etc. The earthworm was mass cultured in a plastic bin using partially decomposed cow manure as a culturing medium and then used for vermicomposting studies.
Macrophytes (floating, i.e., Azolla, Lemna, and Salvinia), which are abundantly present in the lakes of Kashmir, were collected form the famous Dal lake, Jammu and Kashmir. After collection, they were transferred to the lab, where they were washed with tap water to remove mud and other undesirable items, and finally transferred to the vermiculture unit. Macrophytes were then shade dried for one week, as they contain a significant amount of water, to make them suitable for vermicomposting. One-week-old cow manure, obtained from a local farmyard, was used as a bulking agent as it decreases the toxicity of feeding substrate, makes it more feasible for earthworms, and enhances the decomposition rate of organic waste [27]. For nutrient enrichment, different organic substrates, i.e., banana peel, bone meal, eggshell, and tea waste, were obtained from the university cafeteria (Kashmir University) and boys’ hostel (Zadibal, Srinagar). The physico-chemical characteristics of different feeding substrates such as cow manure, tea waste, eggshell, and banana peel, used in vermicomposting, are presented in Table 1.
Table 1.
Physicochemical characteristics of initial raw materials used in vermicomposting experiments. Values are mean ± SD, n = 3.
2.2. Experimental Setup and Vermicomposting
To investigate the effect of cow manure and nutrient supplements on the nutrient and earthworm dynamics, three treatments were prepared: T1, T2, and T3.
- T1 = macrophyte mixture (M) only (azolla, lemna, and salvinia, total 500 gm).
- T2 = macrophyte mixture + bulking agent cow manure (M + CM, total 500 gm).
- T3 = macrophyte mixture + CM + nutrient supplements i.e., eggshell, bone meal, banana peel, and tea waste (M + CM + NS, total 500 gm, 250 gm M + CM, and other 250 gm nutrient supplements with each 62.5 gm).
Each experiment was carried out in triplicates in plastic bins with dimensions of 56.5 × 39.5 × 16.5 cm in which substrates were taken in equal proportions on a dry weight basis under dark room conditions. All waste mixtures had an adequate amount of water added and were left for three weeks to pre-decompose. Pre-decomposition is recommended since it makes the substrate more palatable for earthworms and leads to the release of heat and toxic gases [28], which could be toxic to earthworms. During pre-decomposition, waste mixtures were remixed and turned several times to disseminate more heat and toxic gases and ensure uniform withering of the substrate. One of the important parameters to show that the pre-decomposition is complete is adding a few earthworms to the pre-decomposed waste and observing them after 24 or 48 h. If they are all alive, it means the pre-decomposition is complete and the waste substrate is now suitable for earthworms. After pre-decomposition, 20 non-clitellated earthworms with an average individual weight ranging from 154 to 163 mg were collected from the stock culture and introduced into each vermibed. To maintain moisture and aeration, prevent earthworms from escaping, and protect them from predators such as ants and rats, each vermibin was covered with perforated plyboard. Perforated plyboards also provided a dark environment inside the vermibins, as earthworms prefer a dark environment because they are photosensitive. Throughout the experimentation period (60 days), appropriate moisture (60–70%) was maintained by sprinkling an adequate quantity of tap water.
2.3. Physico-Chemical Analysis of Initial Substrates and Final Vermicompost
The initial substrates and final vermicomposts from different vermibeds were analyzed for pH, EC, total organic carbon (TOC), total Kjeldahl nitrogen (TKN), total phosphorous (TP), total potassium (TK), sodium (Na), magnesium (Mg), iron (Fe), manganese (Mn), copper (Cu), and zinc (Zn) using standard methods. For pH and EC, a substrate to water ratio of 1:10 (w/v) was used. Five grams of sample were mixed with 50 mL of distilled water and kept on a shaker for 45 min for proper mixing. The mixture was then filtered through Whatman filter paper, and the pH and EC were determined using a digital pH and conductivity meter. Total Kjeldahl nitrogen (TKN) was measured by the standard method of Kjeldahl digestion and distillation using Kjeldahl apparatus (Kelplus) [29]. Total organic carbon (TOC) was estimated by loss on ignition method as described by Tandon [29]. Total potassium (K) and sodium (Na) were estimated using a flame photometer, whereas total phosphorus (P) was estimated using the vanado-molybdate method [29]. The concentrations of Cu, Zn, Fe, and Mn were analyzed using the Atomic Absorption Spectrophotometric method. The C/N ratio was calculated by dividing the TOC by the total nitrogen content. All reagents and chemicals used during analytical work were of AR grade. The physico-chemical characteristics of initial substrates and final vermicomposts are presented in Table 1 and Table 2.
Table 2.
Final physicochemical characteristics of vermicomposts obtained from different treatments after 60 days of vermicomposting. T1 = Macrophyte mixture, T2 = macrophyte mixture + cow manure, T3 = Macrophyte mixture + cow manure + nutrient supplements.
2.4. Growth and Reproduction of Earthworms
For individual biomass gain of the earthworms, the clitellated worms were carefully taken out of the different vermibeds, washed with tap water, blotted with filter paper, and weighed with a digital electronic balance. The earthworm biomass was recorded from the start of the experiment up to 60 days. After measuring the biomass, earthworms were promptly reintroduced into the respective bins. For the reproduction of earthworms, cocoons and juveniles produced were counted from each vermibed at the end of the experiment. On the basis of the data obtained on the biomass, cocoons, and juveniles produced, other parameters such as maximum biomass achieved, net biomass gain, growth rate (mg worm−1 day−1), reproduction (cocoons worm−1), and fecundity rate (juvenile worms−1) were also calculated for different vermibeds. During the experimentation period, earthworm mortality was also calculated.
2.5. Phytotoxicity Test Using Seed Bioassay
A seed bioassay test was used to screen the phytotoxicity of vermicomposted materials using Fenugreek (Mithi) seeds. Vermicompost was collected from different vermibins and mixed with soil in a 1:1 ratio and taken in rectangular plastic bins. Garden soil was taken as an experimental control. In each setup, 21 Fenugreek seeds were sown, irrigated with tap water, and maintained in the dark for seven days. All setups were kept in triplicates. After one week, the germination index (GI) was calculated using the relative seed germination (RSG) and relative root growth (RRG) values following the method of Zucconi et al. [30].
2.6. Statistical Analysis
The results were represented as mean ± standard deviation (SD). The mean and standard deviation for each parameter was calculated using the data of all the three replicates. Statistical software (SPSS, Version 22, Chicago, IL, USA) was used to analyze the collected data. Analysis of variance (ANOVA) was also performed to determine whether there was a significant difference between different treatments for various physicochemical, germination index, earthworm growth, mortality, and fecundity parameters. Tukey’s HSD multiple comparison test was used at the p < 0.05 significance level where there was a significant difference.
3. Results and Discussion
3.1. Physicochemical Characteristics
The final vermicomposts produced from different biowaste mixtures were stable and rich in nutrients, owing to the collaborative activity of earthworms and microorganisms. Table 2 displays the physicochemical characteristics of final vermicomposts.
3.1.1. pH
The addition of cow manure maintains a pH that is conducive to earthworms and microbial activity. The pH of the final vermicomposts after successful vermicomposting of 60 days was found in the neutral range (7.65–7.98). The neutral pH range was also found in earlier studies [31,32,33]. The maximum pH of 7.98 was found in T3, which was higher than T2 (7.81) and T1 (7.65) (Table 2). The increase in pH in T3 was about 4.31% as compared to T1, which might be attributed to the addition of eggshells and cow dung. Eggshells have an alkaline pH and are often recommended for use in low pH soils (acidic soils). Gong et al. (2019) also observed an increase in the pH of vermicompost after adding cow dung. However, the pH among different treatments did not differ significantly (ANOVA; F = 3.9588, p > 0.05). The release of organic acids, ammonia, and CO2, as well as the combined activity of microbes and earthworms, contribute to the shift in pH towards neutrality or acidity throughout the vermicomposting process [7,27,34,35].
3.1.2. Electrical Conductivity (EC)
EC is one of the most significant parameters indicating the final product’s acceptability for agricultural purposes. During the current study, the EC value was well below the required value of less than 4 mS cm−1 for vermicompost to be utilized for agricultural purposes [36]. The EC was 3.37 mS cm−1 in T1 (macrophytes only), and 3.94 mS cm−1 in T3 (macrophytes + cow manure + nutrient supplements). T3 had a significant (ANOVA; F = 6.3857, p < 0.05) increase of 16.91% in conductivity when compared to T1, which could be attributed to the addition of nutrient supplements such as banana peel and bone meal, which contain high potassium and phosphate ions, respectively, as well as due to the enhanced decomposition of organic waste amended with a suitable bulking agent, which results in the release of more soluble salts. The results were in line with those obtained for vermicomposts amended with cow manure and other nutrient supplements [7,37]. During the breakdown of organic substrates, ammonium, phosphate, potassium, nitrate, and calcium ions are released, causing an increase in EC [27,37,38].
3.1.3. Total Nitrogen
A maximum TKN of 2.87% was observed in T3 (macrophytes + cow manure + nutrient supplements) vermicompost, which was considerably greater than T2 (2.53%) and T1 (2.31%). The final TKN content was significantly (ANOVA; F = 57.010, p = 0.0001, Tukey’s HSD test, p < 0.05) higher in all amended treatments than the macrophyte alone treatment (T1) after vermicomposting (Table 2, Figure 1A). Regardless of the initial levels, T3 had the highest percentage of TKN, which could be attributed to the addition of tea waste, bone meal, and banana peel, all of which contain considerable amounts of nitrogen (Table 1). Other researchers have also claimed that the ultimate nitrogen concentration is often determined by the initial nitrogen content of the raw materials used for vermicomposting [39,40]. The other factors that may contribute to nitrogen enrichment in vermicompost final products include mineralization of feeding substrate by microbes and earthworms, release of mucous and other nitrogenous excretions, death of earthworms, reduction in organic waste, which concentrates nitrogen levels in vermicompost, and the addition of nitrogen supplements [10,33,39,41]. During the current investigation, high mortality of earthworms in T3 was observed, which could also contribute to nitrogen enhancement in the final product as earthworms contain around 60–70% protein. The results are in agreement with some previous workers who reported enhanced levels of total nitrogen when amended with cow manure and other nutrient supplements such as 3.12% in paper industry sludge spiked with cow dung and green manure plants [41], 2.90% in garden waste spiked with cow manure and spent mushroom substate [37], and 2.52% in coir pith waste incorporated with cow manure and other nutrient supplements [7]. This indicates that the amendment of cow manure and other nutrient supplements are crucial in the production of nutrient-rich vermicompost [41,42].

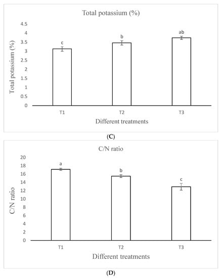
Figure 1.
Total nitrogen (A), Total potassium (B), Total phosphorus (C), and C/N ratio (D) in different treatments after 60 days of vermicomposting with Eisenia fetida. Values are the mean of three replicates, and error bars indicate standard error (SD). The different letters between vermicomposts of different treatments denote statistical significance (ANOVA; Tukey’s HSD test at p < 0.05). T1 = macrophyte mixture only, T2 = macrophyte mixture + cow manure, T3 = macrophyte mixture + cow manure + nutrient supplements.
3.1.4. Total Phosphorus
A significant content of phosphorus ranged from 0.73–0.86% was observed in the final vermicompost of different setups (ANOVA, F = 5.2143, p < 0.05). However, no statistical significance was observed between T1 and T2 (p > 0.05). T3 had the highest content of phosphorus (0.86%) (Table 2, Figure 1B), which was about 17.81% higher than T1, possibly due to the high phosphorus content of bone meal. Bone meal contains a significant amount of phosphorus and is considered a good source of phosphorus. Cow manure amendment was also responsible for higher TP content in T3 and T2 compared to T1, as cow manure, in addition to being a source of nutrients, aids in the proliferation of microorganisms involved in phosphorus mineralization [43]. The findings clearly indicate that the addition of cow manure and other nutrient supplements raises the TP content in the vermicompost due to the enhanced growth and activity of earthworms and microorganisms. Gong et al. [37] also reported higher TP content when garden waste was supplemented with cow manure and mushroom waste, owing to accelerated waste degradation by microbes and earthworms. Other researchers have also indicated that the activity of phosphatase enzymes, organic matter mobilization, and mineralization by microbes and earthworms are the primary reasons for incremental variations in TP content [10,41,44].
3.1.5. Total Potassium
After 60 days of vermicomposting, total potassium was found in the range of 3.13–3.74% (Table 2, Figure 1C). The potassium content in all three treatments was statistically significant (ANOVA, F = 19.7481, p < 0.05). Higher TK in vermicompost is linked to organic waste mineralization, total loss of organic matter, and increased activity of earthworms and microorganisms [31,33]. T3 registered a maximum of 3.74% of TK content, which could be attributed to the potassium content of banana peel, bone meal, and other nutrient supplements added, indicating that the inclusion of nutrient supplements enhanced the nutritional status of final vermicompost. Higher TK content of 3.34% and 2.78% was also observed when pressmud and paper sludge was incorporated with cow manure and other nutrient supplements such as green manure plants [10,41] signifying that the addition of nutrient supplements plays a significant role in enhancing TK. T1 had the lowest TK content (3.13%) since no cow manure or other nutrient supplements were added. According to Gusain and Suthar [4], adding cow manure to biowastes has a direct impact on the mineralization of organic waste and the TK content in the final vermicompost.
3.1.6. Ash Content
The ash content was observed to be 31.76, 32.36, and 35.92% in T1, T2, and T3, respectively, with a significant variation among different treatments (ANOVA; F = 5.8568, p < 0.05). The ash content increases during vermicomposting because the volatile fraction of organic substrate is released, leaving behind mineral residues that reflect the ash content [6]. The ash content was higher (13.09%) in T3 compared to T1, indicating nutrient enhancement and higher decomposition, which could be due to the addition of cow manure and other nutrient supplements that aid in the quick mineralization of organic wastes by microorganisms and earthworms. Better feasibility of feeding substrate leads to enhanced organic waste consumption by earthworms, which decreases TOC and increases ash content in the final vermicompost [45].
3.1.7. Total Organic Carbon (TOC)
T1 (Macrophytes only) had the highest TOC (39.58%), followed by T2 and T3 (37.16%). The difference in TOC across different treatments was significant (ANOVA, p < 0.05), indicating that the addition of bulking agent and other nutrient supplements has a substantial impact on vermicomposting. During vermicomposting, the respiratory and assimilatory activity of earthworms and microorganisms is linked to the decrease in TOC [32,40,41,46,47]. High suitability of feeding substrate means higher activity of microbes and earthworms, which leads to the release and assimilation of more carbon and thus an overall reduction in TOC. The TOC results were similar to those of Devi and Khwairakpam [45] (35%), and Gusain and Suthar [39] (42%), who investigated vermicomposting of plant-based substrates. The plant-based substrates contain slow-degrading lignocellulosic substances and to overcome the slow-degrading rate in cellulose-rich waste mixtures during vermicomposting, the addition of cow manure or microbial inoculants is recommended by several authors [37,48].
3.1.8. C/N Ratio
The C/N ratio is an important indicator that signifies the vermicompost’s maturity and stability. The C/N ratio in all the treatments was < 20, which is the desired value in vermicompost for soil applications [36]. The difference in C/N ratio was highly significant (ANOVA; F = 44.6269, p = 0.0002; Tukey’s HSD test, p < 0.05) across all treatments owing to the rate of microbial activity and earthworm assimilation, which is dependent on the appropriateness of food and a suitable C/N ratio in the feeding substrate. T3 had the lowest C/N ratio of 12.94, followed by T2 (15.50) and T1 (17.13) (Table 2, Figure 1D), indicating that the addition of bulking agent and nutrient supplements is an important factor for the final C/N ratio. Since the C/N ratio is calculated by dividing the carbon content with the nitrogen content of the same substrate, supplementing feeding substrates with high nitrogen content also reduces the C/N ratio. The results were in consideration with Ananthavalli et al. [46], who reported a C/N ratio of below 20 in seaweed vermicompost when amended with cow manure. Biruntha et al. [32] also suggested the inclusion of an appropriate bulking agent, especially cow manure, to reduce the C/N ratio, since a greater C/N ratio is not conducive to effective earthworm and microbial activity.
3.2. Mg, Na, and Micronutrients
Plants require micronutrients, like macronutrients, for their overall growth and yield. As a result, the presence of essential micronutrients in sufficient quantity in vermicompost assures that it is suitable for agronomic use, allowing plants to grow and develop more effectively. One of the primary goals was also to enrich the micronutrient content of the final vermicompost product as a result of the inclusion of various supplements.
The content of Mg among different treatments was observed in the range of 0.48–0.55%. A statistically significant variation was found among all the treatments (ANOVA; F = 6.5000, p < 0.05). Na was found to be 0.29, 0.37, and 0.40% in T1, T2 and T3, respectively, with substantial significance (ANOVA; F = 28.6774, p < 0.05). Similarly, micronutrients such as Cu, Zn, Fe, and Mn were found in the final vermicomposts, with the highest concentrations found in treatments T3 and T2, where macrophytes were incorporated with cow manure and other nutrient supplements such as eggshells, banana peel, bone meal, and tea waste. In T3, Zn was enhanced by about 26%, Fe by 9%, Mn by 13%, and Cu by 43% over T1, which might be attributed to the initial nutritional load of adding supplements and organic waste mineralization by joint action of microorganisms and earthworms. Statistical significance among different treatments was recorded for Fe (ANOVA, F = 29.1343, p = 0.0008), Zn (ANOVA, F = 16.1641, p = 0.0038), Mn (ANOVA, F = 39.946, p = 0.0003), and Cu (ANOVA, F = 35.3508, p = 0.0005). The rate of waste mineralization was greater in T3 and T2 vermi-setups, resulting in substantial loss of organic matter and the dissolution of organic acids, which could have played a significant role in the increase of micronutrient concentrations in such setups.
Organic waste mineralization, biomass volume reduction, which concentrates the metal levels, and the inclusion of a bulking agent are the variables that result in an enhancement in micronutrients in the finished product [38,47]. During vermicomposting, earthworms mineralize organic substrate, releasing organically bound metals in free forms [49]. Decomposition of organic waste also generates humic acids, which bind the metals even more tightly, reducing the risk of metal loss by leaching or bioaccumulation [4].
Taken together, the results of the present study incorporating cow manure and other organic nutrient supplements with aquatic macrophytes/wastes showed higher macro- and micronutrient contents, suggesting that the addition of organic nutrient supplements not only improves the nutritional status of vermicompost but also makes other parameters such as C/N ratio, pH, EC, etc., desirable, which are required for a fertilizer to be used for agronomic purposes.
3.3. Earthworm Biomass Gain, Reproduction, and Mortality
3.3.1. Earthworm Biomass Gain
The considerable increase in average worm biomass during vermicomposting indicates the feasibility of feeding substrate to earthworms. After 60 days of vermicomposting, the average individual biomass of earthworms in different setups was 816.33 mg in T1, 936.30 mg in T2, and 873.47 mg in T3 (Table 3). As shown in Table 3, Figure 2A, the highest biomass gain of 782.27 mg was found in T2, which was statistically more significant (ANOVA, F = 22.985, p = 0.001) than the other treatments. The high biomass gain was likely due to the high palatability of organic waste combined with cow manure and nutrient supplements, which helped inoculated worms gain weight and the lowest growth in T1 might be attributed to the low feed preference, slow digestibility, and high C/N ratio [50]. Earthworms prefer green waste mixed with cow manure as it contains more easily digestible polysaccharides and microorganisms provided by green waste and cow manure, respectively [10,51]. The results are consistent with previous reports that found highest biomass gain of 777 mg/worm [7], 892 mg/worm [41] for Eisenia fetida when organic wastes were spiked with cow manure and green manure plants, signifying that incorporating cow manure and other nutrient supplements not only enhances the quality of final vermicompost but also supports earthworm biomass and fecundity. High protein and starch content in macrophytes [52,53], favorable C/N ratio by cow manure amendment, and high mineral content from bone meal, banana peel, and tea waste might have boosted the weight gain in Eisenia fetida.
Table 3.
Biomass, fecundity, and mortality of Eisenia fetida in different treatments. Data are the mean ± SD of three replicates (n = 3).

Figure 2.
Individual biomass gain (A), total cocoon production (B), cocoons per worm (C), and mortality (%) (D) of Eisenia fetida after vermicomposting of macrophytes amended with cow manure and nutrient supplements. Values are the mean of three replicates, and bars indicate standard error (SD). The different letters between treatments denote statistical significance (ANOVA; Tukey’s HSD test at p < 0.05).
3.3.2. Growth Rate
In all treatments, the growth rate exhibited an increasing trend, with the maximum growth rate in T2 (13.04 mg/worm/day), which was significantly (ANOVA, F = 23.039, p < 0.05) higher than T3 (11.83 mg/worm/day) and T1 (10.96 mg/worm/day). The maximum growth rate (13.04 mg/worm/day) in Eisenia fetida was higher than previous reports on vermicomposting of different organic wastes by Biruntha et al. [32] (4.81–7.74 mg/w/day), Karmegam et al. [41] (8.81–9.54 mg/w/day), possibly due to a more desirable C/N ratio and higher nutrient content in vermi-setups amended with cow manure and other nutrient supplements. Gong et al. [37] also found that treatments amended with cow manure and mushroom waste had the highest growth rate (11.2–14.9 mg/worm/day), whereas treatments with simply garden waste had the lowest growth rate (8.0 mg/worm/day). Feed quality, assimilation rate, microbial activity in waste, and suitability of feeding substrate for inoculated worms all influence E. fetida growth rate during vermicomposting [5,32].
3.3.3. Reproduction Rate
The ability of earthworms to reproduce successfully in a vermicomposting system indicates the viability of the feedstock for earthworm proliferation. After 60 days, the cocoon production rate of earthworms cultured in different setups ranged from 36.33 to 70.00. The highest number of cocoons were observed in T2 (70.00) containing macrophytes and cow manure, followed by T3 (48.0) and T1 (36.33) (Table 3. Figure 2B). It is clear that the earthworm’s growth and reproduction rates were significantly (ANOVA, p < 0.05) lower in T1 (macrophytes only), which might be attributed to the presence of secondary metabolites in macrophytes such as phenolics, alkaloids, and other compounds that make it less feasible for earthworms. When secondary metabolites are present in animal feed, it causes loss of appetite, lowers animal performance, reduces dry matter intake, and reduces nutrient digestibility in animals [54,55]. Hendriksen [56] also reported that earthworms prefer low polyphenol content plant food if accessible, implying that they have some detrimental impact on them. The results showed that while all waste mixtures promoted earthworm growth and reproduction, the addition of bulking agents such as cow manure and/or other nutritional supplements significantly enhanced the growth and fecundity rate of Eisenia fetida, which might be owing to the feeding substrate’s higher nutritional content and ideal C/N ratio. Biruntha et al. [32] also found that a higher C/N ratio of the initial substrate leads to a decrease in the rate of cocoon production in Eudrillus eugenie. Other researchers also claimed that earthworm growth and reproduction are mostly determined by the palatability and nutritional content of the substrate [32,40,46].
Similarly, the highest fecundity rate (cocoons worm−1) was observed in T2 (3.75 cocoons worm−1), followed by T3 (3.34 cocoons worm−1), and T1 (2.15 cocoons worm−1) (Table 3, Figure 2C). The results of fecundity rate in different vermibeds were consistent with previous reports on the vermicomposting of different organic wastes such as macrophyte biomass [4], industrial waste [7] amended with cow manure and other nutrient supplements.
The overall number of juveniles per vermibed also showed significant variation, with T2 having the highest number (26.67 juveniles/vermibed) after 60 days, which was significantly greater than T3 (17.00) and T1 (13.67) (ANOVA, F = 5.930, p < 0.05). The growth rate, cocoon production, and total number of juveniles produced clearly indicate that amendment of cow manure and other bulking agents substantially enhanced earthworm growth and reproduction. The results were in line with those of Ananthavalli et al. [46], who reported highest number of juveniles (22–28) in vermi-setups when seaweeds were amended with cow manure. Taken together, the results of this study indicate that adding a bulking agent such as cow dung or nutritional supplements boosts Eisenia fetida’s growth and fecundity rate substantially.
3.3.4. Population Buildup
At the end of the experiment, the highest population of E. fetida was found in T2 (45.33/vermibin), followed by T3 (31.33/vermibin) and T1 (30.67/vermibin). The results clearly suggest that all waste mixtures supported earthworm growth and fecundity; however, supplementing green waste with bulking agent and other nutrient supplements enhanced the overall population buildup of earthworms. The final population build-up in vermi-setups is influenced by hatchling success (Figure 3), cocoon viability, and fecundity rate [5]. Earthworm mortality during vermicomposting also has a significant effect on the overall earthworm population buildup. A similar population build-up (35–50/vermibin) after 60 days of vermicomposting of forest litter waste with E. fetida was observed by Suthar and Griola [57].
Figure 3.
Hatchlings of earthworms coming out of cocoons.
3.3.5. Mortality
The mortality of earthworms during the transformation of any waste into a stable end product is one of the most significant metrics that determines the appropriateness of the feeding substrate. Mortality usually occurs during the first few weeks of vermicomposting of organic wastes because of lower microbial activity, low moisture retention, high C/N ratio of fresh feeding substrate, and non-availability of more pre-decomposed food preferred by earthworms. During the current study, the lowest mortality was detected in T2 (6.67%) which was statistically significant (ANOVA; F = 64.5000, p < 0.001; Tukey’s HSD test, p < 0.05) compared to T1 and T3 (Table 3, Figure 2D). In T3 (28.33%) overall mortality was observed, which could be attributed to the release of certain toxic metals during the decomposition of various feeding substrates. Furthermore, mortality was significantly (p < 0.05) higher in T1 (15%) (macrophytes only) than in T2 (6.67%) (macrophytes + cow manure), possibly due to the presence of secondary metabolites in macrophytes [39]. Plant metabolites such as alkaloids and oxalates can be harmful to both vertebrates and invertebrates, and their effects range from a mild reduction in animal performance to death [54]. This clearly indicates that adding cow manure to the feeding substrate improves its suitability for earthworms. The findings agree with those of Gong et al. [37], who found the lowest mortality of 14.2% when garden waste was amended with cow manure and indicated that the addition of bulking agent enhanced the growth, survival, and reproduction of E. fetida. The results were also in line with other researchers who reported mortality rates of 9.33–17.33 [39], 8.89–22.2% [48], 8.33–15% [57], and 9.33–26.66 [5] in various organic wastes, and most of the authors have claimed that adding cow manure as a bulking agent reduces mortality because adding cow manure provides a better environment for earthworms than organic waste alone [37].
3.4. Seed Bioassay for Phytotoxicity Assessment
The seed germination test is commonly employed to evaluate the maturity and phytotoxicity of composts intended for agricultural use [41]. Compost with a Germination Index (GI) ≥ 80% is considered mature and non-phytotoxic, according to Zucconi et al. [30]. During the current study, the GI (%) of Fenugreek seeds (Methi) in ready vermicompost collected from all treatments ranged from 95.61 to 110.08% (Figure 4), indicating that the range was within the safe limit (>80). The GI in T3 was significantly (ANOVA; F = 5.7386, p < 0.05) higher than T1 and T2 which might be attributed to the higher nutrient content of amended bulking agent and nutrient supplements. The results of GI showed that vermicomposting makes the aquatic weed biomass suitable for agricultural purposes. A recent study found that earthworms reduce the phytotoxicity of organic wastes during vermicomposting by depleting phenolic substances [58]. The current study’s findings are in line with others who reported higher GI for tomato, cabbage, maize, and cow pea in vermicomposts obtained with cow manure and other nutrient supplements [37,41]. The reasonable explanation is that adding cow manure and other nutritional supplements accelerated the decomposition of organic substrate; thus, increasing the amount of nutrients and lowering the content of toxic materials such as extractable metals, presumably enhancing seed germination and growth [37,59].
Figure 4.
Germination index (GI) of Fenugreek seeds in different treatments of macrophytes amended with cow manure and nutrient supplements. The reference value of GI > 80 (Zucconi et al., 1981) was used. Values are the mean of three replicates, and bars indicate standard error (SD). Different letters indicate significance among different treatments at p < 0.05 (ANOVA; Tukey‘s HSD, p< 0.05).
4. Conclusions
The results of the present findings signify that macrophyte biomass, in combination with cow manure and nutrient supplements, can be utilized to produce enriched vermicompost with various environmental benefits. The highest percentage of TKN, TP, TK, and other micronutrients observed in treatment T3 suggested that amending macrophytes with suitable bulking agent and nutrient supplements aids in improving the overall quality of vermicompost. All treatments promoted earthworm growth and reproduction; however, the treatment containing only macrophytes had the lowest growth and reproduction rate, indicating that amendment of cow manure and other bulking agents not only supports earthworm activity but also reduces the toxicity of feeding substrates. Taken together, the study concludes that vermicomposting is a feasible approach for the management of macrophytes and that incorporation of cow manure and organic nutrient supplements is strongly recommended to accelerate the vermicomposting process and produce nutrient-enriched vermicompost suitable for sustainable agricultural production.
Author Contributions
Conceptualization, M.N.A. and A.M.Y.; methodology, A.M.Y.; formal analysis, A.M.Y.; validation, M.N.A. and Z.A.B.; investigation, A.M.Y.; resources, Z.Z. and S.A.B.; data curation, A.M.Y.; Writing-original draft preparation, A.M.Y.; supervision, M.N.A. and Z.A.B.; writing-review and editing, Z.Z. and S.A.B. All authors have read and agreed to the published version of the manuscript.
Funding
This research received no external funding.
Institutional Review Board Statement
Not applicable.
Informed Consent Statement
Not applicable.
Data Availability Statement
Not applicable.
Acknowledgments
We extend sincere thanks to Sher-e-Kashmir University of Agricultural Science and Technology, Kashmir, for providing lab facilities for the research work. The support of the lab staff is highly acknowledged. The author is also grateful to USIC and the Department of Environmental Sciences, University of Kashmir for providing lab facilities for research work. The author Yatoo gratefully acknowledges the University Grants Commission, New Delhi, India, for financial support in the form of a JRF (CSIR-UGC JRF).
Conflicts of Interest
The authors declare no conflict of interest.
References
- Bhat, S.A.; Singh, J.; Vig, A.P. Earthworms as organic waste managers and biofertilizer producers. Waste Biomass Valor. 2018, 9, 1073–1086. [Google Scholar] [CrossRef]
- Yuvaraj, A.; Karmegam, N.; Ravindran, B.; Chang, S.W.; Awasthi, M.K.; Kannan, S.; Thangaraj, R. Recycling of leather industrial sludge through vermitechnology for a cleaner environment—A review. Ind. Crops Product. 2020, 155, 112791. [Google Scholar] [CrossRef]
- Yatoo, A.M.; Rasool, S.; Ali, S.; Majid, S.; Rehman, M.U.; Ali, M.N.; Farooq, S. Vermicomposting: An eco-friendly approach for recycling/management of organic wastes. In Bioremediation and Biotechnology; Springer: Cham, Switzerland, 2020; pp. 167–187. [Google Scholar] [CrossRef]
- Gusain, R.; Suthar, S. Vermicomposting of duckweed (Spirodela polyrhiza) by employing Eisenia fetida: Changes in nutrient contents, microbial enzyme activities and earthworm biodynamics. Bioresour. Technol. 2020, 311, 123585. [Google Scholar] [CrossRef] [PubMed]
- Suthar, S.; Pandey, B.; Gusain, R.; Gaur, R.Z.; Kumar, K. Nutrient changes and biodynamics of earthworm biological parameters during vermicomposting of water lettuce (Pistia sp.) biomass: A prominent weed of aquatic system. Environ. Sci. Poll. Res. 2018, 24, 199–207. [Google Scholar] [CrossRef]
- Singh, W.R.; Kalamdhad, A.S. Transformation of nutrients and heavy metals during vermicomposting of the invasive green weed Salvinia natans using Eisenia fetida. Inter. J. Recycl. Org. Waste Agric. 2016, 5, 205–220. [Google Scholar] [CrossRef]
- Karmegam, N.; Jayakumar, M.; Govarthanan, M.; Kumar, P.; Ravindran, B.; Biruntha, M. Precomposting and green manure amendment for effective vermitransformation of hazardous coir industrial waste into enriched vermicompost. Bioresour. Technol. 2021, 319, 124136. [Google Scholar] [CrossRef]
- Sindhu, V.; Chatterjee, R.; Santhoshkumar, G.M.; Sinha, T. Enrichment of Organic Manures and Their Utilization in Vegetable Crops. Curr. J. App. Sci. Technol. 2020, 39, 10–24. [Google Scholar] [CrossRef]
- Yatoo, A.M.; Ali, M.N.; Baba, Z.A.; Hassan, B. Sustainable management of diseases and pests in crops by vermicompost and vermicompost tea. A review. Agron. Sustain. Develop. 2021, 41, 1–26. [Google Scholar] [CrossRef]
- Balachandar, R.; Baskaran, L.; Yuvaraj, A.; Thangaraj, R.; Subbaiya, R.; Ravindran, B.; Chang, S.W.; Karmegam, N. Enriched pressmud vermicompost production with green manure plants using Eudrilus eugeniae. Bioresour. Technol. 2020, 299, 122578. [Google Scholar] [CrossRef]
- Karmegam, N.; Rajasekar, K. Enrichment of biogas slurry vermicompost with Azotobacter chroococcum and Bacillus megaterium. J. Environ. Sci. Technol. 2012, 5, 91–108. [Google Scholar] [CrossRef][Green Version]
- Unuofin, F.O.; Mnkeni, P.N.S. Optimization of Eisenia fetida stocking density for the bioconversion of rock phosphate enriched cow dung–waste paper mixtures. Waste Manage. 2014, 34, 2000–2006. [Google Scholar] [CrossRef] [PubMed]
- Bhattacharya, S.S.; Iftikar, W.; Sahariah, B.; Chattopadhyay, G.N. Vermicomposting converts fly ash to enrich soil fertility and sustain crop growth in red and lateritic soils. Resour. Conser. Recycl. 2012, 65, 100–106. [Google Scholar] [CrossRef]
- Mupambwa, H.A.; Dube, E.; Mnkeni, P.N. Fly ash composting to improve fertiliser value-a review. S. Afr. J. Sci. 2015, 111, 1–6. [Google Scholar] [CrossRef][Green Version]
- Mupambwa, H.A.; Mnkeni, P.N.S. Optimizing the vermicomposting of organic wastes amended with inorganic materials for production of nutrient-rich organic fertilizers: A review. Environ. Sci. Poll. Res. 2018, 25, 10577–10595. [Google Scholar] [CrossRef]
- Soobhany, N. Insight into the recovery of nutrients from organic solid waste through biochemical conversion processes for fertilizer production: A review. J. Clean. Prod. 2019, 241, 118413. [Google Scholar] [CrossRef]
- Gaonkar, M.; Chakraborty, A.P. Application of eggshell as fertilizer and calcium supplement tablet. Inter. J. Innovat. Res. Sci. Eng. Technol. 2016, 5, 3520–3525. [Google Scholar]
- Waheed, M.; Butt, M.S.; Shehzad, A.; Adzahan, N.M.; Shabbir, M.A.; Suleria, H.A.R.; Aadil, R.M. Eggshell calcium: A cheap alternative to expensive supplements. Trends Food Sci. Technol. 2019, 91, 219–230. [Google Scholar] [CrossRef]
- Budhalakoti, N. Formulation and standardisation of banana peel extracted insoluble dietary fibre-based buns. Curr. J. Appl. Sci. Technol. 2019, 32, 1–9. [Google Scholar] [CrossRef]
- Aboul-Enein, A.M.; Salama, Z.A.; Gaafar, A.A.; Aly, H.F.; Abou-Elella, F.; Ahmed, H.A. Identification of phenolic compounds from banana peel (Musa paradaisica L.) as antioxidant and antimicrobial agents. J. Chem. Pharm. Res. 2016, 8, 46–55. [Google Scholar]
- Kalemelawa, F.; Nishihara, E.; Endo, T.; Ahmad, Z.; Yeasmin, R.; Tenywa, M.M.; Yamamoto, S. An evaluation of aerobic and anaerobic composting of banana peels treated with different inoculums for soil nutrient replenishment. Bioresour. Technol. 2012, 126, 375–382. [Google Scholar] [CrossRef]
- Khayum, N.; Anbarasu, S.; Murugan, S. Biogas potential from spent tea waste: A laboratory scale investigation of co-digestion with cow manure. Energy 2018, 165, 760–768. [Google Scholar] [CrossRef]
- Cooper, J.M.; Butler, G.; Leifert, C. Life cycle analysis of greenhouse gas emissions from organic and conventional food production systems, with and without bio-energy options. NJAS-Wagening. J. Life Sci. 2011, 58, 185–192. [Google Scholar] [CrossRef]
- Bhuvaneswari, A.; Kalaivanan, K.; Durairaj, S.; Selladurai, G. Effect of Bisphenol-A on the bioconversion of tea waste into vermicompost by Eudrilus eugeniae (Kinberg, 1867) at Different Intervals. Inter. J. Sci. Res. Biol. Sci. 2021, 8, 5–12. [Google Scholar] [CrossRef]
- Mäkelä, P.S.; Wasonga, D.O.; Solano Hernandez, A.; Santanen, A. seedling growth and phosphorus uptake in response to different phosphorus sources. Agronomy 2020, 10, 1089. [Google Scholar] [CrossRef]
- Baker, A.M.; Trimm, J.R.; Sikora, F.J. Availability of phosphorus in bone meal. J. Assoc. Off. Anal. Chem. 1989, 72, 867–869. [Google Scholar] [CrossRef]
- Yuvaraj, A.; Thangaraj, R.; Maheswaran, R. Decomposition of poultry litter through vermicomposting using earthworm Drawida sulcata and its effect on plant growth. Inter. J. Environ. Sci. Technol. 2019, 16, 7241–7254. [Google Scholar] [CrossRef]
- Sharma, K.; Garg, V.K. Recycling of lignocellulosic waste as vermicompost using earthworm Eisenia fetida. Environ. Sci. Poll. Res. 2019, 26, 14024–14035. [Google Scholar] [CrossRef]
- Tandon, H.L.S. Methods of Analysis of Soils, Plants, Waters, Fertilisers & Organic Manures; Fertiliser Development and Consultation Organisation: New Delhi, India, 2005. [Google Scholar]
- Zucconi, F. Evaluating toxicity of immature compost. Biocycle 1981, 22, 54–57. [Google Scholar]
- Singh, C.K.; Kumar, A. Vermicomposting of terrestrial weeds Lantana camara L. and Parthenium hysterophorus L.: Agriculture solid waste. Ecol. Quest. 2017, 28, 63–69. [Google Scholar] [CrossRef]
- Biruntha, M.; Karmegam, N.; Archana, J.; Selvi, B.K.; Paul, J.A.J.; Balamuralikrishnan, B.; Chang, S.W.; Ravindran, B. Vermiconversion of biowastes with low-to-high C/N ratio into value added vermicompost. Bioresour. Technol. 2020, 297, 122398. [Google Scholar] [CrossRef]
- Devi, C.; Khwairakpam, M. Bioconversion of Lantana camara by vermicomposting with two different earthworm species in monoculture. Bioresour. Technol. 2020, 296, 122308. [Google Scholar] [CrossRef] [PubMed]
- Zhang, J.; Mueller, C.; Cai, Z. Heterotrophic nitrification of organic N and its contribution to nitrous oxide emissions in soils. Soil Biol. Biochem. 2015, 84, 199–209. [Google Scholar] [CrossRef]
- Ramnarain, Y.I.; Ansari, A.A.; Ori, L. Vermicomposting of different organic materials using the epigeic earthworm Eisenia foetida. Inter. J. Recy. Org. Waste Agric. 2019, 8, 23–36. [Google Scholar] [CrossRef]
- CPHEEO. Municipal Solid Waste Management Manual. Part II: The Manual. Swach Bharath Mission; Ministry of Urban Development, Central Public Health and Environmental Engineering Organisation: New Delhi, India, 2016.
- Gong, X.; Li, S.; Carson, M.A.; Chang, S.X.; Wu, Q.; Wang, L.; An, Z.; Sun, X. Spent mushroom substrate and cattle manure amendments enhance the transformation of garden waste into vermicomposts using the earthworm Eisenia fetida. J. Environ. Manag. 2019, 248, 109263. [Google Scholar] [CrossRef] [PubMed]
- Paul, S.; Kauser, H.; Jain, M.S.; Khwairakpam, M.; Kalamdhad, A.S. Biogenic stabilization and heavy metal immobilization during vermicomposting of vegetable waste with biochar amendment. J. Hazard. Mater. 2020, 390, 121366. [Google Scholar] [CrossRef] [PubMed]
- Gusain, R.; Suthar, S. Vermicomposting of invasive weed Ageratum conyzoids: Assessment of nutrient mineralization, enzymatic activities, and microbial properties. Bioresour. Technol. 2020, 312, 123537. [Google Scholar] [CrossRef] [PubMed]
- Balachandar, R.; Biruntha, M.; Yuvaraj, A.; Thangaraj, R.; Subbaiya, R.; Govarthanan, M.; Karmegam, N. Earthworm intervened nutrient recovery and greener production of vermicompost from Ipomoea staphylina–An invasive weed with emerging environmental challenges. Chemosphere 2021, 263, 128080. [Google Scholar] [CrossRef]
- Karmegam, N.; Vijayan, P.; Prakash, M.; Paul, J.A. Vermicomposting of paper industry sludge with cow dung and green manure plants using Eisenia fetida: A viable option for cleaner and enriched vermicompost production. J. Clean. Product. 2019, 228, 718–728. [Google Scholar] [CrossRef]
- Yuvaraj, A.; Thangaraj, R.; Ravindran, B.; Chang, S.W.; Karmegam, N. Centrality of cattle solid wastes in vermicomposting technology–A cleaner resource recovery and biowaste recycling option for agricultural and environmental sustainability. Environ. Poll. 2021, 268, 115688. [Google Scholar] [CrossRef]
- Meng, L.; Li, W.; Zhang, S.; Wu, C.; Lv, L. Feasibility of co-composting of sewage sludge, spent mushroom substrate and wheat straw. Bioresour. Technol. 2017, 226, 39–45. [Google Scholar] [CrossRef]
- Yadav, A.; Garg, V.K. Biotransformation of bakery industry sludge into valuable product using vermicomposting. Bioresour. Technol. 2019, 274, 512–517. [Google Scholar] [CrossRef] [PubMed]
- Devi, C.; Khwairakpam, M. Management of invasive weed Parthenium hysterophorus through vermicomposting using a polyculture of Eisenia fetida and Eudrilus eugeniae. Environ. Sci. Pollut. Res. 2021, 28, 29710–29719. [Google Scholar] [CrossRef] [PubMed]
- Ananthavalli, R.; Ramadas, V.; Paul, J.A.J.; Selvi, B.K.; Karmegam, N. Vermistabilization of seaweeds using an indigenous earthworm species, Perionyx excavatus (Perrier). Ecol. Eng. 2019, 130, 23–31. [Google Scholar] [CrossRef]
- Rai, R.; Singh, R.K.; Suthar, S. Production of compost with biopesticide property from toxic weed Lantana: Quantification of alkaloids in compost and bacterial pathogen suppression. J. Hazard. Mater. 2021, 401, 123332. [Google Scholar] [CrossRef] [PubMed]
- Negi, R.; Suthar, S. Vermistabilization of paper mill wastewater sludge using Eisenia fetida. Bioresour. Technol. 2013, 128, 193–198. [Google Scholar] [CrossRef]
- Song, X.; Liu, M.; Wu, D.; Qi, L.; Ye, C.; Jiao, J.; Hu, F. Heavy metal and nutrient changes during vermicomposting animal manure spiked with mushroom residues. Waste Manag. 2014, 34, 1977–1983. [Google Scholar] [CrossRef]
- Suthar, S. Vermicomposting of vegetable-market solid waste using Eisenia fetida: Impact of bulking material on earthworm growth and decomposition rate. Ecol. Eng. 2009, 35, 914–920. [Google Scholar] [CrossRef]
- Aira, M.; Monroy, F.; Domínguez, J. Earthworms strongly modify microbial biomass and activity triggering enzymatic activities during vermicomposting independently of the application rates of pig slurry. Sci. Total Environ. 2007, 385, 252–261. [Google Scholar] [CrossRef]
- Gaur, R.Z.; Suthar, S. Nutrient scaling of duckweed (Spirodela polyrhiza) biomass in urban wastewater and its utility in anaerobic co-digestion. Process Saf. Environ. Prot. 2017, 107, 138–146. [Google Scholar] [CrossRef]
- Gusain, R.; Suthar, S. Biofuel production efficiency of biomass of some aquatic weeds (Lemna gibba, Lemna minor, Pistia stratiotes and Eichhornia sp.). Process Saf. Environ. Prot. 2017, 109, 233–241. [Google Scholar] [CrossRef]
- Attia-Ismail, S.A. Factors limiting and methods of improving nutritive and feeding values of halophytes in arid, semi-arid and coastal areas. In Proceedings of the International Conference on Biosaline Agriculture and High Salinity Tolerance, Mugla, Turkey, 9–14 January 2005; pp. 9–14. [Google Scholar]
- Attia-Ismail, S.A. Plant secondary metabolites: Deleterious effects, remediation. In Plants, Pollutants and Remediation; Springer: Dordrecht, The Netherlands, 2015; pp. 157–178. [Google Scholar] [CrossRef]
- Hendriksen, N.B. Leaf litter selection by detritivore and geophagous earthworms. Biol. Fertil. Soils 1990, 10, 17–21. [Google Scholar]
- Suthar, S.; Gairola, S. Nutrient recovery from urban forest leaf litter waste solids using Eisenia fetida. Ecol. Eng. 2014, 71, 660–666. [Google Scholar] [CrossRef]
- Sáez, J.A.; Pérez-Murcia, M.D.; Vico, A.; Martínez-Gallardo, M.R.; Andreu-Rodriguez, F.J.; López, M.J.; Moral, R. Olive mill wastewater-evaporation ponds long term stored: Integrated assessment of in situ bioremediation strategies based on composting and vermicomposting. J. Hazard. Mater. 2021, 402, 123481. [Google Scholar] [CrossRef]
- Zhang, L.; Sun, X. Using cow dung and spent coffee grounds to enhance the two-stage co-composting of green waste. Bioresour. Technol. 2017, 245, 152–161. [Google Scholar] [CrossRef] [PubMed]
Publisher’s Note: MDPI stays neutral with regard to jurisdictional claims in published maps and institutional affiliations. |
© 2022 by the authors. Licensee MDPI, Basel, Switzerland. This article is an open access article distributed under the terms and conditions of the Creative Commons Attribution (CC BY) license (https://creativecommons.org/licenses/by/4.0/).





