Abstract
Pesticides in three-dimensional (3D) crops are usually applied sidewise, so the vertical component must be considered for adjusting the applications. For this, different approaches have been proposed. Leaf Wall Area (LWA) was selected to express the minimum dose to be used in efficacy field trials for plant protection product (PPP) authorization in northern areas of Europe, where 3D crops are grown as narrow wall-forming structures. However, southern European areas also managed 3D crops as wide walls or globular crops with non-negligible canopy width. Therefore, a Tree Row Volume (TRV) model is thought to be more appropriate for dose expression. Furthermore, efficacy evaluations for pesticide authorization are usually carried out with manual sprayers in young plantations with medium-sized trees. However, growers normally apply PPP with air-blast sprayers in plantations of different tree sizes. The objective of this study was to determine which dose expression is more suitable in citrus orchards, as well as to analyze, in turn, the influence of the sprayer. The results demonstrated that TRV was the most appropriate for dose expression. Knapsacks and air-blast sprayers distributed the spray on the canopy in different ways, and the size of the vegetation influenced the differences between them. Moreover, knapsack sprayers produced higher ground losses, and air-blast sprayers produced higher potential drift.
1. Introduction
Production of high-value crops, including three-dimensional (3D) crops that grow tall and in rows (tree crops in orchards and groves, e.g., pome and stone fruits, olives, citruses, nuts, etc., bush plantations of berries other than strawberries, vineyards, and high-growing vegetables, e.g., tomatoes, cucumbers, peppers, hops, etc.), are subject to particular pest/disease pressure. Although different biological control strategies are used, the most common methods are based on chemical plant protection products (PPPs). In fact, 3D crops are associated with the need for intensive use of PPPs [1]. Nowadays, in Europe, more than 480 thousand tons of PPPs are used [2]. These crops, which represent only 6% of the total European agricultural area, get the highest pesticide input, receiving 44% of the total amount of applied active substances [3].
One of the main problems in PPP application is that only a portion of the water volume sprayed is deposited on the target, and the off-target portion is lost to the environment and may contaminate areas of the treated orchards and adjacent to them, affecting fauna, flora, and people. In order to preserve the health of people and animals, the Directive 2009/128/EC of the European Parliament and Council [4] established a framework for community action to achieve sustainable use of PPPs. Therefore, the PPPs need to be used efficiently and rationally by properly adjusting the amount of PPP to the real needs and the specific conditions of the application.
For years, dose and volume rate in 3D crops were expressed according to the ground surface area that differs from the target surface. PPP application in 3D crops is usually performed sidewise, covering the total height of the crop, so the vertical component should be considered for adjusting the application in these crops. Different approaches have been proposed for this purpose, such as Canopy Height (CH), Unit Canopy Row (UCR), Tree Row Volume (TRV), and Leaf Wall Area (LWA) [5].
Harmonization of dose expressions has long been of great importance for the PPP authorization procedure, which, in the EU, is performed on a zonal basis. In the Central Zone, it was agreed that the LWA model would be a common dose expression that must be used during efficacy trials in pome fruits, vines, and high-growing vegetables, and then in the subsequent zonal evaluation process [5]. However, no general agreement on a single method for all 3D crops has been reached yet because this approach only appropriately represents spindly and narrow wall-forming crop structures. For citrus and olives, as well as many other fruit and nut crops, which are mainly managed as wide walls or globular crops and, therefore, have a non-negligible canopy width, the use of the LWA approach is considered to be limited. For such crops, additional canopy parameters might need to be taken into account; thus, the TRV model is thought to be the appropriate one in these crops [6].
On the other hand, the product authorization procedure requires a Biological Assessment Dossier (BAD) for which efficacy evaluations are carried out to give rise to the recommended PPP amounts that appear on the labels. They are usually carried out with manual or electric knapsack sprayers in plantations with medium-sized trees [7] in order to better control all of the application process, to minimize treatment interference between plots, and to reduce the discard area [8] and the need for very large orchards, which, in many cases, are not available. However, the PPP applications are mainly mechanical, using air-assisted hydraulic sprayers, and take place in both young and adult plantations with trees of all sizes, from small to very large.
Because the distribution of the spray to the different compartments of an orchard (target plants, ground, and air) and, therefore, the efficiency of the application could be affected by the vegetation [9,10] and the sprayer design [11], it is important to know the influence of the factors of both the sprayer and the canopy size when determining the recommended dose on the label.
The main objective of this study was to determine which expression is more suitable in a wide and globular crop, such as semi-intensive citrus orchards, to adjust the volume application rate—LWA or TRV. The complementary objective was to analyze the influence of the application sprayer, comparing a manual hydraulic with a mechanized air-assisted sprayer in two orchards with different canopy sizes, a young orchard with small–medium trees and an adult orchard with large trees.
2. Materials and Methods
Experiments were carried out under field conditions to analyze the influence of two factors on spray distribution in the canopy and off-target losses of pesticide applications in a citrus orchard (Table 1):
Table 1.
Treatments arranged for the field experiments.
- Dose expression (LWA vs. TRV);
- Application sprayer (hydraulic knapsack sprayer vs. air-blast sprayer);
This study was conducted in two orchards with different canopy sizes: young and small trees and adult and large trees.
2.1. Experimental Site
Field tests were performed in an experimental orchard growing ‘Clemenvilla’ mandarins (Citrus clementina Hort. × (Citrus paradisi Macf. × Citrus tangerina Hort.)) in El Puig de Santa María (Valencia, Spain) (39°37′7″ N, 0°21′57″ W). This orchard had an area with young trees, established in 2013, and another with adult trees, established in 1990, which were considered as the ‘young plot’ and the ‘adult plot’ for the trial, respectively.
Firstly, the vegetation of both plots was characterized (Table 2) by measuring the planting pattern (row spacing (Rd, m) and tree spacing (Td, m)), the height of the raised bed, the size of the canopy, and the leaf area density. Canopy size was determined by measuring the heights of the skirts (from the ground to the bottom of the canopy, without taking into account unusual extreme shoots, m), total tree height (from the ground to the top, m), diameter along the row (Dl, m), and diameter across the row (Dc, m) (Figure 1) in ten representative random trees. After, canopy height (Hc, m) was calculated by subtracting the height of the skirts from the total tree height. The canopy volume Ve (m3 tree−1) of each tree was calculated considering the citrus canopy as an ellipsoid with Hc, Dl, and Dc as the axes.
Table 2.
Characteristics of the experimental plots.
Figure 1.
Side and top view of a citrus orchard, indicating where to take the different dimensions (row spacing Rd, tree spacing Td, canopy height Hc, diameter along the row Dl, and diameter across the row Dc).
Likewise, the LWA (m2 ha−1) and TRV (m3 ha−1) in the two plots were calculated using Equations (1) and (2), respectively.
where Hc (m) is the canopy height, Dc (m) is the diameter of the canopy across the row, and Rd (m) is the row spacing.
The average leaf area density LADt (m2 of leaves m−3 of canopy) was estimated in three trees per plot by calculating the LAD in 18 sections of the canopy. These sections were the result of dividing the canopy into three heights (bottom, middle, and top), three widths (W1, W2, and W3) with respect to the diameter along the row, and two depths (inside and outside) (Figure 2).
Figure 2.
Sections of the canopy considered for average leaf area density (LADt) estimation. (a) Side view across the row and (b) top view of a standard citrus tree. Arrows indicate the forward direction of the sprayer.
In each section, a 0.125 m3 cube was defoliated and the total amount of leaves was weighed. From each zone, a random sample of 30 leaves was weighed with a precision analytical balance and digitized by scanning at 600 dpi resolution; the resulting image was analyzed through image analysis with the ImageJ software [12,13] to calculate the leaf area (considering only one side of leaves). In this way, the weight/leaf area ratio of each section i was determined, and the density of vegetation in each canopy section LADi (m2 of leaves m−3 of canopy) was calculated (Figure 3). Averaging the value of each section, the mean density of vegetation LADt was obtained.
Figure 3.
Leaf area density (LAD; calculated considering only one side of the leaves; mean (standard error (s.e.)), m2 of leaves m−3 of canopy) in the different canopy sections (combination of three heights, three widths, and two depths) in (a) the adult plot and (b) the young plot.
The highest LAD of the canopy was found in the outer part and middle height, while the lowest LAD was found in the interior area of Width 2, that is to say, the central zone of the canopy, especially at the bottom, both in the adult plot and in the young plot (Figure 3). The mean LAD of the adult plot was 11.61 ± 0.52 m2 of leaves m−3 of canopy and that of the young plot was 11.42 ± 0.48 m2 of leaves m−3 of canopy.
2.2. Treatments and Spray Applications
In each plot (adult and young), the application rate for each dose expression was calculated according to Equations (3) and (4) based on application rate indexes (Ii) for each dose expression.
where ALWA (L ha−1) and ATRV (L ha−1) are the application rates based on LWA and TRV dose expressions, respectively, and ILWA (L m−2 of LWA) and ITRV (L m−3 of TRV) are the application rate indexes for LWA and TRV, respectively.
ALWA = LWA × ILWA,
ATRV = TRV × ITRV,
The ILWA was assigned the value of 0.25 L m−2 for LWA by Bayer. For ITRV, Bayer initially proposed a value of 0.21 L m−3 of TRV, but in the adult plot, this meant an application rate much higher than 3000 L ha−1, which is the maximum established by Bayer for many products due to ecotoxicology limits. Furthermore, in the young plot, with this ITRV, the spray volumes ALWA and ATRV estimated were very similar (1832 and 1892 L ha−1, respectively). Therefore, it was decided to calculate a new ITRV index based on the volume rate recommended by CitrusVol, a decision support tool designed and validated to adjust the pesticide treatments carried out with air-blast sprayers in citrus crops [14,15]. The CitrusVol tool recommends an application volume rate (L ha−1) based on canopy size, planting pattern, and pruning and density levels of the orchard, together with the pest to be controlled and the active ingredient to be applied. For this study, the application volume rate recommended by CitrusVol (ACV) was obtained for a model treatment with the following characteristics: (a) canopy size and planting pattern of the adult plot; (b) normal pruning level; (c) medium density level; (d) control of two-spotted spider mite Tetranychus urticae Koch (Acari: Tetranychidae), taken as a model pest in citrus; and (e) application of spirodiclofen, taken as a model PPP against this pest. The corresponding ITRV was calculated with Equation (5), obtaining a value of 0.18 L m−3 of TRV.
In addition, the volume applied per tree in each plot with each dose expression was calculated with Equation (6) in order to calculate the application time per tree needed with the knapsack sprayer.
where Atree,i (L tree−1) is the amount per tree of spray liquid with each dose expression, Ai (L ha−1) is the application rate corresponding to each dose expression (ALWA or ATRV), Rd (m) is the row spacing, and Td (m) is the tree spacing. Table 3 and Table 4 shows the treatments conducted and their corresponding application rates. It is important to highlight that, due to the method of calculation, in the young plot, the volume applied based on LWA was higher than the one based on TRV, while in the adult plot, the contrary happened, that is, the volume applied based on LWA was lower than the one based on TRV.
Table 3.
Working conditions for the treatments with the knapsack sprayer.
Table 4.
Working conditions for tests with the air-blast sprayer.
Treatments were made between 28 September and 10 October 2018. Hand-held applications were performed with a portable manual hydraulic knapsack MARUYAMA MS073D sprayer (Maruyama US Inc., Auburn, WA, USA), selected because it is widely used by pesticide manufacturers to conduct efficacy trials. Mechanized applications were carried out with an axial fan air-blast sprayer GBV Citfruit (GBV Agrícola S.L., Alginet, Valencia, Spain), powered by a New Holland TN95NA tractor (New Holland Corporation, New Holland, PA, USA), selected because it is widely used by citrus growers. Before each application, the corresponding sprayer was configured for the specific conditions of each treatment.
Each application consisted of spraying the half canopy of two adjacent tree rows facing each other and three consecutive trees from each row. Each application was made on different trees to avoid contaminating the spray collectors. Three replications per treatment were performed. A water-based solution of fluorescent tracer Brilliant Sulfoflavine (BSF) (Biovalley, Marne-la-Vallée, France) was used in the applications with a concentration of 1 g L−1.
During each application, weather conditions (temperature, relative humidity, wind speed, and direction) were monitored at 1 Hz by means of a thermohygrometer LOG32 Data Logger (Dostmann electronic GmbH, Wertheim, Germany) and a 3D ultrasonic anemometer WindMaster 1590-PK-020 (Gill Instruments Ltd., Hampshire, UK). The sensors were placed at 5.5 m height, which was 2.5 m above the canopies in the adult plot and 3 m in the young plot.
Wind data direction is expressed with respect to both the geographic north and the spray pass because off-target losses generated during the treatments depend to a great extent on the external air currents, perpendicular to the target tree rows. For this reason, the inclination of the tree rows of the plot was estimated with respect to the geographic north, obtaining an approximate mean deviation of 66.3° (Figure 4). Furthermore, the 25th, 50th (median), and 75th percentiles of wind direction during every application were also calculated. Table 5 shows the mean data collected by the sensors for each treatment. The Figure 5 shows the average wind conditions during the application of each treatment to better explain the results.
Figure 4.
Criterion followed to determine wind direction with respect to tree rows. ‘N’ means geographic north. Angle α refers to the angle used to express the wind direction in the treatments.
Table 5.
Mean temperature, relative humidity, and wind speed during treatments. For wind direction, the 25th percentile (*), 50th percentile (median) (in bold), and 75th percentile (**) are indicated.
Figure 5.
The treatments carried out with the knapsack are in red, and the treatments carried out with the air-blast sprayer are in blue.
It is important to highlight that all the applications were performed under appropriate temperature and relative humidity conditions, and with an average wind speed lower than 3 m s−1, which is the maximum established in the Spanish legislation to minimize drift-associated risks [16]. Regarding average wind direction, in only one treatment, Ad-Air-TRV, wind came from the right side of the sprayer; meanwhile, in all the other cases, wind came mainly from the left side. On the other hand, in the treatments applied with the knapsack sprayer in the young plot, based on both TRV and LWA, wind came almost parallel to the tree rows, while in the others, its direction was more transversal (Figure 5).
2.3. Calibration and Adjustment of Application Sprayers
2.3.1. Knapsack Sprayer
Ceramic disc nozzles with a diffuser hood were employed, selecting the nozzle hole diameter based on the application rate for each treatment and trying to maintain a similar speed of application and, therefore, the time per lineal meter advance. Nozzle orifice sizes of 1.5, 1.8, and 2 mm diameter were used. These nozzles are classified as producing fine droplets by the manufacturer. All applications were made at a pressure of 2 MPa and with a spray angle of 30°. The actual flow rate of the nozzles under these conditions was previously measured, and based on the volume rate to be applied to each tree (Table 3), the application time per tree (s tree−1) was calculated (Table 3).
2.3.2. Air-Blast Sprayer
The same application parameters regarding forward speed (0.38 m s−1, at PTO (power take-off) speed of 480 min−1), working pressure (1 MPa in the nozzle manifold), and fan airflow rate (high-speed position, giving 45 m s−1 and 20.43 m3 s−1, experimentally measured) were used in both the adult and the young plot. Therefore, the nozzle manifold configuration was adjusted (number of working nozzles and unit flow) for each treatment in order to obtain the flow of the sprayer that provided the volume rate to be applied in each case.
To set up the nozzle manifold, firstly, the spray cloud was adjusted to the vegetation, orienting the nozzles towards the foliage and closing those whose outgoing flow was not directed to the canopy. Hollow-cone disc-core nozzles (TeeJet Spraying Systems Co., Wheaton, IL, USA) were used, which are commonly employed by local growers. These nozzles are classified as producing fine droplets by the manufacturer. The diameters of the disc orifice and the nozzle cores were chosen in order to obtain the corresponding flow rates. For the selection, the position of the nozzle holders on each side of the sprayer was considered. Table 6 displays the nozzle configuration for each treatment.
Table 6.
Configuration and location of disc-core nozzles for treatments with the air-blast sprayer. Positions that do not have a nozzle assigned were closed during applications.
In addition, the liquid flow rate of each nozzle was measured, verifying that all of them were within the acceptance limit established by ISO 16122-3 [17], with a maximum deviation of 15% from the nominal flow, and that the difference in flow rate emitted by the set of nozzles between both sides of the machine did not vary more than 10%. The actual application rate of each treatment was also calculated (Table 4).
2.4. Spray Distribution on the Canopy and Off-Target Losses
2.4.1. Spray Distribution on the Canopy
The evaluation of the distribution of the product on the canopy was done in the left central tree with respect to the advance of the sprayer and consisted of measuring leaf deposition and coverage in different locations of the canopy. For this purpose, canopies were divided into three equal heights (bottom, middle, and top), four equal depths (D1, D2, D3, and D4), and three equal widths (W1, W2, and W3) (Figure 6). Leaf deposition and coverage were measured in W2, which meant 12 sampling sections per tree (3 heights × 4 depths × 1 width).
Figure 6.
Quadrants of the canopy where the collectors were placed (shaded): (a) side view along the row and (b) top view. The arrows indicate the direction of the sprayer. Collectors used: (c) filter paper to estimate leaf deposition and (d) water-sensitive paper (WSP) to estimate spray coverage.
To determine the spray coverage, four 26 × 76 mm water-sensitive papers (WSPs) (TeeJet, Spraying Systems Co. Wheaton, IL, USA) were placed in each sampling section, two on the upper side and two on the lower side of four randomly selected leaves. Leaf deposition was measured by eight 50 × 50 mm filter paper collectors (ANOIA S.A., Barcelona, Spain) in each sampling section—four collectors on the upper side and four on the lower side of eight random leaves. After spraying, and when samples were dry, the WSPs were collected, considering each WSP as an individual sample. Filter papers were collected, storing the eight collectors per area together, which was considered an individual sample, in cool and dark conditions.
2.4.2. Off-Target Losses: Ground Losses and Potential Drift
Off-target losses, accounting for ground losses and potential drift, both airborne and sedimenting drift, were estimated in the ensemble formed by the two central trees of the two adjacent sprayed rows, that is, on both the right and the left sides of the sprayer. The spray going out from the top of the spray area was considered potential airborne drift, while the spray going out from the spray area through the sprayed canopies after penetrating them was considered potential sedimenting drift. Therefore, to estimate the potential losses due to potential airborne drift and sedimenting drift, a structure provided with 2 mm diameter nylon thread collectors (Model Star. Golden Fish S.L. fishing lines, Naval Effects OCAÑA S.L., Cangas, Spain) was placed around the two evaluation trees (Figure 7). To estimate the airborne drift, one nylon thread was placed perpendicularly to the advance of the sprayer, from the outer side of one tree to the outer side of the other tree; it was 8 m long and was located 1.5 m above the canopy top, i.e., 4 m above the ground in the young plot and 4.5 m in the adult plot. To estimate the sedimenting drift, threads were placed in the adjacent path at 20 cm from the vegetation of target trees, parallel to the driving direction; they were 1 m long, and were located every 50 cm, from 50 cm above the ground to a height of approximately 1 m above the canopy top, i.e., 3.5 m above the ground in the young plot and 4 m in the adult plot. Therefore, seven threads were used in the young plot and eight threads were used in the adult plot for each side (Figure 7). Ground losses were divided into those depositing directly in the tractor path, namely direct ground losses, which came from the direct spray and/or the spray cloud that remains behind the sprayer, and those depositing underneath target tree rows, namely indirect ground losses, which mainly came from the run-off. Therefore, to estimate the ground losses, nine 425 × 50 mm horizontal filter paper collectors were placed perpendicularly to the advance of the sprayer, three on the ground of the sprayer path and three below each evaluation tree. In the sprayer path, the central collector was kept separated by 60 cm from the others to allow passage of the tractor wheels (Figure 7).
Figure 7.
Collectors of off-target losses: (a) perspective and (b) side view across the row of the young plot with the structure provided by the collectors to estimate the potential drift and losses to the ground. The potential-drift-collecting threads are shown in light blue, and the ground-loss-collecting filter papers are shown in red. Collectors used: (c) nylon thread to estimate the potential drift and (d) filter paper to estimate ground losses.
After spraying and when the collectors were dry, they were individually collected. The thread over the trees was cut into 1 m sections, considering each section as an individual collector.
2.4.3. Collectors’ Analyses
Each WSP was digitized with a Canon EOS 700D camera (Canon Inc., Tokyo, Japan), and color images were analyzed to obtain the percentage of coverage using the software of image analysis developed by IVIA based on the Food-Color Inspector [18]. This software allows, on the one hand, the easy and fast creation of segmentation models for color images through training with samples of the image set, and on the other hand, the analysis of the color of the objects in different color spaces. Using the selected data, a pixel classification model was created based on the Bayes theory to assign all the pixels in the image to the different classes created in the training. Two classes were created in the training to analyze the images of digitized WSPs, one for impacted droplets and another for the background. Next, mean coverage in every sample for each section of the canopy (three heights, four depths, and two leaf sides) and the global average of all the sections for each treatment were calculated.
The quantity of BSF deposited on the collectors used to assess leaf deposition and off-target losses was measured by fluorometry. Firstly, to extract the dye, the collectors were washed with a known volume of deionized water of Milli-Q® quality (“Type II” water according to ISO 3696 [19]), using 50 mL for the one-meter-long threads and 100 mL for the filter papers. Subsequently, the tracer concentration in the wash water was determined using the fluorometer (model Cary Eclipse, Varian Instruments, Walnut Creek, CA, USA). The fluorometer was previously calibrated to obtain the fluorescence intensity–BSF concentration relationship curves. From the measurements of the fluorescence intensity, dismissing the fluorescence of the deionized water and taking into account the volume of wash water used in each case, the BSF deposit collected by each collector was obtained (μg of BSF collector−1). With these data, and based on the tracer concentration in the tank of the sprayer, the spray volume deposited on each collector was obtained (μL of spray). Finally, depending on the dimensions of the corresponding collector (cm2 collector−1), the deposit per unit area was calculated (μL cm−2).
2.5. Data Analysis
The effects of the sprayer and the dose expression on the distribution of the spray volume in the canopy were studied separately in each plot because the volume rate calculated with the different dose expressions, LWA and TRV, depends on the size of the canopy; therefore, both parameters are correlated and cannot be included as independent factors. A multifactor analysis of variance (multifactor ANOVA) was performed on the dependent variable ‘coverage’ and another on the dependent variable ‘leaf deposition’. In addition to the main factors studied (sprayer and dose expression), factors related to the locations of the collectors for analyzing the distribution in the canopy were included: the depth and height in the canopy and the side of the leaf (in the case of the spray coverage). Two-way interactions were included in the study, and they were explained only when at least one of the main factors was involved in the interaction. An iterative process was followed in which all the factors and their interactions were included. Next, the effect with the highest non-significant p-value (α > 0.05) was removed and the model was recalculated. This was repeated until all the effects present were significant.
For analyzing the effects of the sprayer and the dose expression on the off-target losses in each plot separately, a multifactor ANOVA was performed for: (1) losses due to potential airborne drift, (2) losses generated by potential sedimenting drift, and (3) ground losses. For these analyses, losses related with potential airborne drift were considered as the accumulated deposition in all the collectors above the trees. Losses due to potential sedimenting drift were considered as the accumulated deposition in all the collectors behind the trees, both to the left and to the right of the sprayer. Ground losses were assumed as the accumulated deposition in all the collectors placed on the ground.
In every multifactor ANOVA, it was verified that the assumptions of homoscedasticity (through the Levene test) and normality (normal probability plot of the residuals) were fulfilled. When significant differences were found, the least significant difference (LSD) test was applied for the separation of the means. The confidence level used for all the analyses was 95%. Analyses were done using Statgraphics Centurion XVI (Manugistics Inc., Rockville, MD, USA).
3. Results and Discussion
3.1. Spray Distribution on the Canopy: Spray Coverage and Leaf Deposition
The overall mean coverage per tree and mean leaf deposition obtained in each plot with each sprayer and dose expression, as well as the mean deposition normalized with the sprayed amount applied (μL cm−2 per g of BSF ha−1), are shown in Table A1 (Appendix A). It was observed that the normalized deposition for a given sprayer in each plot was approximately the same for both application volume rates (Table A1), thus indicating that the efficiency of each sprayer in each plot size was almost constant in the range of volumes applied. In both plots, the knapsack sprayer showed higher efficiency of deposition than the air-blast sprayer, between 1.3 and 1.5 times higher, regardless of the size of the canopy. Moreover, the deposition efficiency in the young plot was between 2.0 and 2.3 times higher than in the adult one, regardless of the sprayer. However, the distribution of the spray volume in the canopy is more important for the biological efficacy of a pesticide application than the mean value of coverage and leaf deposition on the tree; therefore, the statistical analyses were performed taking this into account.
The mean coverage obtained for each quadrant of the canopy (at each height, depth, and leaf side) in each plot with each sprayer and dose expression is displayed in Figure A1 (Appendix A), and the absolute mean leaf deposition obtained for each quadrant of the canopy (at each height and depth) in each plot with each sprayer and dose expression is displayed in Figure A2 (Appendix A).
The simple effect of dose expression on coverage was significant in the adult plot, where the TRV reached higher coverage than the LWA, but it was not significant in the young plot (p = 0.3497), getting similar coverage with both dose expressions (Table 7; Table A1).
Table 7.
Multifactor analysis of variance (ANOVA) results for the coverage (%) in the adult and the young plots. The main study factors have been highlighted in bold (least significant difference (LSD) test, p < 0.05) a.
In the adult plot, dose expression was also statistically significant for leaf deposition, but in interaction with depth (Table 8). The amount of spray deposited was significantly greater with TRV in the outer part of the canopy (D1 and D2), while in the inner part (D3 and D4), the deposition with both methods, LWA and TRV, was similar (Figure 8). Meanwhile, in the young plot the interaction “Dose expression × Depth” was not significant (p = 0.0931).
Table 8.
Multifactor ANOVA results for the leaf deposition (µL cm−2) in the adult and young plots. The main study factors have been highlighted in bold (LSD test, p < 0.05) a.
Figure 8.
“Dose Expression × Depth” interaction for leaf deposition (µL cm−2) (mean (s.e.)) for the (a) adult and (b) young plots.
On the other hand, in the young plot, the dose expression was statistically significant in interaction with height (Table 8). The amount of leaf deposition on the canopy bottom was significantly greater with LWA than with TRV, while in the top and the middle heights, the deposition with LWA and TRV was similar (Figure 9).
Figure 9.
“Dose Expression × Height” interaction for leaf deposition (µL cm−2) (mean (s.e.)) for the (a) adult and (b) young plots.
These different results in both plots are mainly due to the difference in the spray volume rates between dose expressions in each plot. In the adult plot, for the TRV, 3366 L ha−1 was obtained, and for the LWA, 2391 L ha−1 was obtained (with the difference of 975 L ha−1). Meanwhile in the young plot, the calculations obtained a value of 1622 L ha−1 for the TRV and a higher value for LWA of 1832 L ha−1 (with the difference of 210 L ha−1). This indicates that the calculation of the water volume based on TRV in wide trees results in higher volume and improves the coverage/leaf deposition, while in small trees, it results in lower volume but does not worsen coverage/leaf deposition. These results were in accordance with other studies that reported lower foliar deposition as the canopy width increased, and that it was, therefore, important to take width into account when adjusting the dose [20,21,22,23]. This means that the TRV model, which considers one more dimension (the canopy width) than the LWA model, is a more general solution, and is a better approximation for any orchard. Anyway, because both dose expressions are a simplification of dose adjustment through the canopy size of target, both should be corrected by other factors that also affect deposition, mainly leaf density [22,24,25,26,27,28,29] and canopy profile shape [30,31,32,33,34,35,36,37,38].
In both plots, the differences in both tree coverage and leaf deposition due to the sprayer depended on factors related to the location in the canopy. As expected, it was observed that in the two plots and with both sprayers, the highest coverage and leaf deposition were reached in the outer canopy, directly facing the spray, and they decreased progressively as the depth increased (Figure A1, Figure A2; Figure 10). Nevertheless, this reduction depended significantly on the sprayer, since the interaction “Sprayer × Depth” for coverage (Table 7) and for leaf deposition (Table 8) was significant in both plots. In the adult plot, for the depths closest to the sprayer, the air-blast sprayer achieved a coverage similar to that of the knapsack sprayer, but a lower leaf deposition. However, the air-blast sprayer obtained significantly higher coverage and leaf deposition than the knapsack for the depths farthest from the sprayer (D3 and D4), due probably to the air assistance produced by the air-blast sprayer that helps the droplets to be transported further into the vegetation [39]. In the young plot, the coverage achieved with the knapsack was greater than with the air-blast sprayer at D1, D2, and D3, but these differences disappeared at D4 (Figure 10b). In the case of leaf deposition, the knapsack got greater deposition than the air-blast sprayer only at D1, not finding differences in the rest of depths (Figure 9c,d). In this case, the air of the air-blast sprayer also transported the droplets further, and lower coverage and leaf deposition were found close to the sprayer.
Figure 10.
“Sprayer × Depth” interaction for coverage (%) (mean (s.e.)) for the (a) adult and (b) young plots, and for leaf deposition (µL cm−2) (mean (s.e.)) in the (c) adult and (d) young plots.
The interaction “Sprayer × Height” for coverage (Table 7) and for leaf deposition (Table 8) was also significant in both plots. It was observed that with the air-blast sprayer, both coverage and leaf deposition decreased with tree height (Figure 11), which was in accordance with previous works [15,40,41,42,43]. This result is mainly due to the radial shape of this kind of sprayer, which makes it difficult to reach the top of the canopy, together with the high leaf density of citrus and its globular shape. In the case of the knapsack sprayer, the trend was different; in general, both the coverage and the leaf deposition were lower in the bottom part of the canopy and similar in the top and middle heights of the canopy (Figure 11).
Figure 11.
“Sprayer × Height” interaction for coverage (%) (mean (s.e.)) for the (a) adult and (b) young plots, and for leaf deposition (µL cm−2) (mean (s.e.)) for the (c) adult and (d) young plots.
In both plots, the “Sprayer × Leaf Side” interaction was also significant for coverage (Table 7). Differences in coverage between the two sides of the leaves with the knapsack sprayer were similar for both plots, with significantly higher coverage on the upper side than on the underside. In the case of the air-blast sprayer, differences between leaf sides were different in the two plots. In the adult plot, there were almost no differences between the upper and the underside of the leaves. Instead, in the young plot, greater coverage was found on the underside of the leaves than on the upper side (Figure 12), which may be due to the low resistance of the canopy to the airflow because of its lower size [39], which made the leaves turn around and face the spray with the underside.
Figure 12.
“Sprayer × Leaf side” interaction for coverage (%) (mean (s.e.)) for the (a) adult and (b) young plots.
3.2. Off-Target Losses: Ground Losses and Potential Drift
In Figure A3 of Appendix B, the profile of off-target losses as a function of the distance to the center of the spray track (for potential airborne drift and ground losses) and of the height from the ground (for potential sedimenting drift, both in the right and left sides of the spray track) in the adult plot for each sprayer and dose expression is displayed. The corresponding data for the young plot are displayed in Figure A4. In addition, the mean values of off-target losses, ground losses, and potential airborne and sedimenting drift for all the treatments are shown in Table A2.
In both plots, differences in ground losses due to the simple effect of the sprayer were significant (Table 9). The greatest ground losses were found for the knapsack sprayer (Table A2), especially at a distance of 1–2 m from the center of the spray track, both on the left and the right side (Figure A3; Figure A4). This could be due to, on the one hand, the high deposition in the external part of the canopy, which caused that the spray dripped into the ground, and on the other hand, the way the operator goes from one tree to the next during application, which is usually done by directing the nozzle towards the ground.
Table 9.
Multifactor ANOVA results for the off-target losses (µL cm−2) in the adult and young plots (LSD test, p < 0.05) a.
The effect of dose expression on ground losses in the young plot, where application rates only differed by about 200 L ha−1, was not significant. In contrast, in the adult plot, with the TRV-based spray volume, the losses to the ground were significantly higher than with the LWA-based one regardless of the sprayer (Figure 13a). In the young plot, ground losses with the knapsack sprayer and LWA dose expression were very low, which could be due to the wind conditions during the applications, which had one of the highest speeds and the direction most parallel to the tree rows (Table 5 and Figure 5).
Figure 13.
“Sprayer × Dose Expression” interaction for off-target losses (µL cm−2) (mean (s.e.)): ground losses for the (a) adult and (b) young plots, potential sedimenting drift for the (c) adult and (d) young plots, and potential airborne drift for the (e) adult and (f) young plots.
In both plots, the interaction “Sprayer × Dose expression” on the potential sedimenting drift was significant, which means that differences between the sprayers significantly depended on the dose expression (Table 9). In both plots, the potential sedimenting drift with the knapsack sprayer was very low and did not significantly differ between the two application rates. However, the potential sedimenting drift with the air-blast sprayer in both plots was greater with the LWA volume than with the TRV (Figure 13c,d). This difference in potential sedimenting drift between sprayers is in agreement with the results obtained by Meli et al. [44]. Looking the potential sedimenting drift profile of the air-blast sprayer, the highest values were mainly found at the upper and lower heights, where the spray did not meet the canopy, and so it had almost no obstacles to cross to the adjacent swath (Figure A3 and Figure A4). This effect was not observed in the case of the right side of TRV applications and was slightly observed in the left side, which showed very low values, and this could be explained because this treatment was the only one whose mean wind direction came from the right side of the tree row, and the wind speed was the lowest (Table 5 and Figure 5).
Regarding the potential airborne drift, the results were different for each plot. In the adult plot, differences were significantly only due to the application sprayer, and the dose expression did not have any significant effect (Table 9). The air-blast sprayer presented significantly higher airborne drift losses than the knapsack sprayer, which is mainly due to the influence of the radial shape of the air-blast sprayer, which produces an airflow profile over the sprayer with a vertical movement and, thus, of the spray cloud, as described in Garcerá et al. [41]. In the young plot, the interaction between the sprayer and the dose expression was significant. In the case of the knapsack sprayer, as was observed with potential sedimenting drift, the potential airborne drift was very low and similar for the two dose expressions, but the air-blast sprayer presented greater losses with the application rate based on LWA than with the one based on TRV (Figure 13f), that is, with the application where a higher spray volume rate was used. In addition, it was observed that the higher the wind speed was and the more transversal to the tree rows the sprayer progressed, the higher the potential airborne drift levels were.
4. Conclusions
This work demonstrated that both the dose expression and the sprayer type affect the distribution of spray in tree canopies and the off-target losses, and this effect also depends on the canopy size, as other authors also pointed out [5,9,10,11].
Regarding the suitability of the dose expression used to calculate the application volume for 3D crops, the results indicated that in the adult plot with large trees, the application rate based on TRV achieved higher coverage and leaf deposition than the one based on LWA. On the other hand, in the young plot, with canopies 0.5 m lower in height but with a volume four times smaller, the coverage and leaf deposition obtained were similar for the application rates based on TRV or LWA. Therefore, as a general rule, it has to be considered that the volume rate based on TRV is a more general expression, which is appropriate for all tree sizes. Because the effect of dose expression in the spray distribution on different canopy sizes may influence the efficacy of control of pests and diseases, future studies about the evaluation of biological efficacy with both dose expressions in different canopy sizes should corroborate this effect.
This work also highlights that the two sprayers evaluated distribute the spray differently in the canopy, and that the differences between them also depended on the size of the vegetation in such a way that the larger the vegetation, the greater these differences, which may affect the efficacy of phytosanitary treatments. In general, it stands out that the air-blast sprayer achieves a better wetting of the underside of the leaves and a greater penetration into the vegetation, achieving a more uniform coverage and deposition through the canopy, while the knapsack produces a very high coverage of the outer canopy, with high levels of deposition, mainly on the upper side of the leaves.
In addition, off-target losses were influenced by the sprayer, with different ways of distributing the spray into the different compartments of the orchard. The knapsack sprayer resulted in lower losses due to potential drift—both airborne and sedimenting—and higher ground losses—both direct and indirect—in comparison with the air-blast sprayer, which is in accordance with the results of other authors [44]. This was mainly due to the high deposition in the outer canopy, which caused runoff of the spray from the tree to the ground and/or direct loss when moving from one tree to the next during the applications. It is worth noting that knapsack spraying is highly dependent on the operator (mode of application, experience, height, complexion, mood, etc.), so the results may vary with another applicator. On the other hand, the radial outlet and the assistance of the air of the air-blast sprayers improve the penetration of the treatment, but, in turn, increase the losses due to drift. Furthermore, this was also affected by the canopy size and the resistance with which it opposes the passage of the spray. In addition, wind conditions during the applications affect the results. Other factors that could affect off-target losses and/or spray deposition, such as droplet size, foliar density, etc., were kept constant in this work to avoid their influence. In previous works, it has been demonstrated that droplet size has almost no influence on spray distribution, nor on the efficacy, but it has a strong influence on off-target losses [42,43,45,46]. The differences observed in the distribution of spray both in the canopy and in off-target losses in different canopy sizes should be taken into account in some way in the efficacy evaluations done for the PPP authorization procedure, where knapsack sprayers and medium-sized trees are normally used, in contrast with the applications done by growers, where air-blast sprayers are used and trees from small to very large sizes are found. In this regard, it has to be born in mind that in all cases, the knapsack sprayer showed higher efficiency of deposition than the air-blast sprayer, and that the deposition efficiency in the young plot was higher than in the adult one.
It is important to highlight that the results of this study depended on the application indexes based on the use of LWA and/or TRV. Furthermore, the influence of leaf density on the definition of the proper method of calculation should also be taken into account [5,36]. Therefore, future works will be devoted to assessing the effects of these factors on the suitability of these two methods of volume rate calculation.
Author Contributions
Conceptualization, C.G., A.S., and P.C.; methodology, C.G. and P.C.; validation, C.G and P.C.; formal analysis, C.G. and A.F.; investigation, C.G. and P.C.; resources, P.C.; data curation, C.G. and A.F.; writing—original draft preparation, C.G., A.F., and R.S.; writing—review and editing, C.G. and P.C.; visualization, C.G. and A.F; supervision, C.G. and P.C.; project administration, P.C.; funding acquisition, A.S. and P.C. All authors have read and agreed to the published version of the manuscript.
Funding
This research was funded by Bayer CropScience and IVIA (project reference 51918).
Acknowledgments
The authors would like to thank Fontestad S.L. for allowing the use of their field orchards.
Conflicts of Interest
The authors declare no conflict of interest.
Nomenclature
| Symbol | Name | Units |
| ACV | Application rate suggested by CitrusVol | L ha−1 |
| Ai | Corresponding i application rate (LWA or TRV) | L ha−1 |
| ALWA | Application rate with LWA method | L ha−1 |
| Atree | Amount per tree of spray liquid | L tree−1 |
| ATRV | Application rate with TRV method | L ha−1 |
| Dc | Mean diameter of the canopy across the row | m |
| Dl | Mean diameter of the canopy along the row | m |
| D1 | Depth 1 in the canopy | Dimensionless |
| D2 | Depth 2 in the canopy | Dimensionless |
| D3 | Depth 3 in the canopy | Dimensionless |
| D4 | Depth 4 in the canopy | Dimensionless |
| Hc | Mean height of the canopy | m |
| ILWA | Index for LWA | L m−2 of LWA ha−1 |
| ITRV | Index for TRV | L m−3 of TRV ha−1 |
| LADt | Leaf area density | m2 of leaves m−3 of canopy |
| LWA | Leaf Wall Area | m2 ha−1 |
| Rd | Distance between rows | m |
| Td | Distance between trees | m |
| TRV | Tree Row Volume | m3 ha−1 |
| Ve | Canopy volume | m3 tree−1 |
| W1 | Width 1 of the canopy | Dimensionless |
| W2 | Width 2 of the canopy | Dimensionless |
| W3 | Width 3 of the canopy | Dimensionless |
| α | Angle used to express the wind direction in the treatments | ° |
Appendix A
Table A1.
Spray coverage (%) (mean (s.e.)), absolute leaf deposition (µL cm−2) (mean (s.e.)), and normalized leaf deposition (μL cm−2 per g of BSF ha−1) (mean (s.e.)) for each treatment combination of plot–sprayer–dose expression.
Table A1.
Spray coverage (%) (mean (s.e.)), absolute leaf deposition (µL cm−2) (mean (s.e.)), and normalized leaf deposition (μL cm−2 per g of BSF ha−1) (mean (s.e.)) for each treatment combination of plot–sprayer–dose expression.
| Treatment | Spray Coverage (%) | Leaf Deposition | |
|---|---|---|---|
| Absolute Values (µL cm−2) | Relative Values (10−4 µL cm−2 per g BSF ha−1) | ||
| Ad-Kna-TRV | 25.96 (2.04) | 1.17 (0.89) | 3.46 (0.16) |
| Ad-Air-TRV | 26.85 (2.88) | 0.82 (0.44) | 2.45 (0.19) |
| Ad-Kna-LWA | 18.37 (0.66) | 0.78 (0.66) | 3.27 (0.03) |
| Ad-Air-LWA | 25.76 (1.95) | 0.6 (0.33) | 2.52 (0.12) |
| Yo-Kna-TRV | 33.47 (2.48) | 1.19 (0.84) | 7.36 (0.30) |
| Yo-Air-TRV | 22.81 (2.06) | 0.88 (0.46) | 5.41 (0.38) |
| Yo-Kna-LWA | 29.92 (1.83) | 1.36 (1.03) | 7.45 (0.26) |
| Yo-Air-LWA | 22.18 (0.51) | 0.93 (0.61) | 5.09 (0.17) |

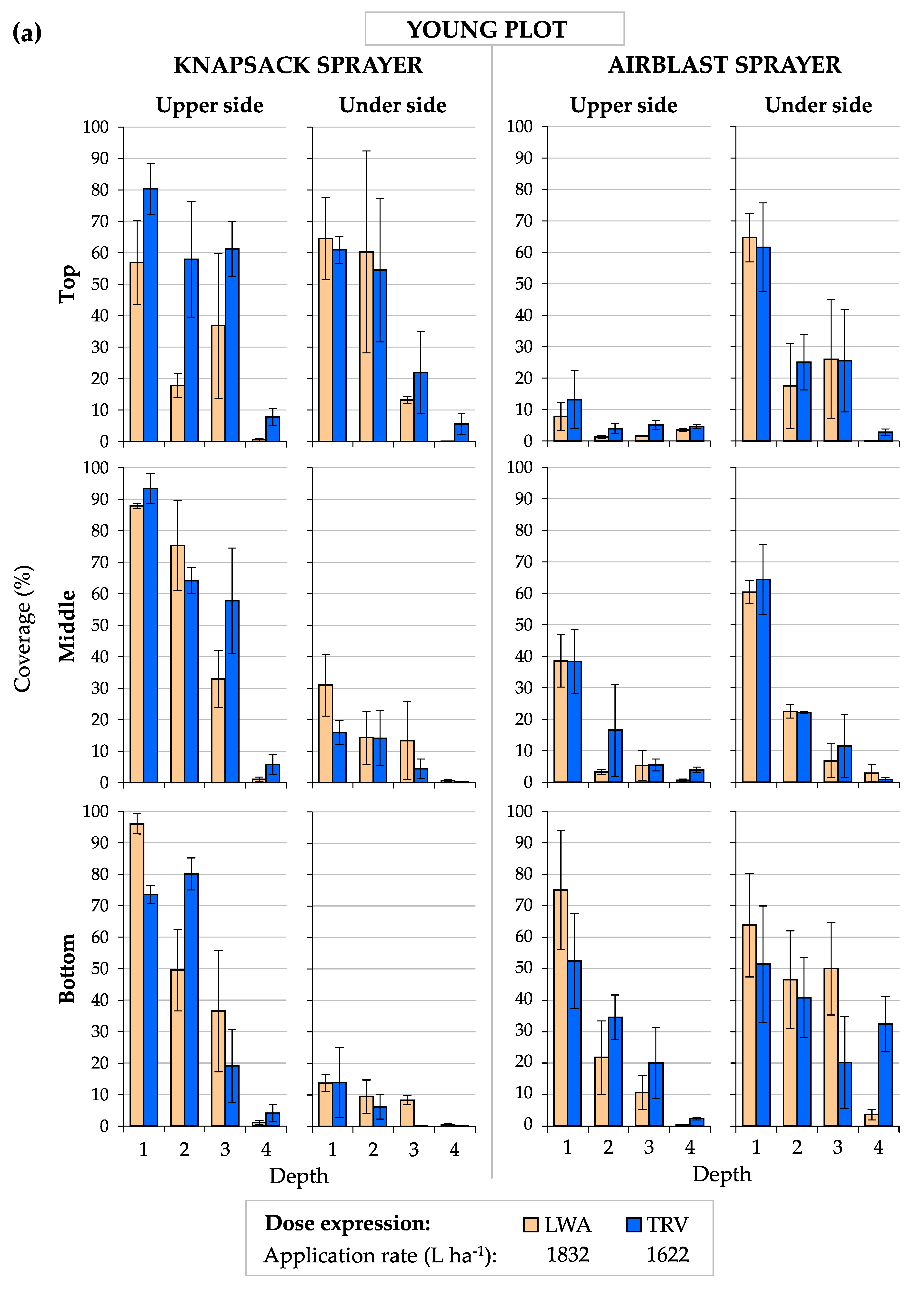
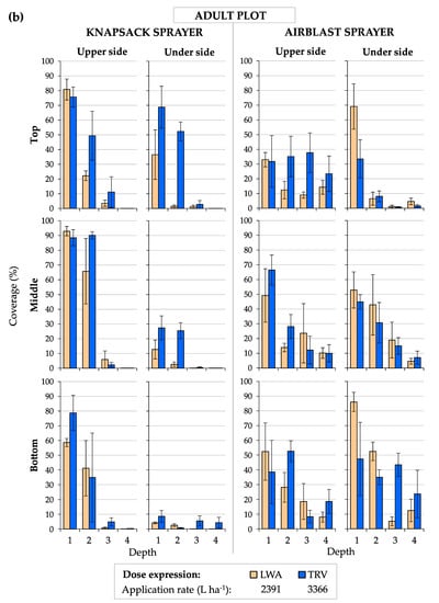
Figure A1.
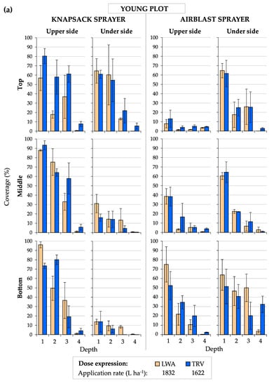
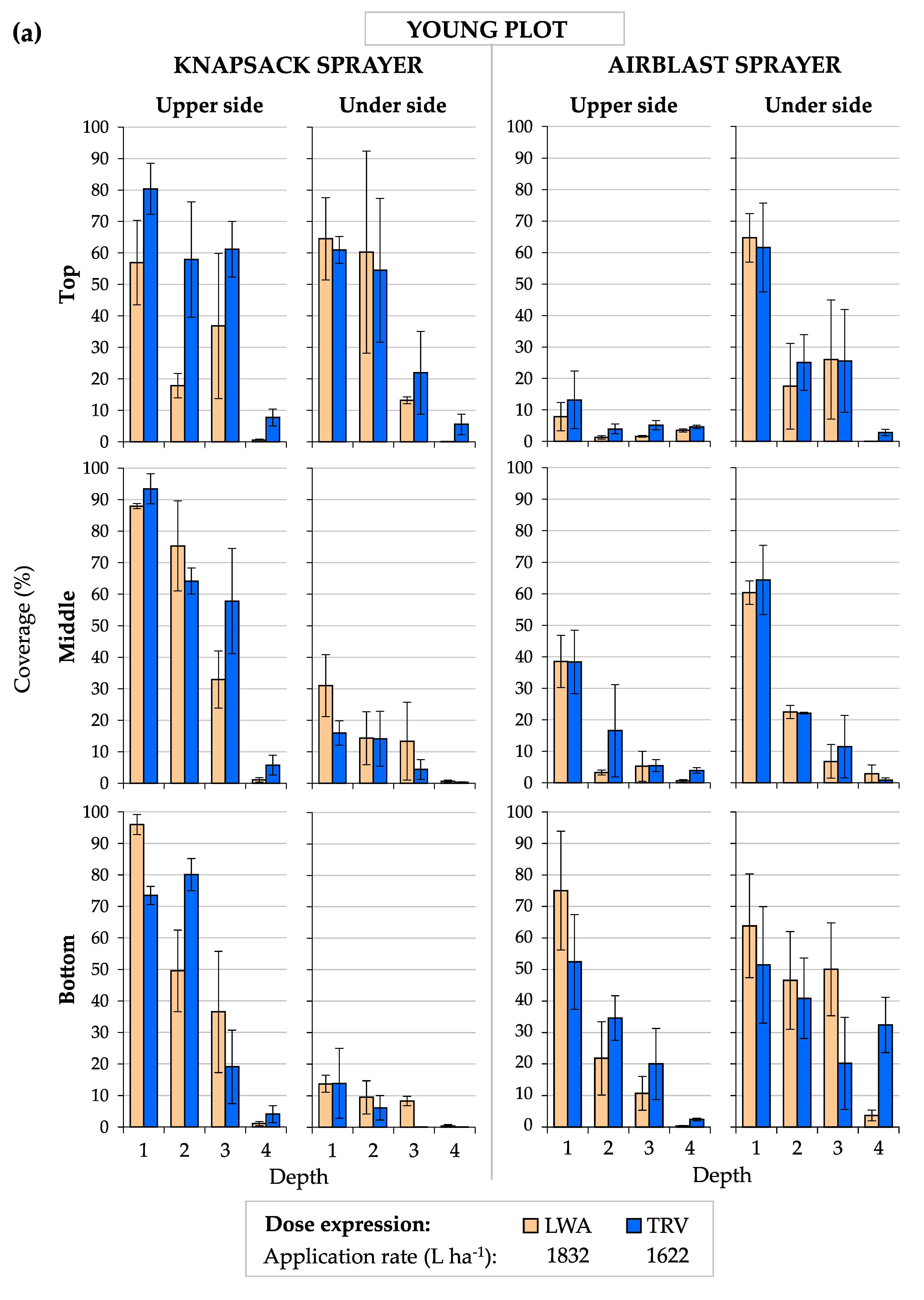
Spray coverage (mean (s.e.), %) in the different areas of the canopy (height, depth, and leaf side) depending on the application sprayer and the dose expression in the (a) young and (b) adult plots.
Figure A1.
Spray coverage (mean (s.e.), %) in the different areas of the canopy (height, depth, and leaf side) depending on the application sprayer and the dose expression in the (a) young and (b) adult plots.


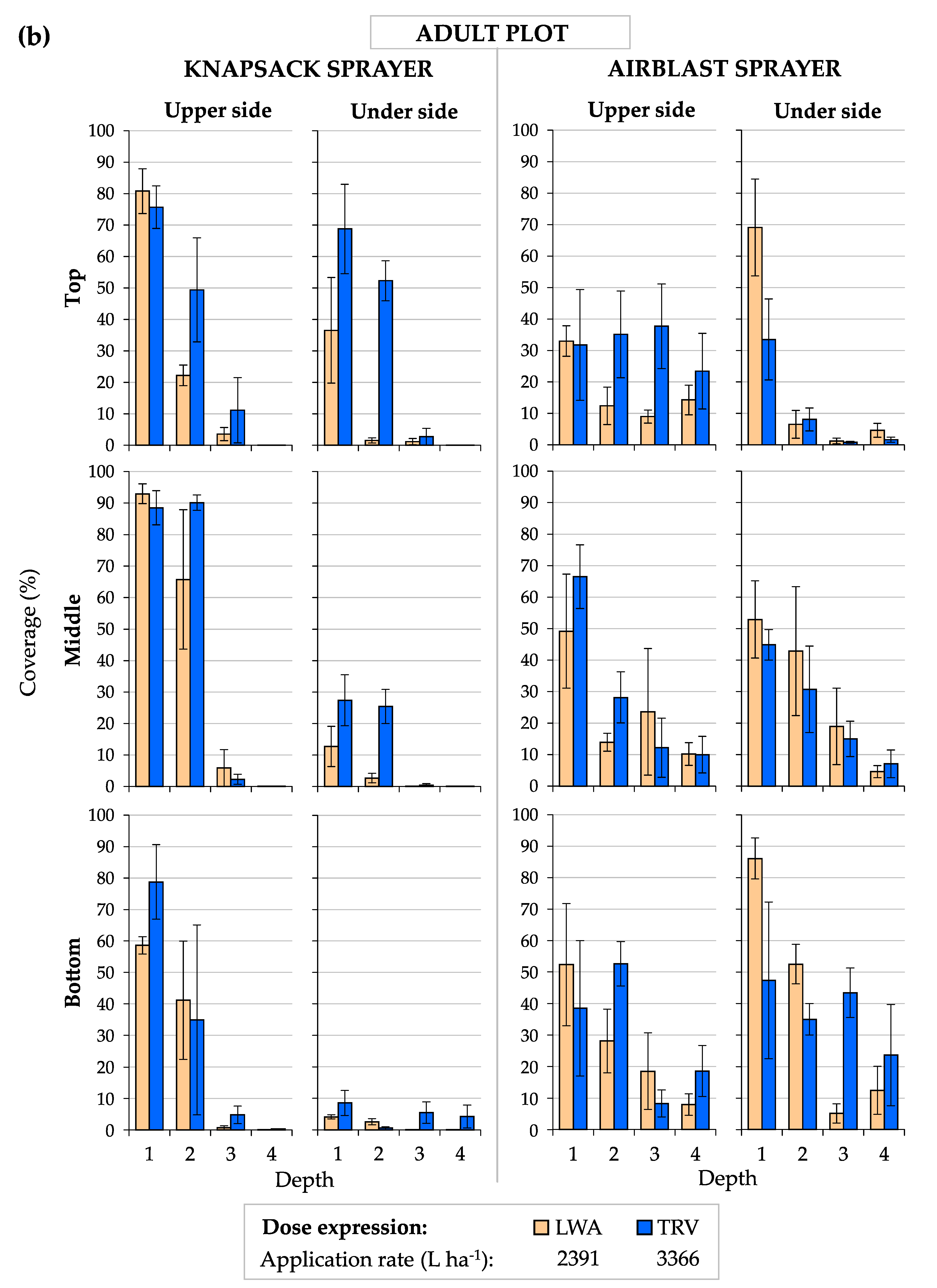
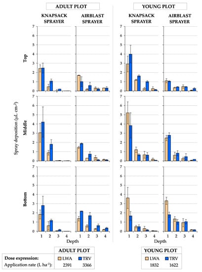
Figure A2.
Spray deposition (mean (s.e.), µL cm−2) in the different areas of the tree canopy (height and depth) depending on the application sprayer and the dose expression in the adult and young plots.
Figure A2.
Spray deposition (mean (s.e.), µL cm−2) in the different areas of the tree canopy (height and depth) depending on the application sprayer and the dose expression in the adult and young plots.

Appendix B
Figure A3.
Off-target losses (mean (s.e.), µL cm−2) with the knapsack and the air-blast sprayer in the adult plot and with dose expression using (a) LWA and (b) TRV.
Figure A3.
Off-target losses (mean (s.e.), µL cm−2) with the knapsack and the air-blast sprayer in the adult plot and with dose expression using (a) LWA and (b) TRV.

Figure A4.
Off-target losses (mean (s.e.), µL cm−2) with the knapsack and the air-blast sprayer in the young plot and with dose expression using (a) LWA and (b) TRV.
Figure A4.
Off-target losses (mean (s.e.), µL cm−2) with the knapsack and the air-blast sprayer in the young plot and with dose expression using (a) LWA and (b) TRV.

Table A2.
Accumulated off-target losses (mean (s.e.), µL cm−2) for each treatment combination of plot–sprayer–dose expression.
Table A2.
Accumulated off-target losses (mean (s.e.), µL cm−2) for each treatment combination of plot–sprayer–dose expression.
| Treatment | Ground Losses | Potential Sedimenting Drift | Potential Airborne Drift |
|---|---|---|---|
| Ad-Kna-TRV | 49.51 (0.13) | 0.84 (0.18) | 0.84 (0.1) |
| Ad-Air-TRV | 13.85 (1.35) | 6.55 (1.87) | 10.48 (2.33) |
| Ad-Kna-LWA | 43.35 (4.26) | 1.34 (0.51) | 1.67 (0.45) |
| Ad-Air-LWA | 6.1 (0.67) | 12.03 (0.76) | 10.4 (3.32) |
| Yo-Kna-TRV | 32.33 (8.24) | 3.15 (0.33) | 1.24 (0.51) |
| Yo-Air-TRV | 2.76 (1.08) | 17.66 (3.2) | 8.61 (0.55) |
| Yo-Kna-LWA | 18.26 (1.38) | 1.67 (0.31) | 1.01 (0.22) |
| Yo-Air-LWA | 7.47 (2.03) | 47.84 (8.55) | 26.43 (6.94) |
References
- Simon, S.; Bouvier, J.-C.; Debras, J.-F.; Sauphanor, B. Biodiversity and pest management in orchard systems. A review. Agron. Sustain. Dev. 2010, 30, 139–152. [Google Scholar] [CrossRef]
- FAO (Food and Agriculture Organization of the United Nations). Available online: http://www.fao.org/faostat/en/#home (accessed on 12 October 2020).
- Eurostat. The Use of Plant Protection Products in the European Union. Data 1992–2003. Eurostat Report 2007; Eurostat: Luxembourg, 2007; pp. 1–215. [Google Scholar]
- EC (European Commission). Directive 2009/128/EC of the European Parliament and of the Council of 21 October 2009 Establishing a Framework for Community Action to Achieve the Sustainable Use of Pesticides; OJ L 309/71; European Commission: Auderghem, Belgium, 2009; pp. 1–16. [Google Scholar]
- Garcerá, C.; Doruchowski, G.; Chueca, P. Harmonization of plant protection products dose expression and dose adjustment for high growing 3D crops: A review. Crop. Prot. 2020, 140, 105417. [Google Scholar] [CrossRef]
- EPPO. Workshop on Harmonized Dose Expression for the Zonal Evaluation of Plant Protection Products in High Growing Crops; Austrian Agency for Health and Food Safety (AGES): Vienna, Austria, 2016; Available online: https://www.eppo.int/MEETINGS/2016_meetings/wk_dose_expression (accessed on 26 October 2020).
- European Crop Protection Association (ECPA, Etterbeek, Brussels, Belgium). Personal communication, 2020.
- EPPO. Standard of the EPPO No. PP 1/225(1)—Minimum effective dose. EPPO Standards—Efficacy evaluation of plant protection products. EPPO Bull. 2012, 42, 403–404. [Google Scholar] [CrossRef]
- SDTF (Spray Drift Task Force). A Summary of Airblast Application Studies. Report; Stewart Agricultural Research Services Inc.: Macon, MO, USA, 1997; 12p. [Google Scholar]
- Praat, J.-P.; Maber, J.; Manktelow, D. The effect of canopy development and sprayer position on spray drift from a pipfruit orchard. N. Z. Plant Prot. 2000, 53, 241–247. [Google Scholar] [CrossRef]
- Holownicki, R.; Doruchowski, G.; Godyn, A.; Swiechowski, W. Variation of spray deposit and loss with air-jet directions applied in orchards. J. Agric. Eng. Res. 2000, 77, 129–136. [Google Scholar] [CrossRef]
- Abràmoff, M.D.; Magalhães, P.J.; Ram, S.J. Image processing with ImageJ. Biophotonics Int. 2004, 11, 36–42. [Google Scholar]
- Rasband, W.S. ImageJ. 1997–2018; U.S. National Institutes of Health: Bethesda, MD, USA. Available online: https://imagej.nih.gov/ij/ (accessed on 26 October 2020).
- Garcerá, C.; Fonte, A.; Moltó, E.; Chueca, P. Sustainable Use of Pesticide Applications in Citrus: A Support Tool for Volume Rate Adjustment. Int. J. Environ. Res. Public Health 2017, 14, 715. [Google Scholar] [CrossRef]
- Fonte, A.; Garcerá, C.; Tena, A.; Chueca, P. CitrusVol Validation for the Adjustment of Spray Volume in Treatments against Tetranychus urticae in Clementines. Agronomy 2019, 10, 32. [Google Scholar] [CrossRef]
- BOE (Boletín Oficial del Estado). Real Decreto 1311/2012, de 14 de Septiembre, por el que se Establece el Marco de Actuación para Conseguir un uso Sostenible de los Productos Fitosanitarios; Boletín Oficial del Estado: Madrid, Spain, 2012; pp. 65127–65171. (In Spanish) [Google Scholar]
- ISO 16122-3. Agricultural and Forestry Machinery. Inspection of Sprayers in Use. Part 3: Sprayers for Bush and Tree Crops; International Organization for Standardization: Geneva, Switzerland, 2015. [Google Scholar]
- Albert, F.; Aleixos, N.; Blasco, J.; Cubero, S. Food Color Inspector. 2013. Available online: http://www.cofilab.com/registered-software/ (accessed on 26 October 2020).
- ISO 3696. Water for Analytical Laboratory Use—Specification and Test Methods; International Organization for Standardization: Geneva, Switzerland, 1996. [Google Scholar]
- Koch, H.; Spieles, M.; Ringeisen, W. A contribution to evaluate the distribution performance of air blast sprayers in orchards. Gesunde Pflanz. 1992, 44, 415–423. [Google Scholar]
- Martin, J.; Siebers, J.; Laermann, H.T.; Heinrich-Siebers, E. Studies on the distribution of spray deposits in the crown of apple trees of different crown volume as a contribution to the harmonization of dosage of plant protection products. Nachr. Deutsch. Z. Obst-Weinbau 1998, 135, 1–12. (In German) [Google Scholar]
- Pergher, G.; Petris, R. Pesticide dose adjustment in vineyard spraying and potential for dose reduction. Agric. Eng. Int. CIGR J. 2008, 1–9. [Google Scholar]
- Pergher, G.; Zucchiatti, N. Influence of canopy development in the vineyard on spray deposition from a tunnel sprayer. J. Agric. Eng. 2018, 49, 164–173. [Google Scholar] [CrossRef]
- Sutton, T.B.; Unrath, C.R. Evaluation of the tree-row-volume concept with density adjustments in relation to spray deposits in apple orchards. Plant Dis. 1984, 68, 480–484. [Google Scholar] [CrossRef]
- Herrera-Aguirre, E.; Unrath, C.R. Chemical thinning response of “Delicious” apples to volume of applied water. HortScience 1980, 15, 43–44. [Google Scholar]
- Walklate, P.; Cross, J.; Richardson, G.; Baker, D. Optimising the adjustment of label-recommended dose rate for orchard spraying. Crop. Prot. 2006, 25, 1080–1086. [Google Scholar] [CrossRef]
- Walklate, P.; Cross, J.; Pergher, G. Support system for efficient dosage of orchard and vineyard spraying products. Comput. Electron. Agric. 2011, 75, 355–362. [Google Scholar] [CrossRef]
- Walklate, P.J.; Cross, J.V. Orchard Spraying: Opportunities to Reduce Rates; Horticultural Development Council: East Malling, Kent, UK, 2005. Available online: http://www.hse.gov.uk/pesticides/resources/H/HDC_Factsheet_20-05_Tree_Fruit.pdf (accessed on 26 October 2020).
- Walklate, P.; Cross, J. An examination of Leaf-Wall-Area dose expression. Crop. Prot. 2012, 35, 132–134. [Google Scholar] [CrossRef]
- Ferree, D.; Hall, F. Canopy Development, Light and Spray Penetration in Golden Delicious Trees in Four Management Systems. Acta Hortic. 1981, 114, 91–99. [Google Scholar] [CrossRef]
- Seeley, E.J. Limiting fruit pesticide usage is worthy of consideration. Good Fruit Grow. 1991, 1, 7–9. [Google Scholar]
- Miller, P.; Mayer, R. Applying “vine row volume” (plant row volume or PRV) principles to rate selection and spray machinery operations. In Proceedings of the Australian Society of Viticulture and Oenology Seminar: Canopy Management, Mildura, Australia, 18 August 1994; pp. 30–32. [Google Scholar]
- Steffek, R.; Reisenzein, H.; Persen, U. Tree-row-volume—A new way for the registration of pesticides in orchards?—Results of three-years’ field trials. Pflanzenschutzberichte 1999, 58, 13–22. (In German) [Google Scholar]
- Steffek, R.; Reisenzein, H.; Persen, U. Tree-Row-Volume a New Way for the Registration of Plant-Protective Agents in Orchards? Results of 3-Year Field Trials in Austrian Apple Orchards. Acta Hortic. 2000, 525, 195–200. [Google Scholar] [CrossRef]
- Manktelow, D.W.L.; Praat, J.P. The tree-row-volume spraying system and its potential use in New Zealand. In Proceedings of the 50th New Zealand Plant Protection Conference, Lincoln, New Zealand, 18–21 August 1997; pp. 119–124. [Google Scholar]
- Rüegg, J.; Siegfried, W.; Holliger, E.; Viret, O.; Raisigl, U. Anpassung der Menge des Pflanzenschutzmittels an das Baumvolumen der Kernund Steinobstbäume (In German; Adjustment of the amount of plant protection product to the tree volume of pome and stone fruit trees). Pflanzenschutz Obstbau 1999, 9, 237–240. [Google Scholar]
- Gil, E.; Escolà, A.; Rosell, J.; Planas, S.; Val, L. Variable rate application of plant protection products in vineyard using ultrasonic sensors. Crop. Prot. 2007, 26, 1287–1297. [Google Scholar] [CrossRef]
- Llorens, J.; Gil, E.; Llop, J.; Escola, A. Variable rate dosing in precision viticulture: Use of electronic devices to improve application efficiency. Crop. Prot. 2010, 29, 239–248. [Google Scholar] [CrossRef]
- Salcedo, R.; Garcera, C.; Granell, R.; Molto, E.; Chueca, P. Description of the airflow produced by an air-assisted sprayer during pesticide applications to citrus. Span. J. Agric. Res. 2015, 13, e0208. [Google Scholar] [CrossRef]
- Derksen, R.C.; Zhu, H.; Fox, R.D.; Brazee, R.D.; Krause, C.R. Coverage and Drift Produced by Air Induction and Conventional Hydraulic Nozzles Used for Orchard Applications. Trans. ASABE 2007, 50, 1493–1501. [Google Scholar] [CrossRef]
- Jamar, L.; Mostade, O.; Huyghebaert, B.; Pigeon, O.; Lateur, M. Comparative performance of recycling tunnel and conventional sprayers using standard and drift-mitigating nozzles in dwarf apple orchards. Crop. Prot. 2010, 29, 561–566. [Google Scholar] [CrossRef]
- Garcerá, C.; Moltó, E.; Chueca, P. Spray pesticide applications in Mediterranean citrus orchards: Canopy deposition and off-target losses. Sci. Total. Environ. 2017, 599, 1344–1362. [Google Scholar] [CrossRef]
- Garcerá, C.; Román, C.; Moltó, E.; Abad, R.; Insa, J.A.; Torrent, X.; Planas, S.; Chueca, P. Comparison between standard and drift reducing nozzles for pesticide application in citrus: Part II. Effects on canopy spray distribution, control efficacy of Aonidiella aurantii (Maskell), beneficial parasitoids and pesticide residues on fruit. Crop. Prot. 2017, 94, 83–96. [Google Scholar] [CrossRef]
- Meli, S.M.; Renda, A.; Nicelli, M.; Capri, E. Studies on pesticide spray drift in a Mediterranean citrus area. Agronomie 2003, 23, 667–672. [Google Scholar] [CrossRef]
- Lešnik, M.; Pintar, C.; Lobnik, A.; Kolar, M. Comparison of the effectiveness of standard and drift-reducing nozzles for control of some pests of apple. Crop. Prot. 2005, 24, 93–100. [Google Scholar] [CrossRef]
- McArtney, S.; Obermiller, J. Comparative Performance of Air-induction and Conventional Nozzles on an Axial Fan Sprayer in Medium Density Apple Orchards. HortTechnology 2008, 18, 365–371. [Google Scholar] [CrossRef]
Publisher’s Note: MDPI stays neutral with regard to jurisdictional claims in published maps and institutional affiliations. |
© 2020 by the authors. Licensee MDPI, Basel, Switzerland. This article is an open access article distributed under the terms and conditions of the Creative Commons Attribution (CC BY) license (http://creativecommons.org/licenses/by/4.0/).













