Composite Electrolytes for Non-Lithium-Ion Batteries †
Abstract
1. Introduction
- Wide available electrode potential window or window of electrochemical stability;
- High ionic conductivity at common operating temperatures;
- Sufficient chemical and electrochemical stability;
- Compatibility with electrode and separator materials;
- Thermal stability;
- Environmental compatibility;
- Low price;
- Sustainable resources.
- Enhanced ionic conductivity;
- Wider range of operating temperatures;
- Improved mechanical stability;
- Better long-term stability;
- Increased thermal stability.
- Perovskites, e.g., (Li,La)TiO3;
- Garnet-like Li5La3M2O12 (with M = transition metal);
- Mostly amorphous glasses of lithium nitrides, sulfides, borates, or phosphates like lithium phosphoroxydnitride (LiPON);
- “Super ion conductors” of the LISICON or NASICON type: Li(Na)M2(PO4)3 (M = Ti(IV), Zr(IV), Ge(IV));
- Lithium salts like LiI in Li/I2 batteries [11].
2. Electrolyte Tasks and Challenges
2.1. Composite Electrolytes
2.1.1. Composites with Polymer Hosts
2.1.2. Binary Composites
3. The Materials
3.1. Room-Temperature Systems
3.1.1. Sodium and Sodium-Ion Batteries
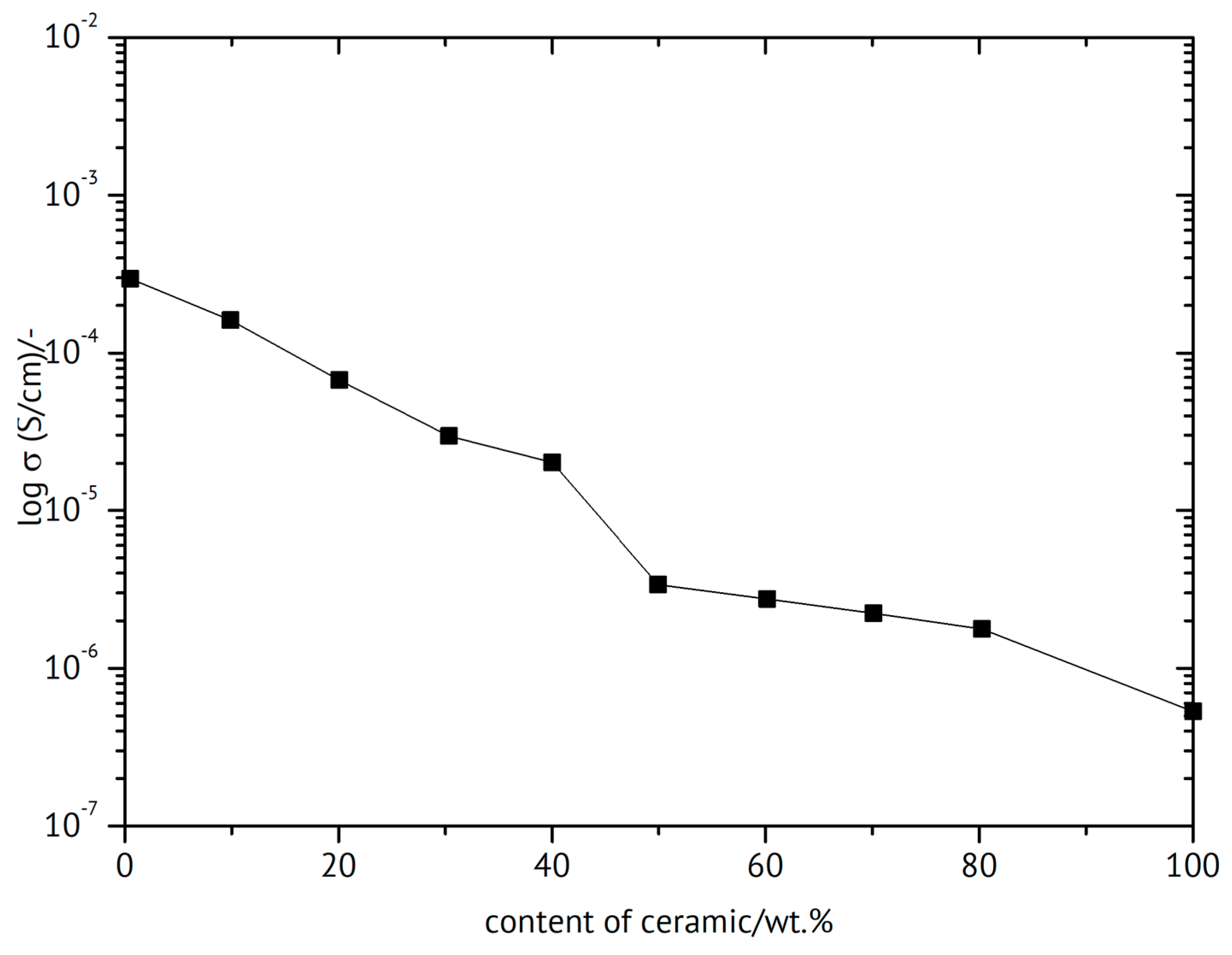
Inorganic Materials
PVA-Based Materials
PEO-Based Materials
PVDF-Based Materials
Other Polymer-Based Materials
3.1.2. Potassium and Potassium-Ion Batteries
3.1.3. Magnesium and Magnesium-Ion Batteries
Inorganic Electrolytes
PEO-Based Electrolytes
PVA-Based Electrolytes
PVDF-Based Electrolytes
Other Polymer-Based Electrolytes
3.1.4. Calcium and Calcium-Ion Batteries
3.1.5. Zinc and Zinc-Ion Batteries
PVA-Based Electrolytes
PAM-Based Electrolytes
Biopolymer-Based Electrolytes
Miscellaneous Electrolytes
Zinc–Air Batteries
Electrolytes for Structural Batteries
3.1.6. Aluminum and Aluminum-Ion Batteries
3.1.7. Further Battery Chemistries
3.1.8. General Aspects and Miscellaneous Observations
3.2. Elevated Temperature Systems
4. Conclusions
- Enhanced ionic conductivity;
- Increased transference number of the ion (mostly the cation) of interest;
- Stronger adherence to electrode(s);
- Better inhibition of dendrite formation at the negative electrode;
- Better water retention for hydrogels;
- Higher thermal and mechanical stability;
- Self-healing.
Funding
Data Availability Statement
Acknowledgments
Conflicts of Interest
References
- Kortüm, G. Lehrbuch der Elektrochemie, 4th ed.; Verlag Chemie: Weinheim, Germany, 1966. [Google Scholar]
- Robinson, R.A.; Stokes, R.H. Electrolyte Solutions; Academic Press Inc.: New York, NY, USA, 1955. [Google Scholar]
- Harned, H.S.; Owen, B.B. Physical Chemistry of Electrolyte Solutions, 3rd ed.; Reinhold Publishing Corp.: New York, NY, USA, 1957. [Google Scholar]
- Wright, M.R. An Introduction to Aqueous Electrolyte Solutions; WILEY: Chichester, UK, 2007. [Google Scholar]
- Holze, R. Landolt-Börnstein: Numerical Data and Functional Relationships in Science and Technology—New Series; Group IV: Physical Chemistry; Volume 9: Electrochemistry, Sub-Volume B: Ionic Conductivities of Liquid Systems, Part 1: Molten Salts and Ionic Liquids; Martienssen, W., Lechner, M.D., Eds.; Springer: Berlin/Heidelberg, Germany, 2015. [Google Scholar]
- Holze, R. Between the Electrodes of a Supercapacitor: An Update on Electrolytes. Adv. Mater. Sci. Technol. 2024, 6, 0627771. [Google Scholar] [CrossRef]
- Fan, X.; Zhong, C.; Liu, J.; Ding, J.; Deng, Y.; Han, X.; Zhang, L.; Hu, W.; Wilkinson, D.P.; Zhang, J. Opportunities of Flexible and Portable Electrochemical Devices for Energy Storage: Expanding the Spotlight onto Semi-solid/Solid Electrolytes. Chem. Rev. 2022, 122, 17155–17239. [Google Scholar] [CrossRef] [PubMed]
- Chen, X.; Holze, R. Polymer Electrolytes for Supercapacitors. Polymers 2024, 16, 3164. [Google Scholar] [CrossRef] [PubMed]
- Chai, S.; He, Q.; Zhou, J.; Chang, Z.; Pan, A.; Zhou, H. Solid-State Electrolytes and Electrode/Electrolyte Interfaces in Rechargeable Batteries. ChemSusChem 2024, 17, e202301268. [Google Scholar] [CrossRef]
- Murugan, R.; Weppner, W. (Eds.) Solid Electrolytes for Advanced Applications; Springer: Cham, Switzerland, 2019. [Google Scholar]
- Mallela, V.S.; Ilankumaran, V.; Rao, N.S. Trends in cardiac pacemaker batteries. Ind. Pac. Electrophysiol. J. 2004, 4, 201–212. [Google Scholar]
- Liang, C.C. Conduction characteristics of lithium iodide aluminum oxide solid electrolytes. J. Electrochem. Soc. 1973, 120, 1289–1292. [Google Scholar] [CrossRef]
- Liang, C.C.; Joshi, A.V.; Hamilton, N.E. Solid-state storage batteries. J. Appl. Electrochem. 1978, 8, 445–454. [Google Scholar] [CrossRef]
- Shahi, K.; Wagner, J.B. Ionic-conductivity and thermoelectric-power of pure and Al2O3-dispersed Agl. J. Electrochem. Soc. 1981, 128, 6–13. [Google Scholar] [CrossRef]
- Phipps, J.B.; Whitmore, D.J. Interfacial conduction in lithium iodide containing inert oxides. J. Power Sources 1983, 9, 373–378. [Google Scholar] [CrossRef]
- Phipps, J.B.; Whitmore, D.H. Ion-transport in LiI-SiO2 composites. Solid State Ion. 1983, 9–10, 123–130. [Google Scholar] [CrossRef]
- Nakamura, O.; Goodenough, J.B. Conductivity enhancement of lithium bromide monohydrate by AL2O3 particles. Solid State Ion. 1982, 7, 119–123. [Google Scholar] [CrossRef]
- Jow, T.; Wagner, J.B. Effect of dispersed alumina particles on the electrical-conductivity of cuprous chloride. J. Electrochem. Soc. 1979, 126, 1963–1972. [Google Scholar] [CrossRef]
- Maier, J. Space-charge regions in solid 2-phase systems and their conduction contribution—I. Conductance enhancement in the system ionic conductor-inert phase and application on agcl-AL2O3 and agcl-SIO2. J. Phys. Chem. Sol. 1985, 46, 309–320. [Google Scholar] [CrossRef]
- Bunde, A.; Dietrich, W.; Roman, E. Dispersed ionic conductors and percolation theory. Phys. Rev. Lett. 1985, 55, 5–8. [Google Scholar] [CrossRef]
- Wieczorek, W.; Stevens, J.R.; Florjańczyk, Z. Composite polyether based solid electrolytes. The Lewis acid-base approach. Solid State Ion. 1996, 85, 67–72. [Google Scholar] [CrossRef]
- Jander, W. Neuere Forschungen über Diffusion und elektrische Leitfähigkeit fester Salze. Z. Angew. Chem. 1929, 42, 462–467. [Google Scholar] [CrossRef]
- Hu, C.; Shen, Y.; Shen, M.; Liu, X.; Chen, H.; Liu, C.; Kang, T.; Jin, F.; Li, L.; Li, J.; et al. Superionic Conductors via Bulk Interfacial Conduction. J. Am. Chem. Soc. 2020, 142, 18035–18041. [Google Scholar] [CrossRef]
- Burazer, S.; Popovic, J. Mechanochemical Synthesis of Solid-State Electrolytes. Inorganics 2024, 12, 54. [Google Scholar] [CrossRef]
- Wright, P.V. Electrical Conductivity in Ionic Complexes of Poly(ethylene oxide). Br. Polym. J. 1975, 7, 319–327. [Google Scholar] [CrossRef]
- Weston, J.E.; Steele, B.H. Effects of inert fillers on the mechanical and electrochemical properties of lithium salt-poly(ethylene oxide) polymer electrolytes. Solid State Ion. 1982, 7, 75–79. [Google Scholar] [CrossRef]
- Croce, F.; Curini, R.; Martinelli, A.; Persi, L.; Ronci, F.; Scrosati, B.; Caminiti, R. Physical and chemical properties of nanocomposite polymer electrolytes. J. Phys. Chem. B 1999, 103, 10632–10638. [Google Scholar] [CrossRef]
- Croce, F.; Appetecchi, G.B.; Persi, L.; Scrosati, B. Nanocomposite polymer electrolytes for lithium batteries. Nature 1998, 394, 456–458. [Google Scholar] [CrossRef]
- Appetecchi, G.B.; Croce, F.; Persi, L.; Ronci, F.; Scrosati, B. Transport and interfacial properties of composite polymer electrolytes. Electrochim. Acta 2000, 45, 1481–1490. [Google Scholar]
- Croce, F.; Persi, L.; Scrosati, B.; Serraino-Fiory, F.; Plichta, E.; Hendrickson, M.A. Role of the ceramic fillers in enhancing the transport properties of composite polymer electrolytes. Electrochim. Acta 2001, 46, 2457–2461. [Google Scholar]
- Popovic, J.; Brandell, D.; Ohno, S.; Hatzell, K.B.; Zheng, J.; Hu, Y.Y. Polymer-based hybrid battery electrolytes: Theoretical insights, recent advances and challenges. J. Mater. Chem. A 2021, 9, 6050–6069. [Google Scholar] [CrossRef]
- Kim, J.K.; Lim, Y.J.; Kim, H.; Cho, G.B.; Kim, Y. A hybrid solid electrolyte for flexible solid-state sodium batteries. Energy Environ. Sci. 2015, 8, 3589–3596. [Google Scholar] [CrossRef]
- Patel, D.; Dharmesh, A.; Sharma, Y.; Rani, P.; Sharma, A.K. Hybrid electrolyte with biomass-derived carbon host for high-performance aqueous Zn-S battery. Chem. Eng. J. 2024, 479, 147722. [Google Scholar]
- Toprakci, H.A.K.; Toprakci, O. Recent Advances in New-Generation Electrolytes for Sodium-Ion Batteries. Energies 2023, 16, 3169. [Google Scholar] [CrossRef]
- Peljo, P.; Girault, H.H. Electrochemical potential window of battery electrolytes: The HOMO-LUMO misconception. Energy Environ. Sci. 2018, 11, 2306–2309. [Google Scholar] [CrossRef]
- García, Y.; O’Dell, L.A. Understanding the interfacial region in organic ionic plastic crystal composite electrolyte materials by solid-state NMR. Curr. Opin. Colloid Interf. Sci. 2022, 61, 101632. [Google Scholar]
- Patil, A.M.; You, H.M.; Jadhav, A.A.; Hong, J.; Das, S.K.; Dhas, S.D.; Lim, T.J.; Lee, E.; Chung, K.Y.; Kim, K.; et al. Dual Strategies of Na+ Electrolyte Additives and Dendrites Protective Ti3C2TX-MXene/Zn Anode with 2D MXene Nanosheet Encased Niobium Pyrophosphate (NbP2O7) Composite Binder-Free Cathode for Stable Zinc-Ion Storage. Adv. Energy Mater. 2025, 15, 2403322. [Google Scholar] [CrossRef]
- Hu, X.; Matios, E.; Zhang, Y.; Wang, C.; Luo, J.; Li, W. Deeply Cycled Sodium Metal Anodes at Low Temperature and in Lean Electrolyte Conditions. Angew. Chem. Int. Ed. 2021, 60, 5978–5983. [Google Scholar] [CrossRef] [PubMed]
- Zhang, Y.; Zhang, Z.; Zhao, F.; Gu, C.; Liu, Y.; Sun, Q. Effect of Na2SiO3 and TEA Electrolyte Additives on the Corrosion Inhibition of Zinc Electrodes and Electrochemical Performance of Rechargeable Alkaline Manganese Batteries. J. Electrochem. Soc. 2023, 170, 110507. [Google Scholar] [CrossRef]
- Getie, F.A.; Ayele, D.W.; Habtu, N.G.; Yemata, T.A.; Yihun, F.A.; Ambaw, M.D.; Worku, A.K. Development of zinc nitrate hexahydrate salt (ZNH)/ethylene glycol (EG) binary composite deep eutectic electrolytes. Int. J. Electrochem. Sci. 2024, 19, 100616. [Google Scholar] [CrossRef]
- Liu, Y.; Ji, X.; Li, J.; Yang, L.; Cheng, S. Achievement of advanced alkaline Ni-Zn batteries with good durability at a high areal capacity of 10 mAh cm−2 via the synergistic regulation of dual electrolyte additives. Chem. Eng. J. 2024, 499, 155757. [Google Scholar] [CrossRef]
- Yang, H.; Zhang, Z.; Cai, J.; Fan, D.; Zhao, F. Effect of Na2SiO3 and SDBS electrolyte additives on corrosion inhibition of zinc electrodes and electrochemical performance of zinc-air batteries. J. Mater. Sci. Mater. Electron. 2023, 34, 697. [Google Scholar] [CrossRef]
- Zhang, J.; Yuan, N.; Liu, J.; Guo, X.; Chen, X.; Zhou, Z.; Zhang, Z.; Li, G. Activation mechanism of conventional electrolytes with amine solvents: Species evolution and hydride-containing interphase formation. J. Energy Chem. 2024, 98, 615–622. [Google Scholar] [CrossRef]
- Qi, Y.; Xia, Y. Electrolyte Regulation Strategies for Improving the Electrochemical Performance of Aqueous Zinc-Ion Battery Cathodes. Acta Phys. Chim. Sin. 2023, 39, 2205045. [Google Scholar] [CrossRef]
- Zhang, X.; Deng, Z.; Xu, C.; Deng, Y.; Jia, Y.; Luo, H.; Wu, H.; Cai, W.; Zhang, Y. Electrolyte Engineering via Competitive Solvation Structures for Developing Longevous Zinc Ion Batteries. Adv. Energy Mater. 2023, 13, 2302749. [Google Scholar] [CrossRef]
- Lee, Y.H.; Park, E.; Sung, Y.E.; Yu, S.H. Side Reaction Pathway Modulation for Hydrogen Evolution-Free Aqueous Zn-Ion Batteries. Adv. Funct. Mater. 2025, 35, e12884. [Google Scholar] [CrossRef]
- Chen, L.; Zhong, F.; Zan, J. Discharge property and voltage delay of AZ31B Mg alloy in Mg(NO3)2/Mg(ClO4)2 composite electrolyte. J. Chin. Soc. Corros. Prot. 2018, 38, 197–202. [Google Scholar]
- Chen, C.; Chen, J.; Tan, S.; Gao, Z.; Huang, X.; He, Z.; Huang, J.; Deng, R.; Xiong, F.; Huang, G.; et al. Semi-Chelation Solvation Enables High Interface Compatibilities with both Anode and Cathode in a Bulky Mg[B(HFIP)4]2 Electrolyte. Adv. Funct. Mater. 2025, 35, 2505843. [Google Scholar] [CrossRef]
- Dingzheng Li, C.; Li, W.; Liu, H.; Bu, X.; Zhang, T.; Li, J.; Zhang, M.; Kong, X.; Wang, C.; Wang, X. Xu Constructing a Multifunctional SEI Layer Enhancing Kinetics and Stabilizing Zinc Metal Anode. Adv. Funct. Mater. 2025, 35, 2415107. [Google Scholar]
- Chen, L.B.; Han, Y.P.; Wang, Z.W.; Li, Q.H.; Zhang, J. Outer Helmholtz Plane Regulation and In Situ Zn Surface Reconstruction for Highly Reversible Zn Anodes. Adv. Funct. Mater. 2023, 33, 2308023. [Google Scholar] [CrossRef]
- Zhang, J.; Zhou, C.; Xie, Y.; Nan, Q.; Gao, Y.; Li, F.; Rao, P.; Li, J.; Tian, X.; Shi, X. Inorganic Electrolyte Additive Promoting the Interfacial Stability for Durable Zn-Ion Batteries. Small 2024, 20, 2404237. [Google Scholar] [CrossRef] [PubMed]
- Tu, H.; Li, X.; Zhou, Y.; Wang, Z.; Wu, R.; Zhou, H.; Meng, C.; Xue, Y.; Khan, I.; Yuan, A. Enhancing Zn Anode Reversibility via Solvation Structure Reconstruction by a Trimethyl Phosphate Additive. ACS Appl. Energy Mater. 2024, 7, 4385–4393. [Google Scholar] [CrossRef]
- Trivedi, M. The promise beyond lithium-ion technology: Dream vs. reality. Bunsen-Mag. 2025, 27, 201–203. [Google Scholar]
- Yuan, X.; Fu, L.; Liu, L.; Wu, Y. Solid-state batteries: Facts and fiction. Bunsen-Mag. 2025, 27, 198–200. [Google Scholar]
- Kulova, T.L.; Fateev, V.N.; Seregina, E.A.; Grigoriev, A.S. A brief review of post-lithium-ion batteries. Int. J. Electrochem. Sci. 2020, 15, 7242–7259. [Google Scholar] [CrossRef]
- Trivedi, M.; Holze, R. Composite Electrolytes for Lithium-ion Batteries. Energy Storage Appl. to be submitted.
- Ye, T.; Li, L.; Zhang, Y. Recent Progress in Solid Electrolytes for Energy Storage Devices. Adv. Funct. Mater. 2020, 30, 2000077. [Google Scholar] [CrossRef]
- Srivastava, S.; Schaefer, J.L.; Yang, Z.; Tu, Z.; Archer, L.A. 25th Anniversary article: Polymer-particle composites: Phase stability and applications in electrochemical energy storage. Adv. Mater. 2014, 26, 201–234. [Google Scholar] [CrossRef]
- Werner, W.; Heinz, S. Solid state ionics-87. In Proceedings of the 6th International Conference on Solid State Ionics, Garmisch-Partenkirchen, Germany, 6–11 September 1987; Volume 28–30, pp. 3–1783. [Google Scholar]
- Bloom, I.; Nelson, P.A.; Redey, L.; Orth, S.K.; Hammer, C.L.; Skocypec, R.S.; Dees, D.W.; Hash, M.C.; Vissers, D.R. Design considerations for the development of advanced sodium/metal-chloride cells. In Proceedings of the 25th Intersociety Energy Conversion Engineering Conference, Reno, NV, USA, 12–17 August 1990; Volume 3, pp. 341–347. [Google Scholar]
- Dalas, E.; Tsamouras, D.; Bouropoulos, N. Primary Solid State Batteries. Ionics 1995, 1, 235–241. [Google Scholar] [CrossRef]
- Park, K.; Cho, J.H.; Shanmuganathan, K.; Song, J.; Peng, J.; Gobet, M.; Greenbaum, S.; Ellison, C.J.; Goodenough, J.B. New battery strategies with a polymer/Al2O3 separator. J. Power Sources 2014, 263, 52–58. [Google Scholar]
- Wei, Z.; Huang, B.; Song, L.; Chen, Y.; Du, P.; Zhu, H.; Xiong, J.; Guo, Y. A robust, efficient ion transport polytetrafluoroethylene fibrous membrane-based separator with superior stability for ultralong-life zinc ion hybrid supercapacitors. J. Mater. Chem. C 2025, 13, 2388–2398. [Google Scholar] [CrossRef]
- Zhu, T.; Liu, H.; Sun, C.; Ma, Z.; Zuo, X.; Nan, J. Paper-Based Composite Separator with Thermotolerant and Flame-Retardant Sodium Silicate Sheath for High-Performance Sodium-Ion Batteries. ACS Appl. Energy Mater. 2024, 7, 1212–1223. [Google Scholar] [CrossRef]
- Ford, H.O.; Merrill, L.C.; He, P.; Upadhyay, S.P.; Schaefer, J.L. Cross-Linked lonomer Gel Separators for Polysulfide Shuttle Mitigation in Magnesium-Sulfur Batteries: Elucidation of Structure-Property Relationships. Macromolecules 2018, 51, 8629–8636. [Google Scholar]
- Cao, J.; Zhang, D.; Gu, C.; Zhang, X.; Okhawilai, M.; Wang, S.; Han, J.; Qin, J.; Huang, Y. Modulating Zn deposition via ceramic-cellulose separator with interfacial polarization effect for durable zinc anode. Nano Energy 2021, 89, 106322. [Google Scholar] [CrossRef]
- Sun, Y.; Jian, Q.; Wang, T.; Liu, B.; Wan, Y.; Sun, J.; Zhao, T. A Janus separator towards dendrite-free and stable zinc anodes for long-duration aqueous zinc ion batteries. J. Energy Chem. 2023, 81, 583–592. [Google Scholar] [CrossRef]
- Nan, S.; Wei, W.; Su, X.; Zhang, Q.; Qian, L.; Dong, Y.; He, R. Imidazole-rich polymer modified glass fiber separators with low electrolyte uptake for dendrite-free and corrosion-free zinc metal batteries. Chem. Eng. J. 2025, 504, 158634. [Google Scholar] [CrossRef]
- Lei, Y.; Li, Q.; Liu, Q.; Zeng, Y.; Li, J.; Huang, W.; Wang, F.; Zhong, S.; Yan, D. Low-cost separator with dust-free fabric composite cellulose acetate toward stable dendrite-free aqueous zinc-ion batteries. Chem. Eng. J. 2024, 479, 147846. [Google Scholar] [CrossRef]
- Xiao, W.; Zhao, L.; Gong, Y.; Wang, H.; Liu, J.; Yan, C. Preparation and properties of composite separators with asymmetric structures for alkaline batteries. RSC Adv. 2015, 5, 54742–54748. [Google Scholar] [CrossRef]
- Suppanucroa, N.; Yoopensuk, W.; Thanapong-A-Morn, W.; Rukkachat, K.; Pakawanit, P.; Wu, H.L.; Mahlendorf, F.; Balz, L.; Kheawhom, S.; Somwangthanaroj, A. Quaternized PVA-MoS2 composite separator: Enhancing long-term stability and ion transport in secondary zinc-air batteries. J. Energy Storage 2025, 121, 116497. [Google Scholar]
- Cao, Y.; Bian, Y.; Xu, Y.; Fu, Q.; Zhao, P.; Sun, Y. Facile preparation of aqueous zinc-ion batteries with excellent long cycle life and anti-freezing performance. J. Energy Storage 2025, 132, 117838. [Google Scholar] [CrossRef]
- Liu, Y.; Li, D.; Xu, H.; Jiang, Y.; Li, F.; Xue, B. An expanded clay-coated separator with unique microporous structure for enhancing electrochemical performance of rechargeable hybrid aqueous batteries. J. Solid State Electr. 2019, 23, 215–226. [Google Scholar]
- Jana, K.K.; Lue, S.J.; Huang, A.; Soesanto, J.F.; Tung, K.L. Separator Membranes for High Energy-Density Batteries. ChemBioEng Rev. 2018, 5, 346–371. [Google Scholar] [CrossRef]
- Xu, W.; Liao, X.; Xu, W.; Zhao, K.; Yao, G.; Wu, Q. Ion Selective and Water Resistant Cellulose Nanofiber/MXene Membrane Enabled Cycling Zn Anode at High Currents. Adv. Energy Mater. 2023, 13, 2300283. [Google Scholar] [CrossRef]
- Akram, M.Z.; Qaiser, A.A.; Abid, N.; Shehzad, M.A. Electro-ionically conductive functional separators for fast ion transport in aqueous zinc ion batteries: Preparation and characterization. Mater. Chem. Phys. 2025, 340, 130863. [Google Scholar] [CrossRef]
- Li, W.; Song, Q.; Dong, Q.; Zhang, J.; Wang, J.; Wu, Y.; Yu, Y.; Li, X. Proton Storage Chemistry in Aqueous Zinc-Inorganic Batteries with Moderate Electrolytes. Adv. Mater. 2025, 37, 2414019. [Google Scholar] [CrossRef]
- Chen, T.Y.; Lin, T.J.; Vedhanarayanan, B.; Shen, H.H.; Lin, T.W. Optimization of acetamide based deep eutectic solvents with dual cations for high performance and low temperature-tolerant aqueous zinc ion batteries via tuning the ratio of co-solvents. J. Colloid Interface Sci. 2023, 629, 166–178. [Google Scholar]
- Li, M.H.; Li, C.; Lu, G.J.; Wang, R.H.; Luo, Z.C.; Li, Z.Y.; Deng, R.R.; Zheng, W.K.; Wang, W.J.; Fang, Y.H.; et al. Manipulation of the Anode Interphase by Multicomponent Composite Sodium for Fast-Charging and Low-Temperature Sodium Metal Batteries. Adv. Funct. Mater. 2025, 35, 2422892. [Google Scholar]
- Li, W.; Zhao, L.; Guo, J.; Zhu, H.; Liu, W.; Kong, W.; Ilyas, F.; Han, X.; Cui, L.; Wen, Z. Turning crisis into opportunity: Intrinsically polarised low concentration eutectic electrolytes enable highly reversible zinc anodes. Energy Storage Mater. 2024, 73, 103866. [Google Scholar] [CrossRef]
- Huang, Y.; Ding, S.; Xu, S.; Ma, Z.F.; Wang, J.; Yuan, X. Highly effective solid electrolyte interface on SnO2@C enabling stable potassium storage performance. Chem. Eng. J. 2022, 446, 137265. [Google Scholar]
- Guo, X.; Peng, Q.; Yang, R.; Cao, G.; Wen, J.; Shin, K.; Zheng, Y.; Tunmee, S.; Zou, C.; Zheng, Y.; et al. Non-coordinating charge transfer enables ultrafast desolvation of hydrated zinc ions in the outer Helmholtz layer for stable aqueous Zn metal batteries. Nat. Sci. Rev. 2025, 12, nwaf070. [Google Scholar]
- Guo, X.; Peng, Q.; Shin, K.; Zheng, Y.; Tunmee, S.; Zou, C.; Zhou, X.; Tang, Y. Construction of a Composite Sn-DLC Artificial Protective Layer with Hierarchical Interfacial Coupling Based on Gradient Coating Technology Toward Robust Anodes for Zn Metal Batteries. Adv. Energy Mater. 2024, 14, 2402015. [Google Scholar] [CrossRef]
- Aupama, V.; Sangsawang, J.; Kao-Ian, W.; Wannapaiboon, S.; Pimoei, J.; Yoopensuk, W.; Opchoei, M.; Tehrani, Z.; Margadonna, S.; Kheawhom, S. Adaptive COF-PVDF composite artificial solid electrolyte interphase for stable aqueous zinc batteries. Electrochim. Acta 2024, 506, 145059. [Google Scholar] [CrossRef]
- Song, H.W.; Su, J.; Wang, C.X. Hybrid Solid Electrolyte Interphases Enabled Ultralong Life Ca-Metal Batteries Working at Room Temperature. Adv. Mater. 2021, 33, 2006141. [Google Scholar] [CrossRef] [PubMed]
- Rajput, N.N.; Qu, X.; Sa, N.; Burrell, A.K.; Persson, K.A. The Coupling between Stability and Ion Pair Formation in Magnesium Electrolytes from First-Principles Quantum Mechanics and Classical Molecular Dynamics. J. Am. Chem. Soc. 2015, 137, 3411–3420. [Google Scholar] [CrossRef]
- Zhang, Z.; Luo, D.; Sun, R.; Gao, Y.; Wang, D.; Li, Z.; Kang, X. Multifunctionalized Supramolecular Cyclodextrin Additives Boosting the Durability of Aqueous Zinc-Ion Batteries. ACS Appl. Mater. Interfaces 2024, 16, 17626–17636. [Google Scholar] [CrossRef]
- Hansen, B.B.; Spittle, S.; Chen, B.; Poe, D.; Zhang, Y.; Klein, J.M.; Horton, A.; Adhikari, L.; Zelovich, T.; Doherty, B.W.; et al. Deep Eutectic Solvents: A Review of Fundamentals and Applications. Chem. Rev. 2021, 121, 1232–1285. [Google Scholar]
- Wei, L.; Fan, Y. Progress of deep eutectic solvents and their applications. Chem. Bull. 2011, 74, 333. [Google Scholar]
- Taneja, N.; Kumar, A.; Gupta, P.; Gupta, M.; Singh, P.; Agrawal, N.; Bocchetta, P.; Kumar, Y. Advancements in liquid and solid electrolytes for their utilization in electrochemical systems. J. Energy Storage 2022, 56, 105950. [Google Scholar] [CrossRef]
- El Achkar, T.; Greige-Gerges, H.; Fourmentin, S. Basics and properties of deep eutectic solvents: A review. Environm. Chem. Lett. 2021, 19, 3397–3408. [Google Scholar]
- Wu, J.; Liang, Q.; Yu, X.; Lu, Q.F.; Ma, L.; Qin, X.; Chen, G.; Li, B. Deep Eutectic Solvents for Boosting Electrochemical Energy Storage and Conversion: A Review and Perspective. Adv. Energy Mater. 2021, 31, 2011102. [Google Scholar]
- Elia, G.A.; Kravchyk, K.V.; Kovalenko, M.V.; Chacon, J.; Holland, A.; Wills, R.G.A. An overview and prospective on Al and Al-ion battery technologies. J. Power Sources 2021, 481, 228870. [Google Scholar] [CrossRef]
- Ji, Y.; Zhou, H.; Sun, P.; Liu, J.; Li, Q.; Lu, P.; Xu, Q. Recent research progress of redox flow batteries based on deep eutectic solvents (DESs). Int. J. Green Energy 2022, 22, 947–957. [Google Scholar] [CrossRef]
- Sharma, A.; Sharma, R.; Thakur, R.C.; Singh, L. An overview of deep eutectic solvents: Alternative for organic electrolytes, aqueous systems & ionic liquids for electrochemical energy storage. J. Energy Chem. 2023, 82, 592–626. [Google Scholar] [CrossRef]
- Al-Farsi, R.; Hayyan, M. Paving the way for advancement of renewable energy technologies using deep eutectic solvents: A review. Renew. Sust. Energy Rev. 2023, 184, 113505. [Google Scholar]
- Liu, Z.; Feng, F.; Feng, W.; Wang, G.; Qi, B.; Gong, M.; Zhang, F.; Pang, H. Eutectic electrolytes: A new platform for high-safety batteries. Energy Environ. Sci. 2025, 18, 3568–3613. [Google Scholar] [CrossRef]
- Kawakami, H. Development of composite electrolyte membranes with functional polymer nanofiber frameworks. Polym. J. 2025, 57, 623–633. [Google Scholar] [CrossRef]
- Kim, J.H.; Lee, D.; Lee, S.Y. Lignocellulosics as a Green Material Opportunity for Energy Storage Systems. In Lignocellulosics: Renewable Feedstock for (Tailored) Functional Materials and Nanotechnology; Filpponen, I., Peresin, M., Nypelo, T., Eds.; Elsevier: Amsterdam, The Netherlands, 2020; pp. 297–343. [Google Scholar]
- Xu, T.; Du, H.; Liu, H.; Liu, W.; Zhang, X.; Si, C.; Liu, P.; Zhang, K. Advanced Nanocellulose-Based Composites for Flexible Functional Energy Storage Devices. Adv. Mater. 2021, 33, 2101368. [Google Scholar] [CrossRef]
- Farooq, A.; Wanyan, H.; Lu, S.; Mosisa, M.T.; Zhou, X.; Xiao, H.; Liu, K.; Huang, L.; Chen, L.; Wu, H. A review on cellulose-based derivatives and composites for sustainable rechargeable batteries. Int. J. Biol. Macromol. 2025, 308, 142528. [Google Scholar] [CrossRef]
- Javed, M.U.; Muhammad, S.; Wang, Z.; Li, J.; Wu, X.; Chukwuka, A.; Zhang, Y.; Wang, K.; Guo, B. Metal-Organic Framework/Polymer Composites for Solid State Electrolytes—A Critical Review. J. Power Sources 2025, 640, 236720. [Google Scholar] [CrossRef]
- Nestler, T.; Roedern, E.; Uvarov, N.F.; Hanzig, J.; Elia, G.A.; De Vivanco, M. Separators and electrolytes for rechargeable batteries: Fundamentals and perspectives. Phys. Sci. Rev. 2019, 4, 20170115. [Google Scholar] [CrossRef]
- Neha; Dalvi, A. Fast ionic PEO-NaCF3SO3-Na3Zr2Si2P3O12 membranes for all-solid-state energy storage devices. Mater. Sci. Eng. B 2023, 289, 116252. [Google Scholar] [CrossRef]
- Sharma, J.; Hashmi, S. Magnesium ion-conducting gel polymer electrolyte nanocomposites: Effect of active and passive nanofillers. Polym. Comp. 2019, 40, 1295–1306. [Google Scholar] [CrossRef]
- Chavan, C.; Bhajantri, R.F.; Bulla, S.; Ravikumar, H.B.; Raghavendra, M.; Sakthipandi, K.; Yogesh Kumar, K.; Prasanna, B.P. Ion dynamics and positron annihilation studies on polymer ceramic composite electrolyte system (PVA/NaClO4/Y2O3): Application in electrochemical devices. Ceram. Int. 2022, 48, 17864–17884. [Google Scholar] [CrossRef]
- Yoshizawa-Fujita, M.; Ota, R.; Ishii, J.; Takeoka, Y.; Rikukawa, M. Ion Conductive Behavior of Oligoether/Zwitterion Diblock Copolymers Containing Magnesium Salt. Macromol. Chem. Phys. 2022, 223, 2100363. [Google Scholar] [CrossRef]
- Bruce, P.G.; Vincent, C.A. Polymer electrolytes. J. Chem. Soc. Farad. Trans. 1993, 89, 3187–3203. [Google Scholar] [CrossRef]
- Kundu, S.; Ein-Eli, Y. A review on design considerations in polymer and polymer composite solid-state electrolytes for solid Li batteries. J. Power Sources 2023, 553, 232267. [Google Scholar] [CrossRef]
- Alvarez-Fernandez, A.; Hernández, G.; Maiz, J. Unlocking Solid Polymer Electrolytes: Advancing Materials through Characterization-Driven Insights. JACS Au 2025, 5, 3701–3715. [Google Scholar] [CrossRef]
- Inamuddin; Ahamed, M.I.; Boddula, R.; Altalhi, T. (Eds.) Polymers in Energy Conversion and Storage; CRC Press: Boca Raton, FL, USA, 2022. [Google Scholar]
- Xi, G.; Xiao, M.; Wang, S.; Han, D.; Li, Y.; Meng, Y. Polymer-Based Solid Electrolytes: Material Selection, Design, and Application. Adv. Funct. Mater. 2021, 31, 2007598. [Google Scholar] [CrossRef]
- Bakar, R.; Darvishi, S.; Senses, E. Enhanced ionic conductivity and mechanical strength in nanocomposite electrolytes with nonlinear polymer architectures. Turk. J. Chem. 2023, 47, 242–252. [Google Scholar] [CrossRef] [PubMed]
- Lee, S.; Park, S.J.; Kim, S. Thermal and electrical conducting property of sodium polymer electrolyte containing barium titanate filler. J. Nanosci. Nanotechnol. 2017, 17, 5768–5770. [Google Scholar] [CrossRef]
- Capiglia, C.; Yang, J.; Imanishi, N.; Hirano, A.; Takeda, Y.; Yamamoto, O. Composite polymer electrolyte: The role of filler grain size. Solid State Ion. 2002, 154–155, 7–14. [Google Scholar] [CrossRef]
- Arya, A.; Sadiq, M.; Sharma, A.L. Effect of variation of different nanofillers on structural, electrical, dielectric, and transport properties of blend polymer nanocomposites. Ionics 2018, 24, 2295–2319. [Google Scholar] [CrossRef]
- Khan, S.; Ullah, I.; Ur Rahman, M.; Khan, H.; Shah, A.B.; Althomali, R.H.; Rahman, M.M. Inorganic-polymer composite electrolytes: Basics, fabrications, challenges and future perspectives. Rev. Inorg. Chem. 2024, 44, 347–375. [Google Scholar] [CrossRef]
- Syzdek, J.S.; Marcinek, M.; Marczewski, M.; Smoliński, M.; Szczęsna-Chrzan, A.; Zalewska, A.; Wieczorek, W. Structural and conductivity investigations of composite polymer electrolytes based on poly(oxyethylene). Appl. Phys. A 2023, 129, 74. [Google Scholar] [CrossRef]
- Syzdek, J.; Armand, M.; Marcinek, M.; Zalewska, A.; Zukowska, G.; Wieczorek, W. Detailed studies on the fillers modification and their influence on composite, poly(oxyethylene)-based polymeric electrolytes. Electrochim. Acta 2010, 55, 1314–1322. [Google Scholar] [CrossRef]
- Kumar, G.; Singh, R.; Chand, P.; Kumar, M.; Singh, R.R.; Kumar, A. A review on polymer electrolyte materials in context to modifications in PVDF-HFP polymer host. J. Solid State Electrochem. 2025, 29, 4493–4528. [Google Scholar] [CrossRef]
- Wang, W.M. Preparation and characterization of composite polymer electrolyte. Adv. Mater. Res. 2012, 571, 17–21. [Google Scholar] [CrossRef]
- Vedhanarayanan, B.; Lakshmi, K.C.S.; Lin, T.W. Interfacial Tuning of Polymeric Composite Materials for High-Performance Energy Devices. Batteries 2023, 9, 487. [Google Scholar] [CrossRef]
- Teramoto, D.; Yokoyama, R.; Kagawa, H.; Sada, T.; Ogata, N. A Novel Ionic Liquid-Polymer Electrolyte for the Advanced Lithium Ion Polymer Battery. In Molten Salts and Ionic Liquids: Never the Twain? Gaune-Escard, M., Seddon, K.R., Eds.; Wiley: Hoboken, NJ, USA, 2012; pp. 367–388. [Google Scholar]
- Xi, J.; Qiu, X.; Zhu, W.; Tang, X. Enhanced electrochemical properties of poly(ethylene oxide)-based composite polymer electrolyte with ordered mesoporous materials for lithium polymer battery. Micropor. Mesopor. Mater. 2006, 88, 1–7. [Google Scholar] [CrossRef]
- Langer, F.; Kun, R.; Schwenzel, J. Li7La3Zr2O12 and poly(Ethylene Oxide) based composite electrolytes. In Solid Electrolytes for Advanced Applications; Murugan, R., Weppner, W., Eds.; Springer: Cham, Switzerland, 2019; pp. 195–215. [Google Scholar]
- Huang, Y.; Mei, X.; Guo, Y. Segmental and interfacial dynamics quantitatively determine ion transport in solid polymer composite electrolytes. J. Appl. Polym. Sci. 2022, 139, e52143. [Google Scholar] [CrossRef]
- Buannic, L.; Naviroj, M.; Miller, S.M.; Zagorski, J.; Faber, K.T.; Llordés, A. Dense freeze-cast Li7La3Zr2O12 solid electrolytes with oriented open porosity and contiguous ceramic scaffold. J. Am. Ceram. Soc. 2019, 102, 1021–1029. [Google Scholar] [CrossRef]
- Fan, L.Z.; He, H.; Nan, C.W. Tailoring inorganic-polymer composites for the mass production of solid-state batteries. Nat. Rev. Mater. 2021, 6, 1003–1019. [Google Scholar] [CrossRef]
- Kumar, B.; Scanlon, L.G. Polymer-ceramic composite electrolytes. J. Power Sources 1994, 52, 261–268. [Google Scholar] [CrossRef]
- Kumar, B.; Scanlon, L.G. Polymer-ceramic composite electrolytes: Conductivity and thermal history effects. Solid State Ion. 1999, 124, 239–254. [Google Scholar] [CrossRef]
- Tao, K.; Wang, Z.; Han, Y.; Li, J. Rapid discovery of inorganic-organic solid composite electrolytes by unsupervised learning. Chem. Eng. J. 2023, 454, 140151. [Google Scholar] [CrossRef]
- Xiong, Y.; Lin, Z.; Li, J.; Li, Z.; Cheng, A.; Zhang, X. Design of Low-Resistance Composite Electrolytes for Solid-State Batteries Based on Machine Learning. Acta Mech. Solida Sin. 2025, 38, 549–557. [Google Scholar] [CrossRef]
- Best, A.S.; Ferry, A.; MacFarlane, D.R.; Forsyth, M. Conductivity in amorphous polyether nanocomposite materials. Solid State Ion. 1999, 126, 269–276. [Google Scholar] [CrossRef]
- Bosquez-Caceres, M.F.; Hidalgo-Bonilla, S.; Cordova, V.M.; Michell, R.M.; Tafur, J.P. Nanocomposite Polymer Electrolytes for Zinc and Magnesium Batteries: From Synthetic to Biopolymers. Polymers 2021, 13, 4284. [Google Scholar] [CrossRef] [PubMed]
- Li, Y.; Guo, X.; Wang, H. Solid Composite Electrolytes for Solid-State Alkali Metal Batteries. ACS Symp. Ser. 2022, 1413, 395–423. [Google Scholar]
- Qi, D.; Jiang, Z.; Yu, J.; Gao, Z. Preparation process and application of novel solid-state composite polymer electrolytes. Mater. Rev. 2016, 30, 144–149. [Google Scholar]
- Jarosik, A.; Pfaffenhuber, C.; Bunde, A.; Maier, J. Electrochemical investigations of polyethylene glycol-based “soggy sand” electrolytes—From the local mechanism to the overall conduction. Adv. Funct. Mater. 2011, 21, 3961–3966. [Google Scholar] [CrossRef]
- Bhattacharyya, A.J.; Maier, J.; Bock, R.; Lange, F.F. New class of soft matter electrolytes obtained via heterogeneous doping: Percolation effects in “soggy sand” electrolytes. Solid State Ion. 2006, 177, 2565–2568. [Google Scholar] [CrossRef]
- Wang, R.; Dong, Q.; Wang, C.; Hong, M.; Gao, J.; Xie, H.; Guo, M.; Ping, W.; Wang, X.; He, S.; et al. High-Temperature Ultrafast Sintering: Exploiting a New Kinetic Region to Fabricate Porous Solid-State Electrolyte Scaffolds. Adv. Mater. 2021, 33, 2100726. [Google Scholar] [CrossRef] [PubMed]
- Wang, W.M. Study on all solid-state composite polymer electrolyte. Adv. Mater. Res. 2012, 571, 13–16. [Google Scholar] [CrossRef]
- Yong, X. Research on the preparation & performance of polymer electrolyte composite materials. Adv. Mater. Res. 2012, 548, 68–72. [Google Scholar] [CrossRef]
- Shi, Y.; Tang, M. NMR/EPR investigation of rechargeable batteries. Acta Phys. Chim. Sin. 2019, 36, 1905004. [Google Scholar]
- Ran, L.; Tao, S.; Gentle, I.; Luo, B.; Li, M.; Rana, M.; Wang, L.; Knibbe, R. Stable Interfaces in a Sodium Metal-Free, Solid-State Sodium-Ion Battery with Gradient Composite Electrolyte. ACS Appl. Mater. Interfaces 2021, 13, 39355–39362. [Google Scholar] [CrossRef]
- Holze, R. Hot electrochemistry: Ceramics and solid ion conductors. Bunsen-Mag. 2025, 27, 211. [Google Scholar]
- Lowack, A.; Grun, P.; Anton, R.; Auer, H.; Nikolowski, K.; Partsch, M.; Kusnezoff, M.; Michaelis, A. Sputtered Zero-Excess Electrodes with Metallic Seed Layers for Solid-State Sodium Batteries. Batter. Supercaps 2024, 7, e202400364. [Google Scholar] [CrossRef]
- Zheng, X.; Bommier, C.; Luo, W.; Jiang, L.; Hao, Y.; Huang, Y. Sodium metal anodes for room-temperature sodium-ion batteries: Applications, challenges and solutions. Energy Stor. Mater. 2019, 16, 6–23. [Google Scholar] [CrossRef]
- Yang, T.Z.; Luo, D.; Liu, Y.Z.; Yu, A.P.; Chen, Z.W. Review Anode-free sodium metal batteries as rising stars for lithium-ion alternatives. iScience 2023, 26, 105982. [Google Scholar] [CrossRef]
- Heubner, C.; Maletti, S.; Auer, H.; Hüttl, J.; Voigt, K.; Lohrberg, O.; Nikolowski, K.; Partsch, M.; Michaelis, A. From Lithium-Metal toward Anode-Free Solid-State Batteries: Current Developments, Issues, and Challenges. Adv. Funct. Mater. 2021, 31, 2106608. [Google Scholar] [CrossRef]
- Ruoff, E.; Kmiec, S.; Manthiram, A. Enhanced Interfacial Conduction in Low-Cost NaAlCl4 Composite Solid Electrolyte for Solid-State Sodium Batteries. Adv. Energy Mater. 2024, 14, 2402091. [Google Scholar] [CrossRef]
- Huang, H.; Yang, H.; Yao, Y.; Yu, Y. Progress on Halide Solid Electrolytes in All-Solid-State Sodium Batteries. J. Chin. Ceram. Soc. 2025, 53, 1561–1576. [Google Scholar]
- Takayanagi, T.; Nasu, A.; Tsuji, F.; Sakuda, A.; Tatsumisago, M.; Hayashi, A. Mechanochemically Prepared Highly Conductive Na2.88Sb0.88W0.12S4-NaI Composite Electrolytes for All-Solid-State Sodium Battery. Electrochemistry 2022, 90, 047005. [Google Scholar] [CrossRef]
- Zhang, Z.; Yang, G.; Sun, M.; Li, X.; Wang, Z. Effects of addition of sodium titanophosphate glass on structure and physical properties of Na3Zr2Si2PO12/glass-ceramic solid composite electrolytes. Ceram. Int. 2025, 51, 11220–11230. [Google Scholar] [CrossRef]
- Shao, Y.; Zhong, G.; Lu, Y.; Liu, L.; Zhao, C.; Zhang, Q.; Hu, Y.S.; Yang, Y.; Chen, L. A novel NASICON-based glass-ceramic composite electrolyte with enhanced Na-ion conductivity. Energy Storage Mater. 2019, 23, 514–521. [Google Scholar] [CrossRef]
- Johari, N.S.M.; Adnan, S.B.R.S.; Ahmad, N. Sodium-ion nanoionic hybrid solid electrolyte: Extended study on enhanced electrical and electrochemical properties. Solid State Ion. 2022, 377, 115882. [Google Scholar]
- Mandal, S.; Tom, C.; Singh, Y.; Khoder, H.; Launois, P.; Paineau, E.; Grage, S.L.; Schaller, M.; Alwarappan, S.; Singh, R.S.; et al. Domain Size Modulation of Clay–Nanocellulose Composites for Enhanced Na-Ion Transport. ACS Appl. Energy Mater. 2025, 8, 6071–6086. [Google Scholar] [CrossRef]
- He, L.; Wang, Z.; Li, Y.; Lin, H.; Li, J.; Cheng, T.; Zhu, Q.; Shang, C.; Lu, Z.; Floriano, R.; et al. Electrolyte precursor-free approach to prepare composite electrolyte for all-solid-state Na-ion battery. Mater. Today Chem. 2023, 31, 101607. [Google Scholar] [CrossRef]
- Rathore, M.; Dalvi, A. Electrical Characterization of PVA-MgSO4 and PVA-Li2SO4 Polymer Salt Composite Electrolytes. Mater. Today Proc. 2019, 10, 106–111. [Google Scholar] [CrossRef]
- Badr, S.; Sheha, E.; Bayomi, R.M.; El-Shaarawy, M.G. Structural and electrical properties of pure and H2SO4 doped (PVA)0.7(NaI)0.3 solid polymer electrolyte. Ionics 2010, 16, 269–275. [Google Scholar] [CrossRef]
- Abdullah, A.M.; Aziz, S.B.; Saeed, S.R. Structural and electrical properties of polyvinyl alcohol (PVA):Methyl cellulose (MC) based solid polymer blend electrolytes inserted with sodium iodide (NaI) salt. Arab. J. Chem. 2021, 14, 103388. [Google Scholar] [CrossRef]
- Mei, X.; Wu, Y.; Gao, Y.; Zhu, Y.; Bo, S.H.; Guo, Y. A quantitative correlation between macromolecular crystallinity and ionic conductivity in polymer-ceramic composite solid electrolytes. Mater. Today Commun. 2020, 24, 101004. [Google Scholar] [CrossRef]
- Chen, G.; Ye, L.; Zhang, K.; Gao, M.; Lu, H.; Xu, H.; Bai, Y.; Wu, C. Hyperbranched polyether boosting ionic conductivity of polymer electrolytes for all-solid-state sodium ion batteries. Chem. Eng. J. 2020, 394, 124885. [Google Scholar] [CrossRef]
- Zhang, Z.; Xu, K.; Rong, X.; Hu, Y.S.; Li, H.; Huang, X.; Chen, L. Na3.4Zr1.8Mg0.2Si2PO12 filled poly(ethylene oxide)/Na(CF3SO2)2N as flexible composite polymer electrolyte for solid-state sodium batteries. J. Power Sources 2017, 372, 270–275. [Google Scholar] [CrossRef]
- Chiekezi, O.; He, X.; Wang, H.; Adebisi, T.R.; Ayodele, O.; Deng, T.; Reed, D.; Wang, C.; Lu, X. Highly Conductive Poly(ethylene oxide)-Based Composite Polymer Electrolyte for Sodium Battery Applications. ACS Appl. Energy Mater. 2023, 6, 8434–8442. [Google Scholar] [CrossRef]
- Qu, S.; Cai, G.; Qiao, X.; Li, G.; Sun, J. Enhancing Sodium-Ion Transport in LTA Zeolite/PEO Composite Polymer Electrolytes through Cation Adsorption. ACS Appl. Energy Mater. 2024, 7, 8964–8972. [Google Scholar] [CrossRef]
- Tian, W.; Lin, G.; Yuan, S.; Jin, T.; Wang, Q.; Jiao, L. Competitive Coordination and Dual Interphase Regulation of MOF-Modified Solid-State Polymer Electrolytes for High-Performance Sodium Metal Batteries. Angew. Chem. Int. Ed. 2025, 64, e202423075. [Google Scholar] [CrossRef] [PubMed]
- Guan, X.; Jian, Z.; Liao, X.; Liao, W.; Huang, Y.; Chen, D.; Li, R.K.Y.; Liu, C. Tailored architecture of composite electrolyte for all-solid-state sodium batteries with superior rate performance and cycle life. Nano Res. 2024, 17, 4171–4180. [Google Scholar] [CrossRef]
- Ge, Z.; Li, J.; Liu, J. Enhanced electrochemical performance of all-solid-state sodium-sulfur batteries by PEONaCF3SO3-MIL-53(Al) solid electrolyte. Ionics 2020, 26, 1787–1795. [Google Scholar] [CrossRef]
- Shi, C.M.; Takeuchi, S.; Alexander, G.V.; Hamann, T.; O’Neill, J.; Dura, J.A.; Wachsman, E.D. High Sulfur Loading and Capacity Retention in Bilayer Garnet Sulfurized-Polyacrylonitrile/Lithium-Metal Batteries with Gel Polymer Electrolytes. Adv. Energy Mater. 2023, 13, 2301656. [Google Scholar] [CrossRef]
- Peng, C.; Huang, S.; Shen, X.; Ding, J.; Luo, J.; Du, J.; Xia, Z.; Zhang, X.; Chen, J. An amphiphilic interface for constructing a uniform composite solid-state electrolyte towards long-life all-solid-state sodium metal batteries. J. Mater. Chem. A 2024, 12, 23485–23494. [Google Scholar] [CrossRef]
- Zhang, S.; Lee, J.Y.; Hong, L. Visualization of particle distribution in composite polymer electrolyte systems. J. Power Sources 2004, 126, 125–133. [Google Scholar] [CrossRef]
- Liu, D.; Xie, X.; Trivedi, M.; Chen, X.; Holze, R. Graphene-containing composite coatings for corrosion protection. J. Compos. Sci. 2025; to be submitted. [Google Scholar]
- Zhang, Z.; Zhang, Q.; Shi, J.; Chu, Y.S.; Yu, X.; Xu, K.; Ge, M.; Yan, H.; Li, W.; Gu, L.; et al. A Self-Forming Composite Electrolyte for Solid-State Sodium Battery with Ultralong Cycle Life. Adv. Energy Mater. 2017, 7, 1601196. [Google Scholar] [CrossRef]
- Yu, X.; Xue, L.; Goodenough, J.B.; Manthiram, A. Ambient-Temperature All-Solid-State Sodium Batteries with a Laminated Composite Electrolyte. Adv. Funct. Mater. 2021, 31, 2002144. [Google Scholar] [CrossRef]
- Guo, J.; Cai, L.; Wang, R.; Zhou, K.; Zhang, J.; Chen, S.; Liu, T. Facile Design of a Soft-Tough Asymmetric Composite Electrolyte for Stable All-Solid-State Sodium Batteries. ACS Sustain. Chem. Eng. 2025, 13, 8184–8192. [Google Scholar] [CrossRef]
- Serra Moreno, J.; Armand, M.; Berman, M.B.; Greenbaum, S.G.; Scrosati, B.; Panero, S. Composite PEOn:NaTFSI polymer electrolyte: Preparation, thermal and electrochemical characterization. J. Power Sources 2014, 248, 695–702. [Google Scholar] [CrossRef]
- Peta, G.; Bublil, S.; Alon-Yehezkel, H.; Breuer, O.; Elias, Y.; Shpigel, N.; Fayena-Greenstein, M.; Golodnitsky, D.; Aurbach, D. Toward high performance all solid-state Na batteries: Investigation of electrolytes comprising NaPF6, poly(ethylene oxide) and TiO2. J. Electrochem. Soc. 2021, 168, 110553. [Google Scholar] [CrossRef]
- Hashmi, S.A.; Chandra, S. Experimental investigations on a sodium-ion-conducting polymer electrolyte based on poly(ethylene oxide) complexed with NaPF6. Mater. Sci. Eng. B 1995, 34, 18–26. [Google Scholar] [CrossRef]
- Lailun Ni’mah, Y.; Cheng, M.Y.; Cheng, J.H.; Rick, J.; Hwang, B.J. Solid-state polymer nanocomposite electrolyte of TiO2/PEO/NaClO4 for sodium ion batteries. J. Power Sources 2015, 278, 375–381. [Google Scholar]
- Patel, M.; Chandrappa, K.G.; Bhattacharyya, A.J. Increasing ionic conductivity of polymer-sodium salt complex by addition of a non-ionic plastic crystal. Solid State Ion. 2010, 181, 844–848. [Google Scholar] [CrossRef]
- Alarco, P.J.; Abu-Lebdeh, Y.; Abouimrane, A.; Armand, M. The plastic-crystalline phase of succinonitrile as a universal matrix for solid-state ionic conductors. Nat. Mater. 2004, 3, 476–481. [Google Scholar] [CrossRef]
- Sherwood, J. (Ed.) The Plastically Crystalline State; Wiley: London, UK, 1979. [Google Scholar]
- Li, H.; Ermolaev, A.V.; Pronin, A.S.; Zheng, J.; Huang, H.; Zhang, H.; Li, L.; An, B.; Mironov, Y.V.; Sun, C. Synthesis of a cubane-like anion [Re4As2S2(CN)12]6− for coordinate regulation of Na+ ion transport. Inorg. Chem. Front. 2024, 11, 6671–6678. [Google Scholar] [CrossRef]
- Luo, X.; Aguey-Zinsou, K.F. NaBH4-Poly(Ethylene Oxide) Composite Electrolyte for All-Solid-State Na-Ion Batteries. Batteries 2024, 10, 316. [Google Scholar] [CrossRef]
- Wang, L.; Han, W.; Ge, C.; Zhang, R.; Bai, Y.; Zhang, X. Functionalized Carboxyl Carbon/NaBOB Composite as Highly Conductive Electrolyte for Sodium Ion Batteries. ChemistrySelect 2018, 3, 9293–9300. [Google Scholar] [CrossRef]
- Song, S.; Yang, S.; Zheng, F.; Zeng, K.; Duong, H.M.; Savilov, S.V.; Aldoshin, S.M.; Hu, N.; Lu, L. Poly(ethylene oxide)-Immobilized Ionogel with High Ionic Liquid Loading and Superior Ionic Conductivity. J. Electrochem. Soc. 2016, 163, A2887–A2889. [Google Scholar] [CrossRef]
- Song, S.; Dong, Z.; Fernandez, C.; Wen, Z.; Hu, N.; Lu, L. Nanoporous ceramic-poly(ethylene oxide) composite electrolyte for sodium metal battery. Mater. Lett. 2019, 236, 13–15. [Google Scholar] [CrossRef]
- Zhang, Z.; Zhang, Q.; Ren, C.; Luo, F.; Ma, Q.; Hu, Y.S.; Zhou, Z.; Li, H.; Huang, X.; Chen, L. A ceramic/polymer composite solid electrolyte for sodium batteries. J. Mater. Chem. A 2016, 4, 15823–15828. [Google Scholar] [CrossRef]
- Wang, Y.; Wang, Z.; Sun, J.; Zheng, F.; Kotobuki, M.; Wu, T.; Zeng, K.; Lu, L. Flexible, stable, fast-ion-conducting composite electrolyte composed of nanostructured Na-super-ion-conductor framework and continuous Poly(ethylene oxide) for all-solid-state Na battery. J. Power Sources 2020, 454, 227949. [Google Scholar] [CrossRef]
- Niu, W.; Chen, L.; Liu, Y.; Fan, L.Z. All-solid-state sodium batteries enabled by flexible composite electrolytes and plastic-crystal interphase. Chem. Eng. J. 2020, 384, 123233. [Google Scholar] [CrossRef]
- Wang, Y.; Wang, Z.; Xu, X.; Oh, S.J.A.; Sun, J.; Zheng, F.; Lu, X.; Xu, C.; Yan, B.; Huang, G.; et al. Ultra-Stable Sodium-Ion Battery Enabled by All-Solid-State Ferroelectric-Engineered Composite Electrolytes. Nano-Micro Lett. 2024, 16, 254. [Google Scholar] [CrossRef]
- Yu, X.; Xue, L.; Goodenough, J.B.; Manthiram, A. A High-Performance All-Solid-State Sodium Battery with a Poly(ethylene oxide)-Na3Zr2Si2PO12 Composite Electrolyte. ACS Mater. Lett. 2019, 1, 132–138. [Google Scholar] [CrossRef]
- Kannadasan, M.; Sathiasivan, K.; Pandurangan, I.; Balakrishnan, M. Synergistic nanocomposite polymer electrolytes for advanced all-solid-state sodium-ion batteries. Int. J. Hydrogen Energy 2024, 78, 634–641. [Google Scholar] [CrossRef]
- Hiraoka, K.; Kato, M.; Kobayashi, T.; Seki, S. Polyether/Na3Zr2Si2PO12 Composite Solid Electrolytes for All-Solid-State Sodium Batteries. J. Phys. Chem. C 2020, 124, 21948–21956. [Google Scholar] [CrossRef]
- Dwivedi, S.; Vasudevan, S.; Balaya, P. A dual aliovalent ion doped NASICON ceramic filler embedded in the PEO-NaTFSI polymer matrix for high-performance solid-state sodium-ion batteries. J. Mater. Chem. A 2024, 12, 22867–22882. [Google Scholar] [CrossRef]
- Zhao, L.; Hou, M.; Ren, K.; Yang, D.; Li, F.; Yang, X.; Zhou, Y.; Zhang, D.; Liu, S.; Lei, Y.; et al. Hot-Pressing Enhances Mechanical Strength of PEO Solid Polymer Electrolyte for All-Solid-State Sodium Metal Batteries. Small Methods 2024, 8, 2301579. [Google Scholar] [CrossRef]
- He, K.Q.; Liao, X.G.; Lian, H.J.; Guan, X.; Chen, D.Z.; Su, Y.K.; Li, R.K.Y.; Liu, C. Endowing rapid Na+ conduction by architecture design of Na3Zr2Si2PO12 in composite electrolytes for ultralong lifespan quasi-solid-state sodium metal batteries. Rare Met. 2025, 44, 3795–3805. [Google Scholar] [CrossRef]
- Yu, X.; Xue, L.; Goodenough, J.B.; Manthiram, A. All-Solid-State Sodium Batteries with a Polyethylene Glycol Diacrylate-Na3Zr2Si2PO12 Composite Electrolyte. Adv. Energy Sustain. Res. 2021, 2, 2000061. [Google Scholar] [CrossRef]
- Luo, C.Z.; Li, Q.Y.; Shen, D.Y.; Zheng, R.H.; Huang, D.; Chen, Y. Enhanced interfacial kinetics and fast Na+ conduction of hybrid solid polymer electrolytes for all-solid-state batteries. Energy Storage Mater. 2021, 43, 463–470. [Google Scholar] [CrossRef]
- Abouricha, S.; Ihechmyen, A.; Aziam, H.; Ait Said, H.; Ouarga, A.; Oueldna, N.; Sabi, N.; Noukrati, H.; Lahcini, M.; Saadoune, I.; et al. From bone tissue to batteries: Hydroxyapatite as a filler to enhance the mechanical, thermal, and electrochemical properties of electrolytes for solid-state sodium-ion batteries. J. Energy Storage 2024, 91, 111967. [Google Scholar] [CrossRef]
- Kuang, J.; Li, X.; Li, Y.; Zhong, Y.; Gu, C.; Xia, X.; Wang, X.; Tu, J. Robust polymer electrolyte with enhanced ionic conductivity realized by the incorporation of electrospun MgAl2O4 nanofibers. J. Solid State Electrochem. 2023, 27, 3315–3324. [Google Scholar] [CrossRef]
- Wu, J.F.; Yu, Z.Y.; Wang, Q.; Guo, X. High performance all-solid-state sodium batteries actualized by polyethylene oxide/Na2Zn2TeO6 composite solid electrolytes. Energy Storage Mater. 2020, 24, 467–471. [Google Scholar] [CrossRef]
- Colò, F.; Bella, F.; Nair, J.R.; Destro, M.; Gerbaldi, C. Cellulose-based novel hybrid polymer electrolytes for green and efficient Na-ion batteries. Electrochim. Acta 2015, 174, 185–190. [Google Scholar] [CrossRef]
- Koduru, H.K.; Kondamareddy, K.K.; Iliev, M.T.; Marinov, Y.G.; Hadjichristov, G.B.; Karashanova, D.; Scaramuzza, N. Synergetic effect of TiO2 nano filler additives on conductivity and dielectric properties of PEO/PVP nanocomposite electrolytes for electrochemical cell applications. J. Phys. Conf. Ser. 2017, 780, 012006. [Google Scholar] [CrossRef]
- Kiran Kumar, K.; Ravi, M.; Pavani, Y.; Bhavani, S.; Sharma, A.K.; Narasimha Rao, V.V.R. Investigations on the effect of complexation of NaF salt with polymer blend (PEO/PVP) electrolytes on ionic conductivity and optical energy band gaps. Phys. B 2011, 406, 1706–1712. [Google Scholar] [CrossRef]
- Naveen Kumar, P.; Sasikala, U.; Sekhar, P.C.; Sharma, A.K. Enhancement of Electrical Conductivity and Ion Transport in Plasticized Polymer Blend Electrolytes (PEO/PEMA) by Addition of Nanoscale Inorganic Oxides. Asian J. Chem. 2013, 25, S111–S113. [Google Scholar]
- Wang, W.; Song, R.; Li, T.; Xu, R.; Zhao, Y.; Zhang, L. Enhancement of Electrochemical Performance of Polyoxyethylene-Polycaprolactone Blended Na-Ion Solid Electrolyteby Incorporating g-C3N4. J. Chin. Ceram. Soc. 2022, 50, 47–54. [Google Scholar]
- Chen, G.; Bai, Y.; Gao, Y.; Wang, Z.; Zhang, K.; Ni, Q.; Wu, F.; Xu, H.; Wu, C. Inhibition of Crystallization of Poly(ethylene oxide) by Ionic Liquid: Insight into Plasticizing Mechanism and Application for Solid-State Sodium Ion Batteries. ACS Appl. Mater. Interfaces 2019, 11, 43252–43260. [Google Scholar] [CrossRef]
- Liu, W.; Yan, T.F.; Wang, Y.; Li, Y.; Luo, Y.; Guo, R.; Zhou, L.Z.; Yang, C.; Pei, H.J.; Xie, J.Y. Matching Poly(vinylidene fluoride) and β”-Al2O3 for Hybrid Electrolyte Membrane for Advanced Solid-State Sodium Batteries. J. Electrochem. Soc. 2021, 168, 080541. [Google Scholar] [CrossRef]
- Pei, L.; Han, Y.; Dong, J.; Wang, Y.; Liu, Y.; Liu, X.; Diao, Z.; Liu, J.; Wang, X. High-performance solid-state sodium-ion batteries for lightweight electric vehicles: A closed-loop feedback-optimized composite electrolyte design. eTransportation 2025, 25, 100439. [Google Scholar] [CrossRef]
- Lyu, Y.Q.; Yu, J.; Wu, J.; Effat, M.B.; Ciucci, F. Stabilizing Na-metal batteries with a manganese oxide cathode using a solid-state composite electrolyte. J. Power Sources 2019, 416, 21–28. [Google Scholar] [CrossRef]
- Bag, S.; Zhou, C.; Reid, S.; Butler, S.; Thangadurai, V. Electrochemical studies on symmetric solid-state Na-ion full cell using Na3V2(PO4)3 electrodes and polymer composite electrolyte. J. Power Sources 2020, 454, 227954. [Google Scholar] [CrossRef]
- Ma, S.; Zhao, N.; Lin, J.; Guo, X. Flexible and ultra-thin membrane electrolyte with polymer-reinforced-ceramic ion-conducting framework for sodium metal batteries. J. Energy Chem. 2025, 104, 576–584. [Google Scholar] [CrossRef]
- Ruan, Y.; Huang, X.; Lei, H.; Liu, Y.; Wang, J.; Sun, W.; Song, S. A flexible and free-standing composite solid electrolyte with a pomegranate-like structure for solid-state sodium-ion batteries. Solid State Ion. 2023, 403, 116406. [Google Scholar] [CrossRef]
- Fang, R.; Li, Y.; Wu, N.; Xu, B.; Liu, Y.; Manthiram, A.; Goodenough, J.B. Ultra-Thin Single-Particle-Layer Sodium BetaAlumina-Based Composite Polymer Electrolyte Membrane for Sodium-Metal Batteries. Adv. Funct. Mater. 2023, 33, 2211229. [Google Scholar] [CrossRef]
- Tiwari, A.; Kumar, R. Singh Na3Zr2Si2PO12-Polymer Composite Electrolyte for Solid State Sodium Batteries. ChemPhysChem 2024, 25, e202400620. [Google Scholar] [CrossRef]
- Gao, H.; Guo, B.; Song, J.; Park, K.; Goodenough, J.B. A Composite Gel-Polymer/Glass-Fiber Electrolyte for Sodium-Ion Batteries. Adv. Energy Mater. 2015, 5, 1402235. [Google Scholar] [CrossRef]
- Ling, W.; Fu, N.; Yue, J.; Zeng, X.X.; Ma, Q.; Deng, Q.; Xiao, Y.; Wan, L.J.; Guo, Y.G.; Wu, X.E. A Flexible Solid Electrolyte with Multilayer Structure for Sodium Metal Batteries. Adv. Energy Mater. 2020, 10, 1903966. [Google Scholar] [CrossRef]
- Sun, Z.; Zhao, Y.; Ni, Q.; Liu, Y.; Sun, C.; Li, J.; Jin, H. Solid-State Na Metal Batteries with Superior Cycling Stability Enabled by Ferroelectric Enhanced Na/Na3Zr2Si2PO12 Interface. Small 2022, 18, 2200716. [Google Scholar] [CrossRef]
- Yu, H.; Seomoon, K.; Kim, J.; Kim, J.K. Low-cost and highly safe solid-phase sodium ion battery with a Sn-C nanocomposite anode. J. Ind. Eng. Chem. 2021, 100, 112–118. [Google Scholar] [CrossRef]
- Wang, W.; Yuan, W.; Zhao, Z.; Zhou, P.; Zhang, P.; Ding, M.; Bai, J.; Wenig, J. Sandwiched composite electrolyte with excellent interfacial contact for high-performance solid-state sodium-ion batteries. J. Colloid Interface Sci. 2023, 652, 132–141. [Google Scholar] [CrossRef]
- Yuan, H.; Lu, L.; Sun, C. A Durable Solid-State Na-CO2 Battery with Solid Composite Electrolyte Na3.2Zr1.9Ca0.1Si2PO12-PVDF-HFP. Energy Technol. 2023, 11, 2201383. [Google Scholar] [CrossRef]
- Lu, L.; Sun, C.; Hao, J.; Wang, Z.; Mayer, S.F.; Fernandez-Diaz, M.T.; Alonso, J.A.; Zou, B. A High-Performance Solid-State Na-CO2 Battery with Poly(Vinylidene Fluoride-co-Hexafluoropropylene)-Na3.2Zr1.9Mg0.1Si2PO12 Electrolyte. Energy Environ. Mater. 2023, 6, e12364. [Google Scholar] [CrossRef]
- Yi, Q.; Zhang, W.; Li, S.; Li, X.; Sun, C. Durable Sodium Battery with a Flexible Na3Zr2Si2PO12-PVDF-HFP Composite Electrolyte and Sodium/Carbon Cloth Anode. ACS Appl. Mater. Interfaces 2018, 10, 35039–35046. [Google Scholar] [CrossRef]
- Huang, Y.; Yang, Z.; Zhou, W.; Liu, L.; Tu, C.; Tang, M.; Xie, H.; Lu, Y.; Yan, X.; Ding, Z.; et al. A Cross-Linked Flexible Metaferroelectrolyte Regulated by 2D/2D Perovskite Heterostructures for High-Performance Compact Solid-State Sodium Batteries. Adv. Sci. 2025, 12, 2416662. [Google Scholar] [CrossRef]
- Shu, K.; Zhou, J.; Wu, X.; Liu, X.; Sun, L.; Wang, Y.; Tian, S.; Niu, H.; Duan, Y.; Hu, G.; et al. A PVDF/g-C3N4-Based Composite Polymer Electrolytes for Sodium-Ion Battery. Polymers 2023, 15, 2006. [Google Scholar] [CrossRef]
- Liu, Z.; Wang, X.; Chen, J.; Tang, Y.; Mao, Z.; Wang, D. Gel Polymer Electrolyte Membranes Boosted with Sodium-Conductive a-Alumina Nanoparticles: Application for Na-Ion Batteries. ACS Appl. Energy Mater. 2021, 4, 623–632. [Google Scholar] [CrossRef]
- Mishra, K.; Arif, T.; Kumar, R.; Kumar, D. Effect of Al2O3 nanoparticles on ionic conductivity of PVdF-HFP/PMMA blend-based Na+-ion conducting nanocomposite gel polymer electrolyte. J. Solid State Electr. 2019, 23, 2401–2409. [Google Scholar] [CrossRef]
- Lai, H.; Lu, Y.; Zha, W.; Hu, Y.; Zhang, Y.; Wu, X.; Wen, Z. In situ generated composite gel polymer electrolyte with crosslinking structure for dendrite-free and high-performance sodium metal batteries. Energy Storage Mater. 2023, 54, 478–487. [Google Scholar] [CrossRef]
- Shen, T.Y.; Liu, T.C.; Mo, H.Q.; Yuan, Z.C.; Cui, F.; Jin, Y.X.; Chen, X.J. Cu-based metal-organic framework HKUST-1 as effective catalyst for highly sensitive determination of ascorbic acid. RSC Adv. 2020, 10, 22881–22890. [Google Scholar] [CrossRef]
- Lei, Y.; Yue, L.; Qi, Y.; Niu, Y.; Bao, S.; Song, J.; Xu, M. Metal-Organic Framework Enabling Poly(Vinylidene Fluoride)-Based Polymer Electrolyte for Dendrite-Free and Long-Lifespan Sodium Metal Batteries. Energy Environ. Mater. 2024, 7, e12511. [Google Scholar] [CrossRef]
- Shi, J.; Xiong, H.; Yang, Y.; Shao, H. Nano-sized oxide filled composite PEO/PMMA/P(VDF-HFP) gel polymer electrolyte for rechargeable lithium and sodium batteries. Solid State Ion. 2018, 326, 136–144. [Google Scholar] [CrossRef]
- Ansari, Y.; Guo, B.; Cho, J.H.; Park, K.; Song, J.; Ellison, C.J.; Goodenough, J.B. Low-cost, dendrite-blocking polymer-Sb2O3 separators for lithium and sodium batteries. J. Electrochem. Soc. 2014, 161, A1655–A1661. [Google Scholar] [CrossRef]
- Das, A.; Melepurakkal, A.; Sreeram, P.; Gireesh, K.T.; Balakrishnan, N.T.M.; Jabeen Fatima, M.J.; Pullanchiyodan, A.; Ahn, J.H.; Shelke, M.V.; Raghavan, P. Exceptional cyclability of thermally stable PVdF-co-HFP/SiO2 nanocomposite polymer electrolytes for sodium ion batteries. J. Energy Storage 2023, 73, 109026. [Google Scholar] [CrossRef]
- Yu, W.; Zhai, Y.; Yang, G.; Yao, J.; Song, S.; Li, S.; Tang, W.; Hu, N.; Lu, L. A composite electrolyte with Na3Zr2Si2PO12 microtube for solid-state sodium-metal batteries. Ceram. Int. 2021, 47, 11156–11168. [Google Scholar] [CrossRef]
- Yuan, W.; Ding, M.; Weng, J.; Xue, T.; Xie, M.; Zhang, P.; Mu, J.; Zhou, P. Composite electrolyte membrane with continuous Na+ transport for high-performance quasi-solid-state sodium batteries. Chem. Eng. J. 2025, 514, 163142. [Google Scholar] [CrossRef]
- Kumar, S.; Raghupathy, R.; Vittadello, M. Sodium Polymer Electrolytes: A Review. Batteries 2024, 10, 73. [Google Scholar] [CrossRef]
- Lim, Y.J.; Han, J.; Kim, H.W.; Choi, Y.; Lee, E.; Kim, Y. An epoxy-reinforced ceramic sheet as a durable solid electrolyte for solid state Na-ion batteries. J. Mater. Chem. A 2020, 8, 14528–14537. [Google Scholar] [CrossRef]
- Villaluenga, I.; Bogle, X.; Greenbaum, S.; Gil de Muro, I.; Rojo, T.; Armand, M. Cation only conduction in new polymer-SiO2 nanohybrids: Na+ electrolytes. J. Mater. Chem. A 2013, 1, 8348–8352. [Google Scholar] [CrossRef]
- Wu, S.; Yu, Z.; Nie, X.; Wang, Z.; Huang, F.; Wie, Q. Fast Ion Conduction Nanofiber Matrix Composite Electrolyte for Dendrite-Free Solid-State Sodium-Ion Batteries with Wide Temperature Operation. Adv. Energy Mater. 2022, 12, 2202930. [Google Scholar] [CrossRef]
- Wang, Q.; He, X.; Zhang, D.; Li, Z.; Sun, H.; Sun, Q.; Wang, B.; Fan, L.Z. A composite electrolyte based on aluminum oxide filler/polyester polymer via in situ thermal polymerization for long-cycle sodium metal batteries. Inorg. Chem. Front. 2024, 11, 2300–2311. [Google Scholar] [CrossRef]
- Hamisu, A.; Çelik, S.Ü. Polymer composite electrolyte of SPSU(Na)/PPEGMA/hBN for sodium-ion batteries. Polym. Polym. Compos. 2019, 27, 419–428. [Google Scholar] [CrossRef]
- Hamisu, A.; Çelik, S.Ü. Poly(AN-co-PEGMA)/hBN/NaClO4 composite electrolytes for sodium ion battery. e-Polymers 2017, 17, 507–515. [Google Scholar] [CrossRef]
- Guo, W.; Zhou, X.; Liu, L.; Fang, M.; Zhang, B.; Li, J.; Zhang, L.; Li, J.; Yang, Q. A novel gel electrolyte with a wide electrochemical window and high stability for sodium metal batteries. Chem. Phys. Lett. 2025, 870, 142099. [Google Scholar] [CrossRef]
- Wu, S.; Tang, F.; Zhang, K.; Zhang, L.; Huang, F. Synergistic Long- and Short-Range Sodium-Ion Transport Pathways for Enhanced Low-Temperature Performance in Ceramic-DEE-Polymer Electrolytes. Adv. Funct. Mater. 2025, 35, 25011107. [Google Scholar] [CrossRef]
- Lei, D.; He, Y.B.; Huang, H.; Yuan, Y.; Zhong, G.; Zhao, Q.; Hao, X.; Zhang, D.; Lai, C.; Zhang, S.; et al. Cross-linked beta alumina nanowires with compact gel polymer electrolyte coating for ultra-stable sodium metal battery. Nat. Commun. 2019, 10, 4244. [Google Scholar] [CrossRef]
- Zhao, S.; Shen, Y.; Che, Y.; Jabeen, M.; Lu, C.; Liao, X.Z.; Ma, Z.F. Cellulose Derivative and Polyionic Liquid Crosslinked Network Gel Electrolytes for Sodium Metal Quasi-Solid-State Batteries. Adv. Funct. Mater. 2025, 35, 2422162. [Google Scholar] [CrossRef]
- Gregorio, V.; Garc¡a, N.; Tiemblo, P. Addressing manufacturability and processability in polymer gel electrolytes for Li/Na batteries. Polymers 2021, 13, 2093. [Google Scholar] [CrossRef]
- Ran, L.; Li, M.; Cooper, E.; Luo, B.; Gentle, I.; Wang, L.; Knibbe, R. Enhanced Safety and Performance of High-Voltage Solid-State Sodium Battery through Trilayer, Multifunctional Electrolyte Design. Energy Storage Mater. 2021, 41, 8–13. [Google Scholar] [CrossRef]
- Praveen, D.; Bhat, S.V.; Damle, R. Role of silica nanoparticles in conductivity enhancement of nanocomposite solid polymer electrolytes: (PEGxNaBr):ySiO2. Ionics 2013, 19, 1375–1379. [Google Scholar] [CrossRef]
- Lin, Y.; Li, X.; Zheng, W.; Gang, Y.; Liu, L.; Cui, X.; Dan, Y.; Chen, L.; Cheng, X. Effect of SiO2 microstructure on ionic transport behavior of self-healing composite electrolytes for sodium metal batteries. J. Membr. Sci. 2023, 672, 121442. [Google Scholar] [CrossRef]
- Edison, E.; Abbott, D.F.; Ramakrishna, S.N.; Mougel, V.; Niederberger, M. Non-flammable polymeric ionic liquid hybrid electrolytes for high-stability solid-state sodium metal batteries. Chem. Eng. J. 2025, 522, 167657. [Google Scholar] [CrossRef]
- Lin, J.; Peng, H.; Huang, P.; Naren, T.; Liang, C.; Kuang, G.; Chen, L.; Zhang, C.; Wie, W. Electrically Coupled Electrolyte Engineering Enables High Interfacial Stability for High-Voltage Sodium-Ion Batteries. Adv. Funct. Mater. 2023, 33, 2307061. [Google Scholar] [CrossRef]
- Shi, X.; Zheng, C.; Li, X.; Zheng, Z.; Shu, Z.; Zhou, J.; Zhu, Y. Na3Zr2Si2PO12/cellulose acetate composite solid electrolyte unlocking high ionic conductivity and long cycle life in solid-state sodium batteries. J. Mater. Chem. A 2025, 13, 23805–23815. [Google Scholar] [CrossRef]
- Guo, X.; Li, Y.; Halacoglu, S.; Graff, K.; Zhang, C.; Fu, K.; Xiong, H.; Wang, H. Self-Templated 3D Sulfide-Based Solid Composite Electrolyte for Solid-State Sodium Metal Batteries. Small 2024, 20, 2406298. [Google Scholar] [CrossRef]
- Wang, Z.; Zhang, L.; Shang, X.; Wang, W.; Yan, X.; Yu, C.; Wang, L.M. Enhanced electrochemical performance enabled by ionic-liquid-coated Na3SbS4 electrolyte encapsulated in flexible filtration membrane. Chem. Eng. J. 2022, 428, 132094. [Google Scholar] [CrossRef]
- Zhang, Z.; Cao, H.; Zhang, L. Preparation and electrochemical properties of ionic-liquid-modified Na3SbS4 membrane composite electrolytes. J. Mater. Sci. 2021, 56, 10565–10574. [Google Scholar] [CrossRef]
- Dong, S.; Xie, G.; Xu, S.; Tan, X.; Chaudhary, M.; Zhang, Y.; Wu, R.; Wen, F.; Ayranci, C.; Michaelis, V.K.; et al. Cellulose-Encapsulated Composite Electrolyte Design: Toward Chemically and Mechanically Enhanced Solid-Sodium Batteries. ACS Nano 2024, 18, 16285–16296. [Google Scholar] [CrossRef]
- Ren, Y.X.; Hortance, N.; McBride, J.; Hatzell, K.B. Sodium-Sulfur Batteries Enabled by a Protected Inorganic/Organic Hybrid Solid Electrolyte. ACS Energy Lett. 2021, 6, 345–353. [Google Scholar] [CrossRef]
- Lu, P.; Wu, D.; Chen, L.; Li, H.; Wu, F. Air Stability of Solid-State Sulfide Batteries and Electrolytes. Electrochem. Energy Rev. 2022, 5, 3. [Google Scholar] [CrossRef]
- Guo, X.; Li, Y.; Wang, H. Ultrathin Sulfide/PVDF-HFP Composite Electrolyte for Solid-State Sodium Metal Batteries. ACS Appl. Energy Mater. 2024, 7, 1008–1014. [Google Scholar] [CrossRef]
- Feng, Y.; Liu, J.; Wei, Z.; Yao, S.; Chen, G.; Du, F. Core-Shell Structured Composite Solid Electrolyte Enables High-Rate All-Solid-State Sodium Batteries. Angew. Chem. Int. Ed. 2025, 64, e202507247. [Google Scholar] [CrossRef]
- Noi, K.; Nagata, Y.; Hakari, T.; Suzuki, K.; Yubuchi, S.; Ito, Y.; Sakuda, A.; Hayashi, A.; Tatsumisago, M. Oxide-Based Composite Electrolytes Using Na3Zr2Si2PO12/Na3PS4 Interfacial Ion Transfer. ACS Appl. Mater. Interfaces 2018, 10, 19605–19614. [Google Scholar] [CrossRef]
- Xu, X.; Li, Y.; Cheng, J.; Hou, G.; Nie, X.; Ai, Q.; Dai, L.; Feng, J.; Ci, L. Composite solid electrolyte of Na3PS4-PEO for all-solid-state SnS2/Na batteries with excellent interfacial compatibility between electrolyte and Na metal. J. Energy Chem. 2020, 41, 73–78. [Google Scholar] [CrossRef]
- Iyer, V.; Petersen, J.; Geier, S.; Wierach, P. Development and Multifunctional Characterization of a Structural Sodium-Ion Battery Using a High-Tensile-Strength Poly(ethylene oxide)-Based Matrix Composite. ACS Appl. Energy Mater. 2024, 7, 3968–3982. [Google Scholar] [CrossRef]
- Darjazi, H.; Falco, M.; Colò, F.; Balducci, L.; Piana, G.; Bella, F.; Meligrana, G.; Nobili, F.; Elia, G.A.; Gerbaldi, C. Electrolytes for Sodium Ion Batteries: The Current Transition from Liquid to Solid and Hybrid systems. Adv. Mater. 2024, 36, 2313572. [Google Scholar] [CrossRef] [PubMed]
- Liu, Q.; Zhao, X.; Yang, Q.; Hou, L.; Mu, D.; Tan, G.; Li, L.; Chen, R.; Wu, F. The Progress in the Electrolytes for Solid State Sodium-Ion Battery. Adv. Mater. Technol. 2023, 8, 2200822. [Google Scholar] [CrossRef]
- Voss, P.; Gruber, B.; Mitterfellner, M.; Plöpst, J.D.; Degen, F.; Schmuch, R.; Lux, S. Benchmarking state-of-the-art sodium-ion battery cells—Modeling energy density and carbon footprint at the gigafactory-scale. Energy Environ. Sci. 2025, 18, 8104–8129. [Google Scholar] [CrossRef]
- Zheng, J.; Li, W.; Liu, X.; Zhang, J.; Feng, X.; Chen, W. Progress in Gel Polymer Electrolytes for Sodium-Ion Batteries. Energy Environ. Mater. 2023, 6, e12422. [Google Scholar] [CrossRef]
- Wei, W.; Xu, J.; Chen, W.; Mi, L.; Zhang, J. A review of sodium chloride-based electrolytes and materials for electrochemical energy technology. J. Mater. Chem. A 2022, 10, 2637–2671. [Google Scholar] [CrossRef]
- Yang, D.; Zhang, D.; Ren, K.; Li, F.; Dong, P.; Zhang, J.; Yang, B.; Liang, F. All Solid-State Sodium Batteries and Its Interface Modification. Prog. Chem. 2023, 35, 1177–1190. [Google Scholar]
- Khudyshkina, A.D.; Rauska, U.C.; Butzelaar, A.J.; Hoffmann, M.; Wilhelm, M.; Theato, P.; Jeschull, F. Impact of Nano-sized Inorganic Fillers on PEO-based Electrolytes for Potassium Batteries. Batter. Supercaps 2024, 7, e202300404. [Google Scholar] [CrossRef]
- Elgin, J.; Wu, Y. Extracting Interfacial Resistance between Potassium beta-Alumina and Polymer Electrolytes for Composite Electrolytes. ACS Appl. Energy Mater. 2025, 8, 9319–9327. [Google Scholar] [CrossRef]
- Zhang, M.; Zhang, A.M.; Chen, Y.F.; Xie, J.; Xin, Z.F.; Chen, Y.J.; Kan, Y.H.; Li, S.L.; Lan, Y.Q.; Zhang, Q. Polyoxovanadate-polymer hybrid electrolyte in solid state batteries. Energy Storage Mater. 2020, 29, 172–181. [Google Scholar] [CrossRef]
- Fei, H.; Liu, Y.; An, Y.; Xu, X.; Zeng, G.; Tian, Y.; Ci, L.; Xi, B.; Xiong, S.; Feng, J. Stable all-solid-state potassium battery operating at room temperature with a composite polymer electrolyte and a sustainable organic cathode. J. Power Sources 2018, 399, 294–298. [Google Scholar] [CrossRef]
- Du, G.; Tao, M.; Liu, D.; Aslam, M.K.; Qi, Y.; Jiang, J.; Li, Y.; Bao, S.J.; Xu, M. Low-operating temperature quasi-solid-state potassium-ion battery based on commercial materials. J. Colloid Interface Sci. 2021, 582, 932–939. [Google Scholar] [CrossRef]
- Nivetha, K.; Vijaya Kumar, K.; Krishna Jyothi, N.; Venkataratnam Kamma, K. Exploring the synergistic potential of PVB: KCl composite electrolyte films for enhanced performance in solid-state potassium batteries. Bull. Mater. Sci. 2024, 47, 250. [Google Scholar] [CrossRef]
- Sulaiman, M.; Rahman, A.A.; Mohamed, N.S. Structural, thermal and conductivity studies of magnesium nitrate—Alumina composite solid electrolytes prepared via sol-gel method. Int. J. Electrochem. Sci. 2013, 8, 6647–6655. [Google Scholar] [CrossRef]
- Skov, L.N.; Grinderslev, J.B.; Rosenkranz, A.; Lee, Y.S.; Jensen, T.R. Towards Solid-State Magnesium Batteries: Ligand-Assisted Superionic Conductivity. Batter. Supercaps 2022, 5, e202200163. [Google Scholar] [CrossRef]
- Mazzucco, A.; Tricerri, N.; Lamacchia, L.; Francesco Sgroi, M.; Baricco, M.; Filinchuk, Y. Mg(BH4)2-CH3NH2BH3@MgO solid state electrolyte for magnesium batteries. Mater. Renew. Sustain. Energy 2025, 14, 2. [Google Scholar] [CrossRef]
- Le Ruyet, R.; Berthelot, R.; Salager, E.; Florian, P.; Fleutot, B.; Janot, R. Investigation of Mg(BH4)(NH2)-Based Composite Materials with Enhanced Mg2+ Ionic Conductivity. J. Phys. Chem. C 2019, 123, 10756–10763. [Google Scholar] [CrossRef]
- Higashi, S.; Miwa, K.; Aoki, M.; Takechi, K. A novel inorganic solid state ion conductor for rechargeable Mg batteries. Chem. Commun. 2014, 50, 1320–1322. [Google Scholar] [CrossRef]
- Amdisen, M.B.; Lee, Y.S.; Jensen, T.R. Cyclopropylamine Magnesium Borohydrides as Solid-State Electrolytes. Inorg. Chem. 2025, 64, 3696–3706. [Google Scholar] [CrossRef]
- Sun, Y.; Zhou, Q.; Zheng, K.; Xiong, F.; Chen, Y.; Sheha, E.; Yang, J.; Wang, J.; NuLi, Y. Facilely synthesized crosslinked gel polymer electrolytes for high-performance quasi-solid-state rechargeable magnesium batteries. Inorg. Chem. Front. 2025, 12, 6166–6177. [Google Scholar] [CrossRef]
- Mitra, S.; Sampath, S. Sol-gel derived, magnesium based ionically conducting composites. J. Mater. Chem. 2002, 12, 2531–2537. [Google Scholar] [CrossRef]
- Kristensen, L.G.; Amdisen, M.B.; Skov, L.N.; Jensen, T.R. Fast magnesium ion conducting isopropylamine magnesium borohydride enhanced by hydrophobic interactions. Phys. Chem. Chem. Phys. 2022, 24, 18185–18197. [Google Scholar] [CrossRef] [PubMed]
- Kristensen, L.G.; Amdisen, M.B.; Andersen, M.; Jensen, T.R. Synthesis, Structure and Mg2+ Ionic Conductivity of Isopropylamine Magnesium Borohydride. Inorganics 2023, 11, 17. [Google Scholar] [CrossRef]
- Dansirima, P.; Kristensen, L.G.; Grinderslev, J.B.; Skibsted, J.; Utke, R.; Jensen, T.R. Nanoconfinement of an ammine magnesium borohydride composite electrolyte in a mesoporous silica scaffold. Commun. Mater. 2024, 5, 160. [Google Scholar] [CrossRef]
- Song, S.; Kotobuki, M.; Zheng, F.; Li, Q.; Xu, C.; Wang, Y.; Li, W.D.Z.; Hu, N.; Lu, L. A Composite Polymer Electrolyte for Safer Mg Batteries. J. Electrochem. Soc. 2017, 164, A741–A743. [Google Scholar] [CrossRef]
- Mishra, K.; Kanchan, D.K.; Gohel, K.; Sharma, P.; Kumar, D. Urea-assisted ion-transport behavior in magnesium ion conducting solid polymer electrolyte membranes intended for magnesium batteries. Chem. Pap. 2022, 76, 827–839. [Google Scholar] [CrossRef]
- Marinov, Y.G.; Koduru, H.K.; Exner, G.K.; Ivanov, G.R.; Scaramuzza, N. Peo/starch-nanocrystals based solid polymer electrolyte membranes for magnesium ion conducting applications. Compt. R. Acad. Bulg. Sci. 2023, 76, 689–697. [Google Scholar] [CrossRef]
- Sridevi, N.A.; Karuppasamy, K.; Vani, C.V.; Balakumar, S.; Sahaya Shajan, X. Characterization of nanochitosan incorporated solid polymer composite electrolytes for magnesium batteries. Adv. Mater. Res. 2013, 678, 316–320. [Google Scholar] [CrossRef]
- Li, Y.J.; Zhan, H.; Liu, S.Q.; Huang, K.L.; Zhou, Y.H. Nanosized Flame Retarded Hydroxide Magnesium/Poly(ethylene-oxide) Composite Polymer Electrolyte. Acta Phys. Chim. Sin. 2010, 26, 2387–2391. [Google Scholar]
- Zaky, M.M.; Eyssa, H.M.; Sadek, R.F. Improvement of the magnesium battery electrolyte properties through gamma irradiation of nano polymer electrolytes doped with magnesium oxide nanoparticles. J. Vinyl Addit. Technol. 2019, 25, 243–254. [Google Scholar] [CrossRef]
- Khalil, R.; Sheha, E.M.; Eid, A. Investigation of Electrical Properties, Structure and Morphological Characterization of Mg+2 Ions Conducting Solid Polymer Electrolyte Based on Poly(vinyl alcohol). J. Adv. Phys. 2017, 6, 102–107. [Google Scholar] [CrossRef]
- Sheha, E. Prototype system for magnesium/TiO2 anatase batteries. Int. J. Electrochem. Sci. 2013, 8, 3653–3663. [Google Scholar] [CrossRef]
- Gamal, R.; Sheha, E.; Shash, N.; El-Shaarawy, M.G. Preparation and characterization of Mg2+-ion conducting composite based on poly(vinyl alcohol) with various concentrations of Li2O. Mater. Express 2014, 4, 293–300. [Google Scholar] [CrossRef]
- Abdel-Samiea, B.M.; Gamal, R.; Sheha, E. All-solid-state polymer electrolyte with plastic crystal materials for rechargeable magnesium battery. In Nanotechnology 2012: Bio Sensors, Instruments, Medical, Environment And Energy; CRC Press: Boca Raton, FL, USA, 2012; Volume 3, pp. 533–536. [Google Scholar]
- Kanakaraj, T.M.; Bhajantri, R.F.; Chavan, C.; Cyriac, V.; Bulla, S.S.; Ismayil. Investigation on the structural and ion transport properties of magnesium salt doped HPMC-PVA based polymer blend for energy storage applications. J. Non-Cryst. Sol. 2023, 609, 122276. [Google Scholar]
- Mesallam, M.; Kamar, E.M.; Sharma, N.; Sheha, E. Synthesis and characterization of polyvinylidene fluoride/magnesium bromide polymer electrolyte for magnesium battery application. Phys. Scrip. 2020, 95, 115805. [Google Scholar] [CrossRef]
- Wu, N.; Wang, W.; Wei, Y.; Li, T. Studies on the Effect of Nano-Sized MgO in Magnesium-Ion Conducting Gel Polymer Electrolyte for Rechargeable Magnesium Batteries. Energies 2017, 10, 1215. [Google Scholar] [CrossRef]
- Deivanayagam, R.; Cheng, M.; Wang, M.; Vasudevan, V.; Foroozan, T.; Medhekar, N.V.; Shahbazian-Yassar, R. Composite Polymer Electrolyte for Highly Cyclable Room-Temperature Solid-State Magnesium Batteries. ACS Appl. Energy Mater. 2019, 2, 7980–7990. [Google Scholar] [CrossRef]
- Pandey, G.P.; Agrawal, R.C.; Hashmi, S.A. Magnesium ion-conducting gel polymer electrolytes dispersed with fumed silica for rechargeable magnesium battery application. J. Solid State Electr. 2011, 15, 2253–2264. [Google Scholar] [CrossRef]
- Ponmani, S.; Selvakumar, K.; Ramesh Prabhu, M. The effect of the geikeilite (MgTiO3) nanofiller concentration in PVdF-HFP/PVAc-based polymer blend electrolytes for magnesium ion battery. Ionics 2020, 26, 2353–2369. [Google Scholar] [CrossRef]
- Sharma, J.; Hashmi, S.A. Plastic crystal-incorporated magnesium ion conducting gel polymer electrolyte for battery application. Bull. Mater. Sci. 2018, 41, 147. [Google Scholar] [CrossRef]
- Modrow, H. X-Ray Methods for the Characterization of Nanoparticles. In Nanofabrication Towards Biomedical Applications; Kumar, C.S.S.R., Hormes, J., Leuschner, C., Eds.; Wiley: Weinheim, Germany, 2005; pp. 163–196. [Google Scholar]
- Pandey, G.P.; Agrawal, R.C.; Hashmi, S.A. Performance studies on composite gel polymer electrolytes for rechargeable magnesium battery application. J. Phys. Chem. Sol. 2011, 72, 1408–1413. [Google Scholar] [CrossRef]
- Choi, B.K.; Shin, K.H. Effects of SiC fillers on the electrical and mechanical properties of (PEO)16LiClO4 electrolytes. Solid State Ion. 1996, 86–88, 303–306. [Google Scholar] [CrossRef]
- Agrawal, R.C.; Sahu, D.K.; Mahipal, Y.K.; Ashrafi, R. Investigations on ion transport properties of hot-press cast magnesium ion conducting Nano-Composite Polymer Electrolyte (NCPE) films: Effect of filler particle dispersal on room temperature conductivity. Mater. Chem. Phys. 2013, 139, 410–415. [Google Scholar] [CrossRef]
- Hashmi, S.A.; Upadhayaya, H.M.; Thakur, A.K. Sodium ion conducting composite polymer electrolyte for battery applications. In Solid State Ionics—Materials and Devices; Chowdari, B.V.R., Wang, W., Eds.; World Scientific: Singapore, 2000; pp. 461–466. [Google Scholar]
- Pandey, G.P.; Hashmi, S.A.; Agrawal, R.C. Hot-press synthesized polyethylene oxide based proton conducting nanocomposite polymer electrolyte dispersed with SiO2 nanoparticles. Solid State Ion. 2008, 179, 543–549. [Google Scholar] [CrossRef]
- Maier, J. Ionic-conduction in-space charge regions. Prog. Solid State Chem. 1995, 23, 171–263. [Google Scholar] [CrossRef]
- Maier, J. Defect chemistry at interfaces. Solid State Ion. 1994, 70, 43–51. [Google Scholar] [CrossRef]
- Kumar, B. From colloidal to composite electrolytes: Properties, peculiarities, and possibilities. J. Power Sources 2004, 135, 215–231. [Google Scholar] [CrossRef]
- Kumar, B.; Nellutla, S.; Thokchom, J.S.; Chen, C. Ionic conduction through heterogeneous solids: Delineation of the blocking and space charge effects. J. Power Sources 2006, 160, 1329–1335. [Google Scholar] [CrossRef]
- Polu, A.R.; Kumar, R.; Kumar, K.V.; Jyothi, N.K. Effect of TiO2 Ceramic Filler on PEG-Based Composite Polymer Electrolytes for Magnesium Batteries. Solid State Phys. 2013, 1512, 996–997. [Google Scholar]
- Jayalakshmi, K.; Ismayil; Hegde, S.; Sanjeev, G.; Murari, M.S. Improving electrolyte performance: Nanocomposite solid polymer electrolyte films with cobalt oxide nanoparticles. Polym. Compos. 2024, 45, 137–150. [Google Scholar] [CrossRef]
- Polu, A.R.; Kumar, R. Preparation and characterization of PEG-Mg(CH3COO)2-CeO2 composite polymer electrolytes for battery application. Bull. Mater. Sci. 2014, 37, 309–314. [Google Scholar] [CrossRef]
- Polu, A.R.; Kumar, R.; Rhee, H.W. Effect of ceramic fillers on polyethylene glycol-based solid polymer electrolytes for solid-state magnesium batteries. High Perform. Polym. 2014, 26, 628–631. [Google Scholar] [CrossRef]
- Polu, A.R.; Kumar, R. Mg2+-ion conducting poly(ethylene glycol)-TiO2 composite polymer electrolytes for solid-state batteries. Mater. Express 2014, 4, 79–84. [Google Scholar] [CrossRef]
- Helen, P.A.; Ajith, K.; Diana, M.I.; Lakshmi, D.; Selvin, P.C. Chitosan based biopolymer electrolyte reinforced with V2O5 filler for magnesium batteries: An inclusive investigation. J. Mater. Sci. Mater. Electron. 2022, 33, 3925–3937. [Google Scholar] [CrossRef]
- Sun, Y.; Pan, M.; Wang, Y.; Hu, A.; Zhou, Q.; Zhang, D.; Zhang, S.; Zhao, Y.; Wang, Y.; Chen, S.; et al. A Facile Strategy for Constructing High-Performance Polymer Electrolytes via Anion Modification and Click Chemistry for Rechargeable Magnesium Batteries. Angew. Chem. Int. Ed. 2024, 63, e202406585. [Google Scholar] [CrossRef]
- Zain, N.F.; Zainal, N.; Mohamed, N.S. The Effects of MgO Nanofiller to the Physicochemical and Ionic Liquid Retention Properties of PEMA-MgTf2-EMITFSI Nanocomposite Polymer Electrolytes. Polym. Comp. 2018, 39, 1500–1506. [Google Scholar] [CrossRef]
- Wang, P.; Trueck, J.; Hacker, J.; Schlosser, A.; Kuester, K.; Starke, U.; Reinders, L.; Buchmeiser, M.R. A design concept for halogen-free Mg2+/Li+-dual salt-containing gel-polymer-electrolytes for rechargeable magnesium batteries. Energy Storage Mater. 2022, 49, 509–517. [Google Scholar] [CrossRef]
- Pandeeswari, J.; Jenisha, G.; Walle, K.Z.; Kotobuki, M. Recent Research Progress on All-Solid-State Mg Batteries. Batteries 2023, 9, 570. [Google Scholar] [CrossRef]
- Sun, Q.; Luo, S.; Huang, R.; Liu, Q.; Yan, S.; Lin, X. Insights on solid electrolytes for solid-state magnesium batteries: Progress and prospects. Energy Storage Mater. 2024, 70, 103508. [Google Scholar] [CrossRef]
- Zhang, Y.; Zhu, Q.; Su, C.; Li, C. Electrochemical behavior of Mg electrode in sodium salt electrolyte system. Front. Chem. 2022, 10, 992400. [Google Scholar] [CrossRef]
- Amdisen, M.B.; Jensen, T.R. Urea Calcium Borohydrides as Ca2+ Solid-State Electrolytes. Chem. Mater. 2025, 37, 1183–1194. [Google Scholar] [CrossRef]
- Xiong, W.; Xie, Q.; Zhang, H.; Alam, M.A.; Zhu, C.; Wang, L.; Xu, J. Development of flexible Zn/MnO2 secondary batteries using a fumed silica-doped hydrogel electrolyte. RSC Adv. 2024, 14, 37512–37520. [Google Scholar] [CrossRef] [PubMed]
- Wu, Y.; Holze, R. Electrochemical Energy Conversion and Storage; Wiley: Weinheim, Germany, 2022. [Google Scholar]
- Holze, R. Elektroenergie: Elektrochemisch Nutzen, Speichern und Wandeln; Walter de Gruyter: Berlin, Germany, 2025. [Google Scholar]
- Zhao, T.; Yu, J.; Xiao, P.; Nie, S.; Peng, S.; Chen, J.; Luo, F.; Janiak, C.; Chen, Y. Preparation of Hierarchical Porous ZIF-67 and Its Application in Zinc Battery Separator. Chemistry 2024, 6, 1363–1373. [Google Scholar] [CrossRef]
- Johari, N.A.; Kudin, T.I.T.; Ali, A.M.M.; Winie, T.; Yahya, M.Z.A. Studies on cellulose acetate-based gel polymer electrolytes for proton batteries. Mater. Res. Innov. 2009, 13, 232–234. [Google Scholar] [CrossRef]
- Hu, J.; Qu, Y.; Shi, F.; Wang, J.; He, X.; Liao, S.; Duan, L. Enhancing the Kinetics of Zinc Ion Deposition by Catalytic Ion in Polymer Electrolytes for Advanced Zn-MnO2 Batteries. Adv. Funct. Mater. 2022, 32, 2209463. [Google Scholar] [CrossRef]
- Shang, J.; Wang, Y.; Chen, S.; Zhang, J. Solvation structure regulation of zinc ions with nitrogen-heterocyclic additives for advanced batteries. Nanoscale 2024, 17, 2121–2129. [Google Scholar] [CrossRef]
- Prasanna, C.M.S.; Suthanthiraraj, S.A. Improved zinc ion transportation in gel polymer electrolyte upon the addition of nano-sized SnO2. Polym. Polym. Comp. 2020, 28, 54–65. [Google Scholar] [CrossRef]
- Murali, S.P.C.; Samuel, A.S. Zinc ion conducting blended polymer electrolytes based on room temperature ionic liquid and ceramic filler. J. Appl. Polym. Sci. 2019, 136, 47654. [Google Scholar] [CrossRef]
- Prasanna, C.M.S.; Suthanthiraraj, S.A. PVC/PEMA-based blended nanocomposite gel polymer electrolytes plasticized with room temperature ionic liquid and dispersed with nano-ZrO2 for zinc ion batteries. Polym. Comp. 2019, 40, 3402–3411. [Google Scholar] [CrossRef]
- Johnsi, M.; Austin, S. Suthanthiraraj Compositional effect of ZrO2 nanofillers on a PVDF-co-HFP based polymer electrolyte system for solid state zinc batteries. Chin. J. Polym. Sci. 2016, 34, 332–343. [Google Scholar] [CrossRef]
- Kumar, D.R.; Kanagaraj, I.; Sukanya, R.; Karthik, R.; Hasan, M.; Thalji, M.R.; Dhakal, G.; Milton, A.; Prakash, A.S.; Shim, J.J. Ti3C2Tx Filled in EMIMBF4 Semi-Solid Polymer Electrolytes for the Zinc-Metal Battery. ACS Appl. Mater. Interfaces 2024, 16, 33294–33306. [Google Scholar] [CrossRef]
- Kumar, D.; Franco, R.; Abdou, N.; Shu, R.; Martinelli, A.; Moyses Araujo, C.; Gladisch, J.; Gueskine, V.; Crispin, R.; Khan, Z. Water-in-Polymer Salt Electrolyte for Long-Life Rechargeable Aqueous Zinc-Lignin Battery. Energy Environ. Mater. 2025, 8, e12752. [Google Scholar] [CrossRef]
- Sun, B.; Zong, Y.; Bao, K.; Wang, M.; Wang, P.; Xu, H.; Jin, Y. Activating Gel Polymer Electrolyte Based Zinc-Ion Conduction with Filler-Integration for Advanced Zinc Batteries. ACS Appl. Mater. Interfaces 2023, 15, 37916–37924. [Google Scholar] [CrossRef]
- Karaman, E.S.; Wang, Z.; Chen, K.; Siddiqui, Z.; Cheng, Y.; Basuray, S.; Kumar, V.; Mitra, S. Functionalized carbon nanotube doped gel electrolytes with enhanced mechanical and electrical properties for battery applications. Mater. Chem. Phys. 2021, 264, 124448. [Google Scholar] [CrossRef]
- Li, J.X.; Li, C.X.; Ren, J.F.; Li, P.X.; Zhang, K.; Wu, T.T.; Wang, L. Synergistic effect of organic-inorganic hybrid electrolyte for ultra-long Zn-I2 batteries. Int. J. Hydrogen Energy 2023, 48, 21985–21995. [Google Scholar] [CrossRef]
- Ma, Z.; Zhang, Z.; Wang, H.; Ma, Z.; Yi, T.; Li, Y.; Yang, K.; Li, F.; Xue, B. Synergistic crosslinking effect of hydroxyethyl cellulose and montmorillonite on the improvement of mechanical and electrochemical properties of polyvinyl alcohol hydrogel. Mater. Today Chem. 2024, 37, 101996. [Google Scholar] [CrossRef]
- Zheng, Q.; Liu, L.; Hu, Z.; Tang, Z.; Lu, H.; Gao, Y.; Wang, J.; Song, Y.; Han, C.; Li, W. Altering the Zn2+ Migration Mechanism Enables the Composite Hydrogel Electrolytes with High Zn2+ Conduction and Superior Anti-Dehydration. Adv. Funct. Mater. 2025, 35, 2504782. [Google Scholar] [CrossRef]
- Ju, J.; Zhang, T.; Wang, H.; Liu, Y.; Zhang, Y.; Wang, Z.; Li, L.; Li, Y.; Kang, W. Nanofiber-reinforced composite hydrogel with flexibility and anti-freezing for high-performance zinc-ion batteries. Chem. Eng. J. 2025, 521, 166983. [Google Scholar] [CrossRef]
- Hu, W.; Zhang, Y.; Ju, J.; Wang, Y.; Zhang, Z.; Kang, W. Nanofiber-Reinforced Composite Gel Enabling High Ionic Conductivity and Ultralong Cycle Life for Zn Ion Batteries. Small 2024, 20, 2305140. [Google Scholar] [CrossRef]
- Du, Z.; Shen, S.; Su, X.; Zhuang, Y.; Chen, M.; Zhang, X.; Lin, Z.; Yu, L.; Zhou, P.; Wu, M.; et al. A Robust and Tough Composite Hydrogel Electrolyte with Anion-Locked Supramolecular Network for Zinc Ion Batteries. Adv. Mater. 2025, 37, 2502328. [Google Scholar] [CrossRef]
- Zhang, T.; Su, D.; Yu, J.; Zhang, Y.; Jiang, M.; Ju, J.; Sun, Y.; Kang, W. Construction of electrospun multistage ZnO@PMIA gel electrolytes for realizing high performance zinc-ion batteries. Electrochim. Acta 2024, 507, 145124. [Google Scholar] [CrossRef]
- Cao, M.; Wang, Y.; Zhang, Y.; Yu, M.; Zhao, Q.; Briscoe, J.; Lu, Y.; Yao, J. Tough and recyclable hydrogel electrolytes with continuous ion migration pathways for dendrite-free zinc-ion batteries under harsh conditions. J. Mater. Chem. 2025, 13, 13276–13285. [Google Scholar] [CrossRef]
- Li, T.; Liu, J.; Shu, H.; Sun, A.; Zhao, T.; Chen, Y.; Chen, Y. High-Performance Deep Eutectic/Ionic Liquid Gels for Zinc-Ion Battery and Flexible Sensor Applications in Extreme Environments. Adv. Funct. Mater. 2025, 35, e14358. [Google Scholar] [CrossRef]
- Loryuenyong, V.; Khamsawat, J.; Danwong, P.; Buasri, A.; Pattananuwat, P. Application of Coffee Silverskin Cellulose/Polyacrylamide Gel Polymer Electrolytes for Rechargeable Zinc-Ion Batteries. Sci 2024, 6, 50. [Google Scholar] [CrossRef]
- Wang, Q.; Wu, P.; Li, A.; Qiu, W.; Wu, J.; Cheng, M. Suppressing water reactivity and manipulating zinc ion deposition by a composite polyacrylamide/graphitic carbon nitride hydrogel electrolyte for durable aqueous zinc metal batteries. Electrochim. Acta 2025, 529, 146367. [Google Scholar] [CrossRef]
- Liu, Y.; Zhang, X.; Jia, C.; Xue, L.; Zhang, J.; Yang, C.; Liu, X.; Zhang, L. Graphene enhanced hydrogel electrolyte boost flexible zinc ion battery stability. Electrochim. Acta 2025, 538, 147009. [Google Scholar] [CrossRef]
- Ma, Z.; Li, Y.; Qu, Z.; Ma, Z.; Yang, K.; Li, F.; Xue, B. High-performance dickite strengthened double-crosslinked hydrogel electrolytes for aqueous zinc-ion batteries. Appl. Clay Sci. 2025, 266, 107691. [Google Scholar] [CrossRef]
- Ahmed, A.; Subchokpool, T.; Khampuanbut, A.; Hongrattanavichit, I.; Okhawilai, M.; Sukmas, W.; Pattananuwat, P. Enhancing high ionic conductivity of polyacryamide/hemp cellulose nanofibers for utilizing as quasi solid electrolyte composites in flexible rechargeable zinc-ion battery with high-safety. Mater. Today Sustain. 2025, 30, 101088. [Google Scholar] [CrossRef]
- Liu, Z.; Li, X.; Zhang, H.; Zhang, X.; Li, J.; Shi, Y.; Geng, D.; Li, Z.; Sha, D.; Yu, G.; et al. Coupling covalent organic framework with polyacrylamide to construct a robust composite hydrogel electrolyte for dendrite-free and long-lifespan aqueous zinc-ion batteries. Chem. Eng. J. 2025, 519, 164988. [Google Scholar] [CrossRef]
- Xu, S.; Shen, P.; Shen, Z.; Chen, R.; Zhang, D.; Zhao, Z.; Zhang, Y.; Li, D.; Xiong, Y.; Wang, X.; et al. Cathode-less zinc-manganese fiber batteries with reinforced-concrete structured composite hydrogel electrolytes. Chem. Eng. J. 2025, 504, 158509. [Google Scholar] [CrossRef]
- Zheng, Z.; Shi, W.; Zhou, X.; Zhang, X.; Guo, W.; Shi, X.; Xiong, Y.; Zhu, Y. Agar-based hydrogel polymer electrolyte for high-performance zinc-ion batteries at all climatic temperatures. iScience 2023, 26, 106437. [Google Scholar] [CrossRef]
- Yuan, J.; Li, Y.; Xu, P.; He, J.; Xu, H.; Zhang, W.; Zhu, J.; He, G.; Chen, H. Sodium dodecyl sulfonate-mediated gel electrolyte for horizontal zinc deposition in robust zinc-ion batteries. J. Mater. Sci. Technol. 2025, 230, 311–318. [Google Scholar] [CrossRef]
- Ling, W.; Mo, F.; Wang, J.; Liu, Q.; Liu, Y.; Yang, Q.; Qiu, Y.; Huang, Y. Self-healable hydrogel electrolyte for dendrite-free and self-healable zinc-based aqueous batteries. Mater. Today Phys. 2021, 20, 100458. [Google Scholar] [CrossRef]
- Zhang, Q.; Zhang, Y.; Ke, L.; Jiang, H.; Huang, Y.; Nie, Z.; Jin, S. Biocompatible hydrogel electrolyte with high ionic conductivity and transference number towards dendrite-free Zn anodes. J. Mater. Sci. Technol. 2025, 225, 40–48. [Google Scholar] [CrossRef]
- Bai, Q.; Meng, Q.; Liu, W.; Lin, W.; Yi, P.; Tang, J.; Zhang, G.; Cao, P.; Yang, J. Advanced electrolyte with high stability and low-temperature resistance for zinc-ion batteries. J. Mater. Chem. A 2023, 12, 277–285. [Google Scholar] [CrossRef]
- Zhang, B.; Cai, X.; Li, J.; Zhang, H.; Li, D.; Ge, H.; Liang, S.; Lu, B.; Zhao, J.; Zhou, J. Biocompatible and stable quasi-solid-state zinc-ion batteries for real-time responsive wireless wearable electronics. Energy Environ. Sci. 2024, 17, 3878–3887. [Google Scholar] [CrossRef]
- Chiaoprakobkij, N.; Okhawilai, M.; Kasemsiri, P.; Qin, J.; Uyama, H. Eco-friendly alginate-doped cotton pad as a separator for zinc-ion batteries. Cellulose 2023, 30, 6989–7001. [Google Scholar] [CrossRef]
- Ge, H.; Qin, L.; Zhang, B.; Jiang, L.; Tang, Y.; Lu, B.; Tian, S.; Zhou, J. An ionically cross-linked composite hydrogel electrolyte based on natural biomacromolecules for sustainable zinc-ion batteries. Nanoscale Horiz. 2024, 9, 1514–1521. [Google Scholar] [CrossRef]
- Li, X.; Wang, H.; Tian, Z.; Zhu, J.; Liu, Y.; Jia, L.; You, D.; Li, X.; Kang, L. A Quasi-gel SiO2/Sodium Alginate (SA) Composite Electrolyte for Long-life Zinc-manganese Aqueous Batteries. J. Inorg. Mater. 2020, 35, 909–915. [Google Scholar]
- Mi, H.; Tian, P.; Yuan, C.; Shi, F. Inorganic-polymer hydrogel electrolyte enabling aqueous Zn-ions batteries. Mater. Lett. 2023, 330, 133354. [Google Scholar] [CrossRef]
- Shin, K.H.; Ji, D.; Park, J.M.; Joe, Y.S.; Park, H.S.; Kim, J. Structural Composite Hydrogel Electrolytes for Flexible and Durable Zn Metal Batteries. Adv. Funct. Mater. 2024, 34, 2309048. [Google Scholar] [CrossRef]
- Zhong, X.; Tian, P.; Chen, C.; Meng, X.; Mi, H.; Shi, F. Preparation and interface stability of alginate-based gel polymer electrolyte for rechargeable aqueous zinc ion batteries. J. Electroanal. Chem. 2022, 927, 116968. [Google Scholar] [CrossRef]
- Zhang, B.; Qin, L.; Fang, Y.; Chai, Y.; Xie, X.; Lu, B.; Liang, S.; Zhou, J. Tuning Zn2+ coordination tunnel by hierarchical gel electrolyte for dendrite-free zinc anode. Sci. Bull. 2022, 67, 955–962. [Google Scholar] [CrossRef]
- Ng, L.S.; Mohamad, A.A. Effect of temperature on the performance of proton batteries based on chitosan-NH4NO3-EC membrane. J. Membr. Sci. 2008, 325, 653–657. [Google Scholar] [CrossRef]
- Xu, J.; Wang, M.; Alam, M.A.; Muhammad, G.; Lv, Y.; Zhu, C.; Zhang, H.; Xiong, W. Fabricating a Gel Electrolyte Based on Lignin-Coated Nanosilica to Enhance the Reversibility of Zinc Anodes for Rechargeable Aqueous Zn/MnO2 Batteries. ACS Sustain. Chem. Eng. 2022, 10, 2063–2071. [Google Scholar] [CrossRef]
- Dueramae, I.; Okhawilai, M.; Kasemsiri, P.; Uyama, H.; Kita, R. Effect of Ti3AlC2 MAX phase on electrochemical performance of thermo-responsive copolymer electrolyte for solid state zinc-ion battery. Mater. Sci. Energy Technol. 2024, 7, 237–248. [Google Scholar] [CrossRef]
- Yang, Y.; Shi, L.; Wu, Y.; Chen, Z.; Zhu, X.; Du, L.; Wang, Y. High voltage, toughness and improved interfacial ion deposition through a dual-crosslinked and self-healable hydrogel electrolyte for green zinc-ion batteries. Chem. Eng. J. 2024, 484, 149780. [Google Scholar] [CrossRef]
- Xie, Q.; Zhang, H.; Wang, L.; Dong, R.; Xie, W.; Alam, M.A.; Xu, J.; Xiong, W. Gelatin/γ-polyglutamic acid composite hydrogel electrolytes for high-performance aqueous zinc-ion batteries. J. Colloid Interface Sci. 2025, 697, 137989. [Google Scholar] [CrossRef] [PubMed]
- Bansod, S.M.; Bhoga, S.S.; Singh, K.; Tiwari, R.U. The role of electrolyte in governing the performance of protonic solid state battery. Ionics 2007, 13, 329–332. [Google Scholar] [CrossRef]
- Ogawa, S.; Takazawa, Y.; Harada, H.; Nogami, M. The Development of the Organic/Inorganic Composite Separator for Use in Secondary Zinc Batteries. Electrochemistry 2022, 90, 017001. [Google Scholar] [CrossRef]
- Irani, M.; Ismail, H.; Ahmad, Z. Linear low-density polyethylene-g-poly(acrylic acid)/(organo-montmorillonite) hydrogel composite as hydrogel electrolytes for zinc-carbon batteries. J. Vinyl Addit. Technol. 2016, 22, 279–284. [Google Scholar] [CrossRef]
- Sungoradee, T.; Srikulkit, K. Bacterial Cellulose/Polyelectrolyte Complex Hydrogel Separator with Thermal and Dimensional Stabilities for Dendrite Suppression in Zinc Ion Battery. ACS Omega 2024, 9, 47088–47096. [Google Scholar] [CrossRef] [PubMed]
- Ahn, D.B.; Kim, W.Y.; Lee, K.H.; Lee, S.S.; Kim, S.H.; Park, S.; Hong, Y.K.; Lee, S.Y. Enabling On-Demand Conformal Zn-Ion Batteries on Non-Developable Surfaces. Adv. Funct. Mater. 2023, 33, 2211597. [Google Scholar] [CrossRef]
- Yang, L.; Shen, Y.; Long, X.; Ma, Q.; Ruan, Z.; Xu, N.; Li, K.; Jiao, L.; Kong, Y.; Li, J.; et al. Engineering an ion-pumping solid electrolyte interphase for ultra-stable aqueous zinc-ion batteries under deep discharge conditions. Energy Environ. Sci. 2025, 18, 8667–8678. [Google Scholar] [CrossRef]
- Huang, M.; Yuan, X.; Gan, J.; Ji, F.; Wang, F.; Pan, M.; Huang, W.; Li, L.; Huang, P. Effect of Electrolyte Additives on the Performance of Zinc Ion Batteries. Int. J. Electrochem. Sci. 2022, 17, 221250. [Google Scholar] [CrossRef]
- Deng, Q.; Zhou, W.; Wang, H.; Ma, Q.; Li, C.; Wu, X.; Wu, Y. Design of a polymer electrolyte membrane for enhanced zinc anode stability in reversible aqueous zinc-ion batteries. Energy Mater. 2025, 5, 500103. [Google Scholar] [CrossRef]
- Dong, H.; Li, J.; Zhao, S.; Zhao, F.; Xiong, S.; Brett, D.J.L.; He, G.; Parkin, I.P. An anti-aging polymer electrolyte for flexible rechargeable zinc-ion batteries. J. Mater. Chem. A 2020, 8, 22637–22644. [Google Scholar] [CrossRef]
- Nguyen, N.; Doan, T.N.L.; Hoang, T.K.A.; Zhao, H.; Chen, P. Effect of fumed silica concentration and separator type on the electrochemical performance of gel electrolyte in the rechargeable hybrid aqueous battery. Mater. Today Energy 2018, 8, 73–79. [Google Scholar] [CrossRef]
- Rase, D.; Illathvalappil, R.; Singh, H.D.; Shekhar, P.; Leo, L.S.; Chakraborty, D.; Haldar, S.; Shelke, A.; Ajithkumar, T.G.; Vaidhyanathan, R. Hydroxide ion-conducting viologen-bakelite organic frameworks for flexible solid-state zinc-air battery applications. Nanoscale Horiz. 2023, 8, 224–234. [Google Scholar] [CrossRef]
- Kurian, M.; Vijayakumar, V.; Manna, N.; Kanheerampockil, F.; Bhat, S.; Kurungot, S. Electrode|electrolyte interface enhancement in quasi-solid-state zinc-air batteries through an anion conducting polymer electrolyte interlayer by in situ polymerization. J. Mater. Chem. A 2023, 11, 14776–14787. [Google Scholar] [CrossRef]
- Liu, W.; Zhao, X.; Ye, X.; Zheng, X.; Zhang, Y.; Wang, M.; Lin, X.; Liu, B.; Han, L.; Ning, Y.; et al. Graphene Oxide Nanoribbon-Based Composite Gel Polymer Electrolytes: Enhancing Mechanical Strength and Ionic Conductivity for Long Cycling Lifetime of Flexible Zinc-Air Batteries. Energy Fuels 2024, 38, 6508–6517. [Google Scholar] [CrossRef]
- Zhong, C.; Song, Z.; Liu, X.; Ding, J.; Liu, J.; Han, X.; Deng, Y.; Hu, W. Poly(acrylic acid)-Based Composite Gel Polymer Electrolytes with High Mechanical Strength and Ionic Conductivity toward Flexible Zinc-Air Batteries with Long Cycling Lifetime. ACS Appl. Mater. Interfaces 2022, 14, 49801–49810. [Google Scholar]
- Qu, S.; Liu, J.; Han, X.; Deng, Y.; Zhong, C.; Hu, W. Dynamic stretching-electroplating metal-coated textile for a flexible and stretchable zinc-air battery. Carbon Energy 2022, 4, 867–877. [Google Scholar] [CrossRef]
- Qu, X.; Xu, N.; Zhao, L.; Xu, Z. High-performance flexible zinc-air batteries enabled by carboxymethyl cellulose/graphene oxide composite hydrogel electrolytes. New J. Chem. 2025, 49, 7376–7383. [Google Scholar] [CrossRef]
- Garcia-Gaitan, E.; Frattini, D.; Ruiz de Larramendi, I.; Martinez-Ibanez, M.; Gonzalez, D.; Armand, M.; Ortiz-Vitoriano, N. Flexible Gel Polymer Electrolytes Based on Carboxymethyl Cellulose Blended with Polyvinyl Alcohol or Polyacrylic Acid for Zinc-Air Batteries. Batter. Supercaps 2023, 6, e202200570. [Google Scholar] [CrossRef]
- Qu, X.; Zhou, B.; Xu, N.; Zhao, L.; Xu, Z. CNF-reinforced ternary hydrogel electrolyte for flexible houralkaline-neutral zinc-air batteries. Polymer 2025, 336, 128919. [Google Scholar] [CrossRef]
- Kim, K.W.; Kim, H.; Choi, J.; Choi, S.J.; Yoon, K.R. Internally connected porous PVA/PAA membrane with cross-aligned nanofiber network for facile and long-lasting ion transport in zinc-air batteries. Energy Storage Mater. 2024, 71, 103594. [Google Scholar] [CrossRef]
- Fan, X.; Liu, J.; Song, Z.; Han, X.; Deng, Y.; Zhong, C.; Hu, W. Porous nanocomposite gel polymer electrolyte with high ionic conductivity and superior electrolyte retention capability for long-cycle-life flexible zinc-air batteries. Nano Energy 2019, 56, 454–462. [Google Scholar] [CrossRef]
- Suppanucroa, N.; Yoopensuk, W.; Pimoei, J.; Thanapong-A-Morn, W.; Kao-Ian, W.; Pakawanit, P.; Mahlendorf, F.; Kheawhom, S.; Somwangthanaroj, A. Enhanced long-term stability of zinc-air batteries using a quaternized PVA-chitosan composite separator with thin-layered MoS2. Electrochim. Acta 2025, 510, 145361. [Google Scholar] [CrossRef]
- Li, Z.; Li, X.; Jiang, Y.; Ding, Q.; Han, W. Nanocellulose composite gel with high ionic conductivity and long service life for flexible zinc-air battery. Polym. Test. 2021, 104, 107380. [Google Scholar] [CrossRef]
- Lee, H.J.; Lim, J.M.; Kim, H.W.; Jeong, S.H.; Eom, S.W.; Hong, Y.T.; Lee, S.Y. Electrospun polyetherimide nanofiber mat-reinforced, permselective polyvinyl alcohol composite separator membranes: A membrane-driven step closer toward rechargeable zinc-air batteries. J. Membr. Sci. 2016, 499, 526–537. [Google Scholar] [CrossRef]
- Chen, Z.; Li, W.; Yang, X.; Ke, C.; Chen, H.; Li, Q.; Guo, J.; He, Y.; Guo, Z.; Liang, X. Gel polymer electrolyte with MXene to extend cycle lifespan of flexible and rechargeable Zinc-Air batteries. J. Power Sources 2022, 523, 231020. [Google Scholar] [CrossRef]
- Wang, Y.; Long, J.; Hu, J.; Sun, Z.; Meng, L. Polyvinyl alcohol/Lyocell dual-layer paper-based separator for primary zinc-air batteries. J. Power Sources 2020, 453, 227853. [Google Scholar] [CrossRef]
- Wang, X.; Liu, M.; Chen, D.; Sha, P.; Yong, X.; Liu, K.; Pang, B.; Zhang, Q.; Yu, J.; Yu, L.; et al. High-performance flexible zinc-air batteries with layered Zn/C3N4-carbon nanotube/polyvinyl alcohol-epoxy resin composite: In-situ crosslinking and electrode-electrolyte integration. J. Power Sources 2025, 625, 235606. [Google Scholar] [CrossRef]
- Zhao, N.; Wu, F.; Xing, Y.; Qu, W.; Chen, N.; Shang, Y.; Yan, M.; Li, Y.; Li, L.; Chen, R. Flexible Hydrogel Electrolyte with Superior Mechanical Properties Based on Poly(vinyl alcohol) and Bacterial Cellulose for the Solid-State Zinc-Air Batteries. ACS Appl. Mater. Interfaces 2019, 11, 15537–15542. [Google Scholar] [CrossRef] [PubMed]
- Ren, M.; Xiao, S.; Yu, B.; Wu, W.; Liu, B.; Wu, L. Dual-Modified Thermoset Polyurethane Particles as Active Organic Additives in Electrolytes for High-Performance Flexible Zinc-Air Batteries. ACS Appl. Mater. Interfaces 2025, 7, 6010–6020. [Google Scholar]
- Wu, M.; Huang, N.; Lv, M.; Wang, F.; Ma, F.; Deng, Y.; Sun, P.; Zheng, Y.; Liu, W.; Ye, L. Organic-inorganic hybrid hydrogel electrolyte for high-performance quasi-solid-state zinc-air batteries. Front. Chem. Sci. Eng. 2025, 19, 15. [Google Scholar]
- Coello-Mauleon, C.; Arredondo-Espinola, A.; Alvarez-Contreras, L.; Guerra-Balcazar, M.; Arjona, N. Gel polymer electrolytes containing SiO2 spheres with tuned sizes to increase rechargeability of quasi-solid-state Zn-air batteries. Electrochim. Acta 2024, 508, 145265. [Google Scholar] [CrossRef]
- Li, W.; Wang, Y.; Liu, R.; Chen, W.; Zhang, H.; Zhang, Z. Gel Polymer-Based Composite Solid-State Electrolyte for Long-Cycle-Life Rechargeable Zinc-Air Batteries. ACS Sustain. Chem. Eng. 2023, 11, 3732–3739. [Google Scholar] [CrossRef]
- Liu, W.; Zhang, Y.; Zheng, X.; Wang, M.; Ye, X.; Liu, B.; Han, L.; Ning, Y.; Lu, Y.; Zhang, S.; et al. High-Performance Flexible Zinc-Air Batteries Enabled by a Sodium Polyacrylate-Based Gel Electrolyte Containing Graphene Oxide and Cellulose Nanofibers. Energy Fuels 2023, 37, 16097–16104. [Google Scholar] [CrossRef]
- Chen, S.; Zhong, J.; Zhang, Y.; Zeng, Z.; Fang, X.; Yuan, D. Efficient electrocatalysts for zinc-air batteries featuring CoFe/CoFe2O4 heterojunctions in a nitrogen-doped carbon framework. Int. J. Hydrogen Energy 2025, 159, 150580. [Google Scholar]
- Liu, Y.; Bildan, D.; Zhuge, X.; Liu, T.; Zhong, H.; Luo, Z.; Lei, H.; Luo, K.; Ren, Y.; Bayati, M.; et al. Composite Gel Polymer Electrolyte for High-Performance Flexible Zinc-Air Batteries. Small 2025, 21, 202408015. [Google Scholar]
- Qiu, K.; Wang, F.; Liao, M.; Zhu, K.; Chen, J.; Zhang, W.; Xia, Y.; Dong, X.; Wang, F. A Fumed SiO2-based Composite Hydrogel Polymer Electrolyte for Near-Neutral Zinc-Air Batteries. Acta Phys. Chim. Sin. 2024, 40, 2304036. [Google Scholar] [CrossRef]
- Qu, X.; Liu, G.; Xu, N.; Zhao, L.; Xu, Z. Study on the enhancement of flexible zinc-air battery performance with polyethylene glycol and nano SiO2 composite hydrogel. J. Electroanal. Chem. 2024, 974, 118721. [Google Scholar] [CrossRef]
- Yang, C.C.; Lin, S.J. Alkaline composite PEO-PVA-glass-fibre-mat polymer electrolyte for Zn-air battery. J. Power Sources 2002, 112, 497–503. [Google Scholar] [CrossRef]
- Wu, G.M.; Lin, S.J.; Yang, C.C. High performance composite solid polymer electrolyte systems for electrochemical cells. J. Power Sources 2013, 244, 287–293. [Google Scholar] [CrossRef]
- Nanthapong, S.; Kheawhom, S.; Klaysom, C. MCM-41/PVA Composite as a Separator for Zinc-Air Batteries. Int. J. Mol. Sci. 2020, 21, 7052. [Google Scholar] [CrossRef]
- Fan, X.; Wang, H.; Liu, X.; Liu, J.; Zhao, N.; Zhong, C.; Hu, W.; Lu, J. Functionalized Nanocomposite Gel Polymer Electrolyte with Strong Alkaline-Tolerance and High Zinc Anode Stability for Ultralong-Life Flexible Zinc-Air Batteries. Adv. Mater. 2023, 35, 2209290. [Google Scholar] [CrossRef] [PubMed]
- Qu, X.; Xu, N.; Zhao, L.; Xu, Z. Hyaluronic acid-reinforced PAM/CMC/HA ternary composite hydrogel electrolyte and its application in flexible zinc-air batteries. J. Alloys Compds. 2025, 1036, 181802. [Google Scholar] [CrossRef]
- Wang, J.; Huang, Y.; Liu, B.; Li, Z.; Zhang, J.; Yang, G.; Hiralal, P.; Jin, S.; Zhou, H. Flexible and anti-freezing zinc-ion batteries using a guar-gum/sodium-alginate/ethylene-glycol hydrogel electrolyte. Energy Storage Mater. 2021, 41, 599–605. [Google Scholar] [CrossRef]
- Zhao, H.; Wang, L.; Dargusch, M. Mechanisms of Anode Interfacial Phenomena and Multi-perspective Optimization in Aqueous Alkaline Zinc-Air Batteries. Adv. Funct. Mater. 2025, 35, 201510263. [Google Scholar] [CrossRef]
- Tsehaye, M.T.; Alloin, F.; Iojoiu, C. Prospects for Anion-Exchange Membranes in Alkali Metal-Air Batteries. Energies 2019, 12, 4702. [Google Scholar] [CrossRef]
- Liu, X.; Zhou, L. Multifunctional composite electrolytes for mechanically-robust and high energy density carbon fiber structural batteries. Chem. Eng. J. 2024, 497, 154786. [Google Scholar] [CrossRef]
- Wang, M.; Emre, A.; Tung, S.; Gerber, A.; Wang, D.; Huang, Y.; Cecen, V.; Kotov, N.A. Biomimetic Solid-State Zn2+ Electrolyte for Corrugated Structural Batteries. ACS Nano 2019, 13, 1107–1115. [Google Scholar] [CrossRef]
- Liu, X.; Han, Q.; Wang, J.; Shi, M.; Liu, C. Tree root-inspired structural electrolyte for laminated carbon fiber reinforced composites with high energy density and mechanically-robust properties. Chem. Eng. J. 2022, 449, 137828. [Google Scholar] [CrossRef]
- Yu, W.; Zhao, G.; Wang, Z.; Tang, J.; Wang, S.; Qiang, J.; Cui, Y.; Chen, Y.; Zhang, L.; Deng, L.; et al. A zinc-ion battery based machinable structure energy storage material with a high specific energy and good environmental adaptability. Nano Energy 2025, 142, 111210. [Google Scholar] [CrossRef]
- Wang, M.; Vecchio, D.; Wang, C.; Emre, A.; Xiao, X.; Jiang, Z.; Bogdan, P.; Huang, Y.; Kotov, N.A. Biomorphic structural batteries for robotics. Sci. Robot. 2020, 5, eaba1912. [Google Scholar] [CrossRef]
- Li, L.; Liu, L.; Qing, Y.; Zhang, Z.; Yan, N.; Wu, Y.; Tian, C. Stretchable alkaline poly(acrylic acid) electrolyte with high ionic conductivity enhanced by cellulose nanofibrils. Electrochim. Acta 2018, 270, 302–309. [Google Scholar] [CrossRef]
- Huang, P.Y.; Hung, F.Y.; Huang, B.C. Preliminary study of novel all-solid-state tin-graphite battery based on composite solid electrolyte. Energy Storage 2024, 6, e603. [Google Scholar] [CrossRef]
- Cui, H.; Gao, X.; Guo, K.; Liu, W.; Ouyang, B.; Yi, W. Lewis Acid-Base Synergistically Enhancing Practical Composite Electrolyte for Fluoride-ion Batteries at Room Temperature. Adv. Sci. 2025, 12, 2502824. [Google Scholar] [CrossRef] [PubMed]
- Gurulakshmi, S.; Madeswaran, S.; Karthikeyan, S.; Porchezhiyan, V. Studies on composite PVA-Ca-NH4CF3SO3-Al2O3 polymer electrolyte for electrochemical devices. Asian J. Chem. 2019, 31, 1181–1188. [Google Scholar] [CrossRef]
- Agrawal, R.C.; Gupta, R.K. Transport property and battery discharge characteristic studies on 1-x(0.75Agl:0.25AgCl): xAl2O3 composite electrolyte system. J. Mater. Sci. 1995, 30, 3612–3618. [Google Scholar] [CrossRef]
- Agrawal, R.C.; Gupta, R.K.; Sinha, C.K.; Kumar, R.; Pandey, G.P. Transport properties and battery discharge characteristics of the Ag+ ion conducting composite electrolyte system (1-x)[0.75AgI: 0.25AgCl]: xFe2O3. Ionics 2004, 10, 113–117. [Google Scholar] [CrossRef]
- Kumari, P.; Mohapatra, S.; Halder, S.; Mogurampelly, S. Viscosity of Pectin-[BMIM][PF6] electrolytes and the interplay of ion-ion interactions. J. Mol. Liqu. 2024, 397, 124159. [Google Scholar] [CrossRef]
- Hadjichristov, G.B.; Marinov, Y.G.; Petrov, A.G.; Koduru, H.K.; Scaramuzza, N. Ion electrolytic flexible composite from poly(ethylene oxide) and E8 nematic liquid crystals. AIP Conf. Proc. 2019, 2075, 160005. [Google Scholar] [CrossRef]
- Koduru, H.K.; Marinov, Y.G.; Hadjichristov, G.B.; Petrov, A.G.; Godbert, N.; Scaramuzza, N. Polyethylene oxide (PEO)—Liquid crystal (E8) composite electrolyte membranes: Microstructural, electrical conductivity and dielectric studies. J. Non-Cryst. Sol. 2018, 499, 107–116. [Google Scholar] [CrossRef]
- Koduru, H.K.; Marinov, Y.G.; Hadjichristov, G.B.; Scaramuzza, N. Characterization of polymer/liquid crystal composite based electrolyte membranes for sodium ion battery applications. Solid State Ion. 2019, 335, 86–96. [Google Scholar] [CrossRef]
- Kim, J.N.; Park, J.W. Characteristics of polymer composite electrolyte for MEMS power system. Mater. Sci. Forum 2005, 486–487, 566–569. [Google Scholar] [CrossRef]
- Ragab, H.M. Enhancement in optical, thermal and electrical properties of Polyvinyl pyrrolidone/polyethylene oxide matrix-based nanocomposites for advanced flexible optoelectronic technologies considering nanoceramic zinc oxide/titanium dioxide filler. J. Mol. Struct. 2023, 1275, 134663. [Google Scholar] [CrossRef]
- Austin Suthanthiraraj, S.; Kumara Vadivel, M. Electrical and structural studies on (PEO)50-AgCF3SO3:SnO2 nanocomposite gel polymer electrolyte materials. Trans. Ind. Inst. Met. 2011, 64, 149–153. [Google Scholar] [CrossRef]
- la Monaca, A.; Girard, G.; Savoie, S.; Bertoni, G.; Krachkovskiy, S.; Vijh, A.; Pierini, F.; Rosei, F.; Paolella, A. Synthesis of electrospun NASICON Li1.5Al0.5Ge1.5(PO4)3 solid electrolyte nanofibers by control of germanium hydrolysis. J. Electrochem. Soc. 2021, 168, 110512. [Google Scholar] [CrossRef]
- Johari, N.S.M.; Jonderian, A.; Jia, S.P.; Cozea, V.; Yao, E.L.S.; Adnan, S.B.R.S.; Ahmad, N.; McCalla, E. High-throughput development of Na2ZnSiO4-based hybrid electrolytes for sodium-ion batteries. J. Power Sources 2022, 541, 231706. [Google Scholar] [CrossRef]
- Tominaga, Y.; Asai, S.; Sumita, M.; Panero, S.; Scrosati, B. Fast ionic conduction in PEO-based composite electrolyte filled with ionic liquid-modified mesoporous silica. Electrochem. Solid-State Lett. 2005, 8, A22–A25. [Google Scholar] [CrossRef]
- Lalia, B.S.; Yamada, K.; Hundal, M.S.; Park, J.S.; Park, G.G.; Lee, W.Y.; Kim, C.S.; Sekhon, S.S. Physicochemical studies of PVdF-HFP-based polymer-ionic liquid composite electrolytes. Appl. Phys. A 2009, 96, 661–670. [Google Scholar] [CrossRef]
- Kozdra, M.; Brandell, D.; Araujo, C.M.; Mace, A. The sensitive aspects of modelling polymer-ceramic composite solid-state electrolytes using molecular dynamics simulations. Phys. Chem. Chem. Phys. 2024, 26, 6216–6227. [Google Scholar] [CrossRef] [PubMed]
- Kalnaus, S.; Sabau, A.S.; Newman, S.; Tenhaeff, W.E.; Daniel, C.; Dudney, N.J. Effective conductivity of particulate polymer composite electrolytes using random resistor network method. Solid State Ion. 2011, 199–200, 44–53. [Google Scholar] [CrossRef]
- Islam, M.D.; Liu, S.; Choi, D.; Guo, Z.; Ryu, J.E. Physics-based Computational Method Predicting the Dielectric Properties of Polymer Nanocomposites. Appl. Compos. Mater. 2022, 29, 1579–1595. [Google Scholar] [CrossRef]
- Khodabandehloo, N.; Mozaffari, K.; Liu, L.; Sharma, P. Micro-Structural Design of Soft Solid Composite Electrolytes with Enhanced Ionic Conductivity. J. Appl. Mech. 2022, 89, 051004. [Google Scholar] [CrossRef]
- Offia-Kalu, N.E.; Nwanonenyi, S.C.; Abdulhakeem, B.; Dzade, N.Y.; Onwalu, P.A. Theoretical investigation of electronic, energetic, and mechanical properties of polyvinyl alcohol/cellulose composite hydrogel electrolyte. J. Mol. Graph. Modell. 2024, 127, 108667. [Google Scholar] [CrossRef]
- Brechtl, J.; Ullman, A.M.; Li, K.; Yang, G.; Nanda, J.; Nawaz, K.; Sacci, R.L. Phase change electrolytes for combined electrochemical and thermal energy storage. Energy Rep. 2024, 11, 3931–3940. [Google Scholar] [CrossRef]
- Hibino, T.; Kobayashi, K.; Nagao, M.; Yamamoto, Y. Design of a rechargeable fuel-cell battery with enhanced performance and cyclability. J. Electrochem. Soc. 2016, 163, A1420–A1428. [Google Scholar] [CrossRef]
- Han, D.; Shanmugam, S. Active material crossover suppression with bi-ionic transportability by an amphoteric membrane for Zinc-Bromine redox flow battery. J. Power Sources 2022, 540, 231637. [Google Scholar] [CrossRef]
- Chola, N.M.; Bavdane, P.P.; Nagarale, R.K. “SPEEK-COF” Composite Cation Exchange Membrane for Zn-I2 Redox Flow Battery. J. Electrochem. Soc. 2022, 169, 100542. [Google Scholar] [CrossRef]
- Ge, Y.; Holze, R. All-Liquid Metal Battery. Encyclopedia 2022, 2, 1859–1865. [Google Scholar] [CrossRef]
- Zhu, L.; Virkar, A.V. Conversion Kinetics and Ionic Conductivity in Na-β″-Alumina + YSZ (Naβ″AY) Sodium Solid Electrolyte via Vapor Phase Conversion Process. Membranes 2022, 12, 567. [Google Scholar] [CrossRef]
- Wen, Z.; Gu, Z.; Xu, X.; Cao, J.; Zhang, F.; Lin, Z. Research activities in Shanghai Institute of Ceramics, Chinese Academy of Sciences on the solid electrolytes for sodium sulfur batteries. J. Power Sources 2008, 184, 641–645. [Google Scholar] [CrossRef]
- Mali, A.; Petric, A. Fabrication of a thin walled β″-alumina electrolyte cells. J. Power Sources 2011, 196, 5191–5196. [Google Scholar] [CrossRef]
- Jo, S.H.; Muralidharan, P.; Kim, D.K. Electrical properties of gadolinium-doped Ceria/Magnesia (CGO/MgO) composite electrolytes. Korean J. Mater. Res. 2008, 18, 470–474. [Google Scholar]
- You, H.; Chen, G.; Liu, R.; Zhou, Y.; Abuliti, A.; Ding, X. Preparation and electrochemical properties of NiO-CGO anode support solid oxide fuel cell with ScSZ/CGO composite electrolyte. J. Chin. Ceram. Soc. 2009, 37, 1306–1310. [Google Scholar]


























Disclaimer/Publisher’s Note: The statements, opinions and data contained in all publications are solely those of the individual author(s) and contributor(s) and not of MDPI and/or the editor(s). MDPI and/or the editor(s) disclaim responsibility for any injury to people or property resulting from any ideas, methods, instructions or products referred to in the content. |
© 2025 by the authors. Licensee MDPI, Basel, Switzerland. This article is an open access article distributed under the terms and conditions of the Creative Commons Attribution (CC BY) license (https://creativecommons.org/licenses/by/4.0/).
Share and Cite
Qu, Q.; Liu, L.; Fu, L.; Chen, X.; Wu, Y.; Holze, R. Composite Electrolytes for Non-Lithium-Ion Batteries. Polymers 2025, 17, 3084. https://doi.org/10.3390/polym17223084
Qu Q, Liu L, Fu L, Chen X, Wu Y, Holze R. Composite Electrolytes for Non-Lithium-Ion Batteries. Polymers. 2025; 17(22):3084. https://doi.org/10.3390/polym17223084
Chicago/Turabian StyleQu, Qunting, Lili Liu, Lijun Fu, Xuecheng Chen, Yuping Wu, and Rudolf Holze. 2025. "Composite Electrolytes for Non-Lithium-Ion Batteries" Polymers 17, no. 22: 3084. https://doi.org/10.3390/polym17223084
APA StyleQu, Q., Liu, L., Fu, L., Chen, X., Wu, Y., & Holze, R. (2025). Composite Electrolytes for Non-Lithium-Ion Batteries. Polymers, 17(22), 3084. https://doi.org/10.3390/polym17223084

