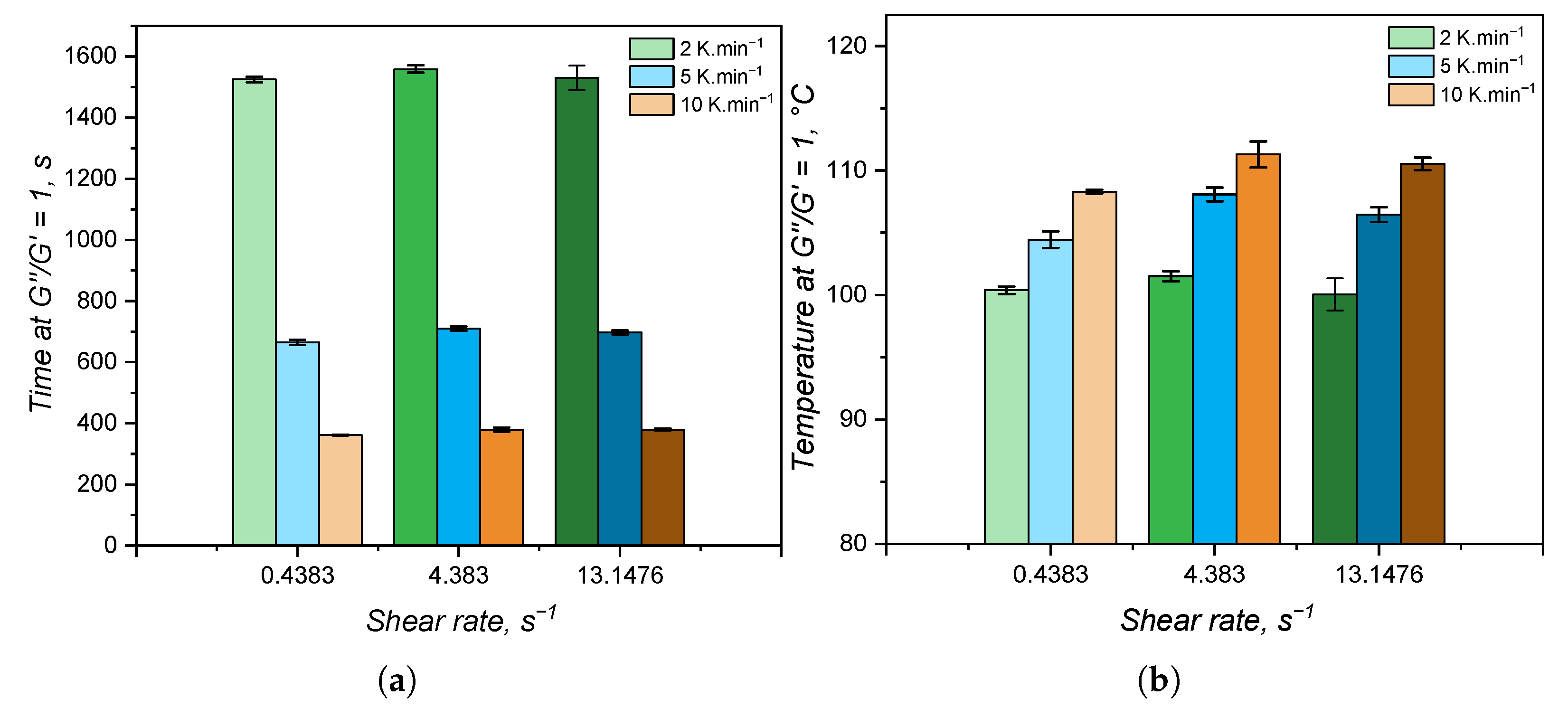
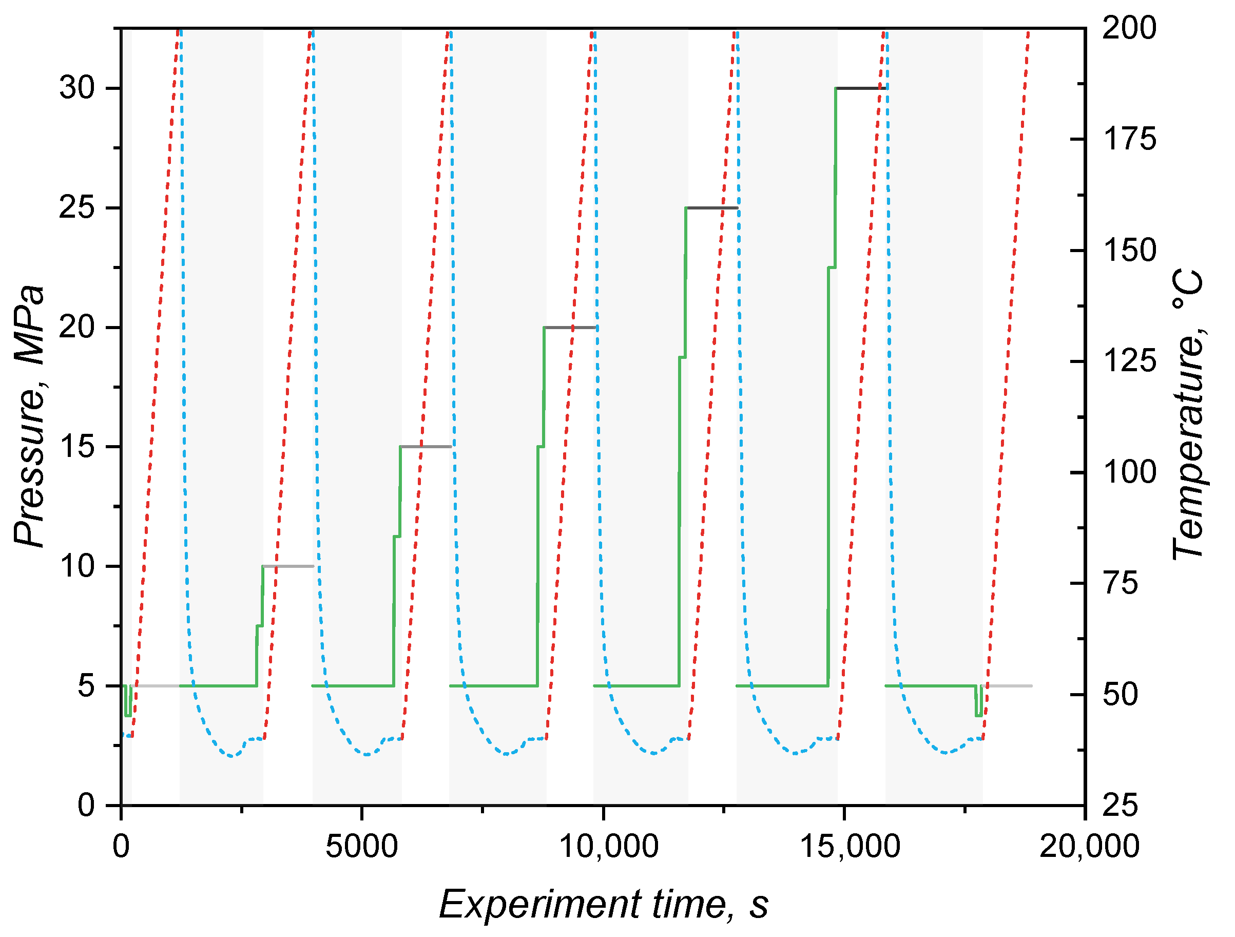
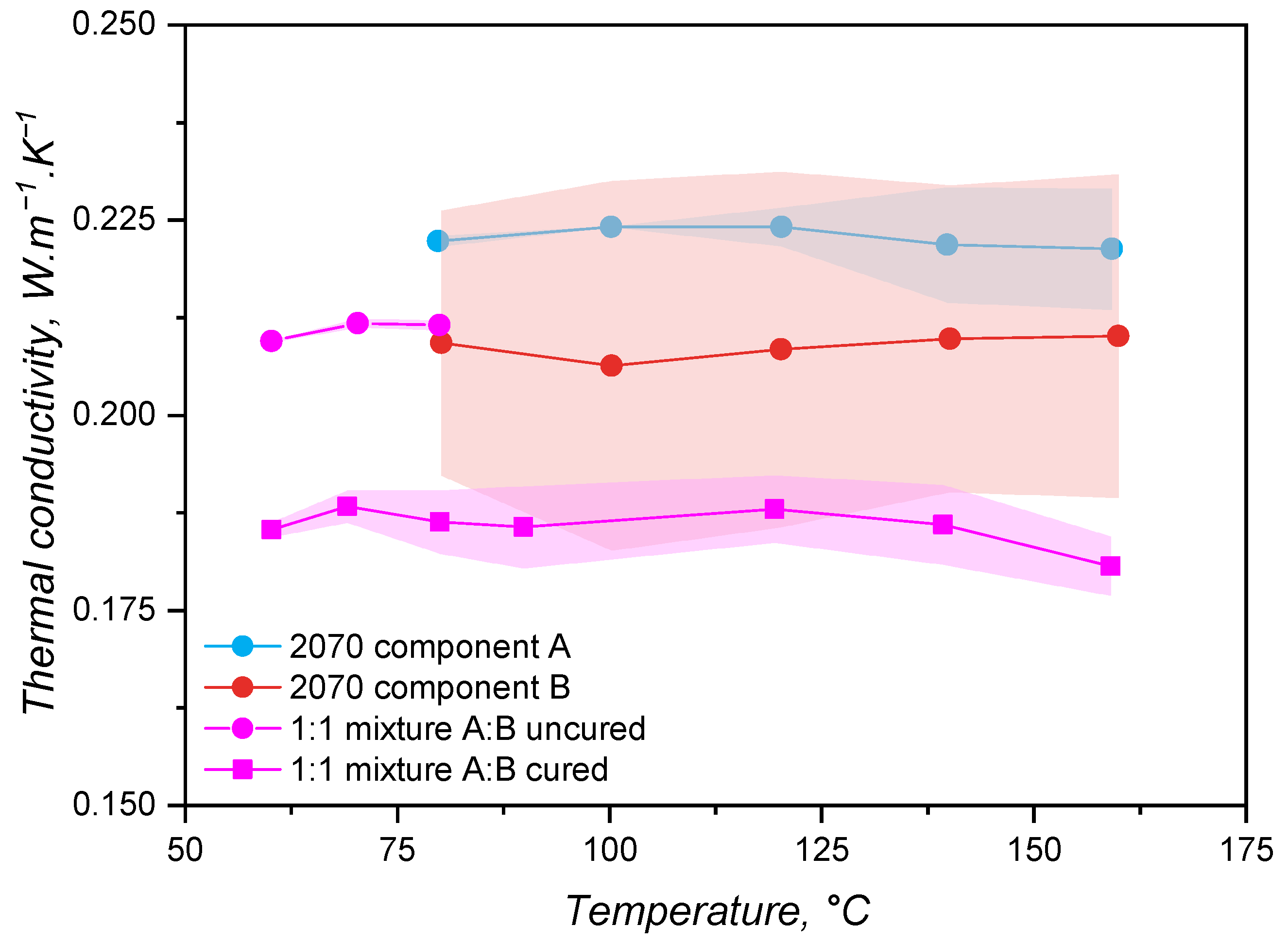
How Method Matters: The Impact of Material Characterisation Techniques on Liquid Silicone Rubber Injection Moulding Simulations
Abstract
Share and Cite
Azevedo, M.; Bolka, S.; Holzer, C. How Method Matters: The Impact of Material Characterisation Techniques on Liquid Silicone Rubber Injection Moulding Simulations. Polymers 2025, 17, 3086. https://doi.org/10.3390/polym17223086
Azevedo M, Bolka S, Holzer C. How Method Matters: The Impact of Material Characterisation Techniques on Liquid Silicone Rubber Injection Moulding Simulations. Polymers. 2025; 17(22):3086. https://doi.org/10.3390/polym17223086
Chicago/Turabian StyleAzevedo, Maurício, Silvester Bolka, and Clemens Holzer. 2025. "How Method Matters: The Impact of Material Characterisation Techniques on Liquid Silicone Rubber Injection Moulding Simulations" Polymers 17, no. 22: 3086. https://doi.org/10.3390/polym17223086
APA StyleAzevedo, M., Bolka, S., & Holzer, C. (2025). How Method Matters: The Impact of Material Characterisation Techniques on Liquid Silicone Rubber Injection Moulding Simulations. Polymers, 17(22), 3086. https://doi.org/10.3390/polym17223086

