Cost Function Analysis Applied to Different Kinetic Release Models of Arrabidaea chica Verlot Extract from Chitosan/Alginate Membranes
Abstract
:1. Introduction
2. Materials and Methods
2.1. Materials
2.2. Membranes synthesis
2.3. Morphology of the Membranes
2.4. Release Experiments
2.5. Mathematical Models
3. Cost function Analysis
3.1. Definition of Cost Function
- Equal weights for all i.
- Switch off at a threshold time ,
- Adaptive weights, that gives higher emphasis to smaller times, such as, for example,
3.2. Cost Function Minimization: Optimality Conditions
3.3. Equivalence of Optimization Methods
4. Methodology: Implementation
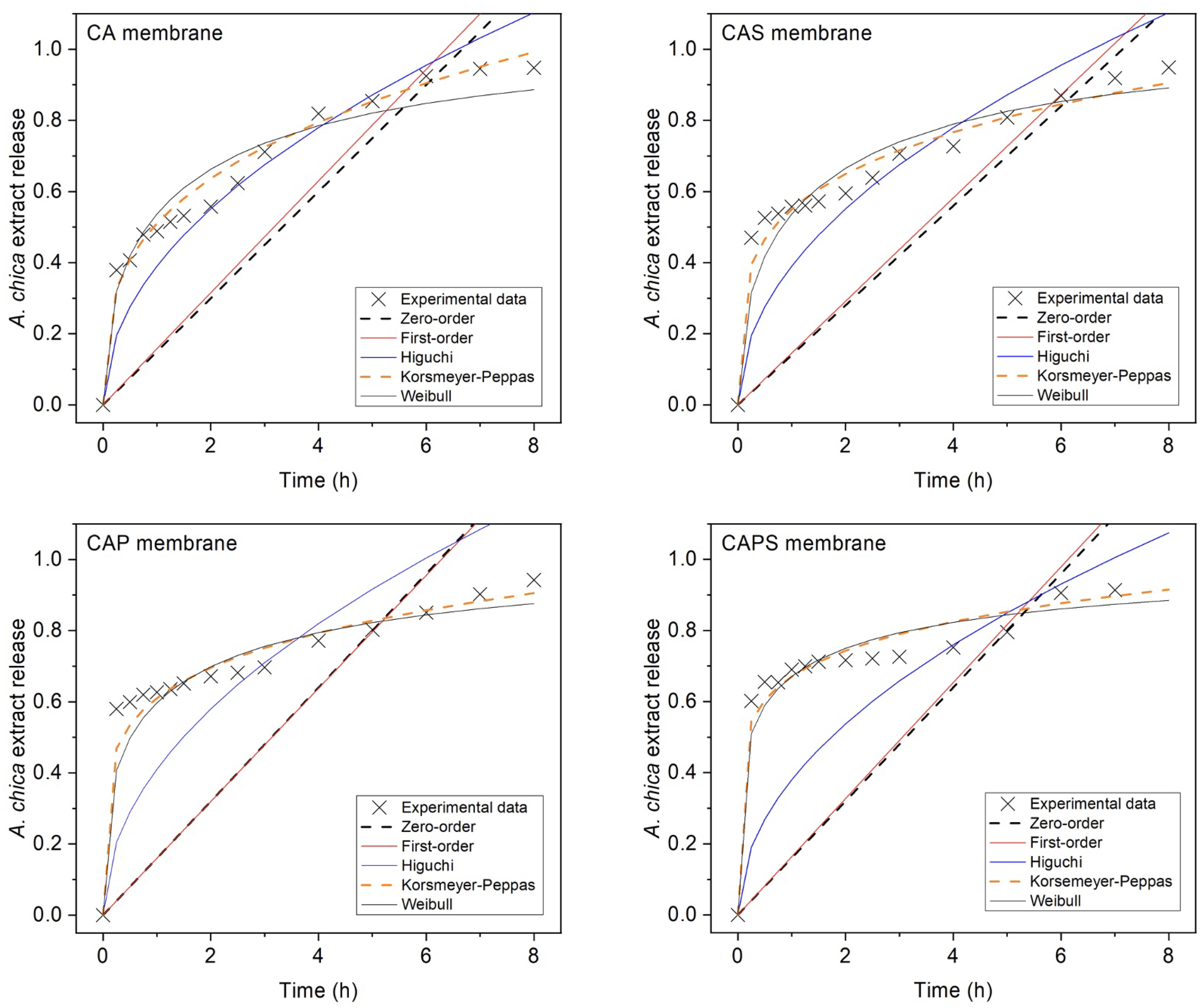
5. Results and Discussion
- Zero release at zero time.
- Increasing cumulative release for advancing time.
- Existence of an upper bound for the total release at sufficiently long period.
> Higuchi > First-order > Zero-order,
6. Conclusions
Supplementary Materials
Author Contributions
Funding
Institutional Review Board Statement
Informed Consent Statement
Data Availability Statement
Acknowledgments
Conflicts of Interest
References
- Barbosa, W.L.R.; Pinto, L.D.N.; Quignard, E.; Vieira, J.M.D.S.; Silva Jr, J.O.C.; Albuquerque, S. Arrabidaea chica (HBK) Verlot: Phytochemical approach, antifungal and trypanocidal activities. Braz. J. Pharmacogn. 2008, 18, 544–548. [Google Scholar] [CrossRef]
- de Sá, J.C.; Almeida-Souza, F.; Mondêgo-Oliveira, R.; da Silva Oliveira, I.D.S.; Lamarck, L.; Magalhães, I.D.F.B.; Ataídes-Lima, A.F.; Ferreira, H.S.; Abreu-Silva, A.L. Leishmanicidal, cytotoxicity and wound healing potential of Arrabidaea chica Verlot. BMC Complement. Altern. Med. 2016, 16, 1–11. [Google Scholar] [CrossRef] [PubMed] [Green Version]
- Dash, S.; Murthy, P.N.; Nath, L.; Chowdhury, P. Kinetic modeling on drug release from controlled drug delivery systems. Acta Pol. Pharm.—Drug Res. 2010, 67, 217–223. [Google Scholar]
- Holzapfel, B.M.; Reichert, J.C.; Schantz, J.T.; Gbureck, U.; Rackwitz, L.; Nöth, U.; Jakob, F.; Rudert, M.; Groll, J.; Hutmacher, D.W. How smart do biomaterials need to be? A translational science and clinical point of view. Adv. Drug Deliv. Rev. 2013, 65, 581–603. [Google Scholar] [CrossRef] [PubMed]
- De Los Ríos Escalante, P.; Arancibia, E. A checklist of marine crustaceans known from Easter Island. Crustaceana 2016, 89, 63–84. [Google Scholar] [CrossRef]
- Servat-Medina, L.; González-Gómez, A.; Reyes-Ortega, F.; Sousa, I.M.O.; Queiroz, N.D.C.A.; Zago, P.M.W.; Jorge, M.P.; Monteiro, K.M.; de Carvalho, J.E.; San Román, J.; et al. Chitosan–tripolyphosphate nanoparticles as Arrabidaea Chica Stand. Extr. Carrier: Synth. Charact. Biocompat. Antiulcerogenic Act. Int. J. Nanomed. 2015, 10, 3897–3909. [Google Scholar] [CrossRef] [PubMed] [Green Version]
- Pires, A.L.R.; Westin, C.B.; Hernandez-Montelongo, J.; Sousa, I.M.O.; Foglio, M.A.; Moraes, A.M. Flexible, dense and porous chitosan and alginate membranes containing the standardized extract of Arrabidaea chica Verlot for the treatment of skin lesions. Mater. Sci. Eng. C 2020, 112, 110869. [Google Scholar] [CrossRef]
- Parmar, A.; Sharman, S. Engineering design and mechanistic mathematical models: Standpoint on cutting edge drug delivery. Trends Anal. Chem. 2018, 100, 15–35. [Google Scholar] [CrossRef]
- Siepmann, J.; Siepmann, F. Mathematical modeling of drug delivery. Int. J. Pharm. 2008, 364, 328–343. [Google Scholar] [CrossRef]
- Zhang, Y.; Huo, M.; Zhou, J.; Zou, A.; Li, W.; Yao, C.; Xie, S. DDSolver: An add-in program for modeling and comparison of drug dissolution profiles. AAPS J. 2010, 12, 263–271. [Google Scholar] [CrossRef] [Green Version]
- Coronel, A.; Berres, S.; Lagos, R. Calibration of a sedimentation model through a continuous genetic algorithm. Inverse Probl. Sci. Eng. 2019, 27, 1263–1278. [Google Scholar] [CrossRef]
- Berres, S.; Bürger, R.; Coronel, A.; Sepúlveda, M. Numerical identification of parameters for a flocculated suspension from concentration measurements during batch centrifugation. Chem. Eng. J. 2005, 111, 91–103. [Google Scholar] [CrossRef]
- Berres, S.; Bürger, R.; Coronel, A.; Sepúlveda, M. Numerical identification of parameters for a strongly degenerate convection-diffusion problem modelling centrifugation of flocculated suspensions. Appl. Numer. Math. 2005, 52, 311–337. [Google Scholar] [CrossRef]
- Tang, H.W.; Xin, X.K.; Dai, W.H.; Xiao, Y. Parameter identification for modeling river network using a genetic algorithm. J. Hydrodyn. 2010, 22, 246–253. [Google Scholar] [CrossRef]
- Peralta, B.; Soria, R.; Berres, S.; Caro, L.; Mellado, A.; Schiappacasse, N. Detection of Anomalous Pollution Sensors Using Deep Learning Strategies. In IOP Conference Series: Earth and Environmental Science; IOP Publishing: Bristol, UK, 2020; Volume 503. [Google Scholar]
- Caccavo, D. An overview on the mathematical modeling of hydrogels’ behavior for drug delivery systems. Int. J. Pharm. 2019, 560, 175–190. [Google Scholar] [CrossRef] [PubMed]
- Weibull, W. A statistical distribution function of wide applicability. J. Appl. Mech. 1951, 18, 293–297. [Google Scholar] [CrossRef]
- Higuchi, T. Mechanism of sustained-action medication. Theoretical analysis of rate of release of solid drugs dispersed in solid matrices. J. Pharm. Sci. 1963, 52, 1145–1149. [Google Scholar] [CrossRef]
- Korsmeyer, R.W.; Gurny, R.; Doelker, E.; Buri, P.; Peppas, N.A. Mechanisms of potassium chloride release from compressed, hydrophilic, polymeric matrices: Effect of entrapped air. J. Pharm. Sci. 1983, 72, 1189–1191. [Google Scholar] [CrossRef]
- Peppas, N.A. Analysis of Fickian and non-Fickian drug release from polymers. Pharm. Acta Helv. 1985, 60, 110–111. [Google Scholar]
- Berres, S.; Bürger, R.; Garcés, R. Centrifugal settling of flocculated suspensions: A sensitivity analysis of parametric model functions. Dry. Technol. 2010, 28, 858–870. [Google Scholar] [CrossRef]
- Ravindran, A.; Reklaitis, G.V.; Ragsdell, K.M. Engineering Optimization: Methods and Applications; John Wiley & Sons: Hoboken, NJ, USA, 2006. [Google Scholar]
- Aro, A.A.; Simões, G.F.; Esquisatto, M.A.M.; Foglio, M.A.; Carvalho, J.E.; Oliveira, A.L.R.; Gomes, L.; Pimentel, E.R. Arrabidaea Chica extract improves gait recovery and changes collagen content during healing of the Achilles tendon. Injury 2013, 44, 884–892. [Google Scholar] [CrossRef] [PubMed]
- Hoffman, A.S. The origins and evolution of “controlled” drug delivery systems. J. Control. Release 2008, 132, 153–163. [Google Scholar] [CrossRef] [PubMed]
- Crank, J. The Mathematics of Diffusion; Clarendon: New York, NY, USA, 1975; 414p. [Google Scholar]
- Bacaita, E.S.; Ciobanu, B.C.; Popa, M.; Agop, M.; Desbrieres, J. Phases in the temporal multiscale evolution of the drug release mechanism in IPN-type chitosan based hydrogels. Phys. Chem. Chem. Physics. 2014, 16, 25896–25905. [Google Scholar] [CrossRef] [PubMed]
- Papadopoulou, V.; Kosmidis, K.; Vlachou, M.; Macheras, P. On the use of the Weibull function for the discernment of drug release mechanisms. Int. J. Pharm. 2006, 309, 44–50. [Google Scholar] [CrossRef] [PubMed]
- Kobryn, J.; Sowa, S.; Gasztych, M.; Drys, A.; Musial, W. Influence of Hydrophilic Polymers on the β Factor in Weibull Equation Applied to the Release Kinetics of a Biologically Active Complex of Aesculus hippocastanum. Int. J. Polym. Sci. 2017, 3486384, 1–8. [Google Scholar] [CrossRef]
- Paolino, D.; Tudose, A.; Celia, C.; Di Marzio, L.; Cilurzo, F.; Mircioiu, C. Mathematical Models as Tools to Predict the Release Kinetic of Fluorescein from Lyotropic Colloidal Liquid Crystals. Materials 2019, 12, 1–23. [Google Scholar] [CrossRef] [Green Version]
- Hernandez-Montelongo, J.; Nascimento, V.; Hernández-Montelongo, R.; Beppu, M.; Cotta, M. Fractal analysis of the formation process and morphologies of hyaluronan/chitosan nanofilms in layer-by-layer assembly. Polymer 2020, 191, 1–8. [Google Scholar] [CrossRef]




| Model | Function | ||
|---|---|---|---|
| Zero-order equation | NO | NO | |
| First order model | YES | YES | |
| Higuchi model | YES | NO | |
| Korsmeyer–Peppas model | YES | NO | |
| The Weibull model | YES | YES |
| Sample | Zero-Order | First-Order | Higuchi | Korsmeyer-Peppas | Weibull | ||||||||
|---|---|---|---|---|---|---|---|---|---|---|---|---|---|
| (h) | (h) | (h) | (h) | n | (-) | (-) | (h) | ||||||
| CA | 0.1556 | −0.1982 | 0.0015 | −0.1924 | 0.3827 | 0.7979 | 0.5170 | 0.2872 | 0.9818 | 1.7645 | 0.5014 | 0.0000 | 0.9476 |
| CAS | 0.1574 | −0.9428 | 0.0015 | −0.9351 | 0.3937 | 0.5193 | 0.5897 | 0.2095 | 0.9792 | 1.2335 | 0.3793 | 0.0000 | 0.9507 |
| CAP | 0.1580 | −1.7429 | 0.0015 | −1.7154 | 0.4005 | 0.1652 | 0.6455 | 0.1519 | 0.9720 | 1.2636 | 0.2843 | 0.0000 | 0.9487 |
| CAPS | 0.1602 | −2.1602 | 0.0016 | −2.1497 | 0.4139 | −0.0494 | 0.6889 | 0.1264 | 0.9701 | 1.7013 | 0.3009 | 0.0000 | 0.9531 |
| Results | CA | CAS | CAP | CAPS |
|---|---|---|---|---|
| Zero-order | ||||
| F | ||||
| First-order | ||||
| F | ||||
| Higuchi | ||||
| F | ||||
| Korsmeyer-Peppas | ||||
| F | ||||
| Weibull | ||||
| F |
Publisher’s Note: MDPI stays neutral with regard to jurisdictional claims in published maps and institutional affiliations. |
© 2022 by the authors. Licensee MDPI, Basel, Switzerland. This article is an open access article distributed under the terms and conditions of the Creative Commons Attribution (CC BY) license (https://creativecommons.org/licenses/by/4.0/).
Share and Cite
Concha, L.; Resende Pires, A.L.; Moraes, A.M.; Mas-Hernández, E.; Berres, S.; Hernandez-Montelongo, J. Cost Function Analysis Applied to Different Kinetic Release Models of Arrabidaea chica Verlot Extract from Chitosan/Alginate Membranes. Polymers 2022, 14, 1109. https://doi.org/10.3390/polym14061109
Concha L, Resende Pires AL, Moraes AM, Mas-Hernández E, Berres S, Hernandez-Montelongo J. Cost Function Analysis Applied to Different Kinetic Release Models of Arrabidaea chica Verlot Extract from Chitosan/Alginate Membranes. Polymers. 2022; 14(6):1109. https://doi.org/10.3390/polym14061109
Chicago/Turabian StyleConcha, Luis, Ana Luiza Resende Pires, Angela Maria Moraes, Elizabeth Mas-Hernández, Stefan Berres, and Jacobo Hernandez-Montelongo. 2022. "Cost Function Analysis Applied to Different Kinetic Release Models of Arrabidaea chica Verlot Extract from Chitosan/Alginate Membranes" Polymers 14, no. 6: 1109. https://doi.org/10.3390/polym14061109
APA StyleConcha, L., Resende Pires, A. L., Moraes, A. M., Mas-Hernández, E., Berres, S., & Hernandez-Montelongo, J. (2022). Cost Function Analysis Applied to Different Kinetic Release Models of Arrabidaea chica Verlot Extract from Chitosan/Alginate Membranes. Polymers, 14(6), 1109. https://doi.org/10.3390/polym14061109

