Abstract
Radiation measurements are critical in radioanalytical, nuclear chemistry, and biomedical physics. Continuous advancement in developing economical, sensitive, and compact devices designed to detect and measure radiation has increased its capability in many applications. In this work, we presented and investigated the performance of a cost-effective X-ray radiation detector based on the extended gate field effect transistors (EGFET). We examined the sensitivity of Al-doped Zinc oxide (AZO) of varying thicknesses, fabricated by chemical bath deposition (CBD), following X-ray irradiation with low and high doses. EGFETs were used to connect samples for their detection capabilities. As a function of the absorbed dose, the response was analyzed based on the threshold voltage shift, and the sensitivity of each device was also evaluated. We demonstrated that thin films are less sensitive to radiation than their disk-type EG devices. However, performance aspects of the devices, such as radiation exposure sensitivity and active dosage region, were found to be significantly reliant on the composition and thickness of the materials used. These structures may be a cost-effective alternative for real-time, room-temperature radiation detectors.
1. Introduction
In 1978, the radiation-sensitive p-channel metal oxide semiconductor field effect transistor (MOSFET) was proposed as a space-charge dosimeter, and it has since been utilized in a variety of fields, including space dosimetry, nuclear industrial research, radiation diagnostics, and radiation treatment [1,2]. Undoubtedly, small physical dimensions (below 4 mm2), nondestructive readout of dosimetric information, low power consumption, high dose range, and ability to read data in real-time are some of the attractive merits of MOSFETs. Therefore, MOSFET-based dosimeters are highly preferred over other types of detectors [3]. Despite the appeal, it is reported that ionizing radiation can result in structural flaws in the oxide layer of a MOSFET that modify the density. This alteration depends on the dose and other factors, such as the thickness of the metal oxide [4,5,6]. Additionally, the creation of electron–hole pairs upon irradiation can generate radiolytic electrons, or holes which produce defect centers in transparent materials [7]. Upon electron–hole recombination process, the photoelectrons are trapped at oxygen vacancies or multivalent impurities, and the holes also self-trap at bridging or non-bridging oxygen centers [8]. These new electronic configurations affect the structural, optical, and electrical properties of exposed MOSFETs [9]. To overcome the limitation in a MOSFET with direct irradiation, an extended gate field effect transistor (EGFET) has been identified as an effective radiation detector component. Several advantages have been achieved by utilizing the FET device, which functions as a sensing element, including the cost-effectiveness of not having to re-fabricate MOSFETs, the flexibility of gate designs, the low sensitivity to fluctuations and environmental factors such as temperature and light, as well as the rapidity of dosage readouts and accuracy.
Transparent conductive oxide layers have received substantial research interest due to their wide range of applications, such as in flat-panel displays and as transparent electrodes [10]. In particular, Zinc oxide (ZnO) is a crucial material for such layers due to its unique qualities [11]. ZnO thin films can be tuned to improve their electrical and optical properties by introducing impurities such as In, Ga, Al, etc. [12,13]. Since enhancing ZnO films heavily depends on the production method, there are many techniques for preparing ZnO, including spray pyrolysis and radiofrequency sputtering, electron sputtering, solvent–gel spin coatings, chemical bath depositions, chemical vapor depositions, and laser molecular beam epitaxies. Nowadays, it is believed that the chemical bath deposition (CBD) technique might be the cheapest method to deposit ZnO nanostructures [14,15]. This technique does not require sophisticated instruments while the starting chemicals are commonly available and cheap, and the preparation parameters are easily controlled. Moreover, it does not need high-vacuum conditions [16].
So far, limited research has been conducted on ZnO doped with metals as semiconductor radiation detectors. Although inorganic scintillators are accessible and functional, their massive size and requirements for additional cooling necessitate the investigation of more effective alternatives. Al-doped ZnO (AZO) has attracted much interest because of its facile synthesis and excellent thermal and chemical stability [17,18]. This material is considered handy for fabricating optoelectronic devices, heterojunction and superlattices, and detectors [15]. In the context of radiation measurements, the majority of earlier studies that established the use of MOSFETs as radiation monitors used silicon dioxide (SiO2) [19]. However, the usage of AZO as semiconductor detectors or EGFETs for X-ray detection has yet to be investigated.
In an earlier communication, we evaluated gamma irradiation (γ-rays) effects on structural, optical, morphological, and electrical properties, as well as the pH sensitivity, of an Indium Tin oxide (ITO) thin film-based EGFET [20]. Recently, we studied the sensitivity of zinc oxide–lead (ZnO-Pb) fabricated by CBD after irradiation with a low and high absorbed dosage of X-rays used in diagnostic and interventional radiology [21]. In addition, we demonstrated that a multilayer ZnO/Pb/G thin film can be used for low-dose γ-ray sensing (from Co-60 sources) and radiation dosimetry [3]. This study aims to explore the use of the CBD technique to fabricate thin films and disk-shaped designs of AZO, coupled with the FET device to detect a broad energy range of X-rays. The novelty of the present work lies in fabrication of AZO nanomaterial-based radiation dosimeters from MOSFETs by using the EGFET method, which offers (1) high sensitivity to exposed X-ray radiation, (2) an effective and economical approach as EG is irradiated aside from the main FET device, and (3) the ability to employ different geometrical designs with various thicknesses and surface areas. In addition, sensitivity, linearity, and detection ability for low (9, 36.5, 70 mGy) and high (1, 5, 10 Gy) X-ray doses were determined after examining the structural and morphological features of thin films and disks. AZO-based semiconductor disk-type structures could be a cost-effective alternative detector for low radiation doses.
2. Material and Methods
2.1. CBD-Based Fabrication of Al-Doped ZnO
Figure 1 depicts the preparation of Al-doped ZnO. Briefly, a solution with a concentration of 50 mM was prepared by adding 2.615 g of Zinc Nitrate (Zn(NO3)2·6H2O) (MW = 261.44 g.mol−1) and 1.4 g of hexamethylenetetramine (C6H12N4) (MW = 140.19 g.mol−1) to 200 mL of deionized water in a beaker. Then, the solution was thoroughly mixed under stirring for 60 min at room temperature. After that, 1.25 g of Aluminum Nitrate (Al(NO3)3·9H2O) salt (MW = 375.13 g.mol−1) was added and kept stirring for another 60 min at room temperature. Finally, the re-prepared seed layer ZnO thin film (see details in Supplementary S1) was immersed in the mixture upside down. The solution was then covered and left for 7 to 8 h at 90 °C. The thin films were removed, rinsed with water, and air dried. This process was performed three times to increase the film’s thickness. Field emission scanning electron microscope (FESEM) measurements revealed an AZO layer thickness of 40 µm. For the disk-type AZO fabrication, the solutions were filtered and dried in an oven at 80 °C for 15 min before being pressed with a hydraulic press to make disk-type AZO with a thickness of 1 mm.
Figure 1.
The procedures involved in fabricating an AZO thin film on a glass substrate using the CBD approach.
2.2. Characterization of the Prepared Samples
The morphological structure was studied using X-ray diffraction (XRD) (Panalytical X’Pert Pro diffractometer, Almelo, The Netherlands), and the crystalline and particles size for thin film and disk were calculated using Scherer’s formula (Equation (1)), as mentioned in [3].
where B is the full width at half maximum of the crystalline XRD peak, is Bragg’s angle, and λ is the X-ray wavelength (≈0.154 nm). FESEM (Zeiss SupraTM 35 VP, Carl Zeiss, Germany) was employed to investigate the morphology of the samples. In addition, the fractional weight of each element of a mixture was determined using the Energy Dispersive X-ray Spectroscopy (EDX) (Zeiss SupraTM 35 VP, Carl Zeiss, Germany). To calculate the Zeff of the investigated sample, which consists of a mixture of elements, the following relation (Equation (2)) suggested by Mayneord was then used to compute the effective atomic number (Zeff) [22]:
where is the fractional contents of the electrons belonging to different elements of atomic number Z1, Z2… etc., within the compound/mixture forming the medium. Z represents the atomic number of each element contained within the medium. For photon practical purposes, the value adopted is typically 2.94 [22]. The fingerprint-interdigitated silver electrodes were deposited on the thin film and disk, and the wires were connected using the silver paste. The samples were then connected as EG to the MOSFET to obtain the I-V characterization under different doses; low dose (9, 36, and 70 mGy) using an X-ray tube in the school of physics, USM, and high dose (1, 5 and 10 Gy) using a linear accelerator (LINAC) radiotherapy machine (Elekta) located at Gleneagles Hospital, Penang, Malaysia. To keep the device (FET) from being exposed to radiation, the MOSFET is connected to the semiconductor film through the extended gate. The Ids–Vds and Ids–Vgs curves for saturation and linear regimes were measured using the EGFET connection setup system depicted in Figure 2. It consists of two Keithley instruments; one was used to set the gate-source voltage (Vgs) at bias voltage 3 V and measure the drain-source current (Ids) response versus drain-source voltage (Vds) under different irradiation doses (9, 36, and 70 mGy and 1, 5, and 10), this measurement gives saturation regime. On the other hand, the second Keithley instrument was used to set (Vds) at bias voltage 0.3 V and measure (Ids) response versus gate-source voltage (Vgs). The output curves formed the linear regime. Two measurement conditions were conducted for the control samples (thin films and disks without radiation) under low and high irradiation, as displayed in Figure 3. The threshold voltage (VTH), which was determined using the relation in Equation (3) was used to characterize the film’s sensitivity:
where and are the threshold voltages prior and post irradiation exposure to the film, respectively [23], the detection sensitivity of the film to X-ray exposure was calculated using the following expression (Equation (4)):
where S is the sensitivity and D is the absorbed dose.
Figure 2.
Schematic diagram illustrates the setup used for this study. The numbers (1–7) are used to guide the reader to the procedures.
Figure 3.
(A) The experimental setup for the EGFET device and the electronic system for irradiating X-ray obtaining lower doses using a conventional radiographic X-ray instrument. (B) For the high-absorbed doses, the experiment uses the Linear accelerator (LINAC) irradiation system.
3. Results and Discussion
3.1. Properties of AZO Thin Films and Disks
Figure 4 displays FESEM images for the morphology of AZO thin films deposited on glass substrates and for CBD-prepared disks, respectively. The micrographs of AZO reveal that the morphology of both thicknesses consists of nanorods with average diameters of about 601.34 nm for the thin film and 1.7 μm for the powder. As also demonstrated in Figure 4A,B, Energy dispersive X-ray (EDX) analysis spectra show the fractional weight of each element in the mixture with the corresponding quantitative chemical analysis. The Zeff of the investigated samples was found to be 25.4, as calculated using Equation (2). Figure 5 illustrates the structural and crystalline properties of thin films and disks of AZO using XRD. The results revealed that the AZO intensity peaks are high, with sharp peaks indicating a strong polycrystalline structure, which agrees with the findings reported by Patel et al. [24]. Furthermore, the AZO structural properties have major peaks at 31.75°, 34.06°, 36.7°, 47.04°, 56.35°, 62.41°, and 67.32° corresponding to orientation plans. The diffraction peaks recorded were very in agreement with the ZnO crystals with a hexagonal wurtzite structure (JCPDS Card No. 01-080-4199) [25]. It was noticed that the intensity of various diffraction peaks varies. This indicates that the growth rate varies in different directions and with the thickness. The database reference number from ICSD for ZnO-Al is 01-082-1043. The particle size of the nanostructured AZO thin film and disk type were deduced by equating the more intense diffraction peaks into the Debye–Scherrer formula [26]. The particle sizes of the thin film and disk of AZO were calculated to be 6.97 nm and 8.41 nm, respectively. The results are tabulated in Table 1. Figure 6 displays the I–V characteristics of AZO samples. It is evident from the graphs that increasing the radiation dose for linear and saturation regimes affects the rise in current. This may be attributed to the formation of electron–hole pairs during irradiation, which increases the radiation-sensitive FET (RADFET) current and other electrical properties. Due to its increased thickness, the 1 mm AZO disk responded more strongly to radiation than the thin film, as shown in the graph. Zeff reacts with radiation via a photoelectric effect and generates more photons, which cause the current to rise [27]. Figure 7 depicts the relationship between voltage versus dose and current versus dose based on the influence of radiation on the voltage and current (linear and saturation regimes) of the detectors employed in this study. Upon increasing the radiation dose from 9 to 70 mGy, the current increases. It may be attributed to an increase in the recombination of the carriers, which results in oxide traps (defects) that could impact the resistivity and thus boost the current [28]. Moreover, thinner structures are more sensitive to low radiation doses than high ones [29]. Besides the radiation’s impact on the exposed samples’ electrical properties, the higher radiation energy absorbed by the dosimeters causes a significant change in the threshold voltage value. Similar responses were observed in cases of γ-ray irradiation with doses ranging from a few tens to hundreds of Gy [29]. Table 1 summarizes the results of calculating the grain size for each sample using (Equation (1)).
Figure 4.
FESEM micrographs of the prepared AZO samples: (A) thin film (B) and disk powder, along with their corresponding EDX elemental analysis.
Figure 5.
XRD patterns of the samples: (A) thin film AZO, (B) 1 mm disk AZO.
Table 1.
The particles size and (Zeff) for the samples.
Figure 6.
Linear and saturation regimes for (A) thin film AZO and (B) and 1 mm AZO disk irradiated with lower doses.
Figure 7.
Voltage and current as a function of lower absorbed doses for (A) thin film AZO and (B) disk AZO.
3.2. Dosimetric Responses for Low X-ray Doses
The impact of irradiation dose on the threshold voltage and sensitivity of the samples with various thicknesses is shown in Figure 8. The figure shows that increasing the thickness (three orders of magnitude) resulted in a considerable increment in the VTH. It is interesting to observe that the sensitivity of the samples increases with the thickness, as the wide gate efficiently separates electron–hole pairs formed within the oxide, which boosts the sensitivity [30]. Using Equations (3) and (4), the VTH and sensitivity of the samples were computed. Table 2 lists the VTH and sensitivity values for low X-ray doses (9, 36.5, and 70 mGy). Unsurprisingly, irradiation caused a decrease in sensitivity. One characteristic of EGFET dosimetry is the inevitable reduction in sensitivity with increasing the radiation dose observed in all dosimeters. This is known to be caused by alterations in the effective electric field applied to the EGFET during irradiation, which cause an accumulation of holes at the gate–oxide interface [31].
Figure 8.
(A) Threshold voltage vs. dose, and (B) sensitivity vs. doses for AZO thin films and AZO disks with low absorbed X-ray doses post-irradiation.
Table 2.
Radiation sensing characteristics of AZO under low radiation doses and various thicknesses.
3.3. Dosimetric Responses for Higher X-ray Doses
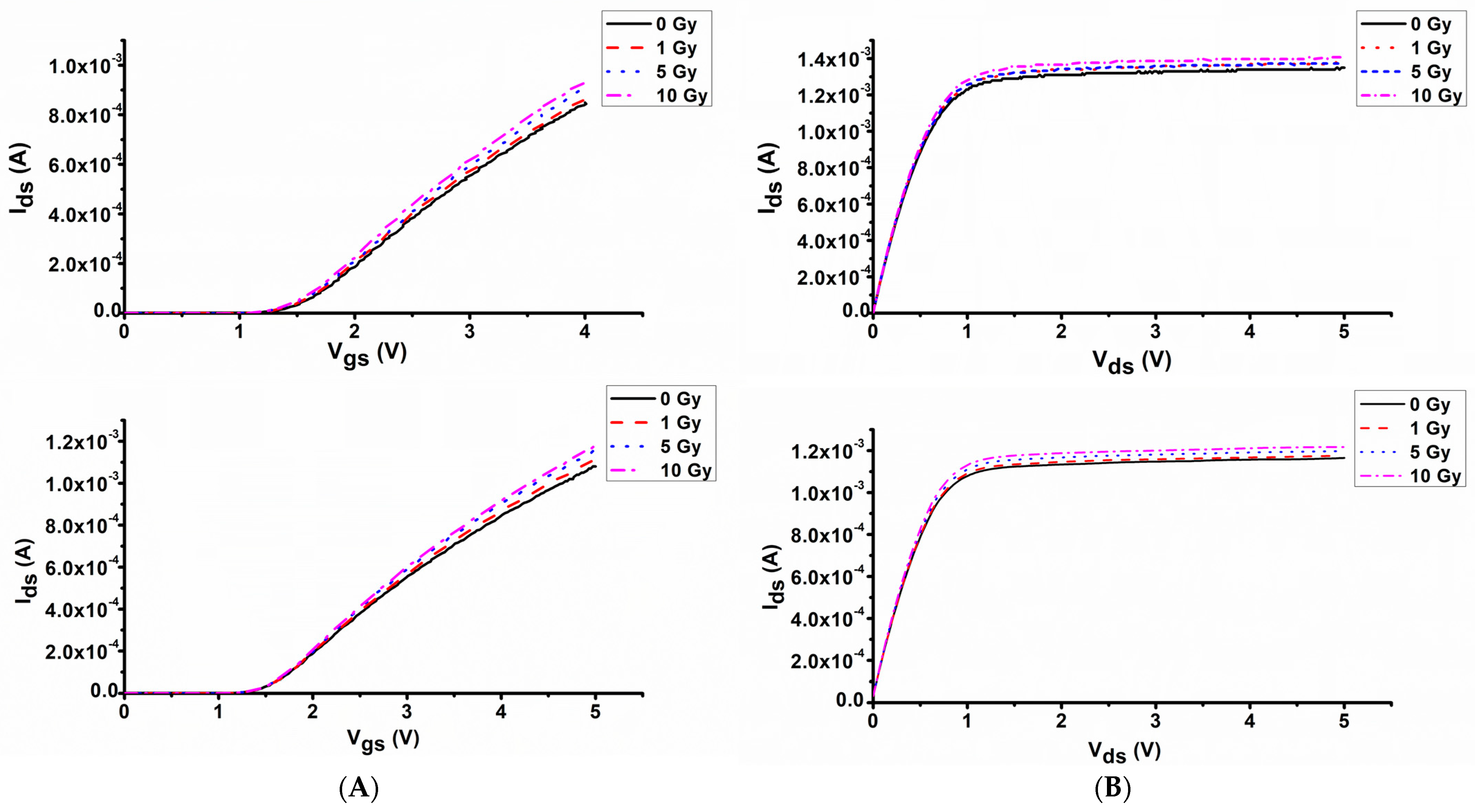
After evaluating the responses of the EG devices to lower X-ray doses, we compared them to higher doses commonly available for therapeutic purposes (1, 5, and 10 Gy). Figure 9 depicts the current–voltage characteristics of AZO samples exposed to higher radiation. As seen in Figure 9, the current increases significantly with radiation exposure up to 10 Gy. To trace the radiation-induced changes in the current values under the biased voltage of 3 V for AZO thin films and disks, Figure 10 demonstrates linear changes in the current value with increasing radiation dose to 10 Gy. It is reasonable to assume that the increase in the current after the influence of radiation is partially attributed to the lowering of the barrier height at the interfaces [32]. In addition, the increase in the electric field during the irradiation process leads to a significant change in the value of VTH (see Figure 10). Since the probability for atom ionization by photoelectric effect is significantly higher than that by the Compton scattering effect, during X-ray irradiation, a more significant number of positive trap charges is formed, which directly affects the change in values of VTH [28]. In this particular setting, Compton’s effect dominates X-ray interaction with the VTH. Additionally, one can notice a similar observation on the effect of thickness on the dosimeter’s sensitivity; raising the thickness to 1 mm makes the dosimeter relatively more sensitive.
Figure 9.
Linear and saturation regimes for (A) thin film AZO, and (B) and 1 mm AZO disk. Irradiated with higher doses.
Figure 10.
Voltage and current as a function of higher absorbed doses for (A) thin film AZO (B) disk AZO.
3.4. Comparison of EGFET Responses to Low and High X-ray Dosages
Comparing the EGFET sensitivity to low radiation dosage to that of high radiation dose reveals, as shown in Figure 8 and Figure 11, that lower irradiation energy results in a greater production of positive oxide trapped charge. Furthermore, applied voltage on the gate during irradiation (high-field mode) generates a greater density of this charge, increasing the value of VTH, that is the sensitivity of RADFETs. Note that in very high dose applications, the low sensitivity may be an advantage, particularly, as it will reduce the maximum detectable dose [33]. According to the data shown in Table 2 and Table 3, it can be inferred that these EGFETs can provide a decent response at substantially lower X-ray doses. Among all investigated samples, the AZO thin film had the lowest sensitivity (0.05, 0.012, and 0.008 mV/Gy) under high radiation dosage. Thinner films degrade more severely when subjected to high radiation doses because more oxide and interface charges accumulate; as a result, it influences the electron–hole recombination and charge yield. Fewer holes escape electron–hole recombination, resulting in fewer holes trapped at the interface, thus, the dosimeters’ sensitivity drops [31].
Figure 11.
(A) Threshold voltage vs. dose, and (B) sensitivity vs. doses for AZO thin films and AZO disks with low absorbed X-ray doses post-irradiation.
Table 3.
Radiation sensing characteristics of AZO under high radiation doses and various thicknesses.
3.5. Implications of This Work
EGFET dosimeters have the advantage of being lighter and having thin active areas. The exhaustive dosimetric evaluation of this commercially available EGFET covers device parameter sensitivities, linearity, reproducibility, dose effects, thickness dependence, and readout conditions. We showed that its high sensitivity to radiation and excellent linearity make it a good candidate for X-ray machine and radiotherapy dosimetry use within the dose range analyzed.
4. Conclusions
Due to their fascinating properties, EGFETs are a great component to employ when designing a radiation detection device. The central idea of this work is to explore the possibility and potentiality of using thin films and disks type AZO fabricated by CBD as sensitive materials to low and high dosages of X-rays. We demonstrated that all the fabricated dosimeters show an increase in the current values with the radiation doses in diagnostic and therapeutic ranges. Overall, the dosimeters used in this study are more sensitive to lower doses than higher doses. Under low irradiation dose, increasing the thickness of the AZO disk to the 1 mm range shows highest sensitivity as the Zeff of the material is relatively high, thus maximizing the probability of the photoelectric effect process. Because of the accumulation of oxide and interface charges, the sensitivity of all devices decreases as the radiation exposure increases. Based on the experimental results, the fabrication of semiconductor disk-type structures consisting of AZO can be regarded as a low radiation dosage cost-effective alternative detector.
Supplementary Materials
The following supporting information can be downloaded at: https://www.mdpi.com/article/10.3390/cryst13020314/s1, S1: Deposition of ZnO seed layer on a glass substrate.
Author Contributions
Conceptualization, N.M.A. and K.H.I.; methodology, N.M.A.; software, N.A.A. and A.M.A.-D.; validation, N.A.A., A.M.A.-D., I.A.W. and O.A.A.; formal analysis, A.M.A.A.; investigation, A.M.A.A.; resources, K.H.I. and O.A.A.; data curation, A.A and K.H.I.; writing—original draft preparation, A.M.A.A. and A.A; writing—review and editing, N.M.A., K.H.I., N.A.A., A.M.A.-D., I.A.W. and K.H.I.; visualization, N.A.K.; supervision, N.M.A. and N.A.K.; project administration, O.A.A., A.A. and K.H.I.; funding acquisition, K.H.I. and O.A.A. All authors have read and agreed to the published version of the manuscript.
Funding
The authors extend their appreciation to the Deanship of Scientific Research at Imam Mohammad Ibn Saud Islamic University (IMSIU) for funding and supporting this work through Research Partnership Program no. RP-21-09-41.
Acknowledgments
The authors thank the Deanship of Scientific Research at Imam Mohammad Ibn Saud Islamic University (IMSIU) for funding this work. The authors extend their appreciation to School of Physics, Universiti Sains Malaysia for the facilities and the technical support.
Conflicts of Interest
The authors declare no conflict of interest.
References
- Nesheva, D.; Nedev, N.; Curiel, M.; Dzhurkov, V.; Arias, A.; Manolov, E.; Mateos, D.; Valdez, B.; Bineva, I.; Herrera, R. Application of Metal-Oxide-Semiconductor structures containing silicon nanocrystals in radiation dosimetry. Open Phys. 2015, 13, 1. [Google Scholar] [CrossRef]
- Carvajal, M.A.; Banqueri, J.; Palma, A.J.; Lallena, A.M.; Vilches, M.; Guirado, D. Portable Dosimeter with MOSFET Sensor for Radiotherapy Monitoring. In Proceedings of the International Conference on Biomedical Electronics and Devices—BIODEVICES, Rome, Italy, 23–29 January 2011. [Google Scholar]
- Ali, A.M.A.; Ahmed, N.M.; Kabir, N.A.; Almessiere, M.A. Multilayer ZnO/Pb/G thin film based extended gate field effect transistor for low dose gamma irradiation detection. Nucl. Instrum. Methods Phys. Res. Sect. A Accel. Spectrometers Detect. Assoc. Equip. 2021, 987, 164833. [Google Scholar] [CrossRef]
- Hu, C.; Zhang, L.; Zhu, R.Y.; Li, J.; Jiang, B.; Kapustinsky, J.; Mocko, M.; Nelson, R.; Li, X.; Wang, Z. Hadron-induced radiation damage in LuAG: Ce scintillating ceramics. IEEE Trans. Nucl. Sci. 2021, 69, 181–186. [Google Scholar] [CrossRef]
- Omar, A.; Baraka, A.; Zaki, A.H.; Sharshar, K. Metal oxide films/structures for gamma radiation detection. In Proceedings of the 2015 IEEE International Conference on Electronics, Circuits, and Systems (ICECS), Cairo, Egypt, 6–9 December 2015. [Google Scholar]
- Sharma, S.; Maity, T. Effect of gamma radiation on electrical and optical properties of (TeO2) 0·9 (In2O3) 0·1 thin films. Bull. Mater. Sci. 2011, 34, 61–69. [Google Scholar] [CrossRef]
- Reisz, J.A.; Bansal, N.; Qian, J.; Zhao, W.; Furdui, C.M. Effects of ionizing radiation on biological molecules—Mechanisms of damage and emerging methods of detection. Antioxid. Redox Signal. 2014, 21, 260–292. [Google Scholar] [CrossRef] [PubMed]
- Costantini, J.-M.; Beuneu, F.; Weber, W.J. Radiation damage in cubic-stabilized zirconia. J. Nucl. Mater. 2013, 440, 508–514. [Google Scholar] [CrossRef]
- Baydogan, N.; Ozdemir, O.; Cimenoglu, H. The improvement in the electrical properties of nanospherical ZnO: Al thin film exposed to irradiation using a Co-60 radioisotope. Radiat. Phys. Chem. 2013, 89, 20–27. [Google Scholar] [CrossRef]
- Afre, R.A.; Sharma, N.; Sharon, M.; Sharon, M. Transparent conducting oxide films for various applications: A review. Rev. Adv. Mater. Sci. 2018, 53, 79–89. [Google Scholar] [CrossRef]
- Rasheed, H.S.; Ahmed, N.M.; Matjafri, M.; Al-Hardan, N.H.; Almessiere, M.A.; Sabah, F.A.; Al-Hazeem, N.Z. Multilayer ZnO/Pd/ZnO structure as sensing membrane for extended-gate field-effect transistor (EGFET) with high pH sensitivity. J. Electron. Mater. 2017, 46, 5901–5908. [Google Scholar] [CrossRef]
- Singh, S. Simulation, fabrication, and characterization of al-doped ZnO-based ultraviolet photodetectors. J. Electron. Mater. 2016, 45, 535–540. [Google Scholar] [CrossRef]
- Li, G.; Zhang, J.; Hou, X. Temperature dependence of performance of ZnO-based metal-semiconductor-metal ultraviolet photodetectors. Sens. Actuators A Phys. 2014, 209, 149–153. [Google Scholar] [CrossRef]
- Sharmin, A.; Tabassum, S.; Bashar, M.; Mahmood, Z.H. Depositions and characterization of sol–gel processed Al-doped ZnO (AZO) as transparent conducting oxide (TCO) for solar cell application. J. Theor. Appl. Phys. 2019, 13, 123–132. [Google Scholar] [CrossRef]
- Al-Ghamdi, A.A.; Al-Hartomy, O.A.; El Okr, M.; Nawar, A.; El-Gazzar, S.; El-Tantawy, F.; Yakuphanoglu, F. Semiconducting properties of Al doped ZnO thin films. Spectrochim. Acta Part A Mol. Biomol. Spectrosc. 2014, 131, 512–517. [Google Scholar] [CrossRef] [PubMed]
- Alvarado, J.A.; Maldonado, A.; Juarez, H.; Pacio, M. Synthesis of colloidal ZnO nanoparticles and deposit of thin films by spin coating technique. J. Nanomater. 2013, 2013, 167. [Google Scholar] [CrossRef]
- Paul, S.; Das, A.; Palit, M.; Bhunia, S.; Karmakar, A.; Chattopadhyay, S. Investigation of the properties of single-step and double-step grown ZnO nanowires using chemical bath deposition technique. Adv. Mater. Lett. 2016, 7, 610–615. [Google Scholar] [CrossRef]
- Stankova, S.; Volobujeva, O.; Dikov, H.; Ganchev, M. Solution deposition of ZnO thin films. J. Phys. Conf. Ser. 2021, 1762, 012030. [Google Scholar] [CrossRef]
- Biasi, G.; Su, F.-Y.; Al Sudani, T.; Corde, S.; Petasecca, M.; Lerch, M.L.; Perevertaylo, V.L.; Jackson, M.; Rosenfeld, A.B. On the combined effect of silicon oxide thickness and boron implantation under the gate in MOSFET dosimeters. IEEE Trans. Nucl. Sci. 2020, 67, 534–540. [Google Scholar] [CrossRef]
- Ali, A.M.A.; Ahmed, N.M.; Mohammad, S.M.; Sabah, F.A.; Kabaa, E.; Alsadig, A.; Sulieman, A. Effect of gamma irradiation dose on the structure and pH sensitivity of ITO thin films in extended gate field effect transistor. Results Phys. 2019, 12, 615–622. [Google Scholar]
- Ahmed Ali, A.M.; Ahmed, N.M.; Kabir, N.A.; Ali, M.K.M.; Akhdar, H.; Aldaghri, O.A.; Ibnaouf, K.H.; Sulieman, A. Investigation of X-ray Radiation Detectability Using Fabricated ZnO-PB Based Extended Gate Field-Effect Transistor as X-ray Dosimeters. Appl. Sci. 2021, 11, 11258. [Google Scholar] [CrossRef]
- Khan, F.M.; Gibbons, J.P. Khan’s the Physics of Radiation Therapy; Lippincott Williams & Wilkins: Philadelphia, PA, USA, 2014. [Google Scholar]
- Korostynska, O.; Arshak, K.; Hickey, G.; Forde, E. Ozone and gamma radiation sensing properties of In2O3:ZnO:SnO2 thin films. Microsyst. Technol. 2008, 14, 557–566. [Google Scholar] [CrossRef]
- Patel, J.D.; Mighri, F.; Ajji, A. Room temperature synthesis of aminocaproic acid-capped lead sulphide nanoparticles. Mater. Sci. Appl. 2012, 3, 125–130. [Google Scholar] [CrossRef]
- Nada, A.; Selim, H.; Bechelany, M.; El-Sayed, M.; Hegazey, R.; Souaya, E.; Kotkata, M. A novel photoelectrode of NiO@ ZnO nanocomposite prepared by Pechini method coupled with PLD for efficiency enhancement in DSSCs. Mater. Sci. Pol. 2018, 36, 327–336. [Google Scholar] [CrossRef]
- Keşkenler, E.F.; Aydın, S.; Turgut, G.; Doğan, S. Optical and structural properties of bismuth doped ZnO thin films by sol-gel method: Urbach rule as a function of crystal defects. Acta Phys. Pol. A 2014, 126, 782–787. [Google Scholar] [CrossRef]
- Arshak, K.; Korostynska, O.; Fahim, F. Various structures based on nickel oxide thick films as gamma radiation sensors. Sensors 2003, 3, 176–186. [Google Scholar] [CrossRef]
- Pejović, M.; Ciraj-Bjelac, O.; Kovačević, M.; Rajović, Z.; Ilić, G. Sensitivity of P-channel MOSFET to X-and gamma-ray irradiation. Int. J. Photoenergy 2013, 2013, 158403. [Google Scholar] [CrossRef]
- Jaksic, A.; Ristic, G.; Pejovic, M.; Mohammadzadeh, A.; Sudre, C.; Lane, W. Gamma-ray irradiation and post-irradiation responses of high dose range RADFETs. IEEE Trans. Nucl. Sci. 2002, 49, 1356–1363. [Google Scholar] [CrossRef]
- Asensio, L.; Carvajal, M.; Lopez-Villanueva, J.; Vilches, M.; Lallena, A.; Palma, A. Evaluation of a low-cost commercial mosfet as radiation dosimeter. Sens. Actuators A Phys. 2006, 125, 288–295. [Google Scholar] [CrossRef]
- Lavallée, M.C.; Gingras, L.; Beaulieu, L. Energy and integrated dose dependence of MOSFET dosimeter sensitivity for irradiation energies between and. Med. Phys. 2006, 33, 3683–3689. [Google Scholar] [CrossRef]
- Arshak, K.; Korostynska, O. Radiation-induced changes in thin film structures. IEE Proc. Circuits Devices Syst. 2003, 150, 361–366. [Google Scholar] [CrossRef]
- Holmes-Siedle, A.; Adams, L. RADFET: A review of the use of metal-oxide-silicon devices as integrating dosimeters. Int. J. Radiat. Appl. Instrum. Part C Radiat. Phys. Chem. 1986, 28, 235–244. [Google Scholar] [CrossRef]
Disclaimer/Publisher’s Note: The statements, opinions and data contained in all publications are solely those of the individual author(s) and contributor(s) and not of MDPI and/or the editor(s). MDPI and/or the editor(s) disclaim responsibility for any injury to people or property resulting from any ideas, methods, instructions or products referred to in the content. |
© 2023 by the authors. Licensee MDPI, Basel, Switzerland. This article is an open access article distributed under the terms and conditions of the Creative Commons Attribution (CC BY) license (https://creativecommons.org/licenses/by/4.0/).










