Next Article in Journal
Development of Luminescent Nd-Doped LaNbO Compound Thin Film Growth by Magnetron Sputtering for the Improvement of Solar Cells
Previous Article in Journal
Comparative Study of the Influence of Heat Treatment and Additive Manufacturing Process (LMD & L-PBF) on the Mechanical Properties of Specimens Manufactured from 1.2709
Previous Article in Special Issue
Improving the Directionality of Low-Frequency Acoustic Radiation by a Finite Array of Quadrupolar Sources with Acoustic Metamaterials
 
 
Font Type:
Arial Georgia Verdana
Font Size:
Aa Aa Aa
Line Spacing:
Column Width:
Background:
Article

A Reconfigurable Terahertz Metamaterial Absorber for Gas Sensing Applications

1
School of Electronics Engineering, KIIT University, Bhubaneswar 751024, India
2
School of Engineering and Technology, Mohan Babu University, Tirupati 517102, India
3
Faculty of Electronics, Communication and Computers, University of Pitesti, 110040 Pitesti, Romania
4
ICSI Energy Department, National Research and Development Institute for Cryogenic and Isotopic Technologies, 240050 Ramnicu Valcea, Romania
5
Doctoral School, University Politehnica of Bucharest, Splaiul Independentei Street No. 313, 060042 Bucharest, Romania
6
Renewable Energy Research Centre (RERC), Faculty of Technical Education, King Mongkut’s University of Technology North Bangkok, Bangkok 10800, Thailand
7
Group of Research in Electrical Engineering of Nancy (GREEN), University of Lorraine-GREEN, F-54000 Nancy, France
*
Authors to whom correspondence should be addressed.
Crystals 2023, 13(2), 158; https://doi.org/10.3390/cryst13020158
Submission received: 22 November 2022 / Revised: 9 January 2023 / Accepted: 12 January 2023 / Published: 17 January 2023
(This article belongs to the Special Issue Active, Tunable and Reconfigurable Elastic Metamaterials)

Abstract

Reconfigurable metamaterials have immense applications in sensing. A refractive index reconfigurable terahertz metamaterial absorber was investigated in this research for gas sensing applications. The absorption spectrum reconfigures with the changes in the surrounding medium’s refractive index. The proposed absorber displays positive permittivity and negative permeability at the resonance frequency of 3.045 THz indicating magnetic resonance. The design consists of concentric U-shaped rings that were optimally designed to perform the parametric analysis using the finite element method (FEM). The absorption bands offered by the structure were found to be insensitive to variation in polarization angles up to 60°. The outcome of this design approach yields a 99.75% absorption rate with a Q-factor of 87. Additionally, the equivalent circuit model of this proposed absorber was analyzed to estimate the resonance frequency, which reveals good agreement with the simulated ones. Moreover, the structure was designed for a refractive index ranging between 1 and 1.03 to detect harmful gases such as methane, chloroform, etc., with a high sensitivity of 3.01 THz/RIU (Refractive Index Unit) and figure of merit (FoM) of 86. This research work is potentially suitable for biological sensing and chemical industry applications.

1. Introduction

Metamaterials have become a hot research topic because of their unique properties such as negative permittivity, permeability, and refractive index, which are not found in naturally occurring materials. Metamaterials can also be used to absorb electromagnetic radiation, and are known as metamaterial absorbers (MAs). MAs have wide potential applications in many scopes such as terahertz (THz) sensing [1,2], wireless power transfer [3], filters [4,5,6], etc. MAs are sub-wavelength periodic array elements, where each element is known as a unit cell [7]. The unit cell of the MA consists of three layers where the bottom layer is made up of metal to block the transmission of electromagnetic (EM) waves, the middle layer is a dielectric substrate responsible for the resonance effect and the top plane is metallic for the sake of impedance matching. The principle behind resonant MAs is to make the transmission and reflection zero at a particular frequency, thus increasing the absorption rate [8]. The reflection can be minimized by making the impedance of MAs the same as the impedance of free space, i.e., 377 Ω. The absorption rate can be enhanced by designing the resonance structure appropriately, i.e., by forming a co-planar structure and then vertically stacking the multiple layers [9]. Additionally, the narrow band MAs with a reconfigurable absorption spectrum are best suitable for sensing applications as compared to broadband sensors as they exhibit sharp resonant peaks which can provide higher sensitivity and larger Figure of Merit (FoM). The high absorption rate indicates high sensitivity due to the confinement of strong electric and magnetic fields between the metallic layers.
MAs operating in the THz spectrum are called THz MAs (TMAs). A flexible terahertz MA was reported in [10] with an absorption rate of 97% at 1.6 THz for refractive index measurements. A nearly perfect metamaterial plasmonic absorber was theoretically demonstrated in [11] with the absorption of 96% over the visible wavelength range. These TMAs can be used for sensing different parameters. One of the important parameters that can be sensed using the reconfigurable TMAs is the refractive index (RI) and the RI sensor is of great importance in identifying chemicals and in biosensing. A refractive index reconfigurable dual-band TMA composed of two identical square metallic patches is designed in [12] which exhibits a sensitivity of 1.9010 THz/RIU and FoM of 229.04 for biochemical sensing. A multiband reconfigurable TMA with multiple splits is proposed in [13] for sensing and detecting applications with maximal sensitivities of 0.119 THz/RIU, 0.248 THz/RIU, and 0.662 THz/RIU. Ultra-sensitive TMA with a high Q-factor of 60.09 and maximum RI sensitivity of 34.40% RIU−1 is simulated in [14] based on the Mach–Zehnder interferometer. A sickle-shaped TMA for biosensing application is simulated in [15] with sensitivity and FoM of 471 GHz/RIU and 94 RIU−1, respectively. Ultra-narrow band TMA for RI sensing application is designed in [16] with a sensitivity of 1.94 THz/RIU and absorptivity of 99.49% and Q-factor of 637 at 2.44 THz. RI and temperature sensor-based THz MA is designed in [17] with a sensitivity of 2.04 THz/RIU and 7144 nm/K respectively. The other works related to the sensitivity of metamaterial absorbers are discussed in [18,19,20,21,22,23,24]. Cancer detection was conducted in [25,26] by using metamaterial absorbers. Various configurations such as elliptical nanoparticles and two triangular-shaped nanoparticles are also implemented in [27] and [28], respectively. Recent research based on Anisotropic plasmonic metasurfaces is also designed in [29]. Though most of the above-reported literature has shown a high absorption rate, none of these works demonstrated the detection of harmful and toxic gases using RI sensors with high sensitivity.
Aiming at the above fact, a novel design of a refractive index reconfigurable TMA as a gas refractive index sensor is proposed in this paper for sensing applications. The present work detects harmful and toxic gases by achieving a very narrow band with ultra-high absorptivity of 99.75% at 3.045 THz and Q-factor and FoM of 86 and 87, respectively. The novelty of this paper is that our design achieves ultra-narrow peak with very high sensitivity as well as being polarization insensitive which is the main requirement for sensing applications. Moreover, the equivalent circuit model of the proposed structure is derived and it is shown that the simulation results are in good agreement with the analytical ones. This proposed absorber can be used as an RI sensor with high sensitivity of 3.01 THz/RIU whose refractive index ranges from 1.000 to 1.030 at 273 K. The reason for choosing the RI between 1.0 and 1.030 is that most of the harmful gases have RI in this range as shown in Table 1.
The content of this research work is categorized into five sections which are as follows: Section 2 elaborates the design concept of the proposed MA along with its absorption characteristics followed by the description of the absorption mechanism Section 3. Section 4 illustrates the results and discussion along with the gas detection capability. Section 5 includes the conclusion of the work.

2. Structure Design Methodology

The proposed MA which comprises a top and bottom layer made up of gold (Au) whose dielectric constant and conductivity are given by 6.9 and 4.09 × 107 S/m, respectively, and separated by a polyimide dielectric spacer. The material is taken as gold for the ground plane and for the top pattern to block the transmission and to match the impedance of free space, respectively. Gold has been chosen as it has good conductivity at THz frequencies and is widely preferred by researchers. The dielectric constant of polyimide is 3.5 + 0.28i [31] and its height ( t 2 ) is taken as 7 μm. Polyimide is chosen as the dielectric substrate as it possesses some optical properties. The average refractive indices varied from 1.5778 to 1.7427 and the thin layers of polyimide are known to develop an in-plane orientation, resulting in measurable optical anisotropy. This optical anisotropy is responsible for the variations in the moisture absorption, and electrical, thermal and mechanical properties that ultimately affect the functionality and the reliability of microelectronic devices. It is being used as a substrate for THz metamaterial applications. The top metallic layer consists of an array of periodic unit cells of a concentric U-shaped pattern of a thickness of ( t 4 ) 0.5 μm. The height ( t 1 ) of the continuous bottom metallic plane is 1.5 μm which should be more than the skin depth to block the transmission. The dimension of periodic unit (p) is taken as 180 μm × 180 μm, width (w) of U-shaped strips is 4 μm, gap (g) between the strips is 10 μm. The proposed design is shown in Figure 1.
Concentric circular and square resonators are widely used to achieve good resonance with a high absorption rate. In this work, concentric square resonators were modified to U-shaped structures and it was observed that this pattern gives a very high absorption rate as well as high sensitivity.

2.1. Absorption Characteristics

The absorption rate is calculated by using the following equation:
A = 1 S 11 2 S 21 2
where A is the absorption coefficient, S 11 is the reflection coefficient and S 21 is transmission coefficient. The bottom ground plane has been taken sufficiently thick to prevent the transmission of electromagnetic waves, i.e., S 21 = 0. So the above equation reduces to:
A = 1 S 11 2
The Finite Element Method (FEM) is used to simulate this proposed unit cell of MA and periodic boundary conditions along x and y axis and the wave source is plane EM wave along the z direction was used in commercially available CST software. The absorption characteristics are shown in Figure 2. It can be observed that this proposed THz MA shows one narrow peak at 3.045 THz with a high absorption rate of 99.75%. The full width half maximum (FWHM) of this proposed structure is found to be 0.035 THz which indicates a strong frequency selectivity due to narrow bandwidth. Quality factor (Q-factor) is defined as Q = Resonance frequency/FWHM which is calculated to be 87 which is quite high for sensing applications.
To show the accuracy of the FEM method, the structure proposed in [21] is simulated using FEM and its results are compared as shown in Figure 3. There is a high similarity between the proposed method and that simulated in [21]. Thus, the proposed method gives accurate results.

2.2. Design Parameter Selection

The designed structure resonates at 3.045 THz, which lies in the THz band of 0.1 THz–10 THz. Moreover, most of the sensors in the literature operate in the 0.1 to 4 THz range [32]. The corresponding wavelength for this frequency is around 100 μm. Thus, the dimension of the periodic unit cell array was taken in the order of the wavelength. The other dimensions were decided after performing the parametric analysis. The parametric analysis of the proposed structure is carried out with respect to the width (w) of the U-shaped strips, the height of the substrate ( t 2 ) , periodicity (p) of the unit cell, and gap (g) between the U-shaped strips. Parametric analysis was conducted by varying the different values of these parameters and the optimum values were chosen to obtain the best results. Figure 4 shows the variation of absorptivity with the width (w) of U-shaped strips. It can be concluded that the absorption peak gets shifted left by increasing the width from 2 μm to 6 μm, i.e., by increasing the width of the strips we will obtain the peak at a lower frequency. We have chosen the optimum value of width as 4 μm because it results in a higher absorption rate as well as narrow-band as compared to other values.
Figure 5 shows the variation of the absorptivity with the thickness of the substrate ( t 2 ). From this plot, it can be seen that the absorption peak shifted to a lower frequency with the increasing height of the substrate from 6 μm to 9 μm. The thickness of the dielectric substrate is responsible for the resonance effect, i.e., it traps the electromagnetic radiation and dissipates it as dielectric losses. The optimum value of t 2 is 7 μm as we obtain the maximum absorption rate. At t 2 = 6 μm, the peak is narrow, but the absorption rate is low. So the thickness t 2 is 7 μm.
Figure 6 shows the variation of absorptivity with the periodicity (p) of the unit cell. By increasing the periodicity of the unit cell from 170 μm to 200 μm, the absorption band is shifted to a lower frequency as the frequency is inversely proportional to the wavelength. The periodicity of the unit cell is taken as 180 μm as it results in a higher absorption rate compared to other values. The width of all the absorption bands is almost the same at all the values of periodicity. Figure 7 shows the variation of absorption rate with the gap (g) between the U-shaped strips. The optimum value of the gap is chosen as 10 μm as there is a maximum absorption compared to other values.
The absorption peak of the proposed design does not shift with the polarization angle. This can be seen in Figure 8.

2.3. Fabrication Process

As shown in Figure 9, the proposed design can be fabricated by using a 7 μm thick polyimide layer with a 0.5 μm coated gold film. Ethanol and acetone were used to clean the gold wafer as acetone volatilizes fast by pressing the two layers rapidly and also minimizes air between the substance and the wafer surface. The substance gets absorbed into the wafer and the sample is then spin-coated with positive liquid photoresist RZJ-304 and then baked for 90 s at 100 °C. Then, the sample was taken to the photolithography processing machine, where an array can be fabricated. The portion of the altered photoresist is washed with a developer for 30 s after processing and the exposed metal was then etched with gold. The metamaterial structures were obtained. Acetone was used to clean the sample and remove the rest of the photoresist. Consequently, a 1.5 μm thick metallic gold layer was produced on the other side of the polyimide layer using a vacuum evaporation process. Terahertz frequency domain spectroscopy is used to characterize the reflection spectra.

3. Absorption Mechanism, Theory and Equivalent Circuit

The absorption mechanism can be explained by impedance matching theory. Since the incident wave is not reflected back, the first layer consisting of the metallic patterns should be designed in such a manner that their input impedance ( Z 11 ) matches that of the free space impedance ( Z 0 ), i.e., Z 11 = Z 0 = 377 Ω . The plot of input impedance is shown in Figure 10. Z 11 was found to 369.5 + j 31.66   Ω at resonance. The magnitude of Z 11 was calculated to 370.8 Ω which is close to the impedance of free space (377 Ω ).

3.1. μ Negative Metamaterial

The effective permeability ϵ e f f and permeability μ e f f can be calculated from Bloch impedance and propagation constant with the free space wave number k o and wave impedance Z o , respectively: [33]
μ e f f = ( γ Z B ) / K o Z o
ϵ e f f = ( γ Z o ) / K o Z B
whereas, γ is the complex propagation constant and Z B is the Bloch impedance and is given by:
γ = c o s 1 ( ( Z 11 + Z 22 ) / 2 Z 21 ) / p
Z B = B / ( e j γ p A )
whereas, p is the size of the unit cell,
A = Z 11 / Z 22
B = ( Z 11 Z 22 Z 21 2 ) / Z 21
The real parts of effective permittivity and effective permeability are obtained for the proposed structure and are shown in Figure 11. The maximum absorption occurs when the real part of permittivity is positive and the real part of permeability is negative. Thus, the proposed structure behaves as single negative (SNG) metamaterial. Additionally, since it has a negative value of permeability, so it is a μ negative (ENG) metamaterial and the resonance is magnetic in nature.

3.2. Equivalent Circuit

In order to validate the performance of our proposed absorber, the equivalent circuit model is presented. Resonators can be modeled as L-C series circuits [34]. Figure 12 shows the equivalent circuit model of the proposed absorber. The relationship between the resonance frequency and the circuit’s parameters is given by Equation (9). From this relationship, the parameters L and C are estimated.
f o = 1 2 π L C
The circuit parameters are taken as L = 0.8 nH, C = 0.0035 fF, and R = 800 Ohm. The value of R is chosen so that the bandwidth of the equivalent circuit matches that of the proposed design. The equivalent circuit response is shown in Figure 13, along with the result of FEM. The mechanism behind the absorption is that the impedance of the free space (≈377 Ω ) should match the impedance of the equivalent circuit model. The total impedance of the circuit model ( Z T o t a l ) can be calculated as:
Z T o t a l = ( R | | ( j ω L + 1 j ω C ) + Z ) | | Z

3.3. Current Distribution

The absorption mechanism can be further understood from the current distribution at 3.045 THz, shown in Figure 14. The current distribution plot shows the current flowing in the arms of the U shaped resonators along the x direction is responsible for the resonance. The gaps in the U shaped resonators result in the capacitive effect and prevent the formation of circulating currents.

4. Refractive Index Sensing

This designed MA can be used for sensing the surrounding medium’s refractive index in the range from 1.00 to 1.03. Thus, it can be used to detect toxic and harmful gases as the refractive index of toxic gases. This proposed structure is suitable for this application due to its stable narrow band-perfect absorption characteristics.

4.1. Sensitivity of the Design

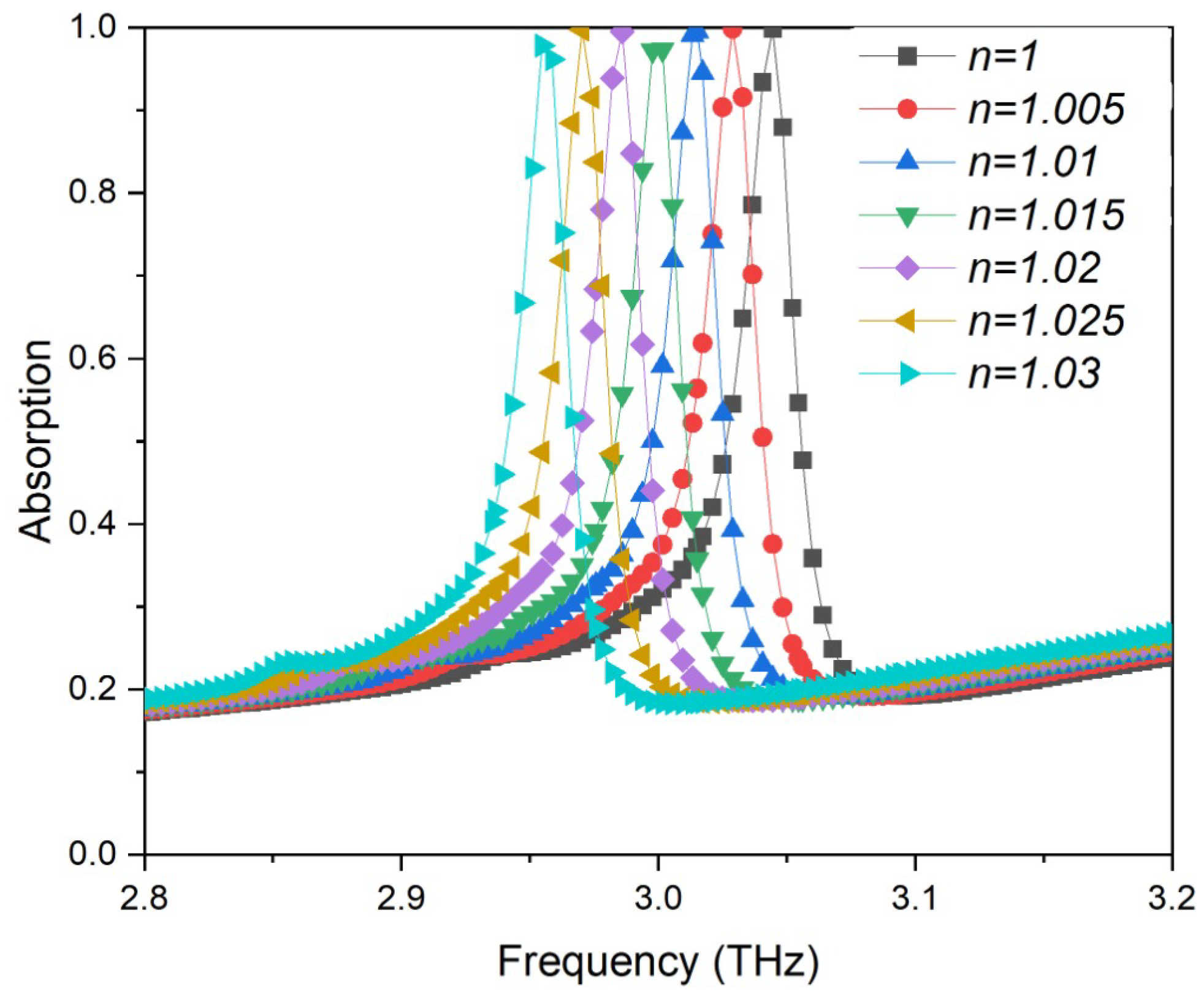
Figure 15 shows the variation of absorption rate with the refractive index from 1.00 to 1.03 in which the absorption peaks shift to lower frequency with the increase in the refractive index of the surrounding medium. Figure 16 shows the plot of resonance frequency with respect to the refractive index. The sensitivity of this proposed MA is calculated by using the following equation:
S = Δ f Δ n
where Δ f is the frequency shift and Δ n is the change in refractive index. From the plot, it can be clearly seen that the sensitivity is 3.01 THz/RIU which is the slope of the curve. Q-factor and FoM were calculated using the equations:
Q = f r FWHM
F o M = S FWHM
where f r is the resonance frequency and S is the sensitivity. The Q-factor and FoM were found to be 87 and 86, respectively, which is suitable for the sensor. Since the sensitivity is high so it can be widely used for sensing applications. The linear relationship between the resonance frequency ( f r ) and the refractive index (n) is obtained using curve fitting and is given by the equation.
f = 3.01071 n + 6.05495
The absorption band, which is shown in Figure 10, is insensitive to variation in polarization angle up to 60°. Since the structure is only symmetrical in the y-direction, varying the polarization angle from 0° to 60° at an interval of 15° does not significantly change the absorption spectra up to 60°.

4.2. Gas Detection Using the Proposed Absorber

The proposed sensor is then studied for its ability to detect harmful gases. The absorption spectrum of the harmful gases, i.e., carbon monoxide, chlorine, chloroform, methane, carbon dioxide, and helium are obtained using the proposed sensor shown in Figure 17 (zoomed version is shown in the inset of the figure). Methane is a highly inflammable gas and is extremely important to detect in coal mines. Chloroform is a toxic gas that can lead to unconsciousness when inhaled and can also cause cancer.
From the absorption spectrum, the resonance frequency of carbon monoxide, chlorine, chloroform, methane, carbon dioxide, and helium is found to be 3.04450428 THz, 3.04450297 THz, 3.040622 THz, 3.0445081 THz, 3.04450428 THz, and 3.04450087 THz and correspondingly absorption rate was found to be 99.931 %, 97.937%, 99.956%, 99.67%, 99.422%, and 99.74%, respectively. Though there is not much difference in the resonance frequency in the THz range, the shift is significant in the MHz frequency range (approximately 1.31 MHz between Chlorine and Chloroform). Combined with the differences in the absorption rate at different frequencies, the gases can be identified effectively. Additionally, machine learning models can be trained with the absorption spectrum data to identify the gases accurately, which will be considered in future work. Thus, this proposed sensor can be effectively used to sense gases based on their refractive index. Clearly, it can be seen that this proposed MA can absorb the incident wave perfectly and can also find its application in sensing a minute change in the refractive index of the surrounding.
Table 2 compares the performance of this proposed RI sensor with those in the literature in terms of various parameters. We can observe from the table that this proposed design has some advantages over those reported in the literature, such as high absorption rate, high sensitivity, and high performance.

5. Conclusions

In summary, a highly sensitive refractive index reconfigurable terahertz metamaterial absorber is designed to sense the refractive index of toxic gases whose refractive index varies from 1.00 to 1.03. Using numerical simulations based on the finite element method, we demonstrated that the absorption rate is 99.75% at the resonance frequency of 3.045 THz. The proposed structure was also verified through its equivalent circuit model and the results are in good agreement with the simulated ones. Since the FWHM is 0.035 THz with high sensitivity of 3.01 THz/RIU and Q-factor of 87, this absorber can be widely used as a refractive index sensor of toxic gases. The structure is symmetrical in the y-direction so it is polarization insensitive up to an incidence angle of 60°. The parametric analysis was also studied and the optimum values of all the design parameters were chosen for the maximum absorption rate.

Author Contributions

Conceptualization, S., S.P. and B.A.; methodology, B.A.; software, S. and S.P.; validation, B.A. and A.S.; investigation, S., S.P. and B.A.; resources, N.B., P.T. and B.A.; data curation, B.A., A.S. and P.T.; writing—original draft preparation, S., S.P. and B.A.; supervision, B.A. and N.B.; project administration, B.A. and N.B.; formal analysis: N.B. and P.T.; funding acquisition: N.B. and P.T.; visualization: B.A., N.B. and P.T.; writing—review and editing: N.B., P.T. and B.A. All authors have read and agreed to the published version of the manuscript.

Funding

This work was supported in part by the Framework Agreement between University of Pitesti (Romania) and King Mongkut’s University of Technology North Bangkok (Thailand), in part by an International Research Partnership “Electrical Engineering—Thai French Research Center (EE-TFRC)” under the project framework of the Lorraine Université d’Excellence (LUE) in cooperation between Université de Lorraine and King Mongkut’s University of Technology North Bangkok, and in part by the National Research Council of Thailand (NRCT) under Senior Research Scholar Program under Grant No. N42A640328.

Data Availability Statement

Not applicable.

Conflicts of Interest

The authors declare no conflict of interest.

References

  1. Li, W.; Cheng, Y. Dual-band tunable terahertz perfect metamaterial absorber based on strontium titanate (STO) resonator structure. Opt. Commun. 2020, 462, 125265. [Google Scholar] [CrossRef]
  2. Huang, X.; Lu, C.; Rong, C.; Hu, Z.; Liu, M. Multiband ultrathin polarization-insensitive terahertz perfect absorbers with complementary metamaterial and resonator based on high-order electric and magnetic resonances. IEEE Photonics J. 2018, 10, 1–11. [Google Scholar] [CrossRef]
  3. Sun, K.; Fan, R.; Zhang, X.; Zhang, Z.; Shi, Z.; Wang, N.; Xie, P.; Wang, Z.; Fan, G.; Liu, H.; et al. An overview of metamaterials and their achievements in wireless power transfer. J. Mater. Chem. C 2018, 6, 2925–2943. [Google Scholar] [CrossRef]
  4. Martín, F.; Zhu, L.; Hong, J.; Medina, F. Balanced Microwave Filters; John Wiley & Sons: Hoboken, NJ, USA, 2018. [Google Scholar]
  5. Abbasi, S.; Nourinia, J.; Ghobadi, C.; Karamirad, M.; Mohammadi, B. A sub-wavelength polarization sensitive band-stop FSS with wide angular response for X-and Ku-Bands. AEU-Int. J. Electron. Commun. 2018, 89, 85–91. [Google Scholar] [CrossRef]
  6. Mohammadi, B.; Nourinia, J.; Ghobadi, C.; Mahmoud, A.; Karamirad, M.; Alizadeh, F.; Mardani, H. Enhanced reflectarray antenna using elements with reduced reflection phase sensitivity. IEEE Antennas Wirel. Propag. Lett. 2018, 17, 1334–1338. [Google Scholar] [CrossRef]
  7. Li, J.; Liao, Q.; Li, H.; Liu, W.; Yu, T.; Wang, T. Tunable dual-band perfect metamaterial absorber based on monolayer graphene arrays as refractive index sensor. Jpn. J. Appl. Phys. 2020, 59, 095002. [Google Scholar] [CrossRef]
  8. Daniel, S.; Bawuah, P. Highly polarization and wide-angle insensitive metamaterial absorber for terahertz applications. Opt. Mater. 2018, 84, 447–452. [Google Scholar] [CrossRef]
  9. Wang, B.-X.; Wang, G.-Z.; Wang, L.-L.; Zhai, X. Design of a five-band terahertz absorber based on three nested split-ring resonators. IEEE Photonics Technol. Lett. 2015, 28, 307–310. [Google Scholar] [CrossRef]
  10. Lin, C.; Liao, C.; Wang, J.; He, J.; Wang, Y.; Li, Z.; Yang, T.; Zhu, F.; Yang, K.; Zhang, Z.; et al. Fiber surface Bragg grating waveguide for refractive index measurements. Opt. Lett. 2017, 42, 1684–1687. [Google Scholar] [CrossRef]
  11. Fang, X.; Liao, C.; Wang, D. Femtosecond laser fabricated fiber Bragg grating in microfiber for refractive index sensing. Opt. Lett. 2010, 35, 1007–1009. [Google Scholar] [CrossRef]
  12. Tang, J.-L.; Cheng, S.-F.; Hsu, W.-T.; Chiang, T.-Y.; Chau, L.-K. Fiber-optic biochemical sensing with a colloidal gold-modified long period fiber grating. Sens. Actuators B Chem. 2006, 119, 105–109. [Google Scholar] [CrossRef]
  13. Qi, L.; Zhao, C.-L.; Yuan, J.; Ye, M.; Wang, J.; Zhang, Z.; Jin, S. Highly reflective long period fiber grating sensor and its application in refractive index sensing. Sens. Actuators B Chem. 2014, 193, 185–189. [Google Scholar] [CrossRef]
  14. Li, Z.; Liao, C.; Wang, Y.; Dong, X.; Liu, S.; Yang, K.; Wang, Q.; Zhou, J. Ultrasensitive refractive index sensor based on a Mach–Zehnder interferometer created in twin-core fiber. Opt. Lett. 2014, 39, 4982–4985. [Google Scholar] [CrossRef]
  15. Zhang, S.; Zhang, W.; Geng, P.; Gao, S. Fiber Mach-Zehnder interferometer based on concatenated down-and up-tapers for refractive index sensing applications. Opt. Commun. 2013, 288, 47–51. [Google Scholar] [CrossRef]
  16. Gao, R.; Jiang, Y.; Ding, W.; Wang, Z.; Liu, D. Filmed extrinsic Fabry–Perot interferometric sensors for the measurement of arbitrary refractive index of liquid. Sens. Actuators B Chem. 2013, 177, 924–928. [Google Scholar] [CrossRef]
  17. Meng, H.; Shen, W.; Zhang, G.; Wu, X.; Wang, W.; Tan, C.; Huang, X. Michelson interferometer-based fiber-optic sensing of liquid refractive index. Sens. Actuators B Chem. 2011, 160, 720–723. [Google Scholar] [CrossRef]
  18. Chen, F.; Cheng, Y.; Luo, H. A broadband tunable terahertz metamaterial absorber based on single-layer complementary gammadion-shaped graphene. Materials 2020, 13, 860. [Google Scholar] [CrossRef]
  19. Cheng, Y.; Zhao, H.; Li, C. Broadband tunable terahertz metasurface absorber based on complementary-wheel-shaped graphene. Opt. Mater. 2020, 109, 110369. [Google Scholar] [CrossRef]
  20. Cheng, Y.; Chen, F.; Luo, H. Triple-band perfect light absorber based on hybrid metasurface for sensing application. Nanoscale Res. Lett. 2020, 15, 103. [Google Scholar] [CrossRef] [PubMed]
  21. Cheng, Y.; Li, Z.; Cheng, Z. Terahertz perfect absorber based on InSb metasurface for both temperature and refractive index sensing. Opt. Mater. 2021, 117, 111129. [Google Scholar] [CrossRef]
  22. Cheng, Y.; Liu, J.; Chen, F.; Luo, H.; Li, X. Optically switchable broadband metasurface absorber based on square ring shaped photoconductive silicon for terahertz waves. Phy. Lett. A 2021, 402, 127345. [Google Scholar] [CrossRef]
  23. Cheng, Y.; Chen, F.; Luo, H. Plasmonic chiral metasurface absorber based on bilayer fourfold twisted semicircle nanostructure at optical frequency. Nanoscale Res. Lett. 2021, 416, 12. [Google Scholar] [CrossRef]
  24. Zhang, H.; Cheng, Y.; Chen, F. Quad-band plasmonic perfect absorber using all-metal nanostructure metasurface for refractive index sensing. Optik 2021, 229, 166300. [Google Scholar] [CrossRef]
  25. Vafapour, Z.; Lari, E.S.; Forouzeshfard, M.R. Breast cancer detection capability of a tunable perfect semiconductor absorber: Analytical and numerical evaluation. Opt. Eng. 2021, 60, 107101. [Google Scholar] [CrossRef]
  26. Vafapour, Z.; Troy, W.; Rashidi, A. Colon cancer detection by designing and analytical evaluation of a water-based THz metamaterial perfect absorber. IEEE Sens. J. 2021, 21, 19307–19313. [Google Scholar] [CrossRef]
  27. Rakhshani, M.R.; Rashki, M. Metamaterial perfect absorber using elliptical nanoparticles in a multilayer metasurface structure with polarization independence. Opt. Express 2022, 30, 10387–10399. [Google Scholar] [CrossRef] [PubMed]
  28. Rakhshani, M.R.; Rashki, M. Numerical Simulations of Metamaterial Absorbers Employing Vanadium Dioxide. Plasmonics 2022, 17, 1107–1117. [Google Scholar] [CrossRef]
  29. Liang, Y.; Koshelev, K.; Zhang, F.; Lin, H.; Lin, S.; Wu, J.; Jia, B.; Kivshar, Y. Bound states in the continuum in anisotropic plasmonic metasurfaces. Nano Lett. 2020, 20, 6351–6356. [Google Scholar] [CrossRef]
  30. Available online: https://www.engineeringtoolbox.com/refractive-index-d_1264.html (accessed on 16 October 2022).
  31. Cao, S.; Shao, Y.; Wang, Y.; Wu, T.; Zhang, L.; Huang, Y.; Zhang, F.; Liao, C.; He, J.; Wang, Y. Highly sensitive surface plasmon resonance biosensor based on a low-index polymer optical fiber. Opt. Express 2018, 26, 3988–3994. [Google Scholar] [CrossRef]
  32. Lin, C.; Liao, C.; Zhang, Y.; Xu, L.; Wang, Y.; Fu, C.; Yang, K.; Wang, J.; He, J.; Wang, Y. Optofluidic gutter oil discrimination based on a hybrid-waveguide coupler in fibre. Lab Chip 2018, 18, 595–600. [Google Scholar] [CrossRef]
  33. Smith, D.; Vier, D.; Koschny, T.; Soukoulis, C. Electromagnetic parameter retrieval from inhomogeneous metamaterials. Phys. Rev. E 2005, 71, 036617. [Google Scholar] [CrossRef] [PubMed]
  34. Marques, R.; Mesa, F.; Martel, J.; Medina, F. Comparative analysis of edge- and broadside- coupled split ring resonators for metamaterial design-theory and experiments. IEEE Trans. Antennas Propag. 2003, 51, 2572–2581. [Google Scholar] [CrossRef]
  35. Saadeldin, A.S.; Hameed, M.F.O.; Elkaramany, E.M.A.; Obayya, S.S.A. Highly sensitive terahertz metamaterial sensor. IEEE Sens. J. 2019, 19, 7993–7999. [Google Scholar] [CrossRef]
  36. Janneh, M.; De Marcellis, A.; Palange, E.; Tenggara, A.; Byun, D. Design of a metasurface-based dual-band Terahertz perfect absorber with very high Q-factors for sensing applications. Opt. Commun. 2018, 416, 152–159. [Google Scholar] [CrossRef]
  37. Yao, Y.; Li, S.; Zhu, L.; Wu, F.; He, X.; Jiang, J. Multi-band terahertz metamaterial absorber for sensing application. Integr. Ferroelectr. 2018, 190, 149–155. [Google Scholar] [CrossRef]
  38. Tan, S.; Yan, F.; Wang, W.; Zhou, H.; Hou, Y. Ultrasensitive sensing with three-dimensional terahertz metamaterial absorber. J. Opt. 2018, 20, 055101. [Google Scholar] [CrossRef]
  39. Zhang, W.; Lan, F.; Xuan, J.; Mazumder, P.; Aghadjani, M.; Yang, Z.; Men, L. Ultrasensitive dual-band terahertz sensing with metamaterial perfect absorber. In Proceedings of the IEEE MTT-S International Microwave Workshop Series on Advanced Materials and Processes for RF and THz Applications (IMWS-AMP), Pavia, Italy, 20–22 September 2017; pp. 1–3. [Google Scholar]
  40. Appasani, B.; Srinivasulu, A.; Ravariu, C. A high Q terahertz metamaterial absorber using concentric elliptical ring resonators for harmful gas sensing applications. Def. Technol. 2022; in press. [Google Scholar]
Figure 1. Proposed absorber (a) Unit cell of patches with p = 180 μm, w = 4 μm and g = 10 μm. (b) Front view of the absorber with t 1 = 1.5 μm, t 2 = 7 μm and t 4 = 0.5 μm.
Figure 1. Proposed absorber (a) Unit cell of patches with p = 180 μm, w = 4 μm and g = 10 μm. (b) Front view of the absorber with t 1 = 1.5 μm, t 2 = 7 μm and t 4 = 0.5 μm.
Crystals 13 00158 g001
Figure 2. Absorption spectrum of the proposed structure.
Figure 2. Absorption spectrum of the proposed structure.
Crystals 13 00158 g002
Figure 3. Comparison between the absorptions of the metamaterial absorber reported in [21] and our work.
Figure 3. Comparison between the absorptions of the metamaterial absorber reported in [21] and our work.
Crystals 13 00158 g003
Figure 4. Absorption spectra obtained by varying the width of U-shaped strips.
Figure 4. Absorption spectra obtained by varying the width of U-shaped strips.
Crystals 13 00158 g004
Figure 5. Absorption spectra obtained by varying the height of the substrate.
Figure 5. Absorption spectra obtained by varying the height of the substrate.
Crystals 13 00158 g005
Figure 6. Absorption spectra obtained by varying the periodicity of the unit cell.
Figure 6. Absorption spectra obtained by varying the periodicity of the unit cell.
Crystals 13 00158 g006
Figure 7. Absorption spectra obtained by varying the gap between the U-shaped strips.
Figure 7. Absorption spectra obtained by varying the gap between the U-shaped strips.
Crystals 13 00158 g007
Figure 8. Absorption spectra as a function of polarization angle.
Figure 8. Absorption spectra as a function of polarization angle.
Crystals 13 00158 g008
Figure 9. Process flow: (1) and (2) are the photolithography to define the metamaterial geometry, while (3) and (4) show the wet etching and washing of the photoresist to fabricate the metamaterial structures, and (5) is the evaporation of metallic substrate layer on another side of the polyimide layer.
Figure 9. Process flow: (1) and (2) are the photolithography to define the metamaterial geometry, while (3) and (4) show the wet etching and washing of the photoresist to fabricate the metamaterial structures, and (5) is the evaporation of metallic substrate layer on another side of the polyimide layer.
Crystals 13 00158 g009
Figure 10. Impedance of the proposed structure.
Figure 10. Impedance of the proposed structure.
Crystals 13 00158 g010
Figure 11. Effective permittivity and permeability at resonance frequency.
Figure 11. Effective permittivity and permeability at resonance frequency.
Crystals 13 00158 g011
Figure 12. The equivalent circuit model of the proposed absorber.
Figure 12. The equivalent circuit model of the proposed absorber.
Crystals 13 00158 g012
Figure 13. Comparison of Equivalent circuit and FEM method of the proposed absorber.
Figure 13. Comparison of Equivalent circuit and FEM method of the proposed absorber.
Crystals 13 00158 g013
Figure 14. Current distribution plot at 3.045 THz.
Figure 14. Current distribution plot at 3.045 THz.
Crystals 13 00158 g014
Figure 15. Absorption spectra as a function of the refractive index of the surrounding medium.
Figure 15. Absorption spectra as a function of the refractive index of the surrounding medium.
Crystals 13 00158 g015
Figure 16. The position of the peak as a function of the refractive index of the surrounding medium.
Figure 16. The position of the peak as a function of the refractive index of the surrounding medium.
Crystals 13 00158 g016
Figure 17. Absorption vs Frequency for carbon monoxide, chlorine, chloroform, methane, carbon dioxide, and helium.
Figure 17. Absorption vs Frequency for carbon monoxide, chlorine, chloroform, methane, carbon dioxide, and helium.
Crystals 13 00158 g017
Table 1. Refractive Index of some harmful gases [30].
Table 1. Refractive Index of some harmful gases [30].
Harmful and Toxic GasesRefractive Index
Carbon monoxide1.000338
Chlorine1.000773
Chloroform1.001450
Methane1.000444
Carbon Dioxide1.00045
Helium1.000036
Table 2. Comparison of the proposed structure with those reported in the literature.
Table 2. Comparison of the proposed structure with those reported in the literature.
DesignRange of R.IAbsorption RateResonance Frequency (THz)SensitivityFWHM (THz)FoMGas DetectionEq. ckt
Ref. [35]1 to 1.3999%2.24923.7 GHz/μm0.1022.94NoNo
Ref. [36]1 to 1.899.8%1.8187.5 GHz/RIU-223NoNo
Ref. [37]1 to 1.899.6%2.26360 GHz/RIU-431NoNo
Ref. [38]1 to 2-0.64, 1.94, 2.670.119 THz/RIU,
0.248 THz/RIU,
0.662 THz/RIU
--NoNo
Ref. [39]1.2 to 296.4%-34.40% RIU−1-19.35NoNo
Ref. [31]1 to 1.8-0.6376163 GHz/RIU0.0612.67NoNo
Ref. [40]1 to 1.0899.3%3.62 and 3.8143 and 3.59 THz/RIU0.07 and 0.00271329.63YesNo
Proposed Work1.000 to 1.03099.75%3.0453.01 THz/RIU0.03586YesYes
Disclaimer/Publisher’s Note: The statements, opinions and data contained in all publications are solely those of the individual author(s) and contributor(s) and not of MDPI and/or the editor(s). MDPI and/or the editor(s) disclaim responsibility for any injury to people or property resulting from any ideas, methods, instructions or products referred to in the content.

Share and Cite

MDPI and ACS Style

Shruti; Pahadsingh, S.; Appasani, B.; Srinivasulu, A.; Bizon, N.; Thounthong, P. A Reconfigurable Terahertz Metamaterial Absorber for Gas Sensing Applications. Crystals 2023, 13, 158. https://doi.org/10.3390/cryst13020158

AMA Style

Shruti, Pahadsingh S, Appasani B, Srinivasulu A, Bizon N, Thounthong P. A Reconfigurable Terahertz Metamaterial Absorber for Gas Sensing Applications. Crystals. 2023; 13(2):158. https://doi.org/10.3390/cryst13020158

Chicago/Turabian Style

Shruti, Sasmita Pahadsingh, Bhargav Appasani, Avireni Srinivasulu, Nicu Bizon, and Phatiphat Thounthong. 2023. "A Reconfigurable Terahertz Metamaterial Absorber for Gas Sensing Applications" Crystals 13, no. 2: 158. https://doi.org/10.3390/cryst13020158

APA Style

Shruti, Pahadsingh, S., Appasani, B., Srinivasulu, A., Bizon, N., & Thounthong, P. (2023). A Reconfigurable Terahertz Metamaterial Absorber for Gas Sensing Applications. Crystals, 13(2), 158. https://doi.org/10.3390/cryst13020158

Note that from the first issue of 2016, this journal uses article numbers instead of page numbers. See further details here.

Article Metrics

Back to TopTop