Next Article in Journal
Calcite Nanocrystals Investigated Using X-ray Absorption Spectroscopy
Next Article in Special Issue
Band-Gap Properties of Finite Locally Resonant Beam Suspended Periodically with Two-Degree-of-Freedom Force Type Resonators
Previous Article in Journal
Thermophysical Properties of Cement Mortar Containing Waste Glass Powder
Previous Article in Special Issue
Potato Chip-Like 0D Interconnected ZnCo2O4 Nanoparticles for High-Performance Supercapacitors
 
 
Font Type:
Arial Georgia Verdana
Font Size:
Aa Aa Aa
Line Spacing:
Column Width:
Background:
Article

Improved Noise and Device Performances of AlGaN/GaN HEMTs with In Situ Silicon Carbon Nitride (SiCN) Cap Layer

1
Department of Advanced Materials Science and Engineering, Kumoh National Institute of Technology, Gumi 39177, Korea
2
Yield Enhancement Team, Foundry, Samsung Electronics Company Ltd., Yongin 17113, Korea
3
Advanced Material Research Center, Kumoh National Institute of Technology, Gumi 39177, Korea
*
Author to whom correspondence should be addressed.
Crystals 2021, 11(5), 489; https://doi.org/10.3390/cryst11050489
Submission received: 8 April 2021 / Revised: 24 April 2021 / Accepted: 25 April 2021 / Published: 27 April 2021

Abstract

We investigated the effects of in situ silicon carbon nitride (SiCN) cap layer of AlGaN/GaN high-electron mobility transistors (HEMTs) on DC, capacitance-voltage (C-V) and low-frequency noise (LFN). The proposed device with SiCN cap layer exhibited enhanced drain current, reduced gate leakage current, low interface trap density (Dit), and high on/off ratio thanks to the passivation effect, compared to the device without SiCN cap layer. Both devices clearly showed 1/f noise behavior with carrier number fluctuations (CNF), regardless of the existence of SiCN cap layer. The proposed device presented the relative low trap density (Nit) and reduced access noise due to the effective surface passivation in source-drain access region compared to the device without SiCN cap layer. From the improved DC, C-V and noise results of the proposed device, the in situ SiCN cap layer plays an important role in the passivation layer and gate oxide layer in AlGaN/GaN HEMT.

1. Introduction

Owing to superior GaN material properties such as wide band gap (3.4 eV), high electron saturation velocity (2.5 × 107 cm/s), and large breakdown electric field (3.3 MV/cm), AlGaN/GaN high-electron mobility transistors (HEMTs) have many advantages for high-power and high-frequency device applications [1]. In addition, the donor-like surface states on top of AlGaN/GaN HEMTs induce large sheet electron concentrations (ns) at the AlGaN/GaN heterointerface and are also separated from the channel, which leads to a high electron mobility (μe) of two-dimensional electron gas (2-DEG) [2,3]. However, the donor-like surface states occasionally make high leakage current and severe current collapse when operating under high power and frequency conditions, which impacts on the device performance and reliability [4].
In order to solve this issue, the deposition of several dielectric materials such as in situ or ex situ SiNx, GaN, SiO2, and Al2O3, has been reported, which play the role of a gate insulator and/or surface passivation layer in AlGaN/GaN HEMTs [5,6]. Unfortunately, the ex situ dielectric deposition can inevitably generate additional growth- and process-relayed defects on the devices. In contrast, the in situ growth method has many benefits in reducing the threading dislocation density, suppressing surface roughness, and mitigating the modification of the interface property, because an in situ dielectric layer is directly grown on the AlGaN barrier layer in metal-organic chemical vapor deposition (MOCVD) chamber without plasma damage or ambient exposure during deposition [6,7].
Lee et al. [7] reported improved device performance by utilizing an in situ silicon carbon nitride (SiCN) cap layer, due to the enhanced surface passivation effect. Surface passivation also affects reduced noise performance in AlGaN/GaN-based or InAlN/GaN-based HEMTs [8,9,10]. No enhancement of noise performance according to the increased in fsitu SiN thickness was reported by Rzin et al. [11]. However, there is no report on the effect of the gate dielectric on noise performance of AlGaN/GaN HEMTs with in situ SiCN cap layer.
In this work, we fabricate, characterize, and compare the AlGaN/GaN HEMTs with and without SiCN cap layer by considering high resolution X-ray diffraction (HRXRD), Hall effects, transmission electron microscopy (TEM), DC, capacitance-voltage (C-V), and low-frequency noise (LFN). These characteristics provide information on the effects of the SiCN cap layer on the device and the LFN performance of the fabricated devices.

2. Epitaxy Growth and Device Fabrication

The proposed AlGaN/GaN heterostructure with in situ SiCN cap layer was grown on a 4-inch sapphire substrate using MOCVD (AIXTRON, Herzogenrath, Germany). Trimethylaluminum (TMAl), trimethylgallium (TMGa), ammonia (NH3), di-tertiary-butyl-silane (DTBSi), and carbon tetrabromide (CBr4) were employed as gas sources of Al, Ga, N, Si, and C, respectively. The epitaxial layer structure consists of a 30 nm-thick initial nucleation GaN layer at low temperature of 950 °C, a 3 μm-thick highly-resistive GaN buffer layer at 1050 °C, and a 20 nm-thick AlGaN barrier layer, while maintaining the gas pressure at 300 Torr. A 7 nm-thick SiCN cap layer grown at 1100 °C during 60 min was finally deposited to finish the epitaxial growth. The detailed structural characterizations of the in situ SiCN cap layer were reported in previous work [7]. Two different types of epitaxial layer were prepared to fabricate the AlGaN/GaN HEMTs (1), with and (2) without SiCN cap layer (Figure 1a,b).
The reference sample grown without SiCN cap layer exhibited a ns of 2.7 × 1012 cm−2 and μe of 1200 cm2/V·s measured by Hall effect, which leads to poor sheet resistance (Rsh) of 1923 Ω/sq. The degraded Rsh is due to the relatively low Al composition of 12% in the AlGaN barrier layer, which was confirmed by high resolution X-ray diffraction (HRXRD). On the other hand, the proposed sample with SiCN cap layers showed increased ns of 3.7 × 1012 cm−2 and μe of 1690 cm2/V·s caused by the positive charge incorporation of the AlGaN surface during the growth of SiCN cap layer [7]. From HRXRD measurement, both samples presented almost the same Al composition and crystal quality of the GaN buffer, layer excepting a slight difference of AlGaN barrier thickness. Both samples achieved a smooth morphology, but the root mean square (RMS) roughness of 1.37 nm for the proposed sample is lower than that of the reference sample (1.44 nm) analyzed by atomic force microscopy (AFM). The detailed electrical properties for the two samples are shown in Table 1. The TEM image in Figure 1c showed that the 7 nm-thick SiCN cap layer is successfully deposited on the 19 nm-thick AlGaN barrier layer, whose values are similar to that of the HRXRD result in Table 1.

3. Results and Discussion

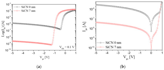
Figure 2 shows the normalized drain current (Ids) and gate leakage current as a function of the gate voltage (Vgs). The drain current for the fabricated AlGaN/GaN HEMTs with SiCN cap layer exhibits the negative shift of threshold voltage (Vth) of approximately 0.7 V compared to the reference device. The reason for the Vth shift is because of the enhancement of the 2-DEG density and increased gate oxide thickness. The off-state and gate leakage current for the SiCN capped device exhibit much lower values compared to the reference device, which leads the device to have a high on/off ratio. This is reflected in the fact that the SiCN cap layer effectively passivates the AlGaN surface, which results in reducing the gate leakage current.
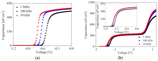
Frequency-dependent C-V measurements are performed at 10 kHz~1 MHz using the circular-type metal-insulator-semiconductor (MIS) capacitor fabricated on the same wafer of both devices, as shown in Figure 3. Both capacitors exhibit almost the same frequency dispersion, whereas the device without SiCN cap layer in Figure 3a shows a severe pinch-off voltage shift (ΔVshift) according to the increased frequency compared to that with SiCN cap layer (Figure 3b). The effective trap states density (Dit) is calculated using the equation for Dit = Cm × ΔVshift/q, where Cm is the measured capacitance and q is the electron charge. The positive voltage shift (ΔVshift) obtained from 10 kHz to 1 MHz are 0.23 V and 0.13 V for the device without and with SiCN cap layer, respectively, corresponding to Dit of 5.7 × 1011 cm−2·eV−1 and 3.2 × 1011 cm−2·eV−1. This demonstrates that the SiCN cap layer effectively reduces the trap density on the AlGaN barrier layer. It is also interesting that the maximum gate voltage can be applied to 1.2 V for the device with SiCN cap layer in Figure 3b without any degradation of capacitance, thanks to the good insulator property of the SiCN cap layer.
To investigate the effect of the SiCN cap layer on the noise performance, LFNs were performed using a noise measurement system from Synergie Concept with shielding box [12]. LFN measurement is an effective diagnostic method to find interface and/or oxide traps as well as surface traps, because the noise at the AlGaN/GaN heterointerface is originated by oxide trapping/de-trapping of electrons in the 2-DEG channel. This conduction mechanism obtained by LFN is interpreted using the carrier number fluctuations (CNF) model proposed by McWhorter [13].
Noise spectra with frequency (f) ranges from 4 Hz to 103 Hz are reported in Figure 4a. Both devices exhibited clearly 1/f noise properties. When applying the (Vgs − Vth) of 0.4 V in the linear region of drain voltage (Vds) = 0.1 V, the noise power spectral densities (SId) for the device without the SiCN cap layer are lower than those of the device with the SiCN cap layer in spite of its high gate leakage current. This result is totally different to the previous work, reported by Hasan, et al. [10]. However, the measured noises between HEMT and MIS-HEMTs with SiO2 were compared at the same gate voltage (Vgs = 0 V), not the same gate overdrive voltage, (Vgs − Vth) [10].
To present the comparison of noise levels more clearly for both devices, the normalized noise power spectral densities (SId/Ids2) according to the Ids (sweeping from subthreshold to strong accumulation region) at f = 10 Hz are shown in Figure 4b. Overall SId/Ids2 for the device with SiCN cap layer were higher values than those for the device, except for the increased SId/Ids2 at high drain current caused by large access resistance [14].
If SId/Ids2 follows (gm/Ids)2 in Figure 4b, this clearly indicates that both devices exhibit the dominance of CNF noise mechanism and can be extracted to the trap density using Equation (1) [15,16],
S Id I ds 2 = g m I ds 2 S Vfb   with   S Vfb = q 2 kT λ N t WLC ox 2 f
where SVfb is the flat band voltage fluctuation, q is the electron charge, kT is the thermal energy, λ is the oxide tunneling attenuation distance (λ = 0.11 nm [14]), Nt is the volumetric oxide trap density, WL is the channel area, and Cox is the gate dielectric capacitance per unit area. The obtained SVfb for both devices were the same at 5.0 × 10−10 V2·Hz−1. The corresponding Nt were calculated at 2.7 × 1020 cm−3·eV−1 for the device without SiCN layer and 2.5 × 1020 cm−3·eV−1 for the device with SiCN layer, respectively, considering the measured maximum Cox value of 398 nF/cm2 and 385 nF/cm2 from the C-V curves at f = 10 kHz and Vgs = 0 V in Figure 3. The reason for the low Nt for the device with SiCN cap layer is because the in situ SiCN cap layer mitigates trap density in the AlGaN barrier layer and plays an important role as the gate oxide layer. This phenomenon is coincident with the decreased Dit obtained from the C-V result of the device with SiCN cap layer, as shown in Figure 3.
The (SId/Ids2) for the device without SiCN cap layer is rapidly proportional to Ids2 at high drain current of ~104 A, which means that the source-drain resistance fluctuations model is involved, using the following Equation (2) [17],
S Id I ds 2 = g m I ds 2 S Vfb + S R sd I ds V ds 2
where SRsd is the spectral density of source-drain series resistance (SRsd = 10−2 Ω2·Hz−1). The reason for the series resistance of the device without SiCN cap layer is due to the poor Rsh from Hall measurement (Table 1) and the relatively high gate leakage current (Figure 2b). On the other hand, the device with the SiCN cap layer has relatively low access resistance without source-drain resistance fluctuations, which indicates that the SiCN cap layer effectively passivates the AlGaN surface of the fabricated device.
The SId/Ids2 according to the (Vgs − Vth) is displayed in Figure 5. Without SiCN cap layer shows a dependence of ~(1/Vgs)2, except for the large access resistance region at a high drain current of 10−4~10−5 A. This reflects that the main noise source in AlGaN/GaN HEMT without SiCN cap layer is mainly due to channel noise [10], which means that the device has a large access noise. On the other hand, the device with SiCN cap layer showed a large negative slope of (1/Vgs), which elucidates that the channel noise is slightly smaller than or comparable to the access noise, due to the effective passivation effect of the SiCN cap layer in the access region.

4. Conclusions

Improved electrical characteristics of the AlGaN/GaN HEMT with in situ SiCN cap layer were observed because the SiCN cap layer effectively passivates the surface of the device. Using C-V and LFN characteristics, the trap density and source-drain resistance fluctuations were estimated, indicating that the proposed device exhibited reduced trap density and small access noise compared to the reference device without SiCN cap layer. Based on the noise results, the in situ SiCN cap layer is preferred in adopting the passivation layer as well as the gate oxide layer in AlGaN/GaN HEMT.

Author Contributions

Writing-review and editing, Y.-J.C., J.-H.L., J.-S.C., S.-J.A., Y.-M.H., J.-S.R. and K.-S.I.; investigation, K.-S.I.; synthesis, J.-H.L.; fabrication, Y.-J.C. and K.-S.I.; data collection of DC, LFN, pulse Y.-J.C. and K.-S.I.; All authors have read and agreed to the published version of the manuscript.

Funding

This research received no external funding.

Institutional Review Board Statement

Not applicable.

Informed Consent Statement

Not applicable.

Data Availability Statement

Not applicable.

Acknowledgments

This work was supported by the National Research Foundation of Korea Grant funded by the Korean Government (NRF-2018R1A6A1A03025761 and NRF-2019R1I1A1A01064011). This research was partially supported by NanoMaterial Technology Development Program through the NRF funded by the Ministry of Science, ICT and Future Planning (2009-0082580).

Conflicts of Interest

The authors declare no conflict of interest.

References

  1. Wu, Y.-F.; Kapolnek, D.; Ibbetson, J.P.; Parikh, P.; Keller, B.P.; Mishra, U.K. Very-high power density AlGaN/GaN HEMTs. IEEE Electron Device Lett. 2001, 48, 586–590. [Google Scholar]
  2. Ibbetson, J.P.; Fini, P.T.; Ness, K.D.; DenBaars, S.P.; Speck, J.S.; Mishra, U.K. Polarization effects, surface states, and the source of electrons in AlGaN/GaN heterostructure field effect transistors. Appl. Phys. Lett. 2007, 77, 250–252. [Google Scholar] [CrossRef]
  3. Ambacher, O.; Smart, J.; Shealy, J.R.; Weimann, N.G.; Chu, K.; Murphy, M.; Schaff, W.J.; Eastman, L.F. Two–dimensional electron gases induced by spontaneous and piezoelectric polarization charges in N– and Ga–face AlGaN/GaN heterostructures. J. Appl. Phys. 1999, 85, 3222. [Google Scholar] [CrossRef]
  4. Vetury, R.; Zhang, N.Q.; Keller, S.; Mishra, U.K. The impact of surface states on the DC and RF characteristics of AlGaN/GaN HFETs. IEEE Trans. Electron. Devices 2001, 48, 560–566. [Google Scholar] [CrossRef]
  5. Luo, B.; Mehandru, R.J.; Kim, J.; Ren, F.; Gila, B.P.; Onstine, A.H.; Abernathy, C.R.; Pearton, S.J.; Fitch, R.; Gillespie, J.; et al. Comparison of Surface Passivation Films for Reduction of Current Collapse in AlGaN/GaN High Electron Mobility Transistors. J. Electrochem. Soc. 2002, 149, G613. [Google Scholar] [CrossRef]
  6. Ma, J.; Lu, X.; Jiang, H.; Liu, C.; Lau, K.M. In situ growth of SiNx as gate dielectric and surface passivation for AlN/GaN heterostructures by metalorganic chemical vapor deposition. Appl. Phys. Exp. 2014, 7, 091002. [Google Scholar] [CrossRef]
  7. Lee, J.-H.; Jeong, J.-H.; Lee, J.-H. Enhanced Electrical Characteristics of AlGaN-Based SBD with in Situ Deposited Silicon Carbon Nitride Cap Layer. IEEE Electron Device Lett. 2012, 33, 492–494. [Google Scholar] [CrossRef]
  8. Vertiatchikh, A.V.; Eastman, L.F. Effect of the Surface and Barrier Defects on the AlGaN/GaN HEMT Low-Frequency Noise Performance. IEEE Electron Device Lett. 2003, 24, 535–537. [Google Scholar] [CrossRef]
  9. Do, T.N.T.; Malmros, A.; Gamarra, P.; Lacam, C.; di Forte-Poisson, M.-A.; Tordjman, M.; Hörberg, M.; Aubry, R.; Rorsman, N.; Kuylenstierna, D. Effects of Surface Passivation and Deposition Methods on the 1/f Noise Performance of AlInN/AlN/GaN High Electron Mobility Transistors. IEEE Electron Device Lett. 2015, 36, 315–317. [Google Scholar] [CrossRef]
  10. Hasan, M.R.; Motayed, A.; Fahad, M.S.; Rao, M.V. Fabrication and comparative study of DC and low frequency noise characterization of GaN/AlGaN based MOS-HEMT and HEMT. J. Vac. Sci. Technol. B 2017, 35, 052202. [Google Scholar] [CrossRef]
  11. Rzin, M.; Guillet, B.; Méchin, L.; Gamarra, P.; Lacam, C.; Medjdoub, F.; Routoure, J.-M. Impact of the in situ SiN Thickness on Low-Frequency Noise in MOVPE InAlGaN/GaN HEMTs. IEEE Trans. Electron Devices 2019, 66, 5080–5083. [Google Scholar] [CrossRef]
  12. Chroboczek, J.A.; Piantino, G. Low Noise Current Amplifier with Programmable Gain and Polarization for Use in Electrical Measurement of Semiconductor Circuits, such as Transistors, with the Circuit Being Low Noise and Having a Protection Circuit for the Input. France Patent No. 15075, 22 November 2000. [Google Scholar]
  13. McWhorter, A.L. 1/f Noise and Germanium Surface Properties. In Semiconductor Surface Physics; University of Pennsylvania Press: Philadelphia, PA, USA, 1957; pp. 207–228. [Google Scholar]
  14. Choi, Y.J.; Lee, J.-H.; An, S.J.; Im, K.-S. Low-Frequency Noise Behavior of AlGaN/GaN HEMTs with Different Al Compositions. Crystals 2020, 10, 830. [Google Scholar] [CrossRef]
  15. Ghibaudo, G.; Roux, O.; Nguyen-Duc, C.; Balestra, F.; Brini, J. Improved Analysis of Low Frequency Noise in Field-Effect MOS Transistors. Phys. Status Solidi A 1991, 124, 571–581. [Google Scholar] [CrossRef]
  16. Ioannidis, E.G.; Dimitriadis, C.A.; Haendler, S.R.; Bianchi, A.; Jomaah, J.; Ghibaudo, G. Improved analysis and modeling of low-frequency noise in nanoscale MOSFETs. Solid-State Electron. 2012, 76, 54–59. [Google Scholar] [CrossRef]
  17. Ghibaudo, G.; Boutchacha, T. Electrical noise and RTS fluctuations in advanced CMOS devices. Microelectron. Reliab. 2002, 42, 573–582. [Google Scholar] [CrossRef]
Figure 1. Schematic illustrations of the fabricated AlGaN/GaN HEMTs (a) with and (b) without in situ SiCN cap layer. No ex situ passivation. (c) Cross-sectional TEM image of SiCN/AlGaN/GaN structure with layer thickness.
Figure 1. Schematic illustrations of the fabricated AlGaN/GaN HEMTs (a) with and (b) without in situ SiCN cap layer. No ex situ passivation. (c) Cross-sectional TEM image of SiCN/AlGaN/GaN structure with layer thickness.
Crystals 11 00489 g001
Figure 2. (a) Normalized drain currents (logarithmic scale) at Vds = 0.1 V and (b) normalized gate leakage currents versus gate voltage of AlGaN/GaN HEMTs with and without the SiCN cap layer (Wg = 50 μm).
Figure 2. (a) Normalized drain currents (logarithmic scale) at Vds = 0.1 V and (b) normalized gate leakage currents versus gate voltage of AlGaN/GaN HEMTs with and without the SiCN cap layer (Wg = 50 μm).
Crystals 11 00489 g002
Figure 3. Capacitance versus gate voltage of AlGaN/GaN HEMTs (a) without and (b) with the SiCN cap layer measured at frequency from 10 kHz. kHz to 1 MHz. The inset indicates to the enlargement of the first hump in C-V curves of (b).
Figure 3. Capacitance versus gate voltage of AlGaN/GaN HEMTs (a) without and (b) with the SiCN cap layer measured at frequency from 10 kHz. kHz to 1 MHz. The inset indicates to the enlargement of the first hump in C-V curves of (b).
Crystals 11 00489 g003
Figure 4. (a) SId versus frequency at the gate overdrive voltage (Vgs − Vth) = 0.4 V, (b) SId/Ids2 (left scale, scatter symbols) and (constant × (gm/Ids)2) (right scale, solid lines) according to drain current in the device without (black square) and with (red circle) SiCN cap layer, respectively (Vds = 0.1 V).
Figure 4. (a) SId versus frequency at the gate overdrive voltage (Vgs − Vth) = 0.4 V, (b) SId/Ids2 (left scale, scatter symbols) and (constant × (gm/Ids)2) (right scale, solid lines) according to drain current in the device without (black square) and with (red circle) SiCN cap layer, respectively (Vds = 0.1 V).
Crystals 11 00489 g004
Figure 5. (SId/Ids)2 as a function of (Vgs − Vth) in the device without (black square) and with (red circle) SiCN cap layer, respectively (Vds = 0.1 V).
Figure 5. (SId/Ids)2 as a function of (Vgs − Vth) in the device without (black square) and with (red circle) SiCN cap layer, respectively (Vds = 0.1 V).
Crystals 11 00489 g005
Table 1. Structural properties and sheet resistances in AlGaN/GaN HEMTs with and without SiCN cap layer measured by Hall effect, HRXRD, and AFM.
Table 1. Structural properties and sheet resistances in AlGaN/GaN HEMTs with and without SiCN cap layer measured by Hall effect, HRXRD, and AFM.
SamplesHall EffectHRXRDAFM (5 × 5 μm2)
SiCN Cap LayerRsh
(Ω/sq.)
μe
(cm2/V·s)
ns
(1012 cm−2)
Al Composition
(%)
AlGaN Thickness
(nm)
RMS
(nm)
0 nm192312002.71220.51.44
7 nm101816903.712.819.51.37
Publisher’s Note: MDPI stays neutral with regard to jurisdictional claims in published maps and institutional affiliations.

Share and Cite

MDPI and ACS Style

Choi, Y.-J.; Lee, J.-H.; Choi, J.-S.; An, S.-J.; Hwang, Y.-M.; Roh, J.-S.; Im, K.-S. Improved Noise and Device Performances of AlGaN/GaN HEMTs with In Situ Silicon Carbon Nitride (SiCN) Cap Layer. Crystals 2021, 11, 489. https://doi.org/10.3390/cryst11050489

AMA Style

Choi Y-J, Lee J-H, Choi J-S, An S-J, Hwang Y-M, Roh J-S, Im K-S. Improved Noise and Device Performances of AlGaN/GaN HEMTs with In Situ Silicon Carbon Nitride (SiCN) Cap Layer. Crystals. 2021; 11(5):489. https://doi.org/10.3390/cryst11050489

Chicago/Turabian Style

Choi, Yeo-Jin, Jae-Hoon Lee, Jin-Seok Choi, Sung-Jin An, Young-Min Hwang, Jae-Seung Roh, and Ki-Sik Im. 2021. "Improved Noise and Device Performances of AlGaN/GaN HEMTs with In Situ Silicon Carbon Nitride (SiCN) Cap Layer" Crystals 11, no. 5: 489. https://doi.org/10.3390/cryst11050489

APA Style

Choi, Y.-J., Lee, J.-H., Choi, J.-S., An, S.-J., Hwang, Y.-M., Roh, J.-S., & Im, K.-S. (2021). Improved Noise and Device Performances of AlGaN/GaN HEMTs with In Situ Silicon Carbon Nitride (SiCN) Cap Layer. Crystals, 11(5), 489. https://doi.org/10.3390/cryst11050489

Note that from the first issue of 2016, this journal uses article numbers instead of page numbers. See further details here.

Article Metrics

Back to TopTop