Abstract
A Schiff-base modified Pt nano-catalyst was prepared via one-pot aldimine condensation and then impregnation-reduction of a platinum precursor, in which the Pt nanoparticles (NPs) with an average size of 2.3 nm were highly dispersed on the support. The as-prepared catalyst exhibited excellent activity and selectivity in the hydrogenation coupling synthesis of aromatic azo compounds from nitroaromatic under mild conditions. The strong metal–support interaction derived from the coordination of nitrogen sites on Schiff-base to Pt NPs enables stabilizing the Pt NPs and achieving the catalytic recyclability. The scheme can also tolerate various functional groups and offer an efficient method for the green synthesis of aromatic azo compounds.
1. Introduction
Aromatic azo compounds (Aazo) are important raw materials, which are widely used in the fields of pigments [1,2,3], radical reaction initiators [4,5,6], food additives [7,8], electronic devices [9,10,11,12], and drugs [13,14,15,16]. The industrial production of Aazo is achieved by the azo-coupling reaction between a diazonium salt and an electron-rich arene, in which stoichiometric amounts of nitrite salts are used, therefore generating large amounts of dangerous wastes of diazonium salts in this process [17,18,19]. Other methods, including the oxidation of anilines by transition metals, the reduction of nitroaromatics by stoichiometric amounts of metals, and the rearrangement of aromatic azoxy compounds, have also been developed for the synthesis of Aazo [20,21,22,23,24,25]. However, these conventional procedures generally require harsh reaction conditions or a long reaction time. Recently, the catalytic reduction of nitroaromatics to Aazo over noble metal catalysts system has been widely studied. For example, Corma et al. reported the Aazo formation from nitroaromatics via a one-pot, two-step reaction using Au/TiO2 [26]. Gu et al. reported Pt nanowires and Pd nanoclusters as efficient catalysts could promote the synthesis of Aazo from the corresponding nitroaromatics in the alkaline condition [27,28,29]. Cao et al. reported the synthesis of Aazo by hydrogenative coupling of nitroarenes over Au/Mg-Al hydrotalcite catalyst without any external additives [30]. Although the catalytic synthesis of Aazo derivatives has achieved high selectivity and good yields, the catalytic efficiency of the noble metal catalysts (the average turnover frequency (TOF) typically less than 300 h−1), at mild reaction conditions, is still needed to improve for the application in industry. Hence, the development of a more efficient heterogeneous catalytic synthetic procedure is highly desirable.
For supported metal catalysts, the support not only disperses the active sites but also modifies the electronic properties of the metals. Furthermore, the support can also provide an active site for the reactant activation and affect the product desorption. Previous studies have shown that nitro groups could be easily adsorbed on basic or reducible supports [31,32]. It is promising to develop a novel support to tune the catalytic activity in the hydrogenation of nitroaromatics. For example, Pt NPs immobilized on nitrogen-doped carbon nanotubes showed improved catalytic performance in the hydrogenation of nitrobenzene to anilines under mild conditions [33].
Herein, a Schiff-base modified silica-supported Pt catalyst has been prepared for the hydrogenation of nitroaromatics to Aazo. The presence of Schiff-base groups greatly enhances the catalytic activity, selectivity, and stability. The highest yield achieved is ca. 91.1% for 4,4′-dichloroazobenzene (DCAB) over Pt0.5/SiO2-Schiff catalyst with the average TOF up to 2601 h−1. The detailed characterization of the structural and electronic properties of the Pt NPs by High-angle annual dark-field scanning transmission electron microscopy (HAADF-STEM), X-ray diffraction (XRD), Fourier transform infrared spectroscopy (FT-IR) and X-ray photoelectron (XPS) spectroscopy reveal “the role of Schiff base”.
2. Results and Discussion
2.1. Catalysts Characterization
XRD patterns of the samples are shown in Figure 1. For the fresh Pt0.5/SiO2 catalyst, besides a broad peak ascribed to the SiO2, there are two diffraction peaks at 2θ = 39.9° and 46.3° corresponding to the (1 1 1) and (2 0 0) planes of the face-centered cubic structures of platinum (ICDD PDF No. 64-0802), respectively (Figure 1a) [34]. According to Scherrer’s equation, the particle size of Pt NPs is estimated to be ca. 3.8 nm. However, only a very weak and broad peak of Pt at 39.8° is discernible for the fresh Pt0.5/SiO2-Shiff catalyst (Figure 1c), indicating Pt NPs with small particles are highly dispersed on the support. In agreement with the XRD results, the HAADF-STEM image (Figure 2a) shows that the size of Pt NPs on the Pt0.5/SiO2 is ca. 3.2 ± 1.0 nm. However, in the case of Pt0.5/SiO2-Shiff, that is 2.3 ± 0.8 nm (Figure 2c).
Figure 1.
XRD patterns of Pt0.5/SiO2 before (a) and after reaction (b), as well as Pt0.5/SiO2-Shiff before (c) and after reaction (d).
Figure 2.
HAADF-STEM images and corresponding size distribution of Pt0.5/SiO2 before (a) and after reaction (b), as well as Pt0.5/SiO2-Shiff before (c) and after reaction (d).
The FT-IR characterization of the fresh Pt0.5/SiO2 and Pt0.5/SiO2-Shiff has been performed to clarify the surface moieties of the catalysts. As seen in Figure 3, for the Pt0.5/SiO2 catalyst, only characteristic absorption bands for the pure SiO2 are detected, that is, the band at 1107 cm−1 is assigned to the antisymmetric stretching vibration of the Si-O. In contrast, for the Pt0.5/SiO2-Shiff catalyst, additional bands at 2869 and 2927 cm−1 can be assigned to the symmetric and asymmetric vibrations of the -CH2 groups. The N-H moiety vibration band is observed at 934 cm−1, which is attributed to the uncondensed amino group. In addition, the appearance of the Schiff base (-N=C) band at 1695 cm−1 indicates the successful graft of Schiff base on the surface of SiO2 support [35].
Figure 3.
FT-IR spectra of Pt0.5/SiO2 before (a) and after reaction (b), as well as Pt0.5/SiO2-Shiff before (c) and after reaction (d).
XPS was further performed to characterize the electronic properties of Pt NPs. For the fresh 0.5 wt % Pt/SiO2 (Figure 4a), the binding energy centered at 74.39 and 71.19 eV can be assigned to Pt4f5/2 and Pt4f7/2 of Pt0, respectively. While for the 0.5 wt % Pt/SiO2-Shiff catalyst (Figure 4b), the binding energy of Pt4f5/2 and Pt4f7/2 of Pt0 shifted to 73.89 and 70.49 eV. Such a negative shift can be attributed to the electron donation from nitrogen atom to Pt [36,37]. Therefore, there is a strong interaction between the Pt NPs and the organic groups on SiO2-Schiff.
Figure 4.
Core level XPS spectra in Pt4f regions of Pt0.5/SiO2 (a) and Pt0.5/SiO2-Schiff (b) catalysts.
2.2. Catalytic Activity
The catalytic performance of the as-synthesized Pt nano-catalysts was evaluated in the hydrogenation of p-chloronitrobenzene (p-CNB), the hydrogenation reaction is shown in Scheme 1. As shown in Table 1, under mild hydrogenation conditions, i.e., 0.5 MPa of H2 pressure in ethanol at 50 °C and KOH as additives, the Pt0.5/SiO2-Schiff shows an excellent hydrogenation activity and azo selectivity, with a yield of 91.1% at the initial 30 min. The average TOF over Pt0.5/SiO2-Schiff catalyst is up to 2601 h−1 (Table 1, entry 3). For comparison, the Pt0.5/SiO2 catalyst prefers to the formation of 4,4′-dichloroazoxybenzene (DCAOB) in a yield of ca. 79.0% (Table 1, entry 1).
Scheme 1.
Hydrogenation of p-chloronitrobenzene (p-CNB) over different catalysts.
Table 1.
Hydrogenation of p-chloronitrobenzene (p-CNB) to 4,4′-dichloroazobenzene (DCAB) over different catalysts.
In addition, the Pt/SiO2-Schiff catalyst presents much better stability than that of the Pt/SiO2 catalyst, and only a slight decrease in catalytic efficiency is found in the two successive cycles. However, the catalytic activity of Pt0.5/SiO2 catalyst decreases obviously in cycle experiment (conversion from 92.6 to 10.6%) compared with that of the Pt0.5/SiO2-Schiff catalyst. To understand the unexpected catalytic performance of the Pt/SiO2-Schiff catalyst, we have made a careful comparison of the characterization of the two samples. The inductively coupled plasma-atomic emission spectroscopy (ICP-AES) results show that the Pt loading for the Pt0.5/SiO2 catalyst has a great decrease from 0.48 to 0.31% after one cycle. However, the metal loading of the Pt0.5/SiO2-Schiff catalyst keeps almost constant after the reaction. The presence of Schiff-base will prevent the leaching of platinum during the reaction process. No obvious change of particle size and peak position are observed in the XRD pattern of the spent Pt0.5/SiO2-Schiff (Figure 1), which indicates that Pt0.5/SiO2-Schiff catalyst has better alkali resistance due to the Schiff base functional group on the surface. While for the used Pt0.5/SiO2 catalyst, the peak position of the silica is slightly shifted because potassium silicate (ICDD PDF No. 48-0866) is formed via the reaction of SiO2 support with KOH. Correspondingly, as shown in the HAADF-STEM images, the stability of Pt0.5/SiO2-Schiff is much better than that of Pt0.5/SiO2 catalyst. The Pt particle size of the spent Pt0.5/SiO2-Schiff has an average size of 2.8 ± 1.1 nm (Figure 2d), while the Pt particle size of the spent Pt0.5/SiO2 is ca. 4.6 nm with some bigger particles even larger than 10 nm (Figure 2b). The enhanced activity and stability of Pt/SiO2-Schiff can be attributed to the strong interaction between the organic groups around and Pt NPs, which keeps the catalytic efficiency of active sites in the reaction.
The effect of Pt loadings in the Pt/SiO2-Schiff catalyst for the hydrogenation of p-CNB has also been investigated. The ICP-AES results show that the actual loadings of Pt are 0.76, 0.48 and 0.28 wt % for Pt0.8/SiO2-Shiff, Pt0.5/SiO2-Shiff, and Pt0.3/SiO2-Shiff, respectively. TEM images of Pt0.8/SiO2-Shiff, Pt0.5/SiO2-Shiff, and Pt0.3/SiO2-Shiff show the similar metal particle size, 2.6, 2.2, and 2.4 nm, respectively, as shown in Figure S1. N2-physical adsorption results show that these catalyst samples have the same specific surface area (ca. 18 m2 × g−1). Under the same reaction conditions, the Pt0.3/SiO2-Schiff catalyst presents a relatively low selectivity due to the lowest Pt content. However, the selectivity to DCAB can be reached to 90% after extending the reaction time to 1 h.
Generally, the catalytic activity and selectivity are sensitive to the base employed in the formation of Aazo [27,28,29,38,39,40,41]. In our results, the amount and strength of the base have also a great influence on the catalytic nitroaromatic hydrogenation. Without the presentation of base, the p-chloroaniline (p-CNA) is the main product (with a selectivity of 97.3%) at 96.5% conversion of nitrobenzene. Once the base was added in the reaction system, even with a weak base, such as K2CO3 and Na2CO3, DCAOB and p-CNA would become the main products. As a strong base, such as KOH, was used in the reaction, DCAB was then served as the main product, suggesting that a strong base was indispensable in the course of DCAB formation. The basic additive changes the reaction pathway of the nitroaromatic hydrogenation, in which the dehydration coupling reaction of the aromatic hydroxylamine compound with the aromatic nitroso compound to form an oxygen azo compound is promoted. Subsequently, the oxygen azo compound is further hydrogenated to form an azo compound, enhancing the selectivity to the DCAB. In addition, the amount of KOH significantly affects the product selectivity (Table 1), and the superior yield (91.1%) of DCAB is achieved when 2.0 equivalents of KOH is used, which is the most effective way so far for the azobenzene synthesis.
Solvent effects were also investigated under similar reaction conditions (Table 2). In comparison with other commonly used solvents, our results suggest that ethanol serves as the best solvent for the generation of DCAB (91.1% yield). The reactions in p-xylene, toluene, n-heptane show a relatively low activity, with DCAOB as a predominant product, which is the intermediate in the DCAB formation. Generally, less polar protic solvents, such as methanol, ethanol, and i-propanol, result in the desired product of DCAB. It has been widely reported that the protic solvents could be served as hydrogen donors in hydrogenation reactions. Therefore, the hydrogen transfer process in protic solvents benefits the hydrogenation involved in the DCAB formation reaction.
Table 2.
Effect of solvent and base on the coupling reactions of p-CNB.
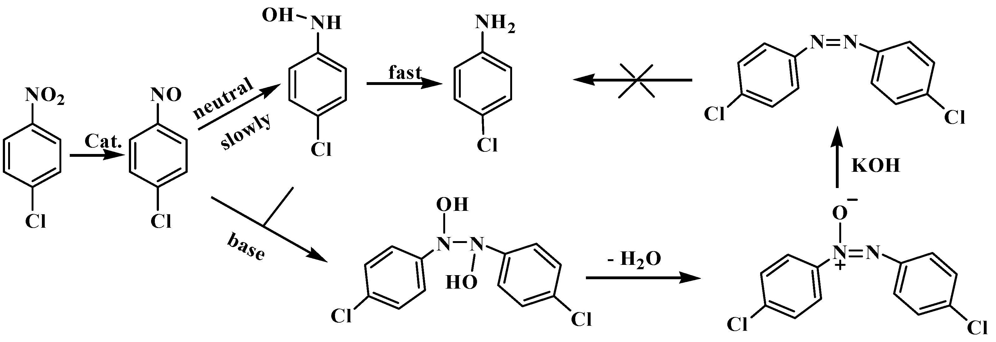
To explore the reaction mechanism, the evolution of product distribution was monitored with the reaction time (Figure 5). As we can see, the DCAOB intermediate was predominant at the initial stage, which is further transformed into DCAB. The other hydrogenative intermediates, such as nitrosobenzene and phenylhydroxylamine, are not detected. Based on the above experimental results, the mechanism of the hydrogenation of p-CNB to the corresponding DCAB is proposed in Figure 6, which is consistent with the literature report [31,42]. The Schiff base promotes the adsorption of p-CNB, and the Pt NPs are served as active sites to activate H2. The H on the Pt surface reacts with the adsorbed p-CNB to generate p-CNA, which would be converted to 4-chloro-N-hydroxybenzenamine. This 4-chloro-N-hydroxybenzenamine can be easily reduced to aniline under a neutral condition, and no coupling product was detected in our experiments. However, when a base is added, the generated 4-chloro-N-hydroxybenzenamine will quickly couple with nitrosobenzene to form 4,4′-dichloro-N,N′-dihydroxy-diphenylhydrazine. This dihydroxy intermediate is then dehydrated to give DCAOB and further hydrogenated to DCAB under strong alkali environment. As a result, DCAB is the only observed coupling product.
Figure 5.
Substrate and product concentration profiles as a function of the reaction time.
Figure 6.
The mechanism of the hydrogenation of p-CNB to the corresponding DCAB.
To confirm our proposed mechanism, a serial experiment of the hydrogenation of DCAOB and DCAB was performed. Indeed, hydrogenation of DCAOB to DCAB does not occur under weakly alkaline conditions even for a long period reaction time. With a strong base, DCAOB can be readily converted into DCAB with a high yield (98%) within 30 min. While the generated DCAB could not continue to be hydrogenated to 4,4′-dichlorohydrazobenzene or p-CNA under the given condition. As a result, DCAB is the major product in the selective hydrogenation of p-CNB reaction under strongly basic condition.
To demonstrate the general applicability of this Pt/SiO2-Schiff catalyst, a series of nitroaromatic compounds in the synthesis of Aazo (Scheme 2) were tested. As shown in Table 3, most of the substituted nitrobenzenes can result in good performance, especially for the compounds with the presence of electron-withdrawing substituents. With an electron donative group such as alkyl (methyl), arylamine (a yield of 49.7%) is the predominant by-product. While the yield of Aazo can up to 86.1% when i-propanol is used as a solvent and the reaction temperature is raised to 90 °C. The unsubstituted nitrobenzenes are relatively inert in the Aazo formation at the given conditions (50 °C, 0.5 MPa H2), and the major by-product is azoxybenzene (yield 58.7%). However, it can convert to azobenzene with a yield as high as 84.7% at the higher reaction temperature (90 °C). Moreover, steric properties of the substituent also significantly affect the reaction. Specifically, the yield of p-substituted azo arene is higher than that of the corresponding m-substituted azo arene (Table 3, entry 5 and 6). Halogenated nitroarenes can be readily converted to corresponding azo compounds without any dehalogenation, while a side reaction is often unavoided in the conventional hydrogenation condition.
Scheme 2.
Hydrogenation of different substituted nitrobenzenes to form Aazo over Pt catalyst.
Table 3.
Hydrogenation of different substituted nitrobenzenes over Pt catalyst.
3. Materials and Methods
3.1. Catalyst Synthesis
SiO2-Schiff: SiO2-Shiff was synthesized according to our previously reported procedure [43], in which the aldimine condensation of (3-aminopropyl)-triethoxysilane (APTES) with formaldehyde was involved. Typically, a HCHO solution (10 mL, 37%) was dripped into an APTES aqueous solution (500 mL, 0.12 mol × L−1) while stirring at 40 °C for 1 h. A white precipitate formed, which was filtered and washed with deionized water. And then, the precipitate was aged at 150 °C for 12 h in a Teflon-lined autoclave (Dalian, China). After cooling down to room temperature, a stable Schiff-base functionalized SiO2 support was obtained after by filtering, washing with an excess amount of deionized water, and then drying in vacuum (Shanghai, China) at 120 °C for 12 h.
Pt/SiO2-Shiff: Briefly, 0.5 g SiO2-Shiff was added into an ethanol solution of H2PtCl6 × 4H2O (0.032 mM, 400 mL), and the mixture was magnetically stirred at 80 °C for 30 min. Then, 15 mL of NaBH4 (20 mg) aqueous solution was added to reduce H2PtCl6 to platinum catalyst. After stirring for 1 h, the solid was filtered and washed with an excess amount of deionized water. After drying in vacuum at 120 °C for 12 h, the Pt/SiO2-Shiff catalyst was obtained.
Pt/SiO2: The silica support (with a Brunauer-Emmett-Teller (BET) surface area of 596 m2 × g−1) supplied by Qingdao University was calcined in air at 500 °C for 2 h to remove adsorbed water before used. The Pt/SiO2 was prepared by incipient wet technique. Typically, 2mL H2PtCl6 × 4H2O (0.032 mM) aqueous solution was impregnated with 0.5 g SiO2 to generate precursors containing 0.5 wt % Pt. The mixture was magnetically stirred for 2 h under room temperature and then aged for 24 h, followed by drying in an oven at 120 °C for 12 h. The samples were calcined in air at 400 °C for 3 h and reduced in a flowing H2/Ar mixture (50 mL × min−1; 20/30 v/v) at 300 °C for 3 h. This final product was denoted as Pt/SiO2.
3.2. Catalyst Characterization
Pt loadings of as-prepared catalysts were analyzed by inductively coupled plasma-atomic emission spectroscopy (ICP-AES). An X-ray diffraction (XRD) experiment was performed on a PW3040/60 X’ Pert PRO (PANalytical, Almelo, Netherland) diffractometer (with CuKa X-ray source operated at 40 kV and 50 mA). High-angle annual dark-field scanning transmission electron microscopy (HAADF-STEM) images of samples were recorded with the FEI Tecnai G2 F30 S-Twin microscope (Thermo Fisher Scientific, Waltham, MA, USA) operated at 300 kV. Before a typical STEM experiment, the sample was dispersed into ethanol after grinding, and the suspension was deposited onto a clean carbon-enhanced copper grid and then dried in air. Fourier transform infrared (FT-IR) spectroscopy with a resolution of 4 cm−1 were acquired by Bruker tensor 27 (Billerica, MA, USA) equipped with a DLATGS detector. X-ray photoelectron spectroscopy (XPS) spectra were achieved under a vacuum pressure of 10−9 Torr, with a VG ESCALAB 250 (Thermo Fisher Scientific) equipped with a monochromated Al–Ka radiation source (1486.6 eV), and the binding energy was scaled to the C1s (284.6 eV).
3.3. Catalyst Evaluation
Typically, a catalyst (30 mg), p-CNB (1.0 mmol), potassium hydroxide (KOH) (2.0 mmol, 2.0 equivalence vs. the number of reaction substrate) was added to an ethanol solvent (5 mL). The reaction mixture was put in a 25 mL reactor and charged with 0.5 MPa H2. The reaction was conducted at 50 °C for a certain time. The product yield was quantified by gas chromatography (GC) with FID (Shanghai Tianmei, GC7900 (Shanghai, China) equipped with an HP-5 column (30 m × 0.32 mm × 0.25 μm)).
For the recyclability test, the spent catalyst was isolated by centrifugation and then thoroughly washed with deionized water, toluene, and ethanol, and dried at 120 °C in vacuum.
4. Conclusions
In summary, a facile and highly efficient synthesis process for Aazo formation has been developed using Pt/SiO2-Schiff catalysts. Compared with the traditional Pt/SiO2 nano-catalysts, this Schiff-base modified Pt nano-catalyst showed high selectivity for the Aazo. The interaction between Pt and Schiff base stabilized Pt NPs and tuned the electronic state of Pt, enhancing the catalytic activity and stability. This new route can also be applied for the fabrication of other Schiff based modified metal nanoparticles (such as Pd and Au) by altering the metal precursors, showing promise in catalysis and other fields.
Supplementary Materials
The following are available online at https://www.mdpi.com/2073-4344/9/4/339/s1, Figure S1: TEM images and corresponding size distribution of Pt0.8/SiO2-Shiff(a), Pt0.5/SiO2-Shiff (b) and Pt0.3/SiO2-Shiff(c).
Author Contributions
Y.T. designed the project and performed the catalyst preparation, characterizations and catalytic tests. X.W. and H.W. proposed, planned, designed and supervised the project. M.W., Q.L., Y.S. and H.L. participated in beneficial discussion. C.L. and X.C. helped to polish the manuscript. All authors reviewed and commented on the manuscript.
Funding
This work was supported by the National Natural Science Foundation of China (21676145, 21377018, 21872135) and the Fundamental Research Funds for the Central Universities (DUT18LK34).
Acknowledgments
We thank anonymous reviewers for helpful suggestions on the manuscript.
Conflicts of Interest
The authors declare no conflict of interest.
References
- Qiu, J.; Xiao, J.; Tang, B.; Ju, B.; Zhang, S. Facile synthesis of novel disperse azo dyes with aromatic hydroxyl group. Dyes Pigm. 2019, 160, 524–529. [Google Scholar] [CrossRef]
- Merino, E. Synthesis of azobenzenes: The coloured pieces of molecular materials. Chem. Soc. Rev. 2011, 40, 3835. [Google Scholar] [CrossRef] [PubMed]
- Merino, E.; Ribagorda, M. Control over molecular motion using thecis–transphotoisomerization of the azo group. Beilstein J. Org. Chem. 2012, 8, 1071–1090. [Google Scholar] [CrossRef]
- Neistadt, M.E. Educational Interpretation of “Cooperative Learning as an Approach to Pedagogy”. Am. J. Occup. Ther. 1999, 53, 41–43. [Google Scholar] [CrossRef][Green Version]
- Bamford, C.H.; Ledwith, A.; Yagci, Y. Synthesis and reactions of polymers with photoactive terminal groups: 2. New azo-initiator for the synthesis of polymers with N-acyldibenz[b,f] azepine terminal units. Polymer 1978, 19, 354–356. [Google Scholar] [CrossRef]
- Denizli, A.; Pişkin, E. Dye-ligand affinity systems. J. Biochem. Bioph. Methods 2001, 49, 391–416. [Google Scholar] [CrossRef]
- Osman, M.Y.; Sharaf, I.A.; Osman, H.M.Y.; El-Khouly, Z.A.; Ahmed, E.I. Synthetic organic food colouring agents and their degraded products: effects on human and rat cholinesterases. Br. J. Biomed. Sci. 2004, 61, 128–132. [Google Scholar] [CrossRef]
- Shimada, C.; Kano, K.; Sasaki, Y.F.; Sato, I.; Tsudua, S. Differential colon DNA damage induced by azo food additives between rats and mice. J. Toxicol. Sci. 2010, 35, 547–554. [Google Scholar] [CrossRef] [PubMed]
- Cisnetti, F.; Ballardini, R.; Credi, A.; Gandolfi, M.T.; Masiero, S.; Negri, F.; Pieraccini, S.; Spada, G.P. Photochemical and Electronic Properties of Conjugated Bis(azo) Compounds: An Experimental and Computational Study. Chem. Eur. J. 2004, 10, 2011–2021. [Google Scholar] [CrossRef] [PubMed]
- Van der Zee, F.P.; Cervantes, F.J. Impact and application of electron shuttles on the redox (bio)transformation of contaminants: A review. Biotechnol. Adv. 2009, 27, 256–277. [Google Scholar] [CrossRef]
- Hong, Y.G.; Gu, J.D. Physiology and biochemistry of reduction of azo compounds by Shewanella strains relevant to electron transport chain. Appl. Microbiol. Biotechnol. 2010, 88, 637–643. [Google Scholar] [CrossRef]
- Khayat, Z.; Zali-Boeini, H. Novel sugar-based azo dyes as multistimuli responsive supramolecular gelators and chemosensors. Dyes Pigm. 2018, 159, 337–344. [Google Scholar] [CrossRef]
- Sandborn, W.J.; Hanauer, S.B. The pharmacokinetic profiles of oral mesalazine formulations and mesalazine pro-drugs used in the management of ulcerative colitis. Aliment. Pharmacol. Therap. 2003, 17, 29–42. [Google Scholar] [CrossRef]
- Fujita, S.; Suzuki, M.; Peisach, J.; Suzuki, T. Induction of hepatic microsomal drug metabolism by azo compounds: A structure-activity relationship. Chem. Biol. Interact. 1984, 52, 15–37. [Google Scholar] [CrossRef]
- Sandborn, W.J. Rational selection of oral 5-aminosalicylate formulations and prodrugs for the treatment of ulcerative colitis. Am. J. Gastroenterol. 2002, 97, 2939–2941. [Google Scholar] [CrossRef]
- Riedinger, A.; Guardia, P.; Curcio, A.; Garcia, M.A.; Cingolani, R.; Manna, L.; Pellegrino, T. Subnanometer Local Temperature Probing and Remotely Controlled Drug Release Based on Azo-Functionalized Iron Oxide Nanoparticles. Nano Lett. 2013, 13, 2399–2406. [Google Scholar] [CrossRef]
- Kenawy, E.-R.; Aly, E.; Imam Abdel-Hay, F.; Abdeen, R.; Mahmoud, Y.A.-G. Synthesis and microbial degradation of azopolymers for possible applications for colon specific drug delivery I. J. Saudi Chem. Soc. 2011, 15, 327–335. [Google Scholar] [CrossRef]
- Haghbeen, K.; Tan, E.W. Facile Synthesis of Catechol Azo Dyes. J. Org. Chem. 1998, 63, 4503–4505. [Google Scholar] [CrossRef]
- Raicopol, M.; Andronescu, C.; Atasiei, R.; Hanganu, A.; Manea, A.M.; Rau, I.; Kajzar, F.; Pilan, L. Synthesis of conducting azopolymers by electrochemical grafting of a diazonium salt at polypyrrole electrodes. Synth. Met. 2015, 206, 84–91. [Google Scholar] [CrossRef]
- Hutchins, R.O.; Lamson, D.W.; Rua, L.; Milewski, C.; Maryanoff, B. Reduction of aromatic nitro compounds with sodium borohydride in dimethyl sulfoxide or sulfolane. Synthesis of azo or azoxy derivatives. J. Org. Chem. 1971, 36, 803–806. [Google Scholar] [CrossRef]
- Entwistle, I.D.; Gilkerson, T.; Johnstone, R.A.W.; Telford, R.P. Rapid catalytic transfer reduction of aromatic nitro compounds to hydroxylamines. Tetrahedron 1978, 34, 213–215. [Google Scholar] [CrossRef]
- Bouoit-Montésinos, S.; Bassus, J.; Perrin, M.; Lamartine, R. Synthesis of new phenylazocalix[n]arenes (n = 4, 5). Tetrahedron Lett. 2000, 41, 2563–2567. [Google Scholar] [CrossRef]
- Gowda, S.; Gowda, D.C. Application of Lead and Ammonium Formate as a New System for the Synthesis of Azo Compounds. Synthesis-Stuttgart 2002, 4, 460–462. [Google Scholar] [CrossRef]
- Moglie, Y.; Vitale, C.; Radivoy, G. Synthesis of azo compounds by nanosized iron-promoted reductive coupling of aromatic nitro compounds. Tetrahedron Lett. 2008, 41, 1828–1831. [Google Scholar] [CrossRef]
- Khan, F.A.; Dash, J.; Sudheer, C.; Gupta, R.K. Chemoselective reduction of aromatic nitro and azo compounds in ionic liquids using zinc and ammonium salts. Tetrahedron Lett. 2003, 44, 7783–7787. [Google Scholar] [CrossRef]
- Grirrane, A.; Corma, A.; Garcia, H. Gold-Catalyzed Synthesis of Aromatic Azo Compounds from Anilines and Nitroaromatics. Science 2008, 322, 1661–1664. [Google Scholar] [CrossRef]
- Wang, J.; Hu, L.; Cao, X.; Lu, J.; Li, X.; Gu, H. Catalysis by Pd nanoclusters generated in situ of high-efficiency synthesis of aromatic azo compounds from nitroaromatics under H2 atmosphere. RSC Adv. 2013, 3, 4899–4902. [Google Scholar] [CrossRef]
- Hu, L.; Cao, X.; Shi, L.; Qi, F.; Guo, Z.; Lu, J.; Gu, H. A Highly Active Nano-Palladium Catalyst for the Preparation of Aromatic Azos under Mild Conditions. Org. Lett. 2011, 13, 5640–5643. [Google Scholar] [CrossRef]
- Hu, L.; Cao, X.; Chen, L.; Zheng, J.; Lu, J.; Sun, X.; Gu, H. Highly efficient synthesis of aromatic azos catalyzed by unsupported ultra-thin Pt nanowires. Chem. Commun. 2012, 48, 3445–3447. [Google Scholar] [CrossRef]
- Liu, X.; Li, H.Q.; Ye, S.; Liu, Y.M.; He, H.Y.; Cao, Y. Gold-Catalyzed Direct Hydrogenative Coupling of Nitroarenes To Synthesize Aromatic Azo Compounds. Angew. Chem. 2014, 126, 7754–7758. [Google Scholar] [CrossRef]
- Corma, A.; Serna, P.; García, H. Gold Catalysts Open a New General Chemoselective Route to Synthesize Oximes by Hydrogenation of α,β-Unsaturated Nitrocompounds with H2. J. Am. Chem. Soc. 2007, 129, 6358–6359. [Google Scholar] [CrossRef]
- Boronat, M.; Concepción, P.; Corma, A.; González, S.; Illas, F.; Serna, P. A Molecular Mechanism for the Chemoselective Hydrogenation of Substituted Nitroaromatics with Nanoparticles of Gold on TiO2 Catalysts: A Cooperative Effect between Gold and the Support. J. Am. Chem. Soc. 2007, 129, 16230–16237. [Google Scholar] [CrossRef]
- Shi, W.; Zhang, B.; Lin, Y.; Wang, Q.; Zhang, Q.; Su, D.S. Enhanced Chemoselective Hydrogenation through Tuning the Interaction between Pt Nanoparticles and Carbon Supports: Insights from Identical Location Transmission Electron Microscopy and X-ray Photoelectron Spectroscopy. ACS Catal. 2016, 6, 7844–7854. [Google Scholar] [CrossRef]
- Xiong, B.; Zhou, Y.; Zhao, Y.; Wang, J.; Chen, X.; O’Hayre, R.; Shao, Z. The use of nitrogen-doped graphene supporting Pt nanoparticles as a catalyst for methanol electrocatalytic oxidation. Carbon 2013, 52, 181–192. [Google Scholar] [CrossRef]
- Lou, L.L.; Jiang, S.; Yu, K.; Gu, Z.; Ji, R.; Dong, Y.; Liu, S. Mesoporous silicas functionalized with aminopropyl via co-condensation: Effective supports for chiral Mn(III) salen complex. Micropor. Mesopor. Mat. 2011, 142, 214–220. [Google Scholar] [CrossRef]
- Yu, C.; Yang, K.; Xie, Y.; Fan, Q.; Yu, J.C.; Shu, Q.; Wang, C. Novel hollow Pt-ZnO nanocomposite microspheres with hierarchical structure and enhanced photocatalytic activity and stability. Nanoscale 2013, 5, 2142. [Google Scholar] [CrossRef]
- Liu, X.; Chen, N.; Han, B.; Xiao, X.; Chen, G.; Djerdj, I.; Wang, Y. Nanoparticle cluster gas sensor: Pt activated SnO2 nanoparticles for NH3 detection with ultrahigh sensitivity. Nanoscale 2015, 7, 14872–14880. [Google Scholar] [CrossRef]
- Song, J.; Huang, Z.F.; Pan, L.; Li, K.; Zhang, X.; Wang, L.; Zou, J.J. Review on selective hydrogenation of nitroarene by catalytic, photocatalytic and electrocatalytic reactions. Appl. Catal. B 2018, 227, 386–408. [Google Scholar] [CrossRef]
- Combita, D.; Concepción, P.; Corma, A. Gold catalysts for the synthesis of aromatic azocompounds from nitroaromatics in one step. J. Catal. 2014, 311, 339–349. [Google Scholar] [CrossRef]
- Zhu, H.; Ke, X.; Yang, X.; Sarina, S.; Liu, H. Reduction of Nitroaromatic Compounds on Supported Gold Nanoparticles by Visible and Ultraviolet Light. Angew. Chem. Int. Ed. 2010, 49, 9657–9661. [Google Scholar] [CrossRef]
- Guo, X.; Hao, C.; Jin, G.; Zhu, H.Y.; Guo, X.Y. Copper Nanoparticles on Graphene Support: An Efficient Photocatalyst for Coupling of Nitroaromatics in Visible Light. Angew. Chem. Int. Ed. 2014, 53, 1973–1977. [Google Scholar] [CrossRef]
- Xiao, Q.; Liu, Z.; Wang, F.; Sarina, S.; Zhu, H. Tuning the reduction power of visible-light photocatalysts of gold nanoparticles for selective reduction of nitroaromatics to azoxy-compounds—Tailoring the catalyst support. Appl. Catal. B 2017, 209, 69–79. [Google Scholar] [CrossRef]
- Liu, Q.; Yang, X.; Li, L.; Miao, S.; Li, Y.; Wang, X.; Huang, Y.; Zhang, T. Direct catalytic hydrogenation of CO2 to formate over a Schiff-base-mediated gold nanocatalyst. Nat. Commun. 2017, 8, 1407. [Google Scholar] [CrossRef]
© 2019 by the authors. Licensee MDPI, Basel, Switzerland. This article is an open access article distributed under the terms and conditions of the Creative Commons Attribution (CC BY) license (http://creativecommons.org/licenses/by/4.0/).







