You are currently viewing a new version of our website. To view the old version click .
Games
  • Article
  • Open Access

11 October 2024

Simulation of the Stackelberg–Hotelling Game

,
,
and
Complex Systems Group, Universidad Politécnica de Madrid, C. Universitaria, 28040 Madrid, Spain
*
Author to whom correspondence should be addressed.
This article belongs to the Section Algorithmic and Computational Game Theory

Abstract

This work studies the Hotelling game with sequential choice of prices, that is, the Stackelberg–Hotelling (SHOT) game. The game is studied through numerical simulation, which provides the subgame perfect equilibrium solution not only in the unrestricted game but also in the game with reservation cost and with elastic demand. The simulation technique is tested first in the unconstrained game, where the analytical subgame perfect equilibrium solution was already known. Then, the numerical procedure is generalized to cope with the SHOT game with reservation cost and with elastic demand. These enriched formulations of the SHOT game have not been studied so far, so this article provides an exploratory study of them.

1. Introduction

In 1929, Harold Hotelling published its article [1], where a very influential spatial competition model was defined. It involves two vendors located on a line, selling an identical product with customers spread equally along this line. These firms compete on location and price in the proposed homogeneous market, so that a customer decides to buy the product of a firm depending on the price and the transportation cost to the point of sale, assumed to be linear with the distance in the initial model. The sum of the price of the product and the transportation cost associated with a customer represents the expenses of buying the product by this customer. He established what is known as the principle of minimum differentiation, which means that firms make products that tend to be more equal, or, as Hotelling said in his article, “an undue tendency for competitors to imitate each other in quality of goods, in location, and in other essential ways”. In the concrete case of Hotelling’s initial model, it implies that companies tend to select similar locations for their stores. Thereafter, a large literature on spatial competition and product differentiation emerged, inspiring the development of spatial models of political competition and becoming an indispensable part of Economics teaching [2]. Although it caused great criticism due to its limitations, it cannot be proved that the principle of minimum differentiation is invalid until fifty years later in [3], where it is stated that Nash Equilibrium (NE) only exists under certain conditions in contrast to the seminal analysis by Hotelling.
The first relevant extension of Hotelling’s game was introduced by Lerner and Singer in [4]. In Hotelling’s pioneer model, each consumer takes one unit of the product from one of the players, no matter how high the expenses of buying the product are. Lerner and Singer, in an attempt to make the model more realistic, imposed an upper threshold, called reservation cost, above which customers do not buy the product and the demand falls from one to zero.
The demand in the seminal article was assumed to be inelastic. A. Smithies in [5] contributed to the evolution of the model by including the concept of elastic demand in addition to the reservation cost. According to that, the demand varies as a function of the price and the distance from the customer to the vendor’s location.
In the usual approach to the Hotelling game, both players decide simultaneously. In contrast to this, the aim of this article is the study of the behavior of the game when the players decide in a leader–follower sequential manner.
Section 2 introduces the conventional Hotelling game with simultaneous price choices. Section 3 introduces the Hotelling game with sequential choices, i.e., the Stackelberg–Hotelling (SHOT) game. The numerical simulation technique implemented in this article is introduced in Section 4. The conventional SHOT game is simulated in Section 5. The SHOT game with reservation cost is simulated in Section 6, and the SHOT game with elastic demand is simulated in Section 7.
The main finding of this paper is that, unlike in most games, in the sequential Hotelling game, the follower has an advantage over the leader (obtains a higher payoff) in the equilibrium solution (SPE) of the game. Quantifying this advantage and scrutinizing how it is achieved makes up the core of this paper.

2. The Hotelling Game (HOT)

In the Hotelling game (HOT), two players (1 and 2) are located in a line of length L at locations x 1 = a L / 2 and x 2 = L b L / 2 . They sell a homogeneous product at prices p 1 and p 2 to consumers uniformly distributed across the line  [1]. If the transportation cost is linear with respect to the distance to the player, the expenses (or full prices) of a generic consumer located at s are e i ( s ) = p i + t | s x i | , i = 1 , 2   As a result, the indifferent consumer, where e 1 ( s ) = e 2 ( s ) , is located at s ¯ = 1 2 s x + p 2 p 1 t , s x = x 1 + x 2 = L + k ; k = a b , so that the demands to both players are d 1 = s ¯ , d 2 = L s ¯ . Consequently, the payoff functions (u) in the HOT game are given in Equation (1), which also take into account the capture of the entire market by a player that charges a very low price.
u 1 = L p 1 if p 1 < p 2 t d x d 1 p 1 if | p 1 p 2 | t d x 0 if p 1 > p 2 + t d x , u 2 = L p 2 if p 2 < p 1 t d x d 2 p 2 if | p 1 p 2 | t d x 0 if p 2 > p 1 + t d x d x = x 2 x 1
The Nash equilibrium (NE) in the Hotelling (HOT) game found in the seminal Reference [1] is given in Equation (2a)1. Because u 1 * increases with a and u 2 * with b, both players would tend to coincide in their location, a phenomenon that in [1] is referred to as the minimum differentiation principle. However, much later than the seminal article by Hotelling, it was proved that NE only exists under the constraints given in Equation (2b) that impede such an approach in the player locations in NE [3,6,7,8].
( p 1 , p 2 ) = t 1 3 ( 3 L + k , 3 L k ) , ( d 1 , d 2 ) = 1 6 ( 3 L + k , 3 L k ) , ( u 1 , u 2 ) = 1 2 t ( ( p 1 ) 2 , p 2 ) 2
( 3 L + k ) 2 12 L ( a + 2 b ) , ( 3 L k ) 2 12 L ( b + 2 a )
In the a = b location-symmetric case, k = 0 , s x = L , and d x = L 2 a , so that p 1 , 2 * = t L , u 1 , 2 * = p 1 , 2 L / 2 , and the constraints regarding the existence of NE reduce to a = b L / 4 .
In the example of Figure 1, t = 1 , a = b = 0.4 < L / 4 = 0.75 , p 1 = p 2 = 3.0 , so that the game shown in Figure 1a is in NE. That is checked in Figure 1b, where it becomes apparent that the best response to p 1 = 3.0 is p 2 = 3.0 . The kind of best response achieved in Figure 1 is denoted M in [9], i.e., β 2 M ( p 1 ) = 1 2 ( p 1 + t ( L k ) ) .
Figure 1. The Hotelling game with a = b = 0.4 and p 1 = 3.0 . L = 3 , t = 1 . (a) The game with p 2 = 3.0 . (b) p 2 -response to p 1 = 3.0 .
In the example of Figure 2, t = 1 , L = 3 , p 1 = p 2 = 3.0 as in Figure 1. But now it is a = b = 0.8 < L / 4 = 0.75 , so that the game shown in Figure 2a is not in NE. This becomes apparent in Figure 2b: the best response to p 1 = 3.0 is not p 2 = 3.0 . The best response to p 1 = 3.0 turns out to be β 2 ( p 1 = 3.0 ) = 3.0 1.400 0.001 = 1.599 . In a game in the scenario of Figure 2, but with p 2 = 1.599 , player 2 would undercut player 1 and would obtain the full L = 3.0 market and as a result it would be u 2 = 1.599 · 3.0 = 4.797 , u 1 = 0 · 3.0 = 0 . The kind of best response in Figure 2 is denoted U in [9], i.e., β 2 U ( p 1 ) = p 1 d x ϵ , ϵ > 0 , ϵ 0 2.
Figure 2. The Hotelling game with a = b = 0.8 and p 1 = 4.184 . L = 3 , t = 1 . (a) The game with β 2 ( p 1 = 4.184 ) = 2.783 . (b) p 2 -response to p 1 = 4.184 .
In Figure 3, a = b = 1.0 and p 1 = 0.5 , p 2 = 1.5 . The snapshot in Figure 3b proves that p 2 = 1.5 is the best response to p 2 = 0.5 . Incidentally, the game in Figure 3a is not in NE: the best response to p 2 = 1.5 is not p 1 = 0.5 but p 1 = 2.26 , as it is proven in Figure 3c. The kind of best response in Figure 3b is denoted N in [9], i.e., β 2 N ( p 1 ) = p 1 + d x .
Figure 3. The Hotelling game with a = b = 1.0 and p 1 = 0.5 , p 2 = 1.5 . L = 3 , t = 1 . (a) The game. (b) p 2 -response to p 1 = 0.5 . (c) p 1 -response to p 2 = 1.5 .

3. The Stackelberg–Hotelling Game (SHOT)

In this article, the players do not decide simultaneously but sequentially, as pioneered by H. von Stackelberg [10]. Thus, one of the players, the leader (or first mover), decides first his p 1 price. Then the other player, the follower (or second mover), adopts the best response to the known p 1 . According to the backwards induction principle, in the Sequential Hotelling (SHOT) game, the leader assumes that the follower (player 2) would react optimally to a given p 1 and would adopt β 2 ( p 1 ) = arg max p 2 u 2 ( p 1 , p 2 ) . Thus, the leader will optimize his payoff assuming such a β 2 ( p 1 ) by means of p 1 = arg max p 1 u 1 ( p 1 , β 2 ( p 1 ) . Finally, the follower will optimize his payoff given such a choice of the leader by means of p 2 = arg max p 2 u 2 ( p 1 , p 2 ) .
The mathematical analysis of the SHOT game turns out to be highly cumbersome in general due to the discontinuities in the response functions. That is why we will resort to simulation as explained in the next section.
The value of the price of the leader in the subgame perfect equilibrium solution (SPE) of the SHOT game is given in Equation (3). The solution in Equation (3a) is based in the M-response of the follower3. Equation (3b) (based in the U-response) and  (3c) (based in the N-response) were proved in [9].
p 1 = t ( 3 L + k ) / 2 if 3 L + k > 8 L a
p 1 = t ( 3 L + k ) 4 L a if 3 L + k 8 L a and L b L a
p 1 = t ( L a b ) ( L + b ) / ( L b ) if L b L a

4. Numerical Simulation

In the numerical simulations in this article, a large number of players of type 1 and type 2 are arranged in a two-dimensional N × N lattice. Each player occupies a site ( i , j ) , alternating in the site occupation in a chessboard form. Consequently, every player is surrounded by four partners (1-2, 2-1) and four mates (1-1, 2-2), as Figure 4 illustrates. The initial prices p are assigned at random in the lattice locations from a uniform distribution in the [ 0 , p m a x ] interval, where p m a x denotes the maximum price available. Thus, initially it is p ¯ p m a x / 2 and σ p p m a x 2 / 12 for both players.
Figure 4. The layout of the interactions in the numerical simulations. (a) Leader updating. (b) Follower updating. (c) Game play.
The game is iterated in a cellular automata (CA) manner, i.e., with uniform, local, and synchronous interactions. The arrows in the generic players in Figure 4 aim to make clear that the interactions are local, i.e., they involve only nearest neighbors. Thus, in the updating of prices steps (Figure 4a,b), both types of players scrutinize their NE–NW–SE–SW mate neighbors, whereas playing concerns (Figure 4c) the N–S–E–W partner neighbors.
The following occurs at every time step:
  • Every leader (player 1) in the lattice will act first and will locate which price among that of himself and those of his mate neighbors would provide him the highest payoff applying the backwards induction principle. Such a generic leader will adopt such a best local price (Figure 4a).
  • After the updating of all the player 1 prices, each follower (player 2) in the lattice will locate among that of himself and those of his mate neighbors the price that provides the best payoff when playing with his partner neighbors: the generic follower will adopt such a best local price (Figure 4b).
  • Once the price moves are made, every player plays with his four adjacent partners, so that the payoff u i , j ( T ) of a given individual at time step T is the average over these four games (Figure 4c).
The simulations performed in this article have been performed by means of a Fortran code with double precision variables. Table 1 shows the Fortran code that implements the updating of the price of the leader located at the (i,j) site4. The subroutine changes its pp1 price to p1p. The three potential best responses, U, M, and N, are scouted in the application of the backward induction principle.
Table 1. Updating of the leader located at (i,j).
Table 2 shows the Fortran code that implements the updating of the price of the follower located at the (i,j) site up to the p2p price.
Table 2. Updating of the follower located at (i,j).
In the simulations of this work, it is N = 200 and p m a x = 10 . Only the model with will t = 1 will be considered, and the length of the market will be fixed to L = 3 . The information regarding the leader player 1 will be red-coded, and that regarding the follower player 2 will be blue-coded in the forthcoming figures as in the previous ones. A toy example of the simulation protocol is given in Figure A1 in Appendix A.
Incidentally, this kind of numerical simulation technique has also been applied to the study of the sequential/Stackelberg formulation of a game of Cournot-type in [11].

5. Simulation of the Stackelberg–Hotelling Game

5.1. Simulation Dynamics

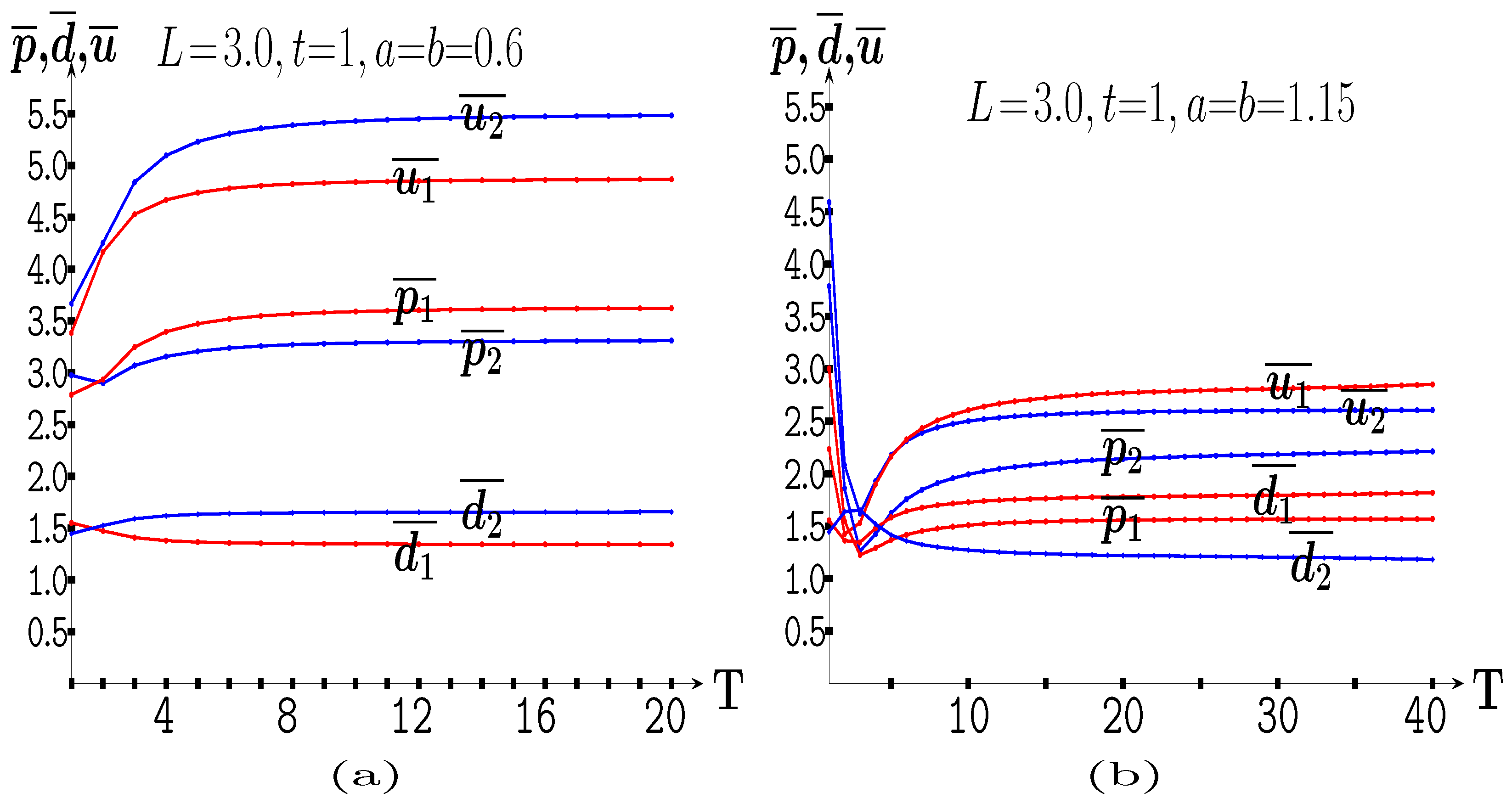
Figure 5 deals with the simulation of the SHOT game with a = b = 0.4 ; therefore, k = 0 . In such a game, it is 9 > 8 1.2 = 6.197 , so that in the dynamics shown in Figure 5a, the average price of the leader quickly converges nearly to the price given in Equation (3a); thus, p 1 = 1 2 3 L = 9 / 2 = 4.5 . In turn, the average price of the follower converges to p 2 = 1 4 5 L = 15 4 = 3.750 . As a result, s ¯ = d 1 = 1 2 ( 3.0 + 3.75 4.5 ) = 1.125 , d 2 = 1.875 , so that u 1 = 1.125 · 4.5 = 5.062 , u 2 = 1.875 · 3.75 = 7.031 . Thus, the payoff of the follower exceeds that of the leader. The actual average values reached in the simulation at T = 20 are shown in Figure 5b. The response function of the follower player to p 1 = 4.500 is shown in Figure 5c, where β 2 ( p 1 = 4.500 ) = 3.750 . That turns out to be a M-response, which provides the maximum payoff u 2 = 7.032 . Incidentally, this payoff is not far from the one provided with the U-response: u 2 ( p 2 = p 1 d x = 2.300 ) = 6.901 . The patterns of p, d, and u in the simulation of Figure 5 at T = 4 are given in Figure A2 in Appendix A.
Figure 5. Simulation of the SHOT game with a = b = 0.4 . L = 3.0 , t = 1.0 . (a) Dynamics up to T = 10. (b) The game at T = 100 . (c) Response function of the follower player to p 1 = 4.500 .
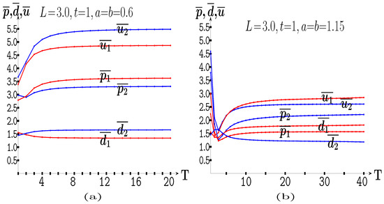
In the a = b = 0.6 SHOT game of Figure 6a, it is 9 < 8 1.8 = 10.733 , so that the average price of the leader converges to the price given in Equation (3b), i.e., p 1 = 9 4 1.8 = 3.633 , and that of the follower to p 2 = 1 2 ( p 1 + t ( L k ) ) = 1 2 ( 3.633 + 3 ) = 3.316 . As a result, s ¯ = d 1 = 1 2 ( 3.0 + 3.316 3.633 ) = 1.341 , d 2 = 1.659 , so that u 1 = 1.341 · 3.633 = 4.872 , u 2 = 1.659 · 3.316 = 5.501 . Thus, both players obtain lower payoffs in Figure 6a compared with those in Figure 5a, and the payoff of the follower exceeds to that of the leader in a lower extent in such a comparison.
Figure 6. Dynamics in the simulation of the SHOT game. L = 3.0 , t = 1.0 . (a) a = b = 0.6 . (b) a = b = 1.15 .
In the a = b = 1.15 simulation of Figure 6b, it is 3 1.15 = 1.850 < 3.45 = 1.857 , so that the average price of the leader converges to the price given in Equation (3c), i.e., p 1 = ( 3 2.30 ) 4.15 / 2.85 = 1.570 , and that of the follower converges to p 2 = p 1 + L 2 a = 1.570 + 0.70 = 2.227 . As a result, d 1 = 1 2 ( 3.0 + 2.227 1.570 ) = 1.850 , d 2 = 1.150 , so that u 1 = 1.570 · 1.850 = 2.904 , u 2 = 2.227 · 1.150 = 2.561 . Thus, the payoff of the leader exceeds that of follower player, albeit in a low extent.

5.2. Variable (a,b)

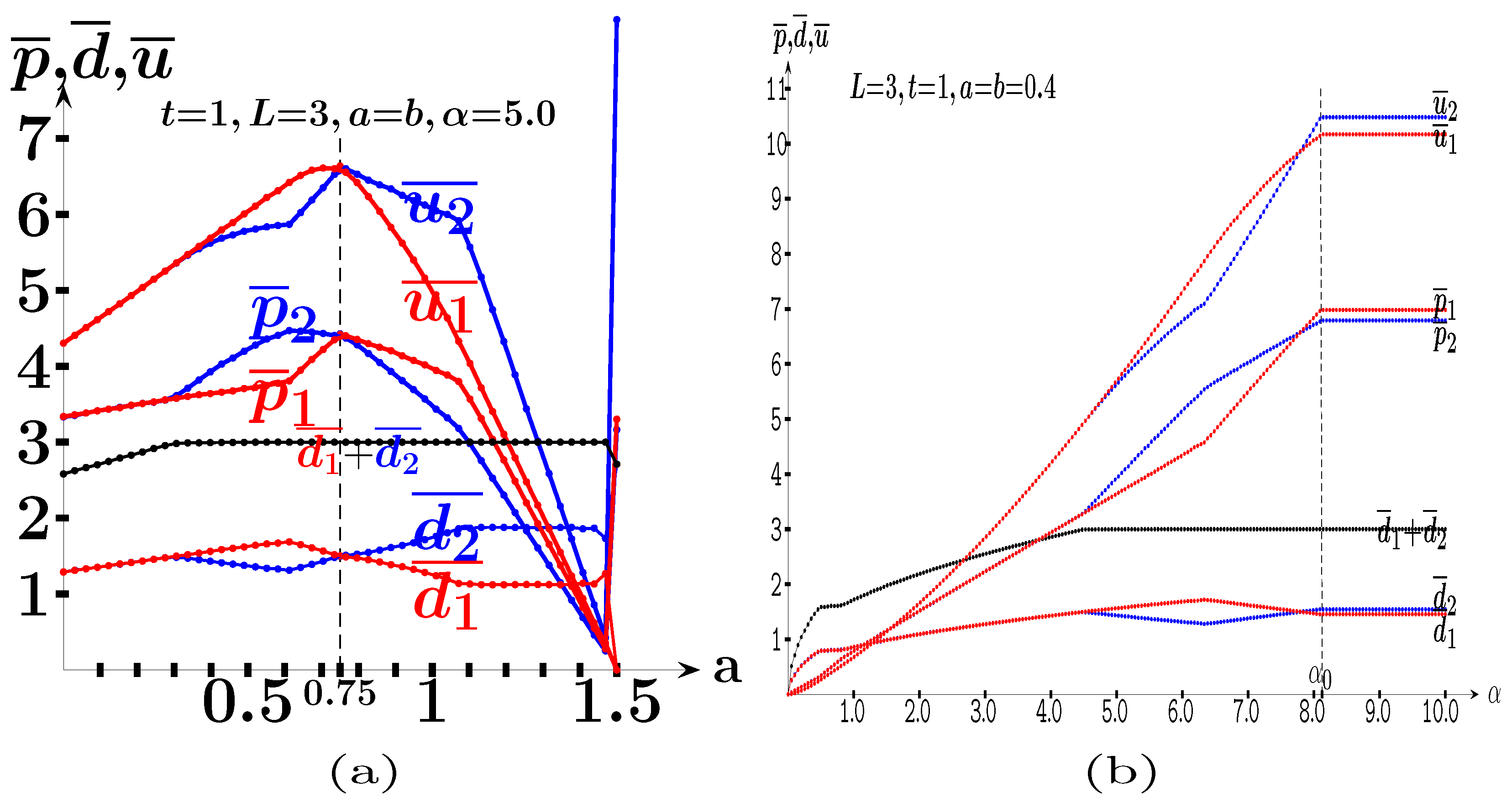
Figure 7 deals with the simulation of the SHOT game with variable ( a , b ) . In Figure 7a, it is 0 a = b L / 2 = 1.5 . The average prices remain unaltered up to a = a 0 = 0.422 5, that of the leader at value given in Equation (3a), i.e., p 1 = 3 L / 2 = 4.5 , and that of the follower at p 2 = ( p 1 + L ) / 2 = 5 L / 4 = 3.75 . As a result, d 1 = ( L + 5 L / 4 3 L / 2 ) / 2 = 3 L / 8 = 1.125 , d 2 = 5 L / 8 = 1.875 , so that u 1 = ( 3 L / 2 ) ( 3 L / 8 ) = 9 L 2 / 16 = 81 / 16 = 5.062 , u 2 = ( 5 L / 4 ) ( 5 L / 8 ) = 25 L 2 / 32 = 225 / 32 = 7.031 . Thus, the follower exceeds the leader in the [ 0 , a 0 ] interval of a = b 6. In the [ a 0 , a 1 ] interval with a 1 = 1.146 7, the average price of the leader fits the price given in Equation (3b), i.e., p 1 = 3 L 4 L a , to which the follower responds with p 2 = ( 3 L 4 L a + L ) / 2 = 2 ( L L a ) . The average prices of both players equalize at a = L / 4 = 0.75 8 in Figure 7a, where p 1 = p 2 = 3 L 4 L L / 4 = 3 L 2 L = L = 3.0 , d 1 = d 2 = L / 2 = 1.5 , u 1 = u 2 = L L / 2 = 4.5 . Remarkably, in the [ L / 4 , a 1 ] interval the leader exceeds the follower. In the [ a 1 , L / 2 ] interval, the average price of the leader fits the price given in Equation (3c), i.e., p 1 = ( L 2 a ) ( L + a ) / ( L a ) , and the follower responds with p 2 = p 1 + ( L 2 a ) , the N-response. These two prices become zero at a = L / 2 , but the simulation fails to fit so monotonous decreasing when a approaches L / 2 and shows a kind of helter-skelter behaviour when the players are too close.
Figure 7. Simulation of the SHOT game with variable a and b. T = 100 . L = 3.0 , t = 1.0 . (a) a = b , (b) b = 0.4 , (c) a = 0.4 .
In Figure 7b, it is b = 0.4 , 0 a 1.5 , where a 0 = 0.423 9, almost equal to the a 0 in Figure 7a. At a = 0 , it is p 1 = ( 9 0.4 ) / 2 = 4.3 , p 2 = ( 15 + 0.4 ) / 4 = 3.85 , and at a = 1.5 , it is p 1 = 9 + 1.5 0.4 4 4.5 = 1.615 .
In Figure 7c, it is a = 0.4 , 0 b 1.5 . The p 1 price evolves according to Equation (3a) up to b 0 = 0.636 10 and according to Equation (3b) in the [ b 0 , 1.5 ] in the b-interval. At b = 0 , it is p 1 = ( 9 + 0.4 ) / 2 = 4.7 , p 2 = ( 15 0.4 ) / 4 = 3.85 ; at b = b 0 , it is p 1 = ( 3 L + a 3 L a + 8 L a ) / 2 = t 4 L a = 1 · 4 1.2 = 4.382 ; and at b = L / 2 = 1.5 , it is p 1 = ( 3 L + a L / 2 ) 4 L a = ( 9 + 0.4 1.5 ) 4 1.2 = 3.518 . At variance with what happens in Figure 7a,b, in Figure 7c, the average demand and payoffs of player 2 exceed those of player 1 for every value of b.
Figure A3 in Appendix A deals with the generalization of the SHOT game with players who are not restricted to not crossing the center of the market line at their site location. Therefore, a kind of extension of the simulations in Figure 7b,c when a and b can reach L = 3.0 instead of just L / 2 = 1.5 . Moreover, in Figure A3, the fixed values are b = 0.0 and a = 0.0 (instead of b = 0.4 and a = 0.4 ), that is, the players fixed in the simulations are located in the extreme of the market line. Therefore, d x > 0 .

5.3. Quadratic Transportation Cost

In place of considering linear transportation cost, this cost may be assumed to be quadratic with respect to the distance, so that e i = p + t ( s x i ) 2 , i = 1 , 2   [3]. In the conventional Hotelling game with quadratic transportation cost (HOT2), the indifferent consumer is located at the s ¯ given by Equation (4), and the payoff functions (u) are given in Equation (5). In the Hotelling game with quadratic transportation cost (HOT2), it turns out that in the NE, it is u 1 * a < 0 and u 2 * b < 0 , opposite to what happens in the conventional game with linear transportation costs.
s ¯ = 1 2 s x + p 2 p 1 t d x , d x = x 2 x 1
u 1 = 0 if s ¯ < 0 s ¯ p 1 if 0 s ¯ L L p 1 if s ¯ > L , u 2 = L p 2 if s ¯ < 0 ( L s ¯ ) p 2 if 0 s ¯ L 0 if s ¯ > L
Figure 8 shows an example of the HOT2 game with a = b = 0.4 ; L = 3 , t = 1 . In Figure 8a, it is p 1 = 9.900 , p 2 = 8.250 , i.e., the prices in Figure 5b multiplied by d x = 2.2 . Figure 8b shows the p 2 -response to p 1 = 9.900 . Player 2 undercuts player 1 in Figure 8b when p 2 3.3 , that is, when s ¯ 0 11, whereas the player 1 undercuts player 2 when p 2 16.5 , that is, when s ¯ L = 3.0 12.
Figure 8. The HOT2 game with a = b = 0.4 . L = 3 , t = 1 . (a) The game with p 1 = 9.900 , p 2 = 8.250 . (b) p 2 -response to p 1 = 9.900 .
The prices in the SPE solution of the SHOT game with quadratic transportation cost (SHOT2) are given in Equation (6)13. In location-symmetric games, these formulas reduce to p 1 = 3 2 L t d x > p 2 = 5 4 L t d x . As a result, d 1 = s ¯ = 1 2 L + 5 4 L 3 3 L = 3 8 L < L / 2 ; therefore, u 1 = 3 8 L 3 2 L t d x = 9 16 L 2 t d x <   u 2 = 5 8 L 5 4 L t d x = 25 32 L 2 t d x .
p 1 = 1 2 3 L + k t d x , p 2 = 1 4 5 L k t d x
Figure 9 is the analog to Figure 7 with quadratic transportation cost. In the location-symmetric case of Figure 9a, it is p 1 = 3 2 3 ( 3 2 a ) = 27 2 9 a , and p 2 = 5 4 3 ( 3 2 a ) = 45 4 15 2 a , so that d 1 = 9 8 , d 2 = 15 8 . Thus, both players have maximum payoffs with a = b = 0.0 , where, ( p 1 , p 2 ) = ( 13.500 , 11.250 ) ( u 1 , u 2 ) = ( 15.185 , 21.094 ) .
Figure 9. Simulation of the SHOT2 game. T = 100 . L = 3.0 , t = 1.0 . (a) Variable a = b , (b) Variable a, b = 0.4 , (c) Variable b, a = 0.4 .
In the b = 0.4 scenario of Figure 9b, it is p 1 = 1 2 8.6 + a ( 2.6 a ) , and p 2 = 1 4 15.4 a ( 2.6 a ) , where p 1 ( a = 0 ) = 1 2 8.6 · 2.6 = 11.180 p 2 ( a = 0 ) = 1 4 15.4 · 2.6 = 10.010 . The average payoff of the follower exceeds that of the leader in Figure 9b except when a approaches L / 2 = 1.5 . In the a = 0.4 scenario of Figure 9c, it is p 1 = 1 2 9.4 b ( 2.6 b ) , p 2 = 1 4 14.6 + b ( 2.6 b ) , where p 1 ( b = 0 ) = 1 2 9.4 · 2.6 = 12.220 , p 2 ( b = 0 ) = 1 4 14.6 · 2.6 = 9.940 .

Location Responses for Given Prices

Figure 10 shows the features of the location responses in the HOT2 game given the prices p 1 = 9.900 , p 2 = 8.250 In Figure 10a, it is b = 0.400 , and the best a-location turns out to be a = 1.316 14. In Figure 10b, it is a = 0.400 , and the best b-location turns out to be b = 1.500 , that is, the maximum feasible in our model15.
Figure 10. Location responses in the HOT2 game given p 1 = 9.900 , p 2 = 8.250 . L = 3 , t = 1 . (a) Variable a given b = 0.400 . (b) Variable b given a = 0.400 .

6. The Stackelberg–Hotelling Game with Reservation Cost

In the basic Hotelling model, each consumer takes one unit of the product from the player with a lower expense, no matter how high it is. Thus, if both players collude, they may charge prices as high as they agree, with no upper limit. Lerner and Singer [4] imposed an upper threshold α on the expenses, above which the demand falls from one to zero.
x 1 i = max ( l 1 i , 0 ) , x 1 s = min ( l 1 s , s ¯ ) , x 2 i = max ( l 2 i , s ¯ ) , x 2 s = min ( l 2 s , L )
Let us exemplify the α -HOT game by means of Figure 11, where departing from the game of Figure 5b, four values of α are imposed. If α is sufficiently high as to induce all the consumers to buy one unit of the product, the conventional Hotelling game is recovered; this is the case of Figure 11d, where α = 5.5 > 5.225 = 4.50 + ( 1.125 0.4 ) . Opposite to this, with very small α , not any consumer would buy from any seller; this is the case of Figure 11a, where α = 3.0 < 3.75 = min ( p 1 , p 2 ) . Intermediate values of α may induce the emergence of local monopolies whose endpoints are computed according to Equation (7), departing from the locations l i where α = p i + t | l i x i |  [12]. Thus, for example, in the game of Figure 11c with α = 5.0 , it is x 1 i = 0.0 , x 1 2 = 5.0 4.5 + 0.4 = 0.90 , and x 2 i = 1.125 , x 2 2 = 3.75 + 2.6 5.0 = 1.35 ; that is, the consumers in the (0.00,0.90) interval buy from player 1, those in the (1.35,3.00) interval buy from player 2, and those in the ( 1.125 ± 0.225 ) interval do not buy from any player. In the game of Figure 11b with α = 4.0 , no consumer buys from player 1, whereas the consumers in the ( 2.6 ± Δ = 0.25 ) interval buy from player 2 ( 3.75 + Δ = 4.0 ).
Figure 11. The α -HOT game with a = b = 0.4 . L = 3.0 , t = 1.0 . (a) α = 5.5 . (b) α = 5.0 (c) α = 4.0 . (d) α = 3.0 .
Finding the best response to a given price in the α -SHOT game is not an easy task due to the varied casuistry inherent to the introduction of the α -threshold. Thus, we will resort to unsupervised simulation by calculating the response of the follower to a given p 1 in the [ 0 , p 1 + d x ] interval across 1000 equidistant points in order to locate the best one. Table 3 shows the Fortran code that implements the updating of the price of the leader located at the (i,j) site in such a raw way, where PLAYLERNER implements the α -HOT game. This kind of brute-force simulation demands very high computer resources, much higher than those demanded by the code in Table 1. Incidentally, the simulations in Figure 7 with unsupervised leader updating are shown in Figure A4 in Appendix A.
Table 3. Unsupervised updating of the leader located at (i,j).
Figure 12 shows the outcomes in the unsupervised simulation of the α -SHOT game with a = b = 0.4 . Only in the case of very low α in Figure 12a do the customers of a segment in the middle of the market line fail to buy products.
Figure 12. Simulation of the α -SHOT game with a = b = 0.4 . L = 3.0 , t = 1.0 . (a) α = 2.0 . (b) α = 3.0 (c) α = 4.0 . (d) α = 5.0 .
Figure 13 is the analog to Figure 7 in the α = 5.0 -SHOT game produced through unsupervised simulation. To facilitate the comparison between both figures, the prices of both players in Figure 7 appear green-marked in Figure 13. Remarkably, in the three snapshots of Figure 13, it is d 1 ¯ + d 2 ¯ = L = 3.0 .
Figure 13. Simulation of the 5.0 -SHOT game with variable a and b at T = 50 . L = 3.0 , t = 1.0 . (a) a = b , (b) b = 0.4 , (c) a = 0.4 .
In the location-symmetric simulation of Figure 13a, at a = 0 , it is p ¯ 1 = 3.665 , p ¯ 2 = 3.331 , d ¯ 1 = 1.333 , d ¯ 2 = 1.667 , u ¯ 1 = 4.886 , u ¯ 2 = 5.552 .The graphs in Figure 13a coincide with those in Figure 7a when a a 0 = 0.480 , where the values of the prices are so small that the α threshold plays no role in the final outcome. Therefore, at a = 0.480 , it is p ¯ 1 9.0 4 3 · 0.480 = 4.20 , p ¯ 2 ( 4.20 + 3 ) / 2 = 3.60 , so that d ¯ 1 ( 3.0 + 3.6 4.3 ) / 2 = 1.20 , d ¯ 2 = 3.0 1.2 = 1.8 , u ¯ 1 4.2 · 1.2 = 5.04 > 4.886 , u ¯ 2 = 3.6 · 1.8 = 6.48 > 5.552 . The graphs in Figure 13b coincide with those in Figure 7b when a a 0 = 0.460 . In Figure 7c, it is b 0 = 0.700 , b 1 = 0.180 .
A solution of a game is said to be Pareto optimal (PO) if no other solution would increase the payoffs of both players simultaneously. In the α -HOT game with high α and separated players, the PO solution is achieved when the intersection of the expenses occurs at level α . Therefore, p 1 + t ( s ¯ x 1 ) = p 2 + t ( x 2 s ¯ ) = α , and as a result, the PO solution verifies Equation (8a). In the particular case of the PO solution with equal prices, Equation (8a) reduces to Equation (8b). If additionally the game is location-symmetric, Equation (8b) reduces to Equation (8c). Thus, in the scenario of Figure 7a at a = 0.0 , it would be p 1 , 2 = 5.0 ( 3 2 0 ) = 3.5 d 1 , 2 = 1.5 , u 1 , 2 = 5.25 .
p 1 + p 2 = 2 α t ( x 2 x 1 )
p 1 , 2 = α t ( x 2 x 1 ) / 2
p 1 , 2 = α t ( L / 2 x 1 )
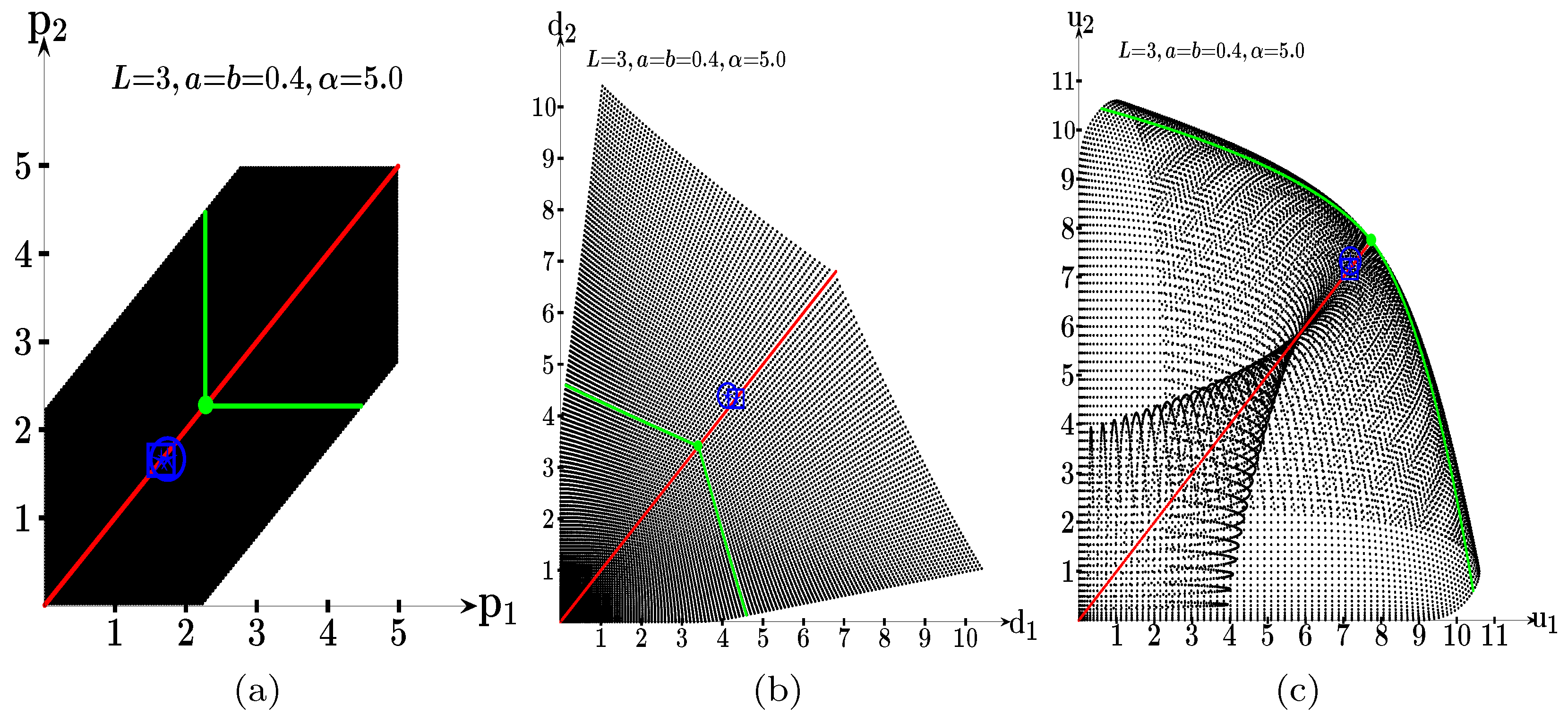
It turns out that the SPE solution reached in Figure 13a at a = 0 is PO: p ¯ 1 + p ¯ 2 7.00 = 2 · 5.0 ( 3.0 0.0 ) . Figure A5 in Appendix A proves this result, showing that the payoffs of both players are located on the border of the payoffs region. At a = 0.480 , it is p ¯ 1 + p ¯ 2 7.80 = 2 · 5.0 ( 3.0 2 · 0.48 ) = 7.96 ; thus, the SPE is almost PO. With higher values of a = b , the SPE ceases to be PO. Figure A6 and Figure A7 in Appendix A prove this fact in the particular cases of the a = 0.7 and a = 1.15 scenarios of Figure 13.

6.1. Variable α

Figure 14 deals with simulation of the location-symmetric α -SHOT game at T = 50 . In the three snapshots of the figure, the outcome of the game is affected by α before reaching a threshold α 0 from which the reached plateau corresponds to the outcome of the unrestricted game, where the aggregate demand covers the whole market, i.e., d 1 ¯ + d 2 ¯ = L = 3.0 .
Figure 14. Simulation of the location-symmetric α -SHOT game at T = 50 . L = 3.0 , t = 1.0 . (a) a = b = 0.4 , (b) a = b = 0.6 , (c) a = b = 1.15 .
In Figure 14a, it is a = b = 0.4 , and α 0 turns out to be α 0 = 5.225 16. In Figure 14b, it is a = b = 0.6 with α 0 = 4.375 17. In Figure 14c, it is a = b = 1.15 with α 0 = 3.420 18.
Figure 15. A location-symmetric HOT game with a = b = 1.15 . (a) The game in the SPE solution. (b) N-response.

6.2. The α -SHOT Game with Quadratic Transportation Cost ( α -SHOT2)

Figure 16 is the analog to Figure 5 with α = 5.0 reservation cost and quadratic transportation cost. Figure 16a indicates that the simulation very quickly stabilized its outputs. The intersection of the expenses at level α = 5.0 in Figure 16b indicates that the solution reached is PO. As expected from the above study of the α -SHOT game, in the α -SHOT2 game with high values of a = b , the SPE solution is not PO. This is proved in the particular case of a = b = 1.15 in Figure A8 in Appendix A.
Figure 16. Simulation of the 5.0-SHOT2 game with a = b = 0.4 . L = 3.0 , t = 1.0 . (a) Dynamics up to T=10. (b) The game at T = 10 .
Figure 17a is the analog to Figure 13a with quadratic transportation cost. The payoffs of both players increase from a = 0 19 up to circa a = 0.75 = L / 4 20. Both players obtain the same payoff up to circa a = 0.4 (checked in Figure 16b). When a > 0.75 , both payoffs commence to decrease up to their cancellation (as customary in this work, very close to a = b = L / 2 = 1.5 , the simulation fails to provide such a cancellation). The payoff of the leader coincides with that of the follower with low values of a, exceeds it when approaching a = 0.75 , and becomes inferior when a > 0.75 .
Figure 17. Simulation of the α -SHOT2 game. T = 10 . L = 3.0 , t = 1.0 . (a) Variable a = b , α = 5.0 . (b) Variable α , a = b = 0.4 .
Figure 17b is the analog to Figure 14a with quadratic transportation cost. The threshold α 0 from which a plateau is reached is as high as α 0 = 8.100 . In the plateau it is p ¯ 1 = 6.982 , p ¯ 2 = 6.791 , d ¯ 1 = 1.457 , d ¯ 2 = 1.543 , u ¯ 1 = 10.170 , u ¯ 2 = 10.481 21.

7. The Stackelberg–Hotelling-Smithies Game ( α -SHS)

In the Hotelling-Smithies game ( α -HS) [5,13,14,15], in addition to the reservation cost, the consumer demand (q) is an (elastic) decreasing function of the expense (e), typically of the form q i ( s ) = max ( α e i ( s ) , 0 ) , i = 1 , 2 . Consequently, the demand to every player in the α -HS game turns out to be d 1 = x 1 i x 1 s q i ( s ) d s , d 2 = x 2 i x 2 s q i ( s ) d s .
The example in Figure 18 deals with the analog to the game in Figure 11d with elastic demand. In both scenarios, the location of the indifferent consumer coincides at s ¯ = 1.531 . But with elastic demand, the demands turn out to be d 1 = 0.782 (<1.125), d 2 = 2.114 (>1.875)22. Figure 18a proves that the best response to p 1 = 4.500 is not p 2 = 3.750 but p 2 = 2.172 , very close to p 2 = p d x = 2.300 , where the outcomes of the games show a discontinuity featured by the start of the demand to player 1. Note that the layout of the game in Figure 18 is notably altered compared with its analog in the conventional HOT game in Figure 5b,c.
Figure 18. The α = 5.50 -SH game with a = b = 0.4 . L = 3.0 , t = 1.0 . (a) The game with p 1 = 4.500 , p 2 = 3.750 . (b) p 2 -response to p 1 = 3.750 .
With α large enough so that the players interact, the NE solution is featured in Equation (9), provided that a = b a , i.e., when the players are not very close (the value of a is calculated in [13] via simulation).
p 1 , 2 = λ λ 2 4 t ( α L 2 c ) 2 , λ = α + t ( a + 3 L 2 ) , c = 1 2 ( a 2 + ( L 2 a ) 2 ) t
d 1 , 2 = ( α p ) L 2 c , α α 2 = t ( L 2 a ) 2 c L
In turn, with α large enough, the symmetric PO solution is featured in Equation (10).
p 1 , 2 , Q 1 , 2 = α 2 c L , p 1 , 2 L 2 , c = 1 2 ( a 2 + ( L 2 a ) 2 ) t if α α 2 = L 2 a 2 c L
In a α = 5.0-HS game with a = b = 0.4 and L = 3 , t = 1 , it would be p 1 , 2 = 1.653 ; therefore, d 1 , 2 = 4.336 , u 1 , 2 = 7.166 23. In turn, the symmetric PO solution in such a game would be p 1 , 2 = 2.305 d 1 , 2 = 3.458 , u 1 , 2 = 7.970 . Figure A9 in Appendix A locates these solutions in the prices, demands, and payoffs regions.

7.1. Simulation of the α -SHS Game

Figure 19 is the analog to Figure 12 with elastic demand. At variance with what happens in the case of very low α in Figure 12a, the customers close to the center of the market line do not fail in buying product. In Figure 19d, it is p 1 = 1.742 , p 1 = 1.669 , not far from the p 1 , 2 = 1.653 value reached in the game with simultaneous choices. Not far but higher, so that the demands and payoffs turn out to be lower in Figure 19d than the values reported in the just above paragraph.
Figure 19. Simulation of the α -SHS game with a = b = 0.4 . L = 3.0 , t = 1.0 . (a) α = 2.0 . (b) α = 3.0 . (c) α = 4.0 . (d) α = 5.0 .
Figure 20 is the analog to Figure 13 with elastic demand. At variance with what happens in the simulations of Figure 13, the aggregated (elastic) demand d 1 ¯ + d 2 ¯ increases with a (or b) in the simulations of Figure 20. The value of a 0 = 1.030 found in Figure 20a is notably higher than that found in Figure 13, and the payoff of the leader exceeds that of the follower in a low extent up to a 0 in the location-symmetric simulation reported in Figure 20a, where a 1 = 1.300 . In Figure 20b, the payoff of the follower exceeds that of the leader just up to a 0 = 0.430 . In Figure 20c, the payoff of the leader exceeds that of the follower just up to a 0 = 0.360 .
Figure 20. Simulation of the 5.0 -SHS game with variable a and b. T = 50 . L = 3.0 . t = 1.0 . (a) a = b . (b) b = 0.4 . (c) a = 0.4 .
Figure 21 is the analog to Figure 14 with elastic demand. At variance with what happens in the simulations of Figure 14 with inelastic demand, in the simulations with elastic elastic demand in Figure 21, the increase of α induces the increase of the prices, demands, and payoffs without reaching a plateau. The graphs in the a = b = 0.4 simulation of Figure 21a and in the a = b = 0.6 simulation of Figure 21b are quite similar. But in the a = b = 1.15 game in Figure 21c, i.e., when the players are quite close, the payoffs of both players notably decrease.
Figure 21. Simulation of the location-symmetric α -SHS game. T = 50 . L = 3.0 , t = 1.0 . (a) a = b = 0.4 . (b) a = b = 0.6 . (c) a = b = 1.15 .

7.2. The α -SHS Game with Quadratic Transportation Cost ( α -SHS2)

In the α -HS game with quadratic transportation cost ( α -HS2), the potential demand to every player of a consumer located at s becomes q i ( s ) = max ( α ( p i + ( s x i ) 2 ) , 0 ) , i = 1 , 2 .
Figure 22a is the analog to Figure 20a with quadratic transportation cost. No discontinuities are apparent in the graphs of Figure 22a. The maximum payoffs occur at a b 0.623 24.
Figure 22. Simulation of the SHS2 game. T = 10 . L = 3.0 , t = 1.0 . (a) Variable a = b , α = 5.0 . (b) Variable α , a = b = 0.4 .
Figure 22b is the analog to Figure 21b with quadratic transportation cost. Quite unexpectedly, the graphs of both players are virtually coincident in Figure 22b.
Figure A10 in Appendix A shows the prices, demands, and payoff regions in the 5.0-HS2 game with L = 3 , a = b = 0.4 .

8. Conclusions

Spatial numerical simulation with local interaction turns out to be a powerful tool to study the sequential (leader–follower) Hotelling game, i.e., the Stackelberg–Hotelling (SHOT) game.
It proves to be particularly useful to evaluate the Subgame Perfect Equilibrium (SPE) solution of the SHOT game, which turns out to be a challenging task in the conventional game and cumbersome in games with reservation cost and with elastic demand. Such a SPE solution does exist regardless of the proximity of the players.
As a general rule, the follower exceeds the leader in the SPE solution of the game. The follower advantage turns out to be apparent in the unrestricted game, decreases in the game with reservation cost, and becomes quite negligible in the game with elastic demand.
In the SPE solution of the location-symmetric game, (i) the payoffs of both players tend to increase with the increase of the distance between players (maximum differentiation), and (ii) the SPE tends to be Pareto optimal when the distance between players increases.
The analytical study of the SHOT game with reservation cost and elastic demand has not been addressed so far. We plan to undertake it in a subsequent study with the support of the knowledge gained here through simulation.
Once the mathematical analysis of the extensions of the Hotelling game has been carried out, (i) the game will be simulated with reservation cost and with elastic demand taking advantage of said analysis in a very similar way to how it is performed here with the unrestricted game (Table 1), and (ii) the game with choice of both price and location will be simulated.

Author Contributions

Investigation, L.G.-P., J.G.-C., J.C.L. and R.A.-S. have contributed quite at the same extent in all the components and stages of the development and production of this article. All authors have read and agreed to the published version of the manuscript.

Funding

This work has been funded by the Spanish Grant PID2021-122711NB-C21. The computations of this work were performed in FISWULF, an HPC machine of the Campus of Excellence of Moncloa.

Data Availability Statement

The original contributions presented in the study are included in the article, further inquiries can be directed to the corresponding author.

Conflicts of Interest

The authors declare no conflicts of interest.

Appendix A

Appendix A.1. Initial Simulation Iteration

Figure A1 shows the quantities involved in the initial iteration in a 5 × 5 lattice subset in the simulation of Figure 5. The snapshot under ( p 1 0 , p 2 0 ) shows the initial prices, the snapshot under ( p 1 1 , p 2 0 ) shows the updated leader prices, and the snapshot under ( p 1 1 , p 2 1 ) shows the updated follower prices, the snapshot under ( u 1 1 , u 2 1 ) shows the payoffs in the Hotelling game after the price choices.
Figure A1. Initial iteration in a 5 × 5 lattice subset in the simulation of Figure 5.
The leader framed in the far-left snapshot of Figure A1 updates his price from 9.905 into 4.281 after the computations shown in Table A1 (the highest potential payoff is 5.005, associated to p 1 = 4.281 ).
Table A1. The computations in the first iteration of the leader player framed in Figure A1.
Table A1. The computations in the first iteration of the leader player framed in Figure A1.
p 2 U p 2 M p 2 N u 2 U u 2 M u 2 N β 2 u 1
p 1 = 1.236 −0.9652.1183.4360.0002.2431.3742.1182.399
p 1 = 7.147 4.9465.0749.34714.83912.8713.7394.9460.000
p 1 = 9.905 7.7046.45212.10523.11119.3574.8427.7040.000
p 1 = 0.207 −1.9941.6032.4070.0001.2850.9631.6030.454
p 1 = 4.281 2.0803.6406.4816.2396.6262.5923.6405.005
The follower framed in the ( p 1 1 , p 2 1 ) snapshot of Figure A1 updates his price from 2.164 into 3.206, after the computing that follows (the highest payoff is 14.820, associated to p 2 = 3.206 ).
p 2 = 6.527 u 2 ( 2.319 , p 2 ) + u 2 ( 2.452 , p 2 ) + u 2 ( 4.281 , p 2 ) + u 2 ( 1.017 , p 2 ) = 0.000 + 0.000 + 0.000 + 0.000 = 0.000
p 2 = 9.674 u 2 ( 2.319 , p 2 ) + u 2 ( 2.452 , p 2 ) + u 2 ( 4.281 , p 2 ) + u 2 ( 1.017 , p 2 ) = 0.000 + 0.000 + 0.000 + 0.000 = 0.000
p 2 = 2.164 u 2 ( 2.319 , p 2 ) + u 2 ( 2.452 , p 2 ) + u 2 ( 4.281 , p 2 ) + u 2 ( 1.017 , p 2 ) = 2.319 + 2.452 + 4.281 + 1.017 = 14.512
p 2 = 3.206 u 2 ( 2.319 , p 2 ) + u 2 ( 2.452 , p 2 ) + u 2 ( 4.281 , p 2 ) + u 2 ( 1.017 , p 2 ) = 1.300 + 3.387 + 3.601 + 6.532 = 14.820
p 2 = 5.838 u 2 ( 2.319 , p 2 ) + u 2 ( 2.452 , p 2 ) + u 2 ( 4.281 , p 2 ) + u 2 ( 1.017 , p 2 ) = 0.000 + 0.000 + 0.000 + 4.211 = 4.211
The central leader player in the far-right snapshot obtains the payoff: u 1 = [ u 1 ( 4.281 , 2.164 ) + u 1 ( 4.281 , 3.402 ) + u 1 ( 4.281 , 3.206 ) + u 1 ( 4.281 , 5.078 ) ] / 4   = 1.890 + 4.540 + 4.121 + 8.127 ] / 4 = 4.670 .

Appendix A.2. Patterns

Figure A2 shows the patterns of p, d, and u in the simulation of Figure 5 at T = 4 . Where it is p ¯ 1 = 4.375 , d ¯ 1 = 1.138 , u ¯ 1 = 4.964 ; p ¯ 2 = 3.652 , d ¯ 2 = 1.862 , u ¯ 2 = 6.781 , and σ p 1 = 0.219 , σ d 1 = 0.107 , σ u 1 = 0.365 ; σ p 2 = 0.232 , σ d 2 = 0.116 , σ u 2 = 0.234 . Shortly after T = 4 , say at T = 10 , the standard deviations of the p, d, and u magnitudes become negligible, so that their patterns lose the patchwork aspect shown in Figure A2 and become fairly fuzzy.
Figure A2. Patterns in the simulation of Figure 5 at T = 4 . Increasing grey levels indicate increasing values. p m i n = 2.199 , p m a x = 4.621 ; d m i n = 1.143 , d m a x = 3.000 ; u m i n = 0.000 , u m a x = 7.257 .

Appendix A.3. Players beyond the Center

At variance with what is assumed in this study, in the simulations of Figure A3, the players are not restricted in their site location. Thus, in Figure A3a, it is b 0 = 0.0 , a L = 3.0 , with a 0 = 467 25, the critical value of a from which the prices and payoffs of both players begin to decrease until they cancel out at a = 3.0 . In Figure A3b, it is a 0 = 0.0 , b L = 3.0 , with b 0 = 2.142 26. From b 0 , the follower notably increases his advantage over the leader so that when b 3.0 , i.e., when x 2 x 1 = 0.0 , the follower tends to obtain the whole market ( d 2 3.0 ).
Figure A3. Simulation of the SHOT game with variable a and b. T = 100 . L = 3.0 , t = 1.0 . (a) a L = 3.0 , b = 0.0 , (b) b L = 3.0 , a = 0.0 .

Appendix A.4. Unsupervised Leader Updating in the SHOT Game

Figure A4 is the analog to Figure 7 with unsupervised leader updating, i.e., implementing the code in Table 3 (invoking PLAYHOT instead of PLAYLERNER). In the comparison of the snapshots of both figures, it stands out the trembling aspect of the graphs before reaching the a 0 and b 0 landmarks in Figure A4.
Figure A4. Raw simulation of the SHOT game with variable a and b at T = 100 . L = 3.0 , t = 1.0 . (a) a = b , (b) b = 0.4 , (c) a = 0.4 .

Appendix A.5. Prices, Demands, and Payoff Regions

This section shows the prices, demands, and payoff regions in some particular Hotelling games. Particular attention is paid to the location of the p 1 = p 2 , NE, SPE and PO solutions.

Appendix A.5.1. α-HOT

Figure A5 shows the prices, demands, and payoff regions in the 5.0 -SHOT game of Figure 13a with a = b = 0.0 . Only the solutions with u 1 > 0 and u 2 > 0 are shown in the figure; therefore, in Figure A5a, ( i ) both prices are cut at the α = 5.0 level, and ( i i )   , | p 2 p 1 | > x 2 x 1 = 3.0 . The green-marked solutions appear in the border of the payoffs region in Figure A5c; thus, they are PO solutions. These solutions are generated by the green-marked prices in Figure A5a calculated from Equation (8a). The •-marked price-symmetric PO solution is (Equation (8c)): p 1 , 2 = α L / 2 x 1 = 3.5 q 1 , 2 = 1.5 , u 1 , 2 = 5.25 . The -marked solution is the SPE solution, which turns out to be a PO solution. The red-marked solutions verify p 2 = p 1 , 0 p 1 α = 5.0 . The -marked solution corresponds to the NE in the game with simultaneous choices; therefore (Equation (2a)): p 1 , 2 = L = 3.0 d 1 , 2 = L / 2 = 1.5 , u 1 , 2 = 4.5 .
Figure A5. Regions in the 5.0 -HOT game with a = b = 0.0 , L = 3 , t = 1 when u 1 > 0 and u 2 > 0 . The p 1 = p 2 solutions are red-marked. The brown-marked solutions verify d 1 + 2 1 = L = 3.0 . The green-marked solutions are PO. (a) Prices. (b) Demands. (c) Payoffs.
Figure A6 is the analog to Figure A5 with a = b = 0.7 . At variance with what happens in Figure A5c, in Figure A6c the payoffs of the -SPE solution are not located in the border of the payoffs region, but fairly close to those of the -NE (still the same as in Figure A5).
Figure A6. Regions in the 5.0 -HOT game with a = b = 0.7 , L = 3 , t = 1 when u 1 > 0 and u 2 > 0 . The p 1 = p 2 solutions are red-marked. The brown-marked solutions verify d 1 + d 2 = L = 3.0 . The green-marked solutions are PO. (a) Prices. (b) Demands. (c) Payoffs.
Figure A7 is the analog to Figure A5 with a = b = 1.15 . No NE exists in the HOT game with a = b = 1.15 > 0.75 = L / 4 . Therefore, the -marked solution in Figure A7 corresponds to the secure solution [7,16]: p 1 , 2 = 2 ( L 2 a ) = 1.40   Q 1 , 2 = L / 2 = 1.50   u 1 , 2 = 1.40 · 1.50 = 2.10 . The -SPE solution turns out to be not far the -solution. In Figure A7 the symmetric PO solution is located at p 1 , 2 = α a = 5.0 1.15 = 3.85 (c)→ Q 1 , 2 = L / 2 = 1.5 (b), u 1 , 2 = 3.85 · 1.5 = 5.775 (a). The green-marked PO-solutions verify (Figure A7a): p 2 = p 1 , 2 = 3.85 , 3.85 p 1 α = 5.0 or p 1 = p 1 , 2 = 3.85 , 3.85 p 2 α = 5.0 .
Figure A7. Regions in the 5.0 -HOT game with a = b = 1.15 , L = 3 , t = 1 when u 1 > 0 and u 2 > 0 . The p 1 = p 2 solutions are red-marked. The brown-marked solutions verify d 1 + d 2 = L = 3.0 . The green-marked solutions are PO. (a) Prices. (b) Demands. (c) Payoffs.

Appendix A.5.2. α-HOT2

Figure A8 deals with the 5.0 -HOT2 game with L = 3.0 , a = b = 1.15 . The -NE solution is located at p 1 , 2 = 0.7 L = 2.1 (c) → q 1 , 2 = L / 2 = 1.5 (b), u 1 , 2 = 2.1 · 1.5 = 3.15 (a). The symmetric PO solution is located at p 1 , 2 = α x 1 2 = 5.0 1 . 15 2 = 3.667 (c)→ q 1 , 2 = L / 2 = 1.5 (b), u 1 , 2 = 3.667 · 1.5 = 5 515 (a).
Figure A8. Regions in the 5.0-HOT2 game with L = 3.0 , a = b = 1.15 when u 1 > 0 and u 2 > 0 . The p 1 = p 2 solutions are red-marked. The brown-marked solutions verify d 1 + d 2 = L = 3.0 . The green-marked solutions are PO. (a) Payoffs. (b) Demands. (c) Prices.

Appendix A.5.3. α-HS

Figure A9 deals with 5.0-SHS game with L = 3.0 , a = b = 0.4 when u 1 > 0.0 and u 2 > 0.0 . The green-marked prices induce payoffs that are close to the border of the payoffs region, but not in it. Therefore, they have been termed almost-PO in the caption of Figure A9. Note that the -NE solution and the -SPE solution are quite close in Figure A9.
Figure A9. Regions in the 5.0-SHS game with L = 3.0 , a = b = 0.4 when u 1 > 0.0 and u 2 > 0 . The p 1 = p 2 solutions are red-marked. The green-marked solutions are almost-PO. (a) Prices. (b) Demands. (c) Payoffs.

Appendix A.5.4. α-HS2

Figure A10 is the analog to Figure A9 with quadratic transportation cost. Figure A10a indicates that any pair of non-zero prices below α = 5.0 induce positive payoffs, and Figure A10c indicates that the SPE solution is not PO solution. The symmetric PO solution shown in Figure A10 is obtained from Equation (A1) (much of the form of Equation (10)) [13].
p 1 , 2 , Q 1 , 2 = α 2 c L , p 1 , 2 L 2 , c = 1 2 ( a 3 + ( L 2 a ) 3 ) t
Figure A10. Regions in the 5.0-SHS2 game with L = 3.0 , a = b = 0.4 when u 1 > 0.0 and u 2 > 0 . The p 1 = p 2 solutions are red-marked. The green-marked solutions are almost-PO. (a) Prices. (b) Demands. (c) Payoffs.

Notes

1
The NE obtained in [1] was achieved at the intersection of the optimized reaction functions of the two players obtained via derivatives. Namely, at the intersection of (i) u 2 p 2 = L 1 2 s x + p 2 p 1 t p 2 1 2 1 t = 0   p 2 = 1 2 ( p 1 + t ( 2 L s x ) ) , i.e., β 2 ( p 1 ) = 1 2 ( p 1 + t ( L k ) ) , and (ii) u 1 p 1 = 0 p 1 = 1 2 ( p 2 + t s x ) . Thus, p 1 = t 1 3 ( 2 L + s x ) , i.e., p 1 = t 1 3 ( 3 L + k ) ;    p 2 = t 1 3 ( 2 L s x ) , i.e., p 2 = t 1 3 ( 3 L k ) .
2
Note that if p 2 = p 1 d x and p 1 = 1 3 ( 3 L + k ) t , it is p 2 = 1 3 ( 3 L + k ) t ( L b a ) t = 2 3 ( b + 2 a ) t , so that player 2 obtains the payoff u 2 = 2 3 L ( b + 2 a ) t . In parallel to this, in a game with p 1 = 1 3 ( 3 L + k ) t and p 2 = 1 3 ( 3 L k ) t , player 2 obtains the payoff u 2 = 1 18 ( 3 L k ) 2 t (recall Equation (2a)). Equalizing both payoffs leads to ( 3 L k ) 2 = 12 L ( b + 2 a ) , which supports the second inequality of Equation (2b).
3
u 1 ( p 1 , β 2 ( p 1 ) ) = p 1 s x + p 1 + t ( 2 L s x ) 2 p 1 2 t = s x 2 + L p 1 2 t ,    u 1 = s x 2 + L p 1 2 t + 1 2 t p 1 = s x 2 + L 1 t p 1 ,    u 1 ( p 2 ( p 1 ) ) = 0 p 1 = t L + s x 2 = 1 2 2 L + L + k , i.e., p 1 = 1 2 t 3 L + k . Thus, p 2 = 1 2 ( p 1 + t ( 2 L s x ) ) = 1 2 t L + s x 2 + 2 L s x = 1 2 t 3 L s x 2 = 1 4 t 6 L ( L + k ) , i.e., p 2 = 1 4 t 5 L k . As a result, d 1 = 1 2 L + k + 1 4 5 L k 1 2 3 L + k = 1 8 3 L + k . In the location-symmetric game, i.e, k = 0 , p 1 = 3 L 2 t > p 2 = 5 L 4 t but d 1 = 3 L 8 < L / 2 . Therefore, u 1 = 3 L 2 t 3 L 8 = 9 L 2 16 t u 2 = 5 L 4 t 5 L 8 = 25 L 2 32 t > u 1 .
4
Note that because Fortran stores matrices in memory in column-major order, to access adjacent memory locations, iterations (DOs) are performed in j,i order.
5
t ( 3 L + a b ) = 8 L a 3 L = 8 L a a 0 = 3 8 2 L = 0.422 .
6
In the conventional location symmetric HOT game, the NE prices (Equation (2)) are p 1 , 2 = L / 2 , whereas in the location-symmetric HOT game, p 1 = 3 L / 2 > L , p 2 = 5 L / 4 > L . As a result, both players obtain higher payoffs in the SHOT game. In the scenario of Figure 7a in the conventional game, it is p 1 , 2 = L = 3.0 , so that d 1 , 2 = L / 2 = 1.5 u 1 , 2 = 4.5 . In the [ 0 , a 1 ] interval of Figure 7a, it is u 1 = 5.062 > 4.5 and u 2 = 7.031 > 4.5 .
7
From Equation (3c), L a = L a   a 2 3 a L + L 2 = 0 a 1 = 3 5 2 L = 1.146 .
8
p 1 = p 2 1 2 ( p 1 + t ( L k ) ) = p 1 t ( L k ) = p 1 = t ( 3 L + k ) 4 L a t ( L k ) = p 1 = t ( 3 L + k ) 4 L a = t ( 2 L + 2 k ) a = ( t ( L + k ) ) 2 / 4 L .
9
From Equation (3a), it is 3 L + a 0 b = 8 L a 0 a 0 2 + ( 2 ( 3 L b ) 64 L ) a 0 + ( 3 L b ) 2 = 0 , that particularizes in Figure 7b as a 0 2 + ( 17.2 192 ) a 0 + 8 . 6 2 = 0 a 0 = 0.423 .
10
From Equation (3a), 3 L + a b 0 = 8 L a b 0 = 3 L + a 8 L a , that particularizes to b 0 = 9 + 0.4 8 1.2 = 0.636 in Figure 7c.
11
s ¯ = 0 0 = s x + p 2 p 1 t d x p 2 = p 1 s x t d x = 9.90 3 · 2.2 = 3.3 .
12
s ¯ = L 2 L = s x + p 2 p 1 t d x p 2 = p 1 + ( 2 L s x ) t d x = 9.90 + 3 · 2.2 = 16.5 .
13
u 2 = p 2 L 1 2 ( s x + p 2 p 1 t d x ) , u 2 = L 1 2 ( s x + p 2 p 1 t d x ) p 2 1 2 1 t d x = L 1 2 ( s x p 1 t d x ) 1 t d x p 2 , u 2 = 0 β 2 ( p 1 ) = 1 2 p 1 + t ( 2 L s x ) d x )
u 1 ( p 1 , β 2 ( p 1 ) ) = p 1 1 2 s x + p 2 p 1 t d x = p 1 1 2 s x + 1 2 p 1 + t ( 2 L s x ) d x ) p 1 t d x = p 1 1 2 1 2 t d x p 1 + 1 2 s x + L . 2 u = 1 2 t d x p 1 + 1 2 s x + L 1 2 t d x p 1 = 1 2 t d x p 1 + 1 2 s x + L 1 2 t d x p 1 = 1 2 s x + L 1 t d x p 1 . 2 u = 0 p 1 = L + 1 2 s x t d x , i.e., p 1 = 1 2 3 L + k t d x . Generalizing the calculus in the Note 3, it turns out that p 2 = 1 4 5 L k t d x .
14
d a = 1 2 x 2 i + a + p 2 i p 1 i t ( x 2 i a ) 2 d a = 1 + p 2 i p 1 i t ( x 2 i a ) 2 d a = 0 p 1 i p 2 i = t ( x 2 i a ) 2 , a = x 2 i ( p 1 i p 2 i ) / t , p 1 i p 2 i p 1 i = p 2 i + ( x 2 i a ) 2 a = x 2 i p 1 i p 2 i = 2.6 9.900 8.25 = 1.316 .
15
d b = L d a = 1 2 L + b a i p 2 i p 1 i t ( L b a i ) 2 d b = 1 p 2 i p 1 i t ( L b a i ) 2 d b = 0 p 2 i p 1 i = t ( L b a i ) 2 b = L a i ( p 2 i p 1 i ) / t , p 2 i p 1 i .
16
In the [ 0 , a 1 ] interval of Figure 7, p 2 p 1 = 5 L / 4 3 L / 2 = L / 4 d 1 = 1 2 ( L L / 4 ) = 3 L / 8   p 1 + d 1 a = 3 L / 2 + 3 L / 8 a = 15 L / 8 a = 45 / 8 0.4 = 5.225 .
17
In the [ a 0 , a 1 ] interval of Figure 7  p 2 p 1 = 2 ( L L a ) 3 L + 4 L a = L + 2 L a   d 1 = 1 2 L L + 2 L a = L a   p 1 + d 1 a = 3 L 4 L a + L a a = 3 L 3 L a a = 9 3 1.8 0.6 = 4.375 . .
18
In the [ a 1 , L / 2 ] interval of Figure 7, p 1 = ( L 2 a ) ( L + a ) / ( L a ) = ( 3.00 2.30 ) ( 3.00 + 1.15 ) / ( 3.00 1.15 ) = 1.57 , p 2 = p 1 + ( L 2 a ) = 1.57 + ( 3.00 2.30 ) = 2.27 p 2 + a = 2.27 + 1.15 = 3.42 . Incidentally, if p 2 = p 1 + ( L 2 a ) (N-response) in the location-symmetric HOT game, it is d 1 1 2 L + L 2 a = L a = x 2 . The snapshots in Figure 15 depict the scenario in the a = b = 1.15 case.
19
Where it is p ¯ 1 = 3.333 , p ¯ 2 = 3.337 , d ¯ 1 = 1.290 , d ¯ 2 = 1.291 , u ¯ 1 = 4.303 , u ¯ 2 = 4.303 .
20
Where it is p ¯ 1 = 4.417 , p ¯ 2 = 4.426 , d ¯ 1 = 1.503 , d ¯ 2 = 1.497 , u ¯ 1 = 6.638 , u ¯ 2 = 6.626 .
21
In the α -HOT2 game with very high α , that is, in the HOT2 game, the NE is achieved with [12]: ( p 1 , p 2 ) = 1 3 3 L + k , 3 L k t d x , so that d 1 = 1 2 L 1 3 k , d 2 = L d 1 . Therefore, in the location-symmetric context of Figure 17b with high α , it would be p 1 = p 2 = L d x = 3 · 2.2 = 6.6 , d 1 = d 2 = L / 2 = 1.5 , u 1 = u 2 = 6.6 · 1.5 = 9.900 < min ( 10.170 , 10.481 ) .
22
d 1 = 0.6 + 1.0 2 0.4 + 1.0 + 0.275 2 0.725 = 0.320 + 0.462 = 0.782 (<1.125) d 2 = 0.275 + 1.750 2 1.475 + 1.750 + 1.350 2 0.4 = 1.494 + 0.620 = 2.114 (>1.875).
23
c = ( 0 . 4 2 + 1 . 1 2 ) / 2 = 0.685 , λ = 5.0 + 0.4 + 9 / 2 = 9.9 p 1 , 2 = 9.9 9 . 9 2 4 ( 15.0 1.370 ) 2 = 1.653 d 1 , 2 = ( 5.0 1.653 ) 1.5 0.685 = 4.336 .
24
Where it is p ¯ 1 = 2.007 , d ¯ 1 = 4.166 , u ¯ 1 = 8.359 , p ¯ 2 = 1.968 , d ¯ 2 = 4.276 , u ¯ 2 = 8.413 .
25
From Note 7, it is a 0 2 58 L a 0 + 9 L 2 = 0 a 0 = 0.467 .
26
It is p 1 = t ( 3 L + k ) , if 5 L a 7 b [9]. Therefore, in Figure A3b, 15 = 7 b 0 b 0 = 15 / 7 = 2.141 .

References

  1. Hotelling, H. Stability in competition. Econ. J. 1929, 39, 41–57. [Google Scholar] [CrossRef]
  2. Hinloopen, J.; Martin, S. The Hotelling Line at 95: Introduction to the Special Issue. Rev. Ind. Organ. 2024, 1–22. [Google Scholar] [CrossRef]
  3. d’Aspremont, C.; Gabszewicz, J.J.; Thisse, J.F. On Hotelling’s “Stability in competition”. Econometrica 1979, 47, 1145–1150. [Google Scholar] [CrossRef]
  4. Lerner, A.P.; Singer, H.W. Some notes on duopoly and spatial competition. J. Political Econ. 1937, 45, 145–186. [Google Scholar] [CrossRef]
  5. Smithies, A. Optimum location in spatial competition. J. Political Econ. 1941, 49, 423–439. [Google Scholar] [CrossRef]
  6. Graitson, D. On Hotelling’s ’stability in competition’ again. Econ. Lett. 1980, 6, 1–6. [Google Scholar] [CrossRef]
  7. Iskakov, M.; Iskakov, A. Solution of the Hotelling’s game in secure strategies. Econ. Lett. 2012, 117, 115–118. [Google Scholar] [CrossRef]
  8. Shy, O. Hotelling’s Model with Firms Located Close to Each Other. SSRN Pap. 2024, 4036914. [Google Scholar] [CrossRef]
  9. Anderson, S. Spatial competition and price leadership. Int. J. Ind. Organ. 1987, 5, 369–398. [Google Scholar] [CrossRef]
  10. von Stackelberg, H. Market Structure and Equilibrium; Springer Science & Business Media: Cham, Switzerland, 2010; (Marktform und Gleichgewicht, 1934). [Google Scholar]
  11. Garcia-Perez, L.; Grau-Climent, J.; Losada, J.C.; Alonso-Sanz, R. A quantum Stackelberg common-pool resource game. APL Quantum 2024, 1, 036111. [Google Scholar] [CrossRef]
  12. Garcia-Perez, L.; Grau-Climent, J.; Losada, J.C.; Alonso-Sanz, R. Cellular automaton simulation of the quantum Hotelling game with reservation cost. Quantum Inf. Process. 2021, 20, 227. [Google Scholar] [CrossRef]
  13. Grau-Climent, J.; Garcia-Perez, L.; Losada, J.C.; Alonso-Sanz, R. Simulation of the Hotelling-Smithies game: Hotelling was not so wrong. Commun. Nonlinear Sci. Numer. Simul. 2022, 110, 106513. [Google Scholar] [CrossRef]
  14. Garcia-Perez, L.; Grau-Climent, J.; Losada, J.C.; Alonso-Sanz, R. The quantum Hotelling-Smithies game. Quantum Inf. Process. 2023, 22, 38. [Google Scholar] [CrossRef]
  15. Puu, T. Hotelling’s “Ice cream dealers” with elastic demand. Ann. Reg. Sci. 2002, 36, 1–17. [Google Scholar] [CrossRef]
  16. Garcia-Perez, L.; Grau-Climent, J.; Losada, J.C.; Alonso-Sanz, R. On the Hotelling Game with Close Players. Int. Game Theory Rev. 2024, 26, 2450002. [Google Scholar] [CrossRef]
Disclaimer/Publisher’s Note: The statements, opinions and data contained in all publications are solely those of the individual author(s) and contributor(s) and not of MDPI and/or the editor(s). MDPI and/or the editor(s) disclaim responsibility for any injury to people or property resulting from any ideas, methods, instructions or products referred to in the content.

Article Metrics

Citations

Article Access Statistics

Multiple requests from the same IP address are counted as one view.