Investigation of CMOS Multiplexer Jet Matrix Addressing and Micro-Droplets within a Printhead Chip
Abstract
:1. Introduction
2. Design of the Multiplexer Inkjet Chip System
2.1. The Logic Processing Circuit
2.2. The MEMS Processes
3. Experiment and Signal Measurement
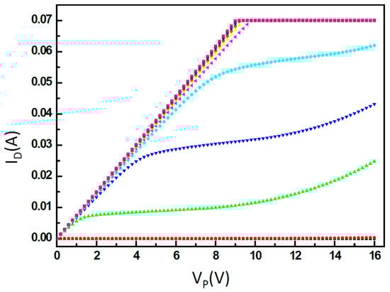
4. Results
5. Conclusions
Acknowledgments
Author Contributions
Conflicts of Interest
References
- Tseng, F.G.; Kim, C.J.; Ho, C.M. A high-resolution high-frequency monolithic top-shooting microinjector free of satellite drops—Part I: Concept, design, and model. J. Microelectromec. Syst. 2002, 11, 427–436. [Google Scholar] [CrossRef]
- Tseng, F.G.; Kim, C.J.; Ho, C.M. A high-resolution high-frequency monolithic top-shooting microinjector free of satellite drops—Part II: Fabrication, implementation, and characterization. J. Microelectromec. Syst. 2002, 11, 437–447. [Google Scholar] [CrossRef]
- Rembe, C.; Aus der Wiesche, S.; Beuten, M.; Hofer, E.P. Investigations of nonreproducible phenomena in thermal ink jets with real high speed cine photomicrography. In Electronic Imaging: Processing, Printing, and Publishing in Color, Proceedings of Spie, Zurich, Switzerland, 18–20 May 1998; SPIE Proceedings Series; Society of Photo Optical: Washington, DC, USA, 1998; Volume 3409. [Google Scholar]
- Ashkin, A.; Dziedzic, J.M. Observation of optical resonances of dielectric spheres by light scattering. Appl. Opt. 1981, 20, 1803–1814. [Google Scholar] [CrossRef] [PubMed]
- Lin, H.B.; Huston, A.L.; Justus, B.L.; Campillo, A.J. Some characteristics of a droplet whispering-gallery-mode laser. Opt. Lett. 1986, 11, 614–616. [Google Scholar] [CrossRef] [PubMed]
- Hill, S.C.; Leach, D.H.; Chang, R.K. Third-order sum-frequency generation in droplets: Model with numerical results for third-harmonic generation. J. Opt. Soc. Am. B 1993, 10, 16–33. [Google Scholar] [CrossRef]
- Lee, J.Y.; Park, H.C.; Jung, J.Y.; Kwak, H.Y. Bubble nucleation on micro line heaters. J. Heat Transf. 2003, 121, 687–692. [Google Scholar] [CrossRef]
- Park, J.-H.; Oh, Y.S. Investigation to minimize heater burnout in thermal thin film print heads. Microsyst. Technol. 2005, 11, 16–22. [Google Scholar] [CrossRef]
- Akamatsu, H.; Matsukubo, N.; Inokuma, Y.; Aso, T.; Shindo, H.K. Maximum performance of thermal printhead. In Proceedings of the 23rd International Conference on Digital Printing Technologies, Anchorage, AK, USA, 16–21 September 2007; pp. 142–147. [Google Scholar]
- Lindemann, T.; Ashauer, H.; Goettsche, T.; Sandmaier, H.; Yu, Y.; Peters, R.P.; Sassano, D.; Bellone, A.; Scardovi, A.; Zengerle, R.; et al. Bubble jet printhead with integrated polyimide nozzle plate. In Proceedings of the 2005 18th IEEE International Conference on Micro Electro Mechanical Systems, Miami Beach, FL, USA, 30 January–3 February 2005; pp. 560–563. [Google Scholar]
- Shin, S.J.; Kuk, K.; Shin, J.W.; Lee, C.S.; Oh, Y.S.; Park, S.O. Thermal design modifications to improve firing frequency of back shooting inkjet printhead. Sens. Actuators A Phys. 2004, 114, 387–391. [Google Scholar] [CrossRef]
- Abutarboush, H.F.; Shamim, A. Wide frequency independently controlled dual-band inkjet-printed antenna. IET Microw. Antennas Propag. 2014, 8, 52–56. [Google Scholar] [CrossRef]
- Haverinen, H.M.; Myllyla, R.A.; Jabbour, G.E. Inkjet Printed RGB Quantum Dot-Hybrid LED. J. Disp. Technol. 2010, 6, 87–89. [Google Scholar] [CrossRef]
- Ishida, Y.; Sogabe, K.; Kai, S.; Asano, T. Droplet Ejection Behavior in Electrostatic Inkjet Driving. In Proceedings of the 2007 Digest of Papers Microprocesses and Nanotechnology, Kyoto, Japan, 5–8 November 2007; pp. 384–385. [Google Scholar]
- Kamisuki, S.; Hagata, T.; Tezuka, C.; Nose, Y.; Fujii, M.; Atobe, M. A low power, small, electrostatically-driven commercial inkjet head. In Proceedings of the Eleventh Annual International Workshop on Micro Electro Mechanical Systems, Heidelberg, Germany, 25–29 January 1998; pp. 63–68. [Google Scholar]
- Kamisuki, S.; Fujii, M.; Takekoshi, T.; Tezuka, C.; Atobe, M. A high resolution, electrostatically-driven commercial inkjet head. In Proceedings of the Thirteenth Annual International Conference on Micro Electro Mechanical Systems, Miyazaki, Japan, 27 January 2000; pp. 793–798. [Google Scholar]
- Bolder, J.; Lemmen, B.; Koekebakker, S.; Oomen, T.; Bosgra, O.; Steinbuch, M. Iterative learning control with basis functions for media positioning in scanning inkjet printers. In Proceedings of the 2012 IEEE International Symposium on Intelligent Control, Dubrovnik, Croatia, 3–5 October 2012; pp. 1255–1260. [Google Scholar]
- Lenio, M.; Howard, J.; Jentschke, F.; Lennon, A.; Wenham, S. Design, fabrication and analysis of high efficiency inkjet printed passivated emitter rear contacted cells. In Proceedings of the 37th IEEE Photovoltaic Specialists Conference (PVSC), Seattle, WA, USA, 19–24 June 2011; pp. 001095–001100. [Google Scholar]
- Reinhold, I.; Thielen, M.; Voit, W.; Zapka, W.; Götzen, R.; Bohlmann, H. Inkjet printing of electrical vias. In Proceedings of the 18th European Microelectronics and Packaging Conference (EMPC), Brighton, UK, 12–15 September 2011. [Google Scholar]
- Yoon, S.Y.; Lee, Y.; Choi, G.S.; Baek, S.H.; Chang, H.S. Electricity pattern print of PCB by inkjet print-head. In Proceedings of the 2010 International Conference on Electrical Machines and Systems (ICEMS), Incheon, Korea, 10–13 October 2010; pp. 1729–1732. [Google Scholar]
- Lv, W.; Liu, Y.; Chen, D.; Wang, L.; Sun, D. Design and simulation of electrostatic inkjet head. In Proceedings of the 5th IEEE International Conference on Nano/Micro Engineered and Molecular Systems (NEMS), Xiamen, China, 20–23 January 2010; pp. 532–536. [Google Scholar]
- Guo, B.; Li, Y.L.; Lu, L.K. Improved Design of Inkjet Printing System Based on Petri Nets. In Proceedings of the 2010 International Conference on Intelligent Computation Technology and Automation (ICICTA), Changsha, China, 11–12 May 2010; pp. 506–509. [Google Scholar]
- Lindemann, T.; Ashauer, H.; Yu, Y.; Sassano, D.S.; Zengerle, R.; Peter, K. One Inch Thermal Bubble Jet Printhead with Laser Structured Integrated Polyimide Nozzle Plate. J. Microelectromec. Syst. 2007, 16, 420–428. [Google Scholar] [CrossRef]
- Nayve, R.; Fujii, M.; Fukugawa, A.; Takeuchi, T.; Murata, M.; Yamada, Y.; Koyanagi, M. High-Resolution Long-Array Thermal Ink Jet Printhead Fabricated by Anisotropic Wet Etching and Deep Si RIE. J. Microelectromec. Syst. 2004, 13, 814–821. [Google Scholar] [CrossRef]

















© 2017 by the authors. Licensee MDPI, Basel, Switzerland. This article is an open access article distributed under the terms and conditions of the Creative Commons Attribution (CC BY) license (http://creativecommons.org/licenses/by/4.0/).
Share and Cite
Liou, J.-C.; Yang, C.-F. Investigation of CMOS Multiplexer Jet Matrix Addressing and Micro-Droplets within a Printhead Chip. Micromachines 2017, 8, 346. https://doi.org/10.3390/mi8120346
Liou J-C, Yang C-F. Investigation of CMOS Multiplexer Jet Matrix Addressing and Micro-Droplets within a Printhead Chip. Micromachines. 2017; 8(12):346. https://doi.org/10.3390/mi8120346
Chicago/Turabian StyleLiou, Jian-Chiun, and Cheng-Fu Yang. 2017. "Investigation of CMOS Multiplexer Jet Matrix Addressing and Micro-Droplets within a Printhead Chip" Micromachines 8, no. 12: 346. https://doi.org/10.3390/mi8120346
APA StyleLiou, J.-C., & Yang, C.-F. (2017). Investigation of CMOS Multiplexer Jet Matrix Addressing and Micro-Droplets within a Printhead Chip. Micromachines, 8(12), 346. https://doi.org/10.3390/mi8120346
