The Parametric Study of Electroosmotically Driven Flow of Power-Law Fluid in a Cylindrical Microcapillary at High Zeta Potential
Abstract
:1. Introduction
2. Model Description
- According to microfluidic transport of liquid through a cylindrical microcapillary, the radius of microcapillary is much less than its length [1], and it is assumed that the flow velocity is only along the z-axis;
- the cylindrical microcapillary is filled with ideal symmetric electrolyte solution with constant permittivity and there is no interaction between ions [29];
- the thickness of EDL is much less than the radius of the microcapillary so that the EDLs will not overlap and the Boltzmann distribution can be applied [29];
- the wall of a microcapillary is charged with the zeta potential which is assumed to be constant [2];
- the gravitational force is negligible [2], no external pressure gradient is imposed and an electric field is applied along the central line of the microcapillary to generate EOF and
- an incompressible, laminar and fully developed flow is considered here.
2.1. Electrical Potential Distribution
2.2. Equation of Motion
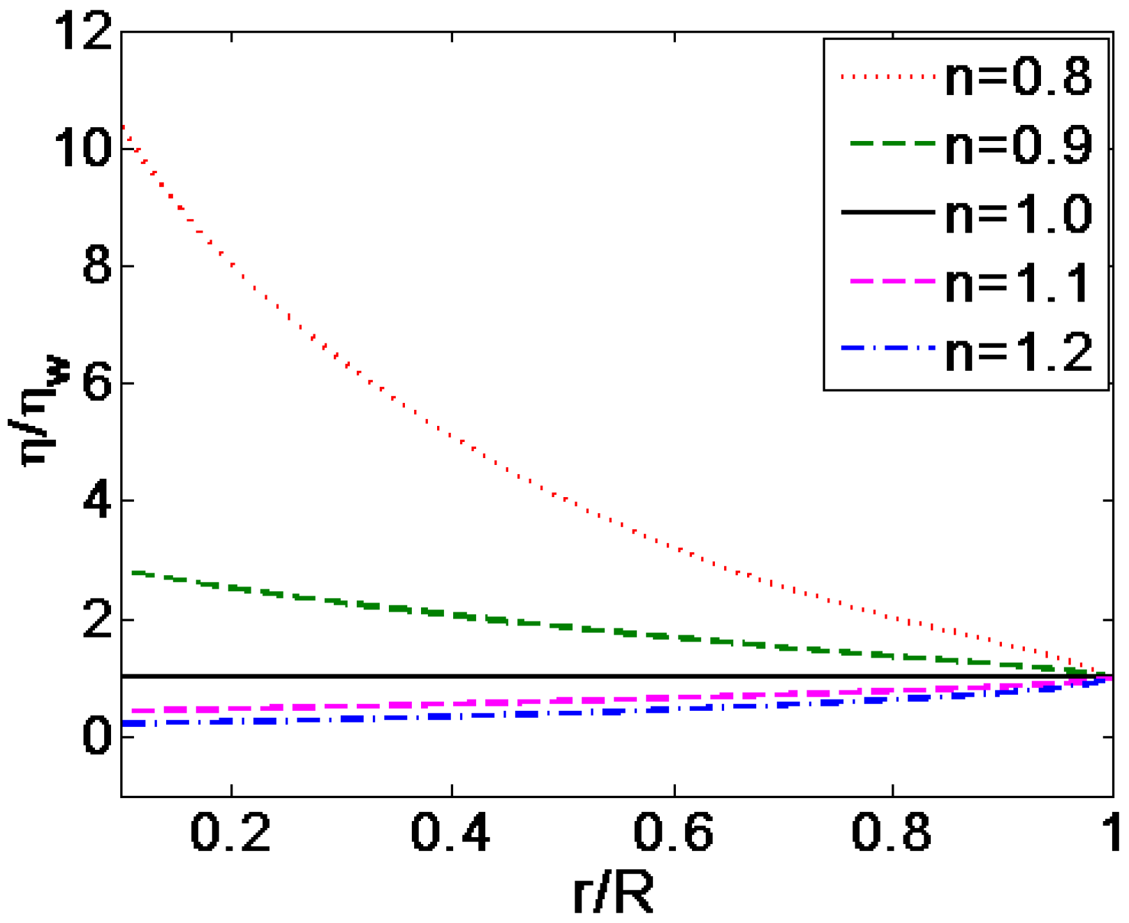
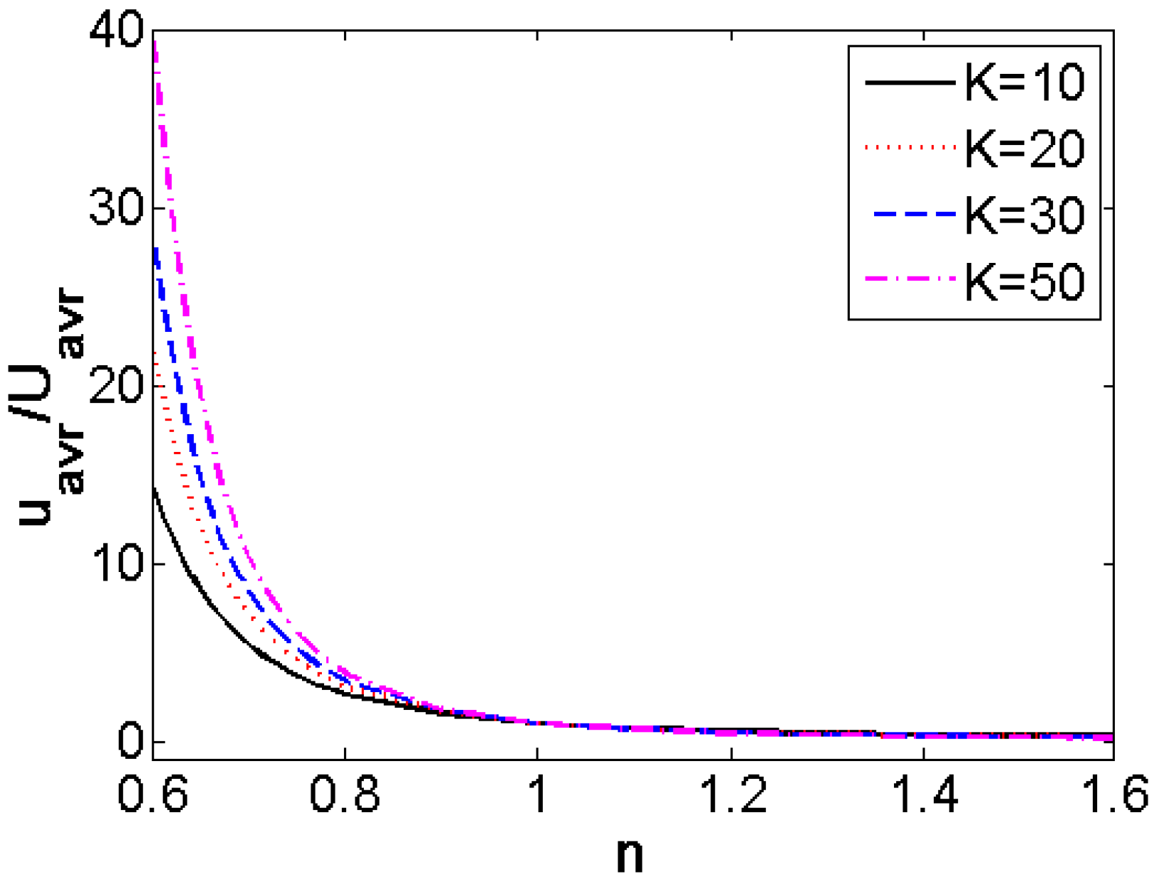
3. Results
4. Conclusions
Conflicts of Interest
References
- Stone, H.A.; Stroock, A.D.; Ajdari, A. Engineering flows in small devices. Ann. Rev. Fluid Mech. 2004, 36, 381–411. [Google Scholar] [CrossRef]
- Bruus, H. Theoretical Microfluidics; Oxford University Press: New York, NY, USA, 2008. [Google Scholar]
- Bayraktar, T.; Pidugu, S.B. Characterization of liquid flows in microfluidic systems. Int. J. Heat Mass Trans. 2006, 49, 815–824. [Google Scholar] [CrossRef]
- Nguyen, N.T.; Wereley, S.T. Fundamentals and Applications of Microfluidics; Artech House: Boston, MA, USA, 2006. [Google Scholar]
- Whitesides, G.M. The origins and the future of microfluidics. Nature 2006, 442, 368. [Google Scholar] [CrossRef] [PubMed]
- Hunter, R.J.; Ottewill, R.H.; Rowell, R.L. Zeta Potential in Colloid Science; Academic Press: Salt Lake City, UT, USA, 2013. [Google Scholar]
- Karniadakis, G.E.; Beskok, A.; Aluru, N.R. Microflows and Nanoflows: Fundamentals and Simulation; Springer: New York, NY, USA, 2005. [Google Scholar]
- Berthier, J. Microdrops and Digital Microfluidics; William Andrew: Norwich, NY, USA, 2008. [Google Scholar]
- Burgreen, D.; Nakache, F.R. Electrokinetic flow in ultrafine capillary slits1. J. Phys. Chem. 1964, 68, 1084–1091. [Google Scholar] [CrossRef]
- Kang, Y.J.; Yang, C.; Huang, X.Y. Dynamic aspects of electroosmotic flow in a cylindrical microcapillary. Int. J. Eng. Sci. 2002, 40, 2203–2221. [Google Scholar] [CrossRef]
- Levine, S.; Marriott, J.R.; Neale, G.; Epstein, N. Theory of electrokinetic flow in fine cylindrical capillaries at high zeta-potentials. J. Colloid Interface Sci. 1975, 52, 136–149. [Google Scholar] [CrossRef]
- Ooi, K.T.; Yang, C.; Chai, J.C.; Wong, T.N. Developing electro-osmotic flow in closed-end micro-channels. Int. J. Eng. Sci. 2005, 43, 1349–1362. [Google Scholar] [CrossRef]
- Kang, Y.J.; Yang, C.; Huang, X.Y. Electroosmotic flow in a capillary annulus with high zeta potentials. J. Colloid Interface Sci. 2002, 253, 285. [Google Scholar] [CrossRef] [PubMed]
- Tsao, H.K. Electroosmotic flow through an annulus. J. Colloid Interface Sci. 2000, 225, 247–250. [Google Scholar] [CrossRef] [PubMed]
- Hsu, J.P.; Kao, C.Y.; Tseng, S.; Chen, C.J. Electrokinetic flow through an elliptical microchannel: Effects of aspect ratio and electrical boundary conditions. J. Colloid Interface Sci. 2002, 248, 176. [Google Scholar] [CrossRef] [PubMed]
- Yang, C.; Wong, T.N.; Ooi, K.T. Dynamic aspects of electroosmotic flow in rectangular microchannels. Int. J. Eng. Sci. 2004, 42, 1459–1481. [Google Scholar] [CrossRef]
- Arulanandam, S.; Li, D. Liquid transport in rectangular microchannels by electroosmotic pumping. Colloids Surfaces A: Physicochem. Eng. Asp. 2000, 161, 89–102. [Google Scholar] [CrossRef]
- Yang, C.; Li, D.Q.; Masliyah, J.H. Modeling forced liquid convection in rectangular microchannels with electrokinetic effects. Int. J. Heat Mass Trans. 1998, 41, 4229–4249. [Google Scholar] [CrossRef]
- Bianchi, F.; Ferrigno, R.; Girault, H.H. Finite element simulation of an electroosmotic-driven flow division at a t-junction of microscale dimensions. Anal. Chem. 2000, 72, 1987. [Google Scholar] [CrossRef] [PubMed]
- Wang, C.Y.; Liu, Y.H.; Chang, C.C. Analytical solution of electro-osmotic flow in a semicircular microchannel. Phys. Fluids 2008, 20, 381. [Google Scholar] [CrossRef]
- Das, S.; Chakraborty, S. Analytical solutions for velocity, temperature and concentration distribution in electroosmotic microchannel flows of a non-newtonian bio-fluid. Anal. Chim. Acta 2006, 559, 15–24. [Google Scholar] [CrossRef]
- Chakraborty, S. Electroosmotically driven capillary transport of typical non-newtonian biofluids in rectangular microchannels. Anal. Chim. Acta 2007, 605, 175–184. [Google Scholar] [CrossRef] [PubMed]
- Zhao, C.; Zholkovskij, E.; Masliyah, J.H.; Yang, C. Analysis of electroosmotic flow of power-law fluids in a slit microchannel. J. Colloid Interface Sci. 2008, 326, 503–510. [Google Scholar] [CrossRef] [PubMed]
- Tang, G.H.; Li, X.F.; He, Y.L.; Tao, W.Q. Electroosmotic flow of non-newtonian fluid in microchannels. J. Non-Newton. Fluid Mech. 2009, 157, 133–137. [Google Scholar] [CrossRef]
- Bharti, R.P.; Harvie, D.J.E.; Davidson, M.R. Electroviscous effects in steady fully developed flow of a power-law liquid through a cylindrical microchannel. Int. J. Heat Fluid Flow 2009, 30, 804–811. [Google Scholar] [CrossRef]
- Misra, J.C.; Shit, G.C.; Chandra, S.; Kundu, P.K. Electro-osmotic flow of a viscoelastic fluid in a channel: Applications to physiological fluid mechanics. Appl. Math. Comput. 2011, 217, 7932–7939. [Google Scholar] [CrossRef]
- Zhu, Q.Y.; Deng, S.Y.; Chen, Y.Q. Periodical pressure-driven electrokinetic flow of power-law fluids through a rectangular microchannel. J. Non-Newton. Fluid Mech. 2014, 203, 38–50. [Google Scholar] [CrossRef]
- Deng, S.Y.; Jian, Y.J.; Bi, Y.H.; Chang, L.; Wang, H.J.; Liu, Q.S. Unsteady electroosmotic flow of power-law fluid in a rectangular microchannel. Mech. Res. Commun. 2012, 39, 9–14. [Google Scholar] [CrossRef]
- Vasu, N.; De, S. Electroosmotic flow of power-law fluids at high zeta potentials. Colloids Surfaces A: Physicochem. Eng. Asp. 2010, 368, 44–52. [Google Scholar] [CrossRef]
- Zhao, C.; Yang, C. Nonlinear smoluchowski velocity for electroosmosis of power-law fluids over a surface with arbitrary zeta potentials. Electrophoresis 2010, 31, 973–979. [Google Scholar] [CrossRef] [PubMed]










© 2017 by the author. Licensee MDPI, Basel, Switzerland. This article is an open access article distributed under the terms and conditions of the Creative Commons Attribution (CC BY) license (http://creativecommons.org/licenses/by/4.0/).
Share and Cite
Deng, S. The Parametric Study of Electroosmotically Driven Flow of Power-Law Fluid in a Cylindrical Microcapillary at High Zeta Potential. Micromachines 2017, 8, 344. https://doi.org/10.3390/mi8120344
Deng S. The Parametric Study of Electroosmotically Driven Flow of Power-Law Fluid in a Cylindrical Microcapillary at High Zeta Potential. Micromachines. 2017; 8(12):344. https://doi.org/10.3390/mi8120344
Chicago/Turabian StyleDeng, Shuyan. 2017. "The Parametric Study of Electroosmotically Driven Flow of Power-Law Fluid in a Cylindrical Microcapillary at High Zeta Potential" Micromachines 8, no. 12: 344. https://doi.org/10.3390/mi8120344
APA StyleDeng, S. (2017). The Parametric Study of Electroosmotically Driven Flow of Power-Law Fluid in a Cylindrical Microcapillary at High Zeta Potential. Micromachines, 8(12), 344. https://doi.org/10.3390/mi8120344
