Design and Experimental Analysis of Multiband Frequency Reconfigurable Antenna for 5G and Sub-6 GHz Wireless Communication
Abstract
1. Introduction
2. Methodology
2.1. Design Theory and Structural Geometry
2.2. Reconfigurability
2.3. Switching Technique
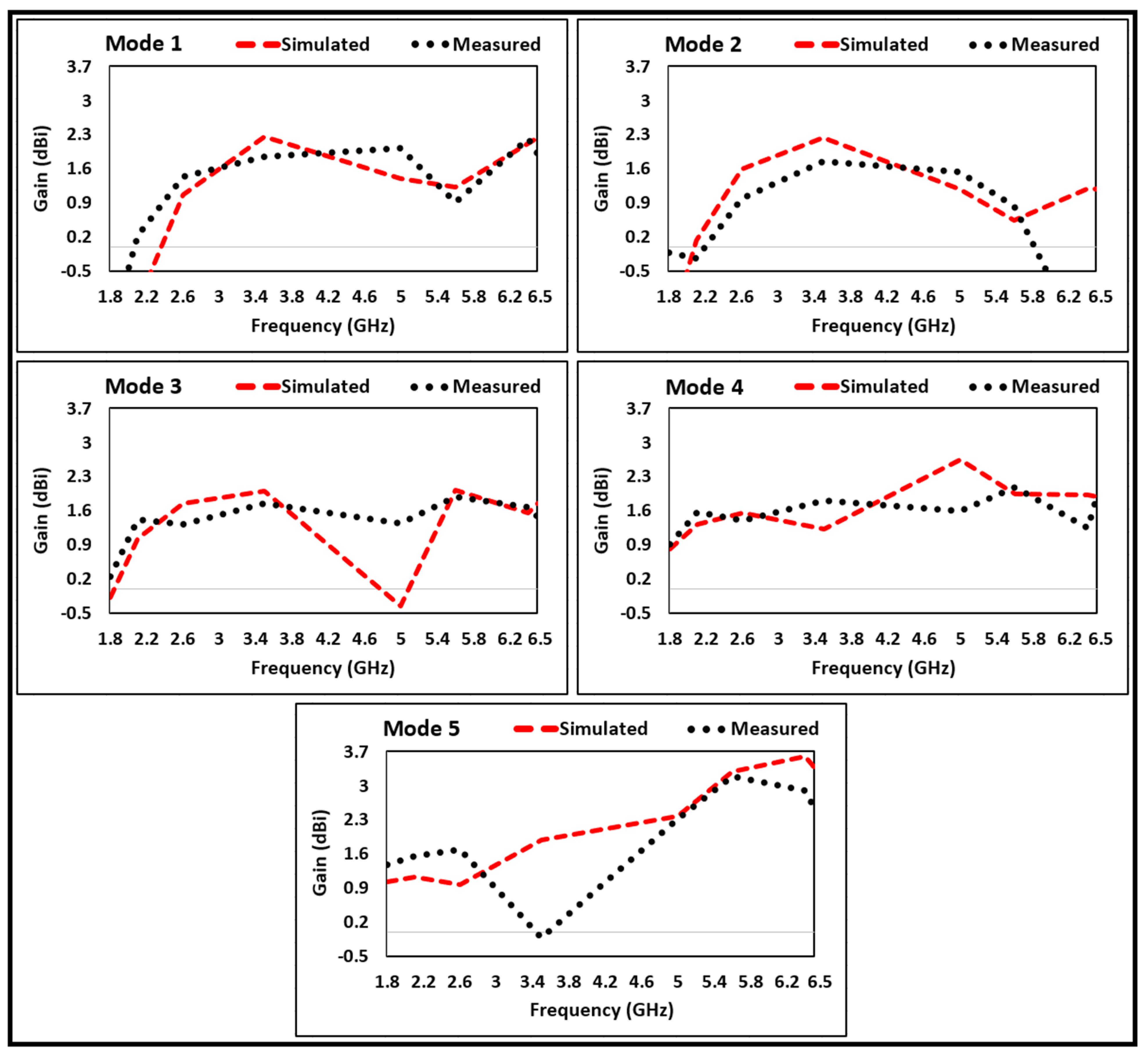
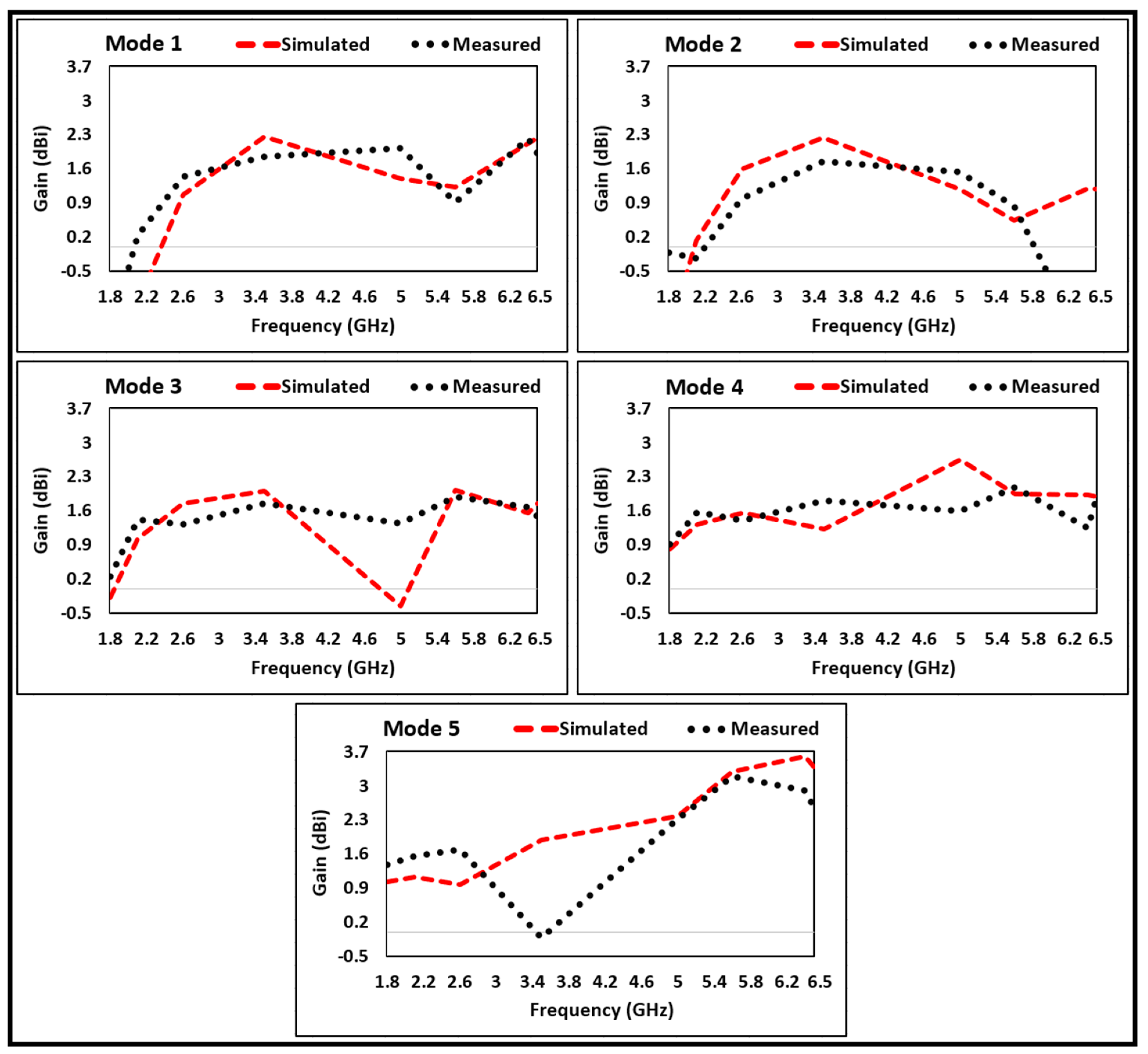
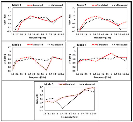
3. Results and Discussion
3.1. Return Loss and Bandwidth
3.2. Far Field Radiation Pattern
3.3. Surface Currents
4. Conclusions
Author Contributions
Funding
Acknowledgments
Conflicts of Interest
References
- Shereen, M.K.; Khattak, M.I.; Witjaksono, G. A brief review of frequency, radiation pattern, polarization, and compound reconfigurable antennas for 5G applications. J. Comput. Electron. 2019, 18, 1065–1102. [Google Scholar] [CrossRef]
- Costantine, J.; Tawk, Y.; Barbin, S.E.; Christodoulou, C.G. Reconfigurable antennas: Design and applications. Proc. IEEE 2015, 103, 424–437. [Google Scholar] [CrossRef]
- Akyildiz, I.F.; Lee, W.Y.; Vuran, M.C.; Mohanty, S. Next generation/dynamic spectrum access/cognitive radio wireless networks: A survey. Comput. Netw. 2006, 50, 2127–2159. [Google Scholar] [CrossRef]
- Nikolaou, S.; Bairavasubramanian, R.; Lugo, C.; Carrasquillo, I.; Thompson, D.C.; Ponchak, G.E.; Papapolymerou, J.; Tentzeris, M.M. Pattern and frequency reconfigurable annular slot antenna using PIN diodes. IEEE Trans. Antennas Propag. 2006, 54, 439–448. [Google Scholar] [CrossRef]
- Kim, B.; Pan, B.; Nikolaou, S.; Kim, Y.S.; Papapolymerou, J.; Tentzeris, M.M. A novel single-feed circular microstrip antenna with reconfigurable polarization capability. IEEE Trans. Antennas Propag. 2008, 56, 630–638. [Google Scholar] [CrossRef]
- Osman, M.N.; Rahim, M.K.A.; Gardner, P.; Hamid, M.R.; Yusoff, M.F.M.; Majid, H.A. An electronically reconfigurable patch antenna design for polarization diversity with fixed resonant frequency. Radioengineering 2015, 24, 45–53. [Google Scholar] [CrossRef]
- Kelley, M.; Koo, C.; McQuilken, H.; Lawrence, B.; Li, S.; Han, A.; Huff, G. Frequency reconfigurable patch antenna using liquid metal as switching mechanism. Electron. Lett. 2013, 49, 1370–1371. [Google Scholar] [CrossRef]
- Majid, H.A.; Rahim, M.K.A.; Hamid, M.R.; Murad, N.A.; Ismail, M.F. Frequency-reconfigurable microstrip patch-slot antenna. IEEE Antennas Wirel. Propag. Lett. 2013, 12, 218–220. [Google Scholar] [CrossRef]
- Ge, L.; Luk, K.M. Frequency-reconfigurable low-profile circular monopolar patch antenna. IEEE Trans. Antennas Propag. 2014, 62, 3443–3449. [Google Scholar]
- Kim, I.; Rahmat-Samii, Y. RF MEMS switchable slot patch antenna integrated with bias network. IEEE Trans. Antennas Propag. 2011, 59, 4811–4815. [Google Scholar] [CrossRef]
- Wang, C.; Yuan, B.; Shi, W.; Mao, J. Low-Profile Broadband Plasma Antenna for Naval Communications in VHF and UHF Bands. IEEE Trans. Antennas Propag. 2020, 68, 4271–4282. [Google Scholar] [CrossRef]
- Feliciano da Costa, I.; Sodré, A.C., Jr.; Páez, J.S.R.; Puerta, R.; Olmos, J.J.V.; da Silva, L.G.; Spadoti, D.H.; Monroy, I.T. Photonics-assisted wireless link based on mm-wave reconfigurable antennas. IET Microw. Antennas Propag. 2017, 11, 2071–2076. [Google Scholar] [CrossRef]
- Alam, M.S.; Abbosh, A.M. Beam-steerable planar antenna using circular disc and four PIN-controlled tapered stubs for WiMAX and WLAN applications. IEEE Antennas Wirel. Propag. Lett. 2015, 15, 980–983. [Google Scholar] [CrossRef]
- Zhao, X.; Riaz, S.; Geng, S. A reconfigurable MIMO/UWB MIMO antenna for cognitive radio applications. IEEE Access 2019, 7, 46739–46747. [Google Scholar] [CrossRef]
- Verma, R.K.; Kumar, A.; Yadava, R.L. Compact Multiband CPW Fed Sub 6 GHz Frequency Reconfigurable Antenna for 5G and Specific UWB Applications. J. Commun. 2020, 15, 345–349. [Google Scholar] [CrossRef]
- Jin, G.; Deng, C.; Yang, J.; Xu, Y.; Liao, S. A new differentially-fed frequency reconfigurable antenna for WLAN and Sub-6GHz 5G applications. IEEE Access 2019, 7, 56539–56546. [Google Scholar] [CrossRef]
- Cleetus, R.M.C.; Bala, G.J. Frequency reconfigurable antennas: A review. In Proceedings of the 2017 International Conference on Signal Processing and Communication (ICSPC), Coimbatore, India, 28–29 July 2017; IEEE: Piscataway, NJ, USA, 2017. [Google Scholar]
- Iqbal, A.; Smida, A.; Abdulrazak, L.F.; Saraereh, O.A.; Mallat, N.K.; Elfergani, I.; Kim, S. Low-profile frequency reconfigurable antenna for heterogeneous wireless systems. Electronics 2019, 8, 976. [Google Scholar] [CrossRef]
- Shah, I.A.; Hayat, S.; Basir, A.; Zada, M.; Shah, S.A.A.; Ullah, S. Design and analysis of a hexa-band frequency reconfigurable antenna for wireless communication. AEU-Int. J. Electron. Commun. 2019, 98, 80–88. [Google Scholar] [CrossRef]
- Desai, A.; Patel, R.; Upadhyaya, T.; Kaushal, H.; Dhasarathan, V. Multiband Inverted E and U shaped Compact Antenna for Digital Broadcasting, Wireless, and Sub 6 GHz 5G applications. AEU-Int. J. Electron. Commun. 2020, 123, 153296. [Google Scholar] [CrossRef]
- Park, Y.K.; Sung, Y. A reconfigurable antenna for quad-band mobile handset applications. IEEE Trans. Antennas Propag. 2012, 60, 3003–3006. [Google Scholar] [CrossRef]
- Hayat, S.; Shah, I.A.; Khan, I.; Alam, I.; Ullah, S.; Basir, A. Design of tetra-band frequency reconfigurable antenna for portable wireless applications. In Proceedings of the 2016 International Conference on Intelligent Systems Engineering (ICISE), Islamabad, Pakistan, 15–17 January 2016; IEEE: Piscataway, NJ, USA, 2016. [Google Scholar]
- Bharadwaj, S.S.; Sipal, D.; Yadav, D.; Koul, S.K. A Compact Tri-Band Frequency Reconfigurable Antenna for LTE/Wi-Fi/ITS Application. Prog. Electromagn. Res. 2020, 91, 59–67. [Google Scholar] [CrossRef]
- Chaouche, Y.B.; Messaoudene, I.; Benmabrouk, I.; Nedil, M.; Bouttout, F. Compact coplanar waveguide-fed reconfigurable fractal antenna for switchable multiband systems. IET Microw. Antennas Propag. 2018, 13, 1–8. [Google Scholar] [CrossRef]
- Asadallah, F.A.; Costantine, J.; Tawk, Y. A multiband compact reconfigurable PIFA based on nested slots. IEEE Antennas Wirel. Propag. Lett. 2018, 17, 331–334. [Google Scholar] [CrossRef]
- Ghaffar, A.; Li, X.J.; Seet, B.C.; Awan, W.A.; Hussain, N. November. Compact Multiband Frequency Reconfigurable Antenna for 5G Communications. In Proceedings of the 29th International Telecommunication Networks and Applications Conference (ITNAC), Auckland, New Zealand, 27–29 November 2019; IEEE: Piscataway, NJ, USA, 2019; pp. 1–3. [Google Scholar]
- Jin, G.; Deng, C.; Xu, Y.; Yang, J.; Liao, S. Differential Frequency Reconfigurable Antenna Based on Dipoles for Sub-6GHz 5G and WLAN Applications. IEEE AWPL Antennas Wirel. Propag. Lett. 2020, 19, 472–476. [Google Scholar] [CrossRef]
- Shahgholi, A.; Moradi, G.; Abdipour, A. Low-Profile Frequency-Reconfigurable LTE-CRLH Antenna for Smartphones. IEEE Access 2020, 8, 26487–26494. [Google Scholar] [CrossRef]
- Hussain, N.; Awan, W.A.; Naqvi, S.I.; Ghaffar, A.; Zaidi, A.; Naqvi, S.A.; Iftikhar, A.; Li, X.J. A Compact Flexible Frequency Reconfigurable Antenna for Heterogeneous Applications. IEEE Access 2020, 8, 173298–173307. [Google Scholar] [CrossRef]
- Ghaffar, A.; Li, X.J.; Awan, W.A.; Hussain, N. A Compact Multiband Multi-Mode Frequency Reconfigurable Antenna for Portable devices. In Proceedings of the 2020 International Conference on UK-China Emerging Technologies (UCET), Glasgow, UK, 20–21 August 2020; IEEE: Piscataway, NJ, USA, 2020; pp. 1–4. [Google Scholar]
- Balanis, C.A. Antenna Theory: Analysis and Design, 4th ed.; John Wiley & Sons: Hoboken, NJ, USA, 2016. [Google Scholar]
- Shah, S.A.A.; Khan, M.F.; Ullah, S.; Flint, J.A. Design of a multi-band frequency reconfigurable planar monopole antenna using truncated ground plane for Wi-Fi, WLAN and WiMAX applications. In Proceedings of the 2014 International Conference on Open Source Systems & Technologies, Lahore, Pakistan, 18–20 December 2014; IEEE: Piscataway, NJ, USA, 2014; pp. 151–155. [Google Scholar]
- Saikia, B.; Dutta, P.; Borah, K. Design of a Frequency Reconfigurable Microstrip Patch Antenna for Multiband Applications. In Proceedings of the 5th International Conference on Computers & Management Skills (ICCM 2019), Arunachal Pradesh, India, 15–16 December 2019. [Google Scholar]
- Ullah, S.; Hayat, S.; Umar, A.; Ali, U.; Tahir, F.A.; Flint, J.A. Design, fabrication and measurement of triple band frequency reconfigurable antennas for portable wireless communications. AEU-Int. J. Electron. Commun. 2017, 81, 236–242. [Google Scholar] [CrossRef]
- Iqbal, A.; Ullah, S.; Naeem, U.; Basir, A.; Ali, U. Design, fabrication and measurement of a compact, frequency reconfigurable, modified T-shape planar antenna for portable applications. J. Electr. Eng. Technol. 2017, 12, 1611–1618. [Google Scholar]
- Ullah, S.; Ahmad, I.; Raheem, Y.; Ullah, S.; Ahmad, T.; Habib, U. Hexagonal shaped CPW Feed based Frequency Reconfigurable Antenna for WLAN and Sub-6 GHz 5G applications. In Proceedings of the International Conference on Emerging Trends in Smart Technologies (ICETST), Karachi, Pakistan, 26–27 March 2020; IEEE: Piscataway, NJ, USA, 2020. [Google Scholar]
- Shah, I.A.; Hayat, S.; Khan, I.; Alam, I.; Ullah, S.; Afridi, A. A compact, tri-band and 9-shape reconfigurable antenna for WiFi, WiMAX and WLAN applications. Int. J. Wirel. Microw. Technol. (IJWMT) 2016, 6, 45–53. [Google Scholar] [CrossRef]
- Ullah, S.; Shaheen, A.; Khan, B.A.; Flint, J.A. A multi-band switchable antenna for Wi-Fi, 3G Advanced, WiMAX, and WLAN wireless applications. Int. J. Microw. Wirel. Technol. 2018, 10, 991–997. [Google Scholar] [CrossRef]
- Shah, S.A.A.; Khan, M.F.; Ullah, S.; Basir, A.; Ali, U.; Naeem, U. Design and measurement of planar monopole antennas for multi-band wireless applications. IETE J. Res. 2017, 63, 194–204. [Google Scholar] [CrossRef]












| Parameters | Values (mm) | Parameters | Values (mm) |
|---|---|---|---|
| Ws | 32 | L2 | 2.3 |
| Ls | 40 | L3 | 3.7 |
| Wg | 32 | L4 | 4.8 |
| Lg | 12.5 | L5 | 4 |
| Wf | 3 | L6 | 7 |
| L1 | 22.8 | Wp | 3 |
| MODES | SW1 | SW2 | SW3 | SW4 | Resonant Bands (GHz) |
|---|---|---|---|---|---|
| 1 | OFF | OFF | OFF | OFF | 5 |
| 2 | ON | OFF | OFF | OFF | 3.5 |
| 3 | ON | ON | OFF | OFF | 2.6 and 6.5 |
| 4 | ON | ON | ON | OFF | 2.1 and 5.6 |
| 5 | ON | ON | ON | ON | 1.8, 4.8 and 6.4 |
| Mode No | Operating Frequency | HPBW (in Degrees) | MLD (in Degrees) |
|---|---|---|---|
| 1 | 5 | 121 | −155 |
| 2 | 3.5 | 99.2 | −165 |
| 3 | 2.6/6.5 | 90.8/60 | −170/145 |
| 4 | 2.1/5.6 | 90/69 | −175/140 |
| 5 | 1.8/4.8/6.4 | 90/106/51 | −175/160/5 |
| Mode No | Conditions | Operating Freq (GHz) | −10 dB BW (MHz) | Gain (dBi) | Return Loss (dB) | Radiation Efficiency (%) |
|---|---|---|---|---|---|---|
| 1 | When all switches are OFF | 5 | 4.21–5.61 (1400) | 1.25 | −29.33 | 81 |
| 2 | When S1 is ON | 3.5 | 3.05–4.42 (1370) | 2.17 | −15.17 | 82 |
| 3 | When S1 and S2 are ON | 2.6/6.5 | 2.40–2.90 (500)/6.27–6.94 (670) | 1.76/1.9 | −50/−23.65 | 84/71 |
| 4 | When S1, S2 an S3 are ON | 2.1/5.6 | 1.95–2.25 (300)/5.41–5.86 (450) | 1.4/2.15 | −18/−16.36 | 83/70 |
| 5 | When S1, S2, S3 and S4 are ON | 1.8/4.8/6.4 | 1.71–1.90 (190)/4.55–5.13 (580)/6.18–6.63 (450) | 1.2/2.37/3.6 | −13.76/−18.6/−13.6 | 82/75/74 |
| Ref. | Dimensions (mm3) | Total No of Operating Bands | Operating Frequencies (GHz) | Bandwidth (MHz) | Peak Gains (dBi) | Radiation Efficiency (%) |
|---|---|---|---|---|---|---|
| [32] | 40 × 35 × 1.6 | 3 | 2.45, 3.5, 5.4 | 490–1360 | 1.92–3.02 | 76.4–86.5 |
| [33] | 60 × 60 × 1.6 | 5 | 2.4, 4.26, 4.32, 4.58, 5.76 | 60–170 | 1.31–2.77 | - |
| [34] | 53 × 35 × 1.6 | 3 | 2.45, 3.50, 5.20 | 147–1820 | 1.7–3.4 | 85–90 |
| [39] | 40 × 22 × 1.6 | 4 | 2.45, 5.13, 3.49, 5.81 | 750–1260 | 1.72–2.96 | 76.4–92 |
| [35] | 39 × 37 × 1.6 | 3 | 2.4, 5.4, 3 | 550–1220 | 1.27–3.8 | >90 |
| [36] | 37 × 35 × 1.6 | 4 | 2, 3.4, 2.4, 3.1 | 200–960 | 1.76–1.98 | >85 |
| [37] | 40 × 35× 1.6 | 3 | 2.45, 3.5, 5.2 | 330–1250 | 1.48–3.26 | 84–93.5 |
| [38] | 40 × 35 × 1.6 | 6 | 2.10, 2.40, 3.35, 3.50, 5.28, 5.97 | 335–1220 | 1.92–3.8 | 92.5–97 |
| This work | 40 × 32 × 1.6 | 9 | 1.8, 2.1, 2.6, 3.5, 4.8, 5.0, 5.6, 6.4, 6.5 | 190–1400 | 1.25–3.6 | 70–84 |
Publisher’s Note: MDPI stays neutral with regard to jurisdictional claims in published maps and institutional affiliations. |
© 2020 by the authors. Licensee MDPI, Basel, Switzerland. This article is an open access article distributed under the terms and conditions of the Creative Commons Attribution (CC BY) license (http://creativecommons.org/licenses/by/4.0/).
Share and Cite
Dildar, H.; Althobiani, F.; Ahmad, I.; Khan, W.U.R.; Ullah, S.; Mufti, N.; Ullah, S.; Muhammad, F.; Irfan, M.; Glowacz, A. Design and Experimental Analysis of Multiband Frequency Reconfigurable Antenna for 5G and Sub-6 GHz Wireless Communication. Micromachines 2021, 12, 32. https://doi.org/10.3390/mi12010032
Dildar H, Althobiani F, Ahmad I, Khan WUR, Ullah S, Mufti N, Ullah S, Muhammad F, Irfan M, Glowacz A. Design and Experimental Analysis of Multiband Frequency Reconfigurable Antenna for 5G and Sub-6 GHz Wireless Communication. Micromachines. 2021; 12(1):32. https://doi.org/10.3390/mi12010032
Chicago/Turabian StyleDildar, Haris, Faisal Althobiani, Ikhlas Ahmad, Wasi Ur Rehman Khan, Sadiq Ullah, Naveed Mufti, Shakir Ullah, Fazal Muhammad, Muhammad Irfan, and Adam Glowacz. 2021. "Design and Experimental Analysis of Multiband Frequency Reconfigurable Antenna for 5G and Sub-6 GHz Wireless Communication" Micromachines 12, no. 1: 32. https://doi.org/10.3390/mi12010032
APA StyleDildar, H., Althobiani, F., Ahmad, I., Khan, W. U. R., Ullah, S., Mufti, N., Ullah, S., Muhammad, F., Irfan, M., & Glowacz, A. (2021). Design and Experimental Analysis of Multiband Frequency Reconfigurable Antenna for 5G and Sub-6 GHz Wireless Communication. Micromachines, 12(1), 32. https://doi.org/10.3390/mi12010032

