Energy Expenditure in Critically Ill Obese Patients—A Prospective Observational Study
Abstract
1. Background
2. Methods
2.1. Ethics
2.2. Study Design and Setting
2.3. Participants
2.4. Nutritional Therapy
2.5. Measurements
2.6. Outcome Parameters
2.7. Sample Size
2.8. Statistics
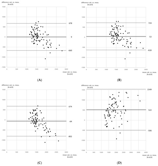
3. Results
4. Discussion
5. Conclusions
Author Contributions
Funding
Institutional Review Board Statement
Informed Consent Statement
Data Availability Statement
Acknowledgments
Conflicts of Interest
References
- Schetz, M.; De Jong, A.; Deane, A.M.; Druml, W.; Hemelaar, P.; Pelosi, P.; Pickkers, P.; Reintam-Blaser, A.; Roberts, J.; Sakr, Y.; et al. Obesity in the critically ill: A narrative review. Intensive Care Med. 2019, 45, 757–769. [Google Scholar] [CrossRef]
- Tatucu-Babet, O.A.; Ridley, E.J.; Tierney, A.C. Prevalence of Underprescription or Overprescription of Energy Needs in Critically Ill Mechanically Ventilated Adults as Determined by Indirect Calorimetry: A Systematic Literature Review. JPEN J. Parenter. Enter. Nutr. 2016, 40, 212–225. [Google Scholar] [CrossRef]
- Singer, P.; Blaser, A.R.; Berger, M.M.; Alhazzani, W.; Calder, P.C.; Casaer, M.P.; Hiesmayr, M.; Mayer, K.; Montejo, J.C.; Pichard, C.; et al. ESPEN guideline on clinical nutrition in the intensive care unit. Clin. Nutr. 2019, 38, 48–79. [Google Scholar] [CrossRef] [PubMed]
- AWMF. S2k-Leitlinie: Klinische Ernährung in der Intensivmedizin; Registernummer 073-004; AWMF: Berlin, Germany, 2018. [Google Scholar]
- Zusman, O.; Kagan, I.; Bendavid, I.; Theilla, M.; Cohen, J.; Singer, P. Predictive equations versus measured energy expenditure by indirect calorimetry: A retrospective validation. Clin. Nutr. 2019, 38, 1206–1210. [Google Scholar] [CrossRef] [PubMed]
- Tatucu-Babet, O.A.; Fetterplace, K.; Lambell, K.; Miller, E.; Deane, A.M.; Ridley, E.J. Is Energy Delivery Guided by Indirect Calorimetry Associated with Improved Clinical Outcomes in Critically Ill Patients? A Systematic Review and Meta-analysis. Nutr. Metab. Insights 2020, 13, 1178638820903295. [Google Scholar] [CrossRef] [PubMed]
- Secombe, P.; Harley, S.; Chapman, M.; Aromataris, E. Feeding the critically ill obese patient: A systematic review protocol. JBI Database Syst. Rev. Implement Rep. 2015, 13, 95–109. [Google Scholar] [CrossRef]
- Choban, P.S.; Burge, J.C.; Scales, D.; Flancbaum, L. Hypoenergetic nutrition support in hospitalized obese patients: A simplified method for clinical application. Am. J. Clin. Nutr. 1997, 66, 546–550. [Google Scholar] [CrossRef]
- Burge, J.C.; Goon, A.; Choban, P.S.; Flancbaum, L. Efficacy of hypocaloric total parenteral nutrition in hospitalized obese patients: A prospective, double-blind randomized trial. JPEN J. Parenter. Enter. Nutr. 1994, 18, 203–207. [Google Scholar] [CrossRef]
- Dickerson, R.N.; Boschert, K.J.; Kudsk, K.A.; Brown, R.O. Hypocaloric enteral tube feeding in critically ill obese patients. Nutrition 2002, 18, 241–246. [Google Scholar] [CrossRef]
- Elke, G.; Hartl, W.H.; Kreymann, K.G.; Adolph, M.; Felbinger, T.W.; Graf, T.; de Heer, G.; Heller, A.R.; Kampa, U.; Mayer, K.; et al. DGEM Guideline “Clinical Nutrition in Critical Care Medicine”—Short version. Anasthesiol. Intensivmed. Notfallmedizin Schmerzther. 2019, 54, 63–73. [Google Scholar] [CrossRef]
- McClave, S.A.; Taylor, B.E.; Martindale, R.G.; Warren, M.M.; Johnson, D.R.; Braunschweig, C.; McCarthy, M.S.; Davanos, E.; Rice, T.W.; Cresci, G.A.; et al. Guidelines for the Provision and Assessment of Nutrition Support Therapy in the Adult Critically Ill Patient: Society of Critical Care Medicine (SCCM) and American Society for Parenteral and Enteral Nutrition (A.S.P.E.N.). JPEN J. Parenter. Enter. Nutr. 2016, 40, 159–211. [Google Scholar] [CrossRef] [PubMed]
- Singer, M.; Deutschman, C.S.; Seymour, C.W.; Shankar-Hari, M.; Annane, D.; Bauer, M.; Bellomo, R.; Bernard, G.R.; Chiche, J.-D.; Coopersmith, C.M.; et al. The Third International Consensus Definitions for Sepsis and Septic Shock (Sepsis-3). JAMA 2016, 315, 801–810. [Google Scholar] [CrossRef]
- De Heer, G.; Doliwa, A.L.; Hilbert, P.; Fischer, M.; Czorlich, P.; Schweingruber, N.; Kluge, S.; Burdelski, C.; Grensemann, J. Energy Expenditure in Critically Ill Patients with Aneurysmal Subarachnoid Hemorrhage, Intracerebral Hemorrhage, and Traumatic Brain Injury-A Prospective Observational Study. Nutrients 2024, 16, 3448. [Google Scholar] [CrossRef]
- Hoffer, L.J. How much protein do parenteral amino acid mixtures provide? Am. J. Clin. Nutr. 2011, 94, 1396–1398. [Google Scholar] [CrossRef]
- Hauner, H.; Beyer-Reiners, E.; Bischoff, G.; Breidenassel, C.; Ferschke, M.; Gebhardt, A.; Holzapfel, C.; Lambeck, A.; Meteling-Eeken, M.; Paul, C.; et al. Leitfaden Ernährungstherapie in Klinik und Praxis (LEKuP). Aktuelle Ernährungsmedizin 2019, 44, 384–419. [Google Scholar] [CrossRef]
- Dickerson, R.N.; Tidwell, A.C.; Minard, G.; Croce, M.A.; Brown, R.O. Predicting total urinary nitrogen excretion from urinary urea nitrogen excretion in multiple-trauma patients receiving specialized nutritional support. Nutrition 2005, 21, 332–338. [Google Scholar] [CrossRef]
- Devine, B.J. Gentamicin therapy. Drug Intell. Clin. Pharm. 1974, 8, 650–655. [Google Scholar]
- Zusman, O.; Theilla, M.; Cohen, J.; Kagan, I.; Bendavid, I.; Singer, P. Resting energy expenditure, calorie and protein consumption in critically ill patients: A retrospective cohort study. Crit. Care 2016, 20, 367. [Google Scholar] [CrossRef]
- Wang, Z.; Heshka, S.; Gallagher, D.; Boozer, C.N.; Kotler, D.P.; Heymsfield, S.B. Resting energy expenditure-fat-free mass relationship: New insights provided by body composition modeling. Am. J. Physiol. Endocrinol. Metab. 2000, 279, E539–E545. [Google Scholar] [CrossRef]
- Montano-Loza, A.J.; Angulo, P.; Meza-Junco, J.; Prado, C.M.; Sawyer, M.B.; Beaumont, C.; Esfandiari, N.; Ma, M.; Baracos, V.E. Sarcopenic obesity and myosteatosis are associated with higher mortality in patients with cirrhosis. J. Cachexia Sarcopenia Muscle 2016, 7, 126–135. [Google Scholar] [CrossRef]
- Singer, P.; Singer, J. Clinical Guide for the Use of Metabolic Carts: Indirect Calorimetry--No Longer the Orphan of Energy Estimation. Nutr. Clin. Pract. 2016, 31, 30–38. [Google Scholar] [CrossRef] [PubMed]
- Frankenfield, D.C.; Ashcraft, C.M.; Galvan, D.A. Prediction of resting metabolic rate in critically ill patients at the extremes of body mass index. JPEN J. Parenter. Enter. Nutr. 2013, 37, 361–367. [Google Scholar] [CrossRef]
- Mogensen, K.M.; Andrew, B.Y.; Corona, J.C.; Robinson, M.K. Validation of the Society of Critical Care Medicine and American Society for Parenteral and Enteral Nutrition Recommendations for Caloric Provision to Critically Ill Obese Patients: A Pilot Study. JPEN J. Parenter. Enter. Nutr. 2016, 40, 713–721. [Google Scholar] [CrossRef] [PubMed]
- Weijs, P.J.M. Protein requirement in obesity. Curr. Opin. Clin. Nutr. Metab. Care 2025, 28, 27–32. [Google Scholar] [CrossRef] [PubMed]
- Heuts, S.; Lee, Z.-Y.; Lew, C.C.H.; Bels, J.L.M.; Gabrio, A.; Kawczynski, M.J.; Heyland, D.K.; Summers, M.J.; Deane, A.M.; Mesotten, D.; et al. Higher Versus Lower Protein Delivery in Critically Ill Patients: A Systematic Review and Bayesian Meta-Analysis. Crit. Care Med. 2025, 53, e645–e655. [Google Scholar] [CrossRef]
- Tweel, L.E.; Compher, C.; Bear, D.E.; Gutierrez-Castrellon, P.; Leaver, S.K.; MacEachern, K.; Ortiz-Reyes, L.; Pooja, L.; León, A.; Wedemire, C.; et al. A Comparison of High and Usual Protein Dosing in Critically Ill Patients with Obesity: A Post Hoc Analysis of an International, Pragmatic, Single-Blinded, Randomized Clinical Trial. Crit. Care Med. 2024, 52, 586–595. [Google Scholar] [CrossRef]
- Kreymann, K.G.; DeLegge, M.H.; Luft, G.; de Heer, G. A nutrition strategy for obese ICU patients with special consideration for the reference of protein. Clin. Nutr. ESPEN 2015, 10, e160–e166. [Google Scholar] [CrossRef]
- Buckley, C.T.; Prasanna, N.; Mays, A.L.; Tinsley, J.M.; Dickerson, R.N. Protein requirements for critically ill ventilator-dependent patients with COVID-19. Nutr. Clin. Pract. 2021, 36, 984–992. [Google Scholar] [CrossRef]
- Kim, T.J.; Park, S.H.; Jeong, H.B.; Ha, E.J.; Cho, W.S.; Kang, H.S.; Kim, J.E.; Ko, S.B. Optimizing Nitrogen Balance Is Associated with Better Outcomes in Neurocritically Ill Patients. Nutrients 2020, 12, 3137. [Google Scholar] [CrossRef]
- Abernathy, G.B.; Heizer, W.D.; Holcombe, B.J.; Raasch, R.H.; Schlegel, K.E.; Hak, L.J. Efficacy of tube feeding in supplying energy requirements of hospitalized patients. JPEN J. Parenter. Enter. Nutr. 1989, 13, 387–391. [Google Scholar] [CrossRef]
- McClave, S.A.; Lowen, C.C.; Kleber, M.J.; Nicholson, J.F.; Jimmerson, S.C.; McConnell, J.W.; Jung, L.Y. Are Patients Fed Appropriately According to Their Caloric Requirements? J. Parenter. Enter. Nutr. 1998, 22, 375–381. [Google Scholar] [CrossRef] [PubMed]
- Sudenis, T.; Hall, K.; Cartotto, R. Enteral nutrition: What the dietitian prescribes is not what the burn patient gets! J. Burn. Care Res. 2015, 36, 297–305. [Google Scholar] [CrossRef] [PubMed]
- Heyland, D.K.; Patel, J.; Compher, C.; Rice, T.W.; Bear, D.E.; Lee, Z.Y.; González, V.C.; O’Reilly, K.; Regala, R.; Wedemire, C.; et al. The effect of higher protein dosing in critically ill patients with high nutritional risk (EFFORT Protein): An international, multicentre, pragmatic, registry-based randomised trial. Lancet 2023, 401, 568–576. [Google Scholar] [CrossRef] [PubMed]
- Chioléro, R.; Revelly, J.P.; Tappy, L. Energy metabolism in sepsis and injury. Nutrition 1997, 13 (Suppl. 9), 45s–51s. [Google Scholar] [CrossRef]
- Gramlich, L.; Guenter, P. Enteral Nutrition in Hospitalized Adults. N. Engl. J. Med. 2025, 392, 1518–1530. [Google Scholar] [CrossRef]
- Li, A.; Mukhopadhyay, A. Substrate utilization and energy expenditure pattern in sepsis by indirect calorimetry. Crit Care 2020, 24, 535. [Google Scholar] [CrossRef]
- Menegueti, M.G.; de Araújo, T.R.; Laus, A.M.; Martins-Filho, O.A.; Basile-Filho, A.; Auxiliadora-Martins, M. Resting Energy Expenditure and Oxygen Consumption in Critically Ill Patients With vs Without Sepsis. Am. J. Crit. Care 2019, 28, 136–141. [Google Scholar] [CrossRef]
- Peterson, C.M.; Thomas, D.M.; Blackburn, G.L.; Heymsfield, S.B. Universal equation for estimating ideal body weight and body weight at any BMI. Am. J. Clin. Nutr. 2016, 103, 1197–1203. [Google Scholar] [CrossRef]

| Parameter | Obese (n = 28) | Control (n = 22) | p |
|---|---|---|---|
| Age (years) | 62 ± 11 | 64 ± 16 | 0.23 |
| Sex male | n = 15 (54%) | n = 11 (50%) | 0.80 |
| Height (cm) | 172 ± 10 | 172 ± 9 | 0.48 |
| BMI (kg/m2) | 36.1 ± 4.9 | 23.8 ± 3.9 | <0.001 |
| IBW (kg) | 65.9 ± 11.2 | 65.7 ± 9.2 | 0.44 |
| ABW20 (kg) | 74.2 ± 11.8 | 64.0 ± 10.4 | <0.001 |
| ABW40 (kg) | 82.4 ± 13.2 | 65.7 ± 11.1 | <0.001 |
| TBW (kg) | 107.3 ± 20.0 | 70.5 ± 14.1 | <0.001 |
| APACHE II | 46 ± 11 | 51 ± 11 | 0.001 |
| SAPS II | 38 ± 12 | 43 ± 10 | 0.004 |
| SOFA (day 1) | 9 ± 3 | 10 ± 4 | 0.17 |
| (a) | |||
|---|---|---|---|
| Group | Timepoint 1 (Day 2–3) | Timepoint 2 (Day 5–7) | Timepoint 3 (Day 12–15) |
| Obese | 1767 (1593; 1941) | 1812 (1617; 2007) * | 1876 (1600; 2152) |
| Control | 1575 (1379; 1771) | 1463 (1250; 1676) | 1608 (1338; 1877) |
| (b) | |||
| Group | Timepoint 1 (Day 2–3) | Timepoint 2 (Day 5–7) | Timepoint 3 (Day 12–15) |
| IBW: | |||
| Obese | 26.7 (24.7; 28.8) | 27.1 (24.7; 29.6) * | 28.2 (24.3; 32.2) |
| Control | 24.1 (21.8; 26.5) | 22.3 (19.7; 25.0) | 24.8 (21.1; 28.4) |
| ABW18: | |||
| Obese | 24.0 (22.1; 25.9) | 24.2 (22.0; 26.5) | 25.1 (21.4; 28.8) |
| Control | 24.9 (22.7; 27.0) | 23.2 (20.7; 25.6) | 25.3 (21.8; 28.7) |
| ABW20: | |||
| Obese | 23.7 (21.8; 25.6) | 24.0 (21.7; 26.2) | 24.8 (21.1; 28.5) |
| Control | 24.8 (22.7; 26.9) | 23.1 (20.7; 25.5) | 24.8 (21.1; 28.5) |
| ABW25: | |||
| Obese | 23.1 (21.2; 24.9) | 23.3 (21.1; 25.5) | 24.1 (20.5; 27.8) |
| Control | 24.7 (22.6; 26.7) | 23.0 (20.6; 25.4) | 25.0 (21.6; 28.5) |
| ABW40: | |||
| Obese | 21.3 (19.5; 23.1) # | 21.5 (19.4; 23.7) | 22.3 (18.7; 25.8) |
| Control | 24.2 (22.2; 26.3) | 22.6 (20.2; 24.9) | 24.6 (21.2; 27.9) |
| TBW: | |||
| Obese | 16.5 (14.8; 18.3) $ | 16.7 (14.6; 18.7) * | 17.2 (13.9; 20.5) # |
| Control | 22.8 (20.8; 24.7) | 21.3 (19.0; 23.5) | 23.7 (20.0; 26.3) |
| Group | Timepoint 1 (Day 2–3) | Timepoint 2 (Day 5–7) | Timepoint 3 (Day 12–15) |
|---|---|---|---|
| Obese | −4.4 (−8.3; −0.5) | −7.5 (−12.3; −2.8) | −3.5 (−10.1; 3.2) |
| Control | −5.5 (−9.9; −1.1) | −7.2 (−12.0; −2.2) | 0.3 (−6.4; 7.1) * |
Disclaimer/Publisher’s Note: The statements, opinions and data contained in all publications are solely those of the individual author(s) and contributor(s) and not of MDPI and/or the editor(s). MDPI and/or the editor(s) disclaim responsibility for any injury to people or property resulting from any ideas, methods, instructions or products referred to in the content. |
© 2025 by the authors. Licensee MDPI, Basel, Switzerland. This article is an open access article distributed under the terms and conditions of the Creative Commons Attribution (CC BY) license (https://creativecommons.org/licenses/by/4.0/).
Share and Cite
de Heer, G.; Burdelski, C.; Ammon, C.; Doliwa, A.L.; Hilbert, P.; Kluge, S.; Grensemann, J. Energy Expenditure in Critically Ill Obese Patients—A Prospective Observational Study. Nutrients 2025, 17, 2060. https://doi.org/10.3390/nu17132060
de Heer G, Burdelski C, Ammon C, Doliwa AL, Hilbert P, Kluge S, Grensemann J. Energy Expenditure in Critically Ill Obese Patients—A Prospective Observational Study. Nutrients. 2025; 17(13):2060. https://doi.org/10.3390/nu17132060
Chicago/Turabian Stylede Heer, Geraldine, Christoph Burdelski, Constantin Ammon, Anna Leonie Doliwa, Pascal Hilbert, Stefan Kluge, and Jörn Grensemann. 2025. "Energy Expenditure in Critically Ill Obese Patients—A Prospective Observational Study" Nutrients 17, no. 13: 2060. https://doi.org/10.3390/nu17132060
APA Stylede Heer, G., Burdelski, C., Ammon, C., Doliwa, A. L., Hilbert, P., Kluge, S., & Grensemann, J. (2025). Energy Expenditure in Critically Ill Obese Patients—A Prospective Observational Study. Nutrients, 17(13), 2060. https://doi.org/10.3390/nu17132060

