Acute Supplementation with Nitrate-Rich Beetroot Juice Causes a Greater Increase in Plasma Nitrite and Reduction in Blood Pressure of Older Compared to Younger Adults
Abstract
1. Introduction
2. Materials and Methods
2.1. Sample Size
2.2. Participants
2.3. Intervention
2.4. Study Design and Procedures
2.5. Blood Measurements
2.6. Cognitive Measurements
2.6.1. Choice Reaction Test (CRT)
2.6.2. Rapid Visual Information Processing (RVIP)
2.6.3. Stroop Test
2.7. Mood and Perceptual Measurements
2.8. Statistical Analysis
3. Results
3.1. Participants
3.2. Plasma Nitrite and Nitrate
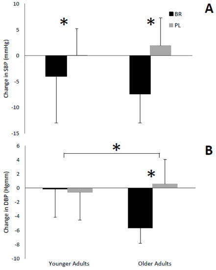
3.3. Blood Pressure
3.4. Heart Rate
3.5. Cognitive Performance
3.6. Perceptual Responses and Mood
4. Discussion
4.1. Plasma [NO2−] and [NO3−]
4.2. Blood Pressure
4.3. Cognitive Performance
4.4. Mood and Perception
4.5. Future Directions
5. Conclusions
Author Contributions
Funding
Acknowledgments
Conflicts of Interest
References
- United Nations, Department of Economic and Social Affairs, Population Division. World Population Ageing; United Nations: New York, NY, USA, 2015. [Google Scholar]
- Clements, W.T.; Lee, S.R.; Bloomer, R.J. Nitrate ingestion: A review of the health and physical performance effects. Nutrients 2014, 6, 5224–5264. [Google Scholar] [CrossRef] [PubMed]
- Velmurugan, S.; Gan, J.M.; Rathod, K.S.; Khambata, R.S.; Ghosh, S.M.; Hartley, A.; Van Eijl, S.; Sagi-Kiss, V.; Chowdhury, T.A.; Curtis, M.; et al. Dietary nitrate improves vascular function in patients with hypercholesterolemia: A randomized, double-blind, placebo-controlled study. Am. J. Clin. Nutr. 2016, 103, 25–38. [Google Scholar] [CrossRef] [PubMed]
- Kelly, J.; Fulford, J.; Vanhatalo, A.; Blackwell, J.R.; French, O.; Bailey, S.J.; Gilchrist, M.; Winyard, P.G.; Jones, A.M. Effects of short-term dietary nitrate supplementation on blood pressure, O2 uptake kinetics, and muscle and cognitive function in older adults. Am. J. Physiol. Regul. Integr. Comp. Physiol. 2013, 304, R73–R83. [Google Scholar] [CrossRef] [PubMed]
- Bailey, S.J.; Vanhatalo, A.; Winyard, P.G.; Jones, A.M. The nitrate-nitrite-nitric oxide pathway: Its role in human exercise physiology. Eur. J. Sport Sci. 2012, 12, 309–320. [Google Scholar] [CrossRef]
- Thompson, K.G.; Turner, L.; Prichard, J.; Dodd, F.; Kennedy, D.O.; Haskell, C.; Blackwell, J.R.; Jones, A.M. Influence of dietary nitrate supplementation on physiological and cognitive responses to incremental cycle exercise. Respir. Physiol. Neurobiol. 2014, 193, 11–20. [Google Scholar] [CrossRef]
- Breese, B.C.; McNarry, M.A.; Marwood, S.; Blackwell, J.R.; Bailey, S.J.; Jones, A.M. Beetroot juice supplementation speeds O2 uptake kinetics and improves exercise tolerance during severe-intensity exercise initiated from an elevated metabolic rate. Am. J. Physiol. Regul. Integr. Comp. Physiol. 2013, 305, R1441–R1450. [Google Scholar] [CrossRef]
- Lansley, K.E.; Winyard, P.G.; Bailey, S.J.; Vanhatalo, A.; Wilkerson, D.P.; Blackwell, J.R.; Jones, A.M. Acute Dietary Nitrate Supplementation Improves Cycling Time Trial Performance. Med. Sci. Sports Exerc. 2011, 43, 1125–1131. [Google Scholar] [CrossRef]
- Lansley, K.E.; Winyard, P.G.; Fulford, J.; Vanhatalo, A.; Bailey, S.J.; Blackwell, J.R.; DiMenna, F.J.; Gilchrist, M.; Benjamin, N.; Jones, A.M. Dietary nitrate supplementation reduces the O2 cost of walking and running: A placebo-controlled study. J. Appl. Physiol. 2011, 110, 591–600. [Google Scholar] [CrossRef]
- Larsen, F.; Weitzberg, E.; Lundberg, J.; Ekblom, B. Effects of dietary nitrate on oxygen cost during exercise. Acta Physiol. 2007, 191, 59–66. [Google Scholar] [CrossRef]
- Kapil, V.; Khambata, R.S.; Robertson, A.; Caulfield, M.J.; Ahluwalia, A. Dietary nitrate provides sustained blood pressure lowering in hypertensive patients a randomized, phase 2, double-blind, placebo-controlled study. Hypertens 2015, 65, 320–327. [Google Scholar] [CrossRef]
- Gilchrist, M.; Winyard, P.G.; Fulford, J.; Anning, C.; Shore, A.C.; Benjamin, N. Dietary nitrate supplementation improves reaction time in type 2 diabetes: Development and application of a novel nitrate-depleted beetroot juice placebo. Nitric Oxide 2014, 40, 67–74. [Google Scholar] [CrossRef] [PubMed]
- Presley, T.D.; Morgan, A.R.; Bechtold, E.; Clodfelter, W.; Dove, R.W.; Jennings, J.M.; Kraft, R.A.; King, S.B.; Laurienti, P.J.; Rejeski, W.J.; et al. Acute effect of a high nitrate diet on brain perfusion in older adults. Nitric Oxide 2011, 24, 34–42. [Google Scholar] [CrossRef] [PubMed]
- Stanaway, L.; Rutherfurd-Markwick, K.; Page, R.; Ali, A. Performance and Health Benefits of Dietary Nitrate Supplementation in Older Adults: A Systematic Review. Nutrients 2017, 9, 1171. [Google Scholar] [CrossRef] [PubMed]
- Kenjale, A.A.; Ham, K.L.; Stabler, T.; Robbins, J.L.; Johnson, J.L.; VanBruggen, M.; Privette, G.; Yim, E.; Kraus, W.E.; Allen, J.D. Dietary nitrate supplementation enhances exercise performance in peripheral arterial disease. J. Appl. Physiol. 2011, 110, 1582–1591. [Google Scholar] [CrossRef] [PubMed]
- Hughes, W.E.; Ueda, K.; Treichler, D.P.; Casey, D.P. Effects of acute dietary nitrate supplementation on aortic blood pressure and aortic augmentation index in young and older adults. Nitric Oxide 2016, 59, 21–27. [Google Scholar] [CrossRef] [PubMed]
- Cheng, C.F.; Tsang, C.W. Simultaneous determination of nitrite, nitrate and ascorbic acid in canned vegetable juices by reverse-phase ion-interaction HPLC. Food Addit. Contam. 1998, 15, 753–758. [Google Scholar] [CrossRef]
- Wylie, L.J.; Kelly, J.; Bailey, S.J.; Blackwell, J.R.; Skiba, P.F.; Winyard, P.G.; Jeukendrup, A.E.; Vanhatalo, A.; Jones, A.M. Beetroot juice and exercise: Pharmacodynamic and dose-response relationships. J. Appl. Physiol. 2013, 115, 325–336. [Google Scholar] [CrossRef]
- Kleinbongard, P.; Dejam, A.; Lauer, T.; Rassaf, T.; Schindler, A.; Picker, O.; Scheeren, T.; Gödecke, A.; Schrader, J.; Schulz, R.; et al. Plasma nitrite reflects constitutive nitric oxide synthase activity in mammals. Free Radic. Biol. Med. 2003, 35, 790–796. [Google Scholar] [CrossRef]
- Li, H.; Meininger, C.; Wu, G. Rapid determination of nitrite by reversed-phase high-performance liquid chromatography with fluorescence detection. J. Chromatogr. B Biomed. Sci. Appl. 2000, 746, 199–207. [Google Scholar] [CrossRef]
- Peirce, J. PsychoPy—Psychophysics software in Python. J. Neurosci. Methods 2007, 162, 8–13. [Google Scholar] [CrossRef]
- Thompson, C.; Wylie, L.J.; Fulford, J.; Kelly, J.; Black, M.I.; McDonagh, S.T.; Jeukendrup, A.E.; Vanhatalo, A.; Jones, A.M. Dietary nitrate improves sprint performance and cognitive function during prolonged intermittent exercise. Eur. J. Appl. Physiol. 2015, 115, 1825–1834. [Google Scholar] [CrossRef] [PubMed]
- Hardy, C.J.; Rejeski, W.J. Not what, but how one feels: The measurement of affect during exercise. J. Sport Exerc. Psychol. 1989, 11, 304–317. [Google Scholar] [CrossRef]
- Svebak, S.; Murgatroyd, S. Metamotivational dominance: A multimethod validation of reversal theory constructs. J. Personal. Soc. Psychol. 1985, 48, 107–116. [Google Scholar] [CrossRef]
- McNair, D.M.; Lorr, M.; Droppleman, L.F. Profile of Mood States Manual; Educational and Industrial Testing Service: San Diego, CA, USA, 1971. [Google Scholar]
- Larsen, F.J.; Schiffer, T.A.; Borniquel, S.; Sahlin, K.; Ekblom, B.; Lundberg, J.O.; Weitzberg, E. Dietary inorganic nitrate improves mitochondrial efficiency in humans. Cell Metab. 2011, 13, 149–159. [Google Scholar] [CrossRef] [PubMed]
- Hess, N.C.; Carlson, D.J.; Inder, J.D.; Jesulola, E.; Mcfarlane, J.R.; Smart, N.A. Clinically meaningful blood pressure reductions with low intensity isometric handgrip exercise. A randomized trial. Physiol. Res. 2014, 65, 461–468. [Google Scholar]
- Wong, G.W.; Wright, J.M. Blood Pressure Lowering Efficacy of Nonselective Beta-Blockers for Primary Hypertension. Cochrane Database Syst. Rev. 2014, 2, CD007452. [Google Scholar] [CrossRef] [PubMed]
- Bailey, S.J.; Fulford, J.; Vanhatalo, A.; Winyard, P.G.; Blackwell, J.R.; DiMenna, F.J.; Wilkerson, D.P.; Benjamin, N.; Jones, A.M. Dietary nitrate supplementation enhances muscle contractile efficiency during knee extensor exercise in humans. J. Appl. Physiol. 2010, 109, 135–148. [Google Scholar] [CrossRef]
- Bailey, S.J.; Winyard, P.; Vanhatalo, A.; Blackwell, J.R.; DiMenna, F.J.; Wilkerson, D.P.; Tarr, J.; Benjamin, N.; Jones, A.M. Dietary nitrate supplementation reduces the O2 cost of low-intensity exercise and enhances tolerance to high-intensity exercise in humans. J. Appl. Physiol. 2009, 107, 1144–1155. [Google Scholar] [CrossRef]
- Wightman, E.L.; Haskell-Ramsay, C.F.; Thompson, K.G.; Blackwell, J.R.; Winyard, P.G.; Forster, J.; Jones, A.M.; Kennedy, D.O. Dietary nitrate modulates cerebral blood flow parameters and cognitive performance in humans: A double-blind, placebo-controlled, crossover investigation. Physiol. Behav. 2015, 149, 149–158. [Google Scholar] [CrossRef]
- Ishizaki, J.; Yamamoto, H.; Takahashi, T.; Takeda, M.; Yano, M.; Mimura, M. Changes in regional cerebral blood flow following antidepressant treatment in late-life depression. Int. J. Geriatr. Psychiatry 2008, 23, 805–811. [Google Scholar] [CrossRef]



| Younger Adults (n = 13) | Older Adults (n = 11) | p-Value | ||||
| Male | 9 | 3 | ||||
| Female | 4 | 8 | ||||
| Age (years) | 25 ± 3 | 56 ± 6 | <0.001 * | |||
| Height (cm) | 178.4 ± 10.1 | 169.8 ± 7.0 | 0.026 * | |||
| Body Mass (kg) | 75.3 ± 14.9 | 74.7 ± 7.9 | 0.90 | |||
| Beetroot | Placebo | Beetroot | Placebo | Beetroot (Between Groups) | Placebo (Between Groups) | |
| Plasma NO2− (nM) | 193.9 ± 77.5 | 153.8 ± 57.7 | 145.4 ± 40.2 | 143.1 ± 60.3 | 0.19 | 0.86 |
| Plasma NO3− (μM) | 111.8 ± 112.5 | 116.0 ± 80.9 | 90.3 ± 62.1 | 127.0 ± 71.1 | 0.90 | 0.27 |
| SBP (mmHg) | 116.8 ± 8.1 | 114.9 ± 9.2 | 125.2 ± 9.6 | 120.9 ± 10.8 | 0.061 | 0.003 * |
| DBP (mmHg) | 68.5 ± 6.0 | 68.8 ± 7.3 | 80.9 ± 6.9 | 77.9 ± 6.3 | 0.81 | 0.042 * |
| Younger Adults | Older Adults | |||||||
|---|---|---|---|---|---|---|---|---|
| Placebo | Beetroot | Placebo | Beetroot | |||||
| Pre | Post | Pre | Post | Pre | Post | Pre | Post | |
| Choice Reaction Test | ||||||||
| Correct Response (%) | 96.2 ± 2.3 | 97.5 ± 1.7 * | 96.2 ± 2.1 | 95.6 ± 2.6 | 98.6 ± 2.0 | 99.2 ± 0.4 * | 98.7 ± 1.7 | 97.4 ± 2.2 |
| Reaction Time (ms) | 433 ± 48 | 426 ± 34 | 435 ± 46 | 421 ± 45 | 637 ± 125 | 588 ± 59 | 596 ± 96 | 615 ± 134 |
| Rapid Visual Information Processing | ||||||||
| Correct Response (%) | 87.2 ± 9.5 | 90.1 ± 8.8 | 81.1 ± 16.7 | 89.5 ± 7.7 | 57.8 ± 20.3 | 63.1 ± 21.4 | 55.9 ± 20.6 | 65.4 ± 16.9 |
| Errors | 1.2 ± 1.2 | 1.2 ± 1.1 | 1.4 ± 1.3 | 1.1 ± 1.1 | 2.4 ± 3.4 | 1.3 ± 1.7 | 2.6 ± 2.0 | 1.8 ± 1.6 |
| Reaction Time (ms) | 422 ± 34 | 402 ± 32 | 445 ± 67 | 409 ± 49 | 481 ± 65 | 495 ± 61 | 498 ± 68 | 496 ± 76 |
| Stroop Test | ||||||||
| Correct Response (%) | 96.5 ± 2.6 | 95.8 ± 3.6 | 95.6 ± 3.0 | 96.3 ± 2.8 | 98.0 ± 2.2 | 98.6 ± 1.1 | 96.7 ± 3.0 | 98.7 ± 1.6 |
| Reaction Time (ms) | 644 ± 112 | 607 ± 102 | 690 ± 204 | 616 ± 117 * | 965 ± 194 | 970 ± 167 | 978 ± 189 | 891 ± 138 * |
| Mood Measures | ||||||||
| FS | 1.9 ± 1.1 | 2.2 ± 1.1 | 2.6 ± 1.3 | 2.9 ± 1.3 | 2.7 ± 1.2 | 2.8 ± 1.5 | 2.2 ± 1.8 | 2.4 ± 1.3 |
| FAS | 1.9 ± 0.8 | 2.4 ± 1.0 | 2.2 ± 0.6 | 2.3 ± 1.0 | 1.9 ± 0.9 | 2.0 ± 1.1 | 2.1 ± 1.2 | 1.9 ± 1.3 |
| POMS | 22 ± 11 | 17 ± 7 | 22 ± 9 | 19 ± 8 | 18 ± 8 | 16 ± 7 | 25 ± 10 | 20 ± 10 |
© 2019 by the authors. Licensee MDPI, Basel, Switzerland. This article is an open access article distributed under the terms and conditions of the Creative Commons Attribution (CC BY) license (http://creativecommons.org/licenses/by/4.0/).
Share and Cite
Stanaway, L.; Rutherfurd-Markwick, K.; Page, R.; Wong, M.; Jirangrat, W.; Teh, K.H.; Ali, A. Acute Supplementation with Nitrate-Rich Beetroot Juice Causes a Greater Increase in Plasma Nitrite and Reduction in Blood Pressure of Older Compared to Younger Adults. Nutrients 2019, 11, 1683. https://doi.org/10.3390/nu11071683
Stanaway L, Rutherfurd-Markwick K, Page R, Wong M, Jirangrat W, Teh KH, Ali A. Acute Supplementation with Nitrate-Rich Beetroot Juice Causes a Greater Increase in Plasma Nitrite and Reduction in Blood Pressure of Older Compared to Younger Adults. Nutrients. 2019; 11(7):1683. https://doi.org/10.3390/nu11071683
Chicago/Turabian StyleStanaway, Luke, Kay Rutherfurd-Markwick, Rachel Page, Marie Wong, Wannita Jirangrat, Koon Hoong Teh, and Ajmol Ali. 2019. "Acute Supplementation with Nitrate-Rich Beetroot Juice Causes a Greater Increase in Plasma Nitrite and Reduction in Blood Pressure of Older Compared to Younger Adults" Nutrients 11, no. 7: 1683. https://doi.org/10.3390/nu11071683
APA StyleStanaway, L., Rutherfurd-Markwick, K., Page, R., Wong, M., Jirangrat, W., Teh, K. H., & Ali, A. (2019). Acute Supplementation with Nitrate-Rich Beetroot Juice Causes a Greater Increase in Plasma Nitrite and Reduction in Blood Pressure of Older Compared to Younger Adults. Nutrients, 11(7), 1683. https://doi.org/10.3390/nu11071683

