The Metabolic and Hepatic Impact of Two Personalized Dietary Strategies in Subjects with Obesity and Nonalcoholic Fatty Liver Disease: The Fatty Liver in Obesity (FLiO) Randomized Controlled Trial
Abstract
1. Introduction
2. Materials and Methods
2.1. Study Participants
2.2. Study Protocol
2.3. Dietary Intervention
2.4. Anthropometric, Body Composition and Biochemical Assessment
2.5. Imaging Techniques for the Assessment of Liver Status
2.6. Statistical Analyses
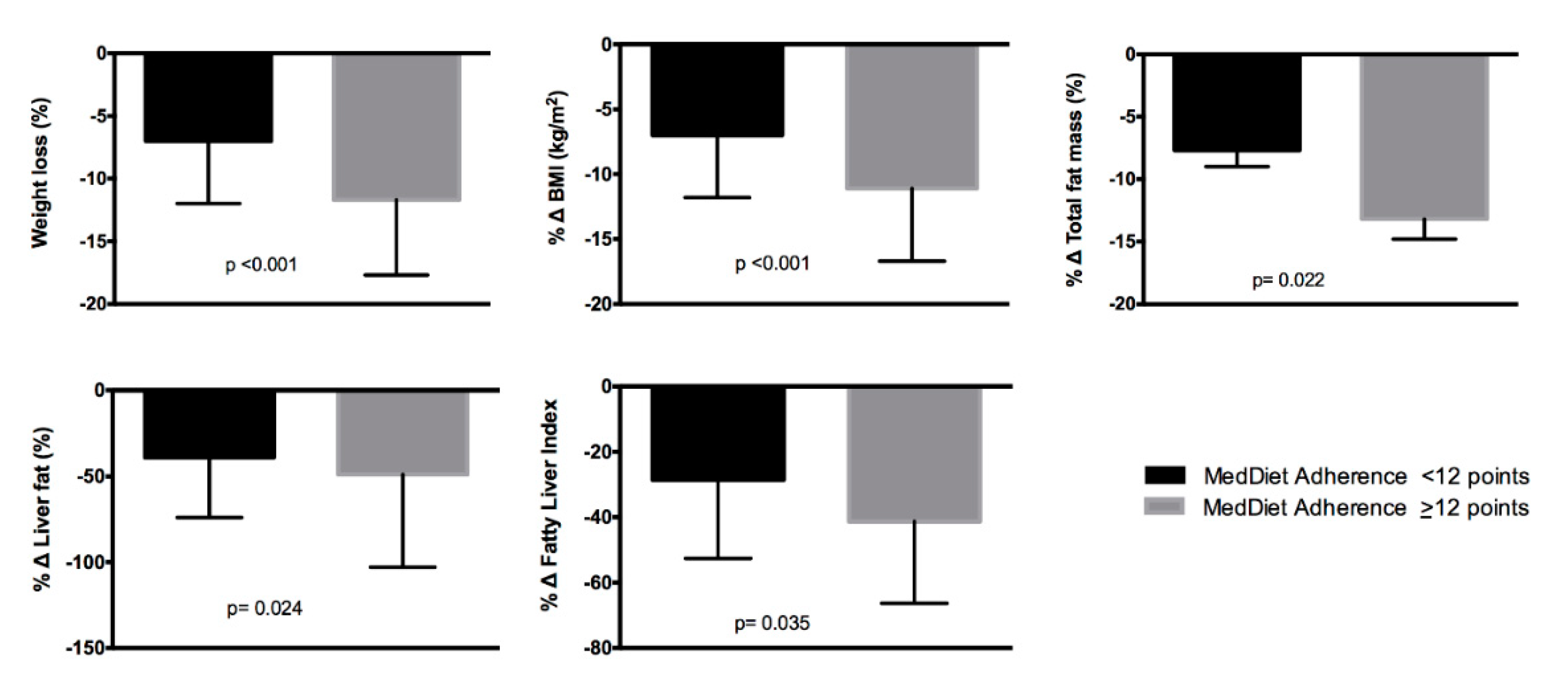
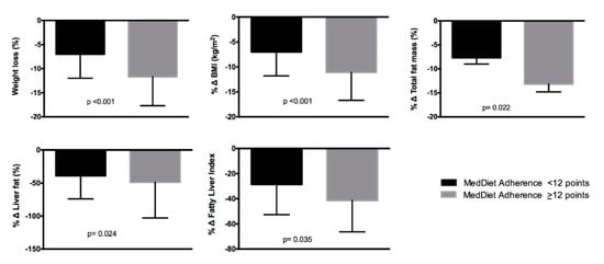
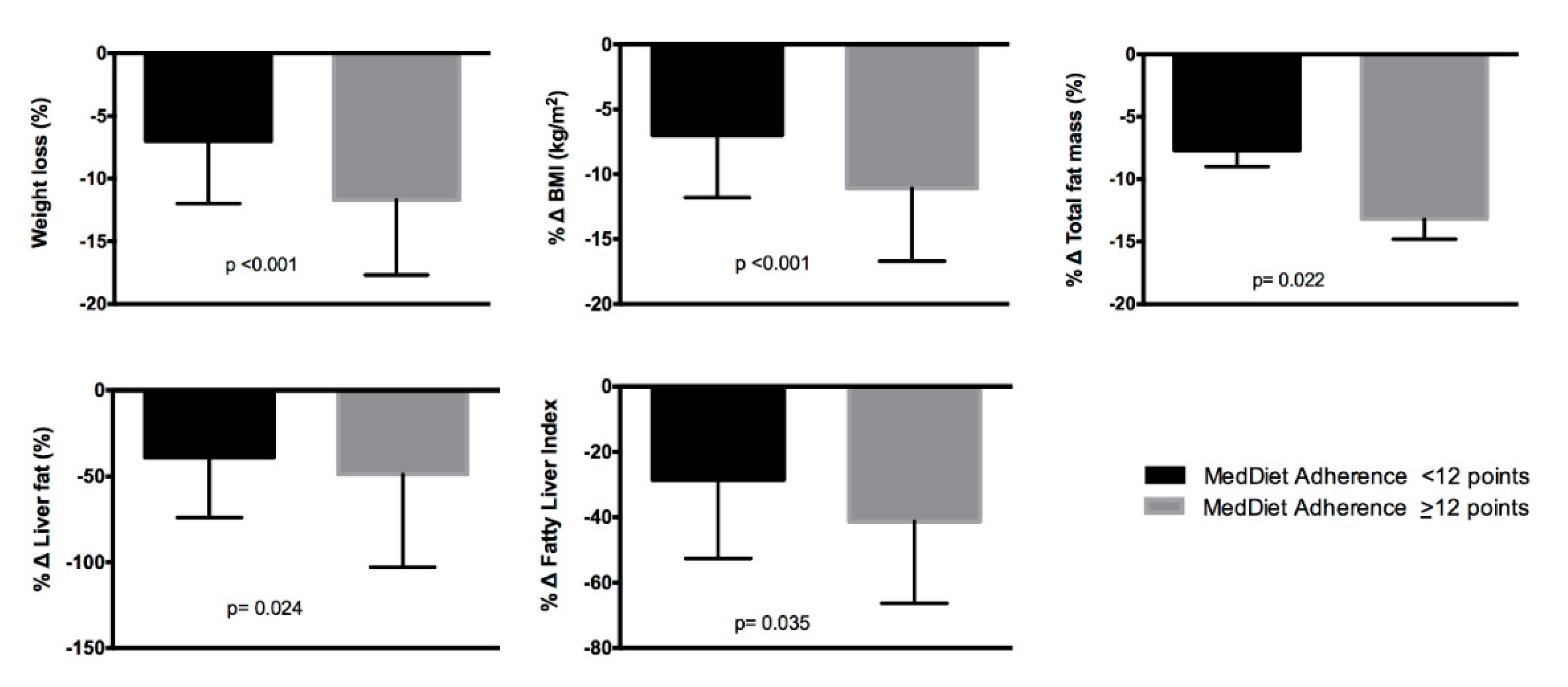
3. Results
4. Discussion
5. Conclusions
Supplementary Materials
Author Contributions
Funding
Acknowledgments
Conflicts of Interest
References
- Buzzetti, E.; Pinzani, M.; Tsochatzis, E.A. The multiple-hit pathogenesis of non-alcoholic fatty liver disease (NAFLD). Metabolism 2016, 65, 1038–1048. [Google Scholar] [CrossRef] [PubMed]
- Chalasani, N.; Younossi, Z.; Lavine, J.E.; Charlton, M.; Cusi, K.; Rinella, M.; Harrison, S.A.; Brunt, E.M.; Sanyal, A.J. The diagnosis and management of nonalcoholic fatty liver disease: Practice guidance from the American Association for the Study of Liver Diseases. Hepatology 2018, 67, 328–357. [Google Scholar] [CrossRef] [PubMed]
- Vilar-Gomez, E.; Calzadilla-Bertot, L.; Wai-Sun Wong, V.; Castellanos, M.; Aller-de la Fuente, R.; Metwally, M.; Eslam, M.; Gonzalez-Fabian, L.; Alvarez-Quiñones Sanz, M.; Conde-Martin, A.F.; et al. Fibrosis Severity as a Determinant of Cause-Specific Mortality in Patients With Advanced Nonalcoholic Fatty Liver Disease: A Multi-National Cohort Study. Gastroenterology 2018, 155, 443–457. [Google Scholar] [CrossRef] [PubMed]
- Younossi, Z.; Anstee, Q.M.; Marietti, M.; Hardy, T.; Henry, L.; Eslam, M.; George, J.; Bugianesi, E. Global burden of NAFLD and NASH: Trends, predictions, risk factors and prevention. Nat. Rev. Gastroenterol. Hepatol. 2018, 15, 11–20. [Google Scholar] [CrossRef]
- Seko, Y.; Yamaguchi, K.; Itoh, Y. The genetic backgrounds in nonalcoholic fatty liver disease. Clin. J. Gastroenterol. 2018, 11, 97–102. [Google Scholar] [CrossRef]
- Di Costanzo, A.; Belardinilli, F.; Bailetti, D.; Sponziello, M.; D’Erasmo, L.; Polimeni, L.; Baratta, F.; Pastori, D.; Ceci, F.; Montali, A.; et al. Evaluation of Polygenic Determinants of Non-Alcoholic Fatty Liver Disease (NAFLD) By a Candidate Genes Resequencing Strategy. Sci. Rep. 2018, 8, 3702. [Google Scholar] [CrossRef]
- Pelusi, S.; Valenti, L. Hepatic fat as clinical outcome and therapeutic target for nonalcoholic fatty liver disease. Liver Int. 2019, 39, 250–256. [Google Scholar] [CrossRef]
- Bullón-Vela, M.V.; Abete, I.; Martinez, J.A.; Zulet, M.A. Obesity and Nonalcoholic Fatty Liver Disease: Role of Oxidative Stress. In Obesity: Oxidative Stress and Dietary Antioxidants; Marti del Moral, A., García, C.M.A., Eds.; Elsevier: London, UK, 2018; pp. 111–133. ISBN 9780128125052 0128125055. [Google Scholar]
- Byrne, C.D.; Targher, G. NAFLD: A multisystem disease. J. Hepatol. 2015, 62, S47–S64. [Google Scholar] [CrossRef]
- Liu, H.; Fu, J.; Hong, R.; Liu, L.; Li, F. Acoustic Radiation Force Impulse Elastography for the Non-Invasive Evaluation of Hepatic Fibrosis in Non-Alcoholic Fatty Liver Disease Patients: A Systematic Review & Meta-Analysis. PLoS ONE 2015, 10, e0127782. [Google Scholar] [CrossRef]
- McGettigan, B.; McMahan, R.; Orlicky, D.; Burchill, M.; Danhorn, T.; Francis, P.; Cheng, L.L.; Golden-Mason, L.; Jakubzick, C.V.; Rosen, H.R. Dietary Lipids Differentially Shape Nonalcoholic Steatohepatitis Progression and the Transcriptome of Kupffer Cells and Infiltrating Macrophages. Hepatology 2019, 70, 67–83. [Google Scholar] [CrossRef]
- Romero-Gómez, M.; Zelber-Sagi, S.; Trenell, M. Treatment of NAFLD with diet, physical activity and exercise. J. Hepatol. 2017, 67, 829–846. [Google Scholar] [CrossRef] [PubMed]
- Oh, S.; So, R.; Shida, T.; Matsuo, T.; Kim, B.; Akiyama, K.; Isobe, T.; Okamoto, Y.; Tanaka, K.; Shoda, J. High-intensity aerobic exercise improves both hepatic fat content and stiffness in sedentary obese men with nonalcoholic fatty liver disease. Sci. Rep. 2017, 7, 43029. [Google Scholar] [CrossRef] [PubMed]
- Cantero, I.; Abete, I.; Monreal, J.I.; Martinez, J.A.; Zulet, M.A. Fruit fiber consumption specifically improves liver health status in obese subjects under energy restriction. Nutrients 2017, 9, 667. [Google Scholar] [CrossRef]
- Eslamparast, T.; Tandon, P.; Raman, M. Dietary composition independent of weight loss in the management of non-alcoholic fatty liver disease. Nutrients 2017, 9, 800. [Google Scholar] [CrossRef] [PubMed]
- Ratziu, V. Non-pharmacological interventions in non-alcoholic fatty liver disease patients. Liver Int. 2017, 37, 90–96. [Google Scholar] [CrossRef] [PubMed]
- Katsagoni, C.N.; Papatheodoridis, G.V.; Ioannidou, P.; Deutsch, M.; Alexopoulou, A.; Papadopoulos, N.; Papageorgiou, M.-V.; Fragopoulou, E.; Kontogianni, M.D. Improvements in clinical characteristics of patients with non-alcoholic fatty liver disease, after an intervention based on the Mediterranean lifestyle: A randomised controlled clinical trial. Br. J. Nutr. 2018, 120, 164–175. [Google Scholar] [CrossRef]
- Sanyal, A.J.; Brunt, E.M.; Kleiner, D.E.; Kowdley, K.V.; Chalasani, N.; Lavine, J.E.; Ratziu, V.; Mccullough, A. Endpoints and clinical trial design for nonalcoholic steatohepatitis. Hepatology 2011, 54, 344–353. [Google Scholar] [CrossRef]
- Tudor-Locke, C.; Craig, C.L.; Brown, W.J.; Clemes, S.A.; De Cocker, K.; Giles-Corti, B.; Hatano, Y.; Inoue, S.; Matsudo, S.M.; Mutrie, N.; et al. How many steps/day are enough? for adults. Int. J. Behav. Nutr. Phys. Act. 2011, 8, 79. [Google Scholar] [CrossRef]
- Colom, A.; Fiol, M.; Ruiz, M.; Compa, M.; Morey, M.; Moñino, M.; Romaguera, D. Association between access to public open spaces and physical activity in a mediterranean population at high cardiovascular risk. Int. J. Environ. Res. Public Health 2018, 15, 1285. [Google Scholar] [CrossRef]
- Ainsworth, B.E.; Haskell, W.L.; Herrmann, S.D.; Meckes, N.; Bassett, D.R.; Tudor-Locke, C.; Greer, J.L.; Vezina, J.; Whitt-Glover, M.C.; Leon, A.S. Compendium of Physical Activities: A Second Update of Codes and MET Values. Med. Sci. Sport. Exerc. 2011, 43, 1575–1581. [Google Scholar] [CrossRef]
- Trumbo, P.; Schlicker, S.; Yates, A.A.; Poos, M. Dietary reference intakes for energy, carbohydrate, fiber, fat, fatty acids, cholesterol, protein and amino acids. J. Am. Diet. Assoc. 2002, 102, 1621. [Google Scholar] [CrossRef]
- Zulet, M.A.; Navas-Carretero, S.; Bondia-Pons, I.; Abete, I.; Martinez, J.A.; Lopez-Legarrea, P.; Forga, L.; de la Iglesia, R. A new dietary strategy for long-term treatment of the metabolic syndrome is compared with the American Heart Association (AHA) guidelines: The MEtabolic Syndrome REduction in NAvarra (RESMENA) project. Br. J. Nutr. 2013, 111, 643–652. [Google Scholar] [CrossRef]
- Lopez-Legarrea, P.; De La Iglesia, R.; Abete, I.; Bondia-Pons, I.; Navas-Carretero, S.; Forga, L.; Martinez, J.A.; Zulet, M.A. Short-term role of the dietary total antioxidant capacity in two hypocaloric regimes on obese with metabolic syndrome symptoms: The RESMENA randomized controlled trial. Nutr. Metab. 2013, 10, 22. [Google Scholar] [CrossRef] [PubMed]
- Fernández-Ballart, J.D.; Piñol, J.L.; Zazpe, I.; Corella, D.; Carrasco, P.; Toledo, E.; Perez-Bauer, M.; Martínez-González, M.Á.; Salas-Salvadó, J.; Martn-Moreno, J.M. Relative validity of a semi-quantitative food-frequency questionnaire in an elderly Mediterranean population of Spain. Br. J. Nutr. 2010, 103, 1808–1816. [Google Scholar] [CrossRef]
- Galarregui, C.; Zulet, M.; Cantero, I.; Marín-Alejandre, B.; Monreal, J.; Elorz, M.; Benito-Boillos, A.; Herrero, J.; Tur, J.; Abete, I.; et al. Interplay of Glycemic Index, Glycemic Load, and Dietary Antioxidant Capacity with Insulin Resistance in Subjects with a Cardiometabolic Risk Profile. Int. J. Mol. Sci. 2018, 19, 3662. [Google Scholar] [CrossRef]
- Galmes-Panades, A.M.; Konieczna, J.; Abete, I.; Colom, A.; Rosique-Esteban, N.; Zulet, M.A.; Vázquez, Z.; Estruch, R.; Vidal, J.; Toledo, E.; et al. PREDIMED-Plus investigators Lifestyle factors and visceral adipose tissue: Results from the PREDIMED-PLUS study. PLoS ONE 2019, 14, e0210726. [Google Scholar] [CrossRef]
- de la Iglesia, R.; Lopez-Legarrea, P.; Abete, I.; Bondia-Pons, I.; Navas-Carretero, S.; Forga, L.; Martinez, J.A.; Zulet, M.A. A new dietary strategy for long-term treatment of the metabolic syndrome is compared with the American Heart Association (AHA) guidelines: The MEtabolic Syndrome REduction in NAvarra (RESMENA) project. Br. J. Nutr. 2014, 111, 643–652. [Google Scholar] [CrossRef]
- Bedogni, G.; Bellentani, S.; Miglioli, L.; Masutti, F.; Passalacqua, M.; Castiglione, A.; Tiribelli, C. The fatty liver index: A simple and accurate predictor of hepatic steatosis in the general population. BMC Gastroenterol. 2006, 6, 33. [Google Scholar] [CrossRef]
- Kahl, S.; Straßburger, K.; Nowotny, B.; Livingstone, R.; Klüppelholz, B.; Keßel, K.; Hwang, J.H.; Giani, G.; Hoffmann, B.; Pacini, G.; et al. Comparison of liver fat indices for the diagnosis of hepatic steatosis and insulin resistance. PLoS ONE 2014, 9, e94059. [Google Scholar] [CrossRef]
- Cantero, I.; Elorz, M.; Abete, I.; Marin, B.A.; Herrero, J.I.; Monreal, J.I.; Benito, A.; Quiroga, J.; Martínez, A.; Huarte, M.P.; et al. Ultrasound/Elastography techniques, lipidomic and blood markers compared to Magnetic Resonance Imaging in non-alcoholic fatty liver disease adults. Int. J. Med. Sci. 2019, 16, 75–83. [Google Scholar] [CrossRef]
- Marin-Alejandre, B.; Abete, I.; Cantero, I.; Riezu-Boj, J.; Milagro, F.; Monreal, J.; Elorz, M.; Herrero, J.; Benito-Boillos, A.; Quiroga, J.; et al. Association between Sleep Disturbances and Liver Status in Obese Subjects with Nonalcoholic Fatty Liver Disease: A Comparison with Healthy Controls. Nutrients 2019, 11, 322. [Google Scholar] [CrossRef] [PubMed]
- Lee, S.S.; Park, S.H. Radiologic evaluation of nonalcoholic fatty liver disease. World J. Gastroenterol. 2014, 20, 7392–7402. [Google Scholar] [CrossRef] [PubMed]
- Cassinotto, C.; Boursier, J.; de Lédinghen, V.; Lebigot, J.; Lapuyade, B.; Cales, P.; Hiriart, J.B.; Michalak, S.; Le Bail, B.; Cartier, V.; et al. Liver stiffness in nonalcoholic fatty liver disease: A comparison of supersonic shear imaging, FibroScan, and ARFI with liver biopsy. Hepatology 2016, 63, 1817–1827. [Google Scholar] [CrossRef] [PubMed]
- Cantoral, A.; Contreras-Manzano, A.; Luna-Villa, L.; Batis, C.; Roldán-Valadez, E.; Ettinger, A.; Mercado, A.; Peterson, K.; Téllez-Rojo, M.; Rivera, J. Dietary Sources of Fructose and Its Association with Fatty Liver in Mexican Young Adults. Nutrients 2019, 11, 522. [Google Scholar] [CrossRef] [PubMed]
- European Association for the Study of the Liver (EASL); European Association for the Study of Diabetes (EASD); European Association for the Study of Obesity (EASO). EASL–EASD–EASO Clinical Practice Guidelines for the management of non-alcoholic fatty liver disease. J. Hepatol. 2016, 64, 1388–1402. [Google Scholar] [CrossRef] [PubMed]
- Marchesini, G.; Petta, S.; Dalle Grave, R. Diet, weight loss, and liver health in nonalcoholic fatty liver disease: Pathophysiology, evidence, and practice. Hepatology 2016, 63, 2032–2043. [Google Scholar] [CrossRef]
- Rachakonda, V.; Wills, R.; DeLany, J.P.; Kershaw, E.E.; Behari, J. Differential Impact of Weight Loss on Nonalcoholic Fatty Liver Resolution in a North American Cohort with Obesity. Obesity 2017, 25, 1360–1368. [Google Scholar] [CrossRef]
- Katsagoni, C.N.; Georgoulis, M.; Papatheodoridis, G.V.; Panagiotakos, D.B.; Kontogianni, M.D. Effects of lifestyle interventions on clinical characteristics of patients with non-alcoholic fatty liver disease: A meta-analysis. Metabolism 2017, 68, 119–132. [Google Scholar] [CrossRef]
- Sayiner, M.; Lam, B.; Golabi, P.; Younossi, Z.M. Advances and challenges in the management of advanced fibrosis in nonalcoholic steatohepatitis. Therap. Adv. Gastroenterol. 2018, 11, 175628481881150. [Google Scholar] [CrossRef]
- Van Horn, L.; Carson, J.A.S.; Appel, L.J.; Burke, L.E.; Economos, C.; Karmally, W.; Lancaster, K.; Lichtenstein, A.H.; Johnson, R.K.; Thomas, R.J.; et al. American Heart Association Nutrition Committee of the Council on Lifestyle and Cardiometabolic Health; Council on Cardiovascular Disease in the Young; Council on Cardiovascular and Stroke Nursing; Council on Clinical Cardiology; and Stroke Council Recommended Dietary Pattern to Achieve Adherence to the American Heart Association/American College of Cardiology (AHA/ACC) Guidelines: A Scientific Statement From the American Heart Association. Circulation 2016, 134, e505–e529. [Google Scholar] [CrossRef]
- Hu, F.B. Dietary pattern analysis: A new direction in nutritional epidemiology. Curr. Opin. Lipidol. 2002, 13, 3–9. [Google Scholar] [CrossRef] [PubMed]
- Varraso, R.; Garcia-Aymerich, J.; Monier, F.; Le Moual, N.; De Batlle, J.; Miranda, G.; Pison, C.; Romieu, I.; Kauffmann, F.; Maccario, J. Assessment of dietary patterns in nutritional epidemiology: Principal component analysis compared with confirmatory factor analysis. Am. J. Clin. Nutr. 2012, 96, 1079–1092. [Google Scholar] [CrossRef]
- Ros, E.; Martínez-González, M.A.; Estruch, R.; Salas-Salvadó, J.; Fitó, M.; Martínez, J.A.; Corella, D. Mediterranean Diet and Cardiovascular Health: Teachings of the PREDIMED Study. Adv. Nutr. 2014, 5, 330S–336S. [Google Scholar] [CrossRef]
- Khalatbari-Soltani, S.; Imamura, F.; Brage, S.; De Lucia Rolfe, E.; Griffin, S.J.; Wareham, N.J.; Marques-Vidal, P.; Forouhi, N.G. The association between adherence to the Mediterranean diet and hepatic steatosis: Cross-sectional analysis of two independent studies, the UK Fenland Study and the Swiss CoLaus Study. BMC Med. 2019, 17, 19. [Google Scholar] [CrossRef] [PubMed]
- Kontogianni, M.D.; Tileli, N.; Margariti, A.; Georgoulis, M.; Deutsch, M.; Tiniakos, D.; Fragopoulou, E.; Zafiropoulou, R.; Manios, Y.; Papatheodoridis, G. Adherence to the Mediterranean diet is associated with the severity of non-alcoholic fatty liver disease. Clin. Nutr. 2014, 33, 678–683. [Google Scholar] [CrossRef] [PubMed]
- Della Pepa, G.; Vetrani, C.; Lombardi, G.; Bozzetto, L.; Annuzzi, G.; Rivellese, A. Isocaloric Dietary Changes and Non-Alcoholic Fatty Liver Disease in High Cardiometabolic Risk Individuals. Nutrients 2017, 9, 1065. [Google Scholar] [CrossRef] [PubMed]
- Properzi, C.; O’Sullivan, T.A.; Sherriff, J.L.; Ching, H.L.; Jeffrey, G.P.; Buckley, R.F.; Tibballs, J.; MacQuillan, G.C.; Garas, G.; Adams, L.A. Ad Libitum Mediterranean and Low-Fat Diets Both Significantly Reduce Hepatic Steatosis: A Randomized Controlled Trial. Hepatology 2018, 68, 1741–1754. [Google Scholar] [CrossRef] [PubMed]
- Abenavoli, L.; Greco, M.; Milic, N.; Accattato, F.; Foti, D.; Gulletta, E.; Luzza, F. Effect of Mediterranean Diet and Antioxidant Formulation in Non-Alcoholic Fatty Liver Disease: A Randomized Study. Nutrients 2017, 9, 870. [Google Scholar] [CrossRef]
- Udomsinprasert, W.; Honsawek, S.; Poovorawan, Y. Adiponectin as a novel biomarker for liver fibrosis. World J. Hepatol. 2018, 10, 708–718. [Google Scholar] [CrossRef]
- Bianchi, V.E. Weight loss is a critical factor to reduce inflammation. Clin. Nutr. ESPEN 2018, 28, 21–35. [Google Scholar] [CrossRef]
- Hosseini, B.; Berthon, B.S.; Saedisomeolia, A.; Starkey, M.R.; Collison, A.; Wark, P.A.B.; Wood, L.G. Effects of fruit and vegetable consumption on inflammatory biomarkers and immune cell populations: A systematic literature review and meta-analysis. Am. J. Clin. Nutr. 2018, 108, 136–155. [Google Scholar] [CrossRef] [PubMed]
- Bota, S.; Herkner, H.; Sporea, I.; Salzl, P.; Sirli, R.; Neghina, A.M.; Peck-Radosavljevic, M. Meta-analysis: ARFI elastography versus transient elastography for the evaluation of liver fibrosis. Liver Int. 2013, 33, 1138–1147. [Google Scholar] [CrossRef] [PubMed]


| AHA | FLiO | |||||||
|---|---|---|---|---|---|---|---|---|
| Baseline (n = 48) | 6 months (n = 37) | p-Value a | Baseline (n = 50) | 6 months (n = 39) | p-Value a | Baseline p-Value b | ∆ p-Value c | |
| Age (years) | 51.1 (9.8) | - | 49.2 (8.9) | - | 0.326 | - | ||
| Sex (Women/Men) | 20/28 | - | 27/23 | - | 0.666 e | - | ||
| Anthropometry and body composition | ||||||||
| Weight (kg) | 94.4 (14.4) | 84.2 (13.1) | <0.001 | 95.1 (14.0) | 86.6 (13.2) | <0.001 | 0.791 | 0.621 |
| BMI (kg/m2) | 33.7 (4.0) | 30.2 (4.1) | <0.001 | 33.3 (3.5) | 30.1 (3.6) | <0.001 | 0.645 | 0.929 |
| Waist circumference (cm) | 109.7 (9.6) | 98.7 (14.8) | <0.001 | 108.3 (9.2) | 99.4 (9.5) | <0.001 | 0.462 | 0.614 |
| Total fat mass (%) | 42.7 (6.0) | 37.0 (7.4) | <0.001 | 42.3 (6.2) | 37.8 (7.8) | <0.001 | 0.759 | 0.857 |
| Visceral adipose tissue (kg) | 2.5 (1.1) | 1.6 (0.8) | <0.001 | 2.3 (1.1) | 1.5 (0.8) | <0.001 | 0.235 | 0.330 |
| SBP (mmHg) | 133 (14.3) | 119 (23.2) | 0.003 | 128 (15.2) | 123 (15.3) | 0.009 | 0.089 | 0.111 |
| DBP (mmHg) | 87 (8.2) | 79 (7.9) | <0.001 | 86 (9.3) | 82 (8.3) | <0.001 | 0.797 | 0.661 |
| Biochemical parameters | ||||||||
| Total cholesterol (mg/dL) | 192 (40.4) | 177 (42.9) | 0.089 | 197 (34.7) | 185 (41.3) | 0.051 | 0.514 | 0.362 |
| HDL cholesterol (mg/dL) | 51.9 (14.3) | 53.0 (13.8) | 0.073 | 53.8 (12.1) | 54.7 (12.0) | 0.251 | 0.436 | 0.858 |
| LDL cholesterol (mg/dL) | 114 (37.3) | 103 (36.7) | 0.264 | 118 (30.4) | 112 (35.4) | 0.265 | 0.576 | 0.934 |
| Triglycerides (mg/dL) | 128.6 (65.7) | 98.6 (41.4) | 0.003 | 129.1 (61.9) | 90.6 (58.5) | <0.001 | 0.960 | 0.103 |
| Fasting glucose (mg/dL) | 103.8 (17.9) | 94.7 (14.4) | <0.001 | 101.4 (13.5) | 93.0 (10.8) | <0.001 | 0.912 | 0.204 |
| Insulin (mU/L) | 17.5 (9.4) | 11.2 (7.2) | <0.001 | 16.6 (7.4) | 11.2 (7.3) | <0.001 | 0.615 | 0.788 |
| HOMA-IR | 4.6 (2.8) | 2.7 (2.2) | <0.001 | 4.2 (2.1) | 2.6 (1.9) | <0.001 | 0.623 | 0.581 |
| Leptin (ng/mL) | 37.1 (27.0) | 20.8 (15.7) | <0.001 | 38.8 (31.1) | 22.3 (17.1) | <0.001 | 0.934 | 0.770 |
| Adiponectin (µg/mL) | 6.7 (2.2) | 8.0 (3.0) | 0.118 | 6.6 (2.2) | 9.5 (3.7) | <0.001 | 0.887 | 0.100 |
| C-reactive protein (mg/dL) | 0.65 (1.9) | 0.32 (0.4) | 0.250 | 0.40 (0.6) | 0.18 (0.2) | <0.001 | 0.710 | 0.559 |
| AHA | FLiO | |||||||
|---|---|---|---|---|---|---|---|---|
| Baseline (n = 48) | 6 months (n = 37) | p-Value a | Baseline (n = 50) | 6 months (n = 39) | p-Value a | Baseline p-Value b | ∆ p-Value c | |
| AST (IU/L) | 25.5 (11.0) | 21.6 (6.1) | <0.001 | 23.9 (8.3) | 21.9 (8.5) | 0.302 | 0.487 | 0.116 |
| ALT (IU/L) | 33.1 (16.8) | 22.9 (8.5) | <0.001 | 33.3 (17.9) | 21.7 (9.2) | <0.001 | 0.759 | 0.474 |
| GGT (IU/L) | 40.9 (29.0) | 28.3 (23.0) | <0.001 | 33.6 (23.9) | 26.4 (42.6) | <0.001 | 0.174 | 0.692 |
| Hepatic volume (mL) | 1797 (433) | 1633 (316) | <0.001 | 1758 (406) | 1563 (330) | <0.001 | 0.721 | 0.636 |
| Liver fat (%) | 7.4 (5.3) | 3.8 (3.3) | <0.001 | 7.0 (5.4) | 2.8 (3.1) | <0.001 | 0.468 | 0.706 |
| Liver stiffness (m/s) | 1.9 (0.8) | 2.0 (0.7) | 0.177 | 1.8 (0.8) | 1.7 (0.6) | 0.203 | 0.588 | 0.062 |
| FLI | 80.4 (15.6) | 54.4 (23.7) | <0.001 | 76.9 (21.2) | 47.9 (24.1) | <0.001 | 0.654 | 0.123 |
| AHA | FLiO | ||||||||
|---|---|---|---|---|---|---|---|---|---|
| Baseline (n = 48) | 6 months (n = 37) | p-Value a | Baseline (n = 50) | 6 months (n = 39) | p-Value a | Baseline p-Value b | ∆ p-Value c | 6 months p-Value d | |
| Total energy (kcal/day) | 2730 (867) | 2170 (474) | 0.002 | 2521 (1000) | 1816 (569) | <0.001 | 0.148 | 0.536 | 0.012 |
| Meal frequency | 4.5 (0.9) | 4.8 (0.8) | 0.045 | 4.8 (0.9) | 5.8 (1.0) | <0.001 | 0.199 | 0.022 | 0.001 |
| Carbohydrates (% TEV) | 43.4 (7) | 45.0 (7) | 0.336 | 42.8 (7) | 39.0 (7) | 0.015 | 0.685 | 0.048 | <0.001 |
| Proteins (% TEV) | 16.8 (3) | 18.5 (3) | 0.047 | 17.6 (4) | 22.1 (4) | <0.001 | 0.285 | 0.018 | <0.001 |
| Lipids (% TEV) | 37.0 (7) | 34.5 (6) | 0.111 | 36.9 (8) | 36.5 (9) | 0.973 | 0.927 | 0.444 | 0.292 |
| MUFA (% TEV) | 17.8 (5) | 17.5 (4) | 0.682 | 17.4 (4) | 16.1 (6) | 0.353 | 0.785 | 0.623 | 0.088 |
| PUFA (% TEV) | 5.5 (2) | 5.2 (2) | 0.704 | 5.4 (2) | 9.0 (5) | 0.001 | 0.727 | 0.001 | <0.001 |
| SFA (% TEV) | 10.6 (2) | 9.4 (2) | 0.032 | 10.6 (3) | 8.8 (3) | 0.024 | 0.838 | 0.572 | 0.102 |
| Fiber (g/1000 kcal) | 9.8 (3) | 14.4 (4) | <0.001 | 9.7 (4) | 14.9 (4) | <0.001 | 0.586 | 0.380 | 0.577 |
| Glycemic load | 165 (78) | 117 (41) | 0.003 | 147 (78) | 83.8 (34) | <0.001 | 0.181 | 0.667 | <0.001 |
| TAC (mmol/1000 kcal) | 4.9 (2) | 4.6 (2) | 0.426 | 4.2 (2) | 5.7 (3) | 0.022 | 0.332 | 0.044 | 0.264 |
| MedDiet adherence score | 6.2 (2) | 10.8 (3) | <0.001 | 5.8 (2) | 12.6 (3) | <0.001 | 0.370 | 0.002 | 0.002 |
| PA (METs—min/week) | 2685 (2112) | 4463 (3031) | <0.001 | 3120 (2136) | 4158 (2532) | 0.039 | 0.258 | 0.326 | 0.809 |
| Ratio Energy intake/Energy expenditure in PA | 7.1 (6) | 3.0 (2) | 0.001 | 5.8 (7) | 2.7 (2) | 0.033 | 0.088 | 0.298 | 0.502 |
| Weight Loss (%) | Δ Visceral Adipose Tissue (kg) | Δ Total Fat Mass (%) | Δ Adiponectin (µg/mL) | Δ C-Reactive Protein (mg/dL) | Δ MedDiet Adherence | Δ Proteins (%) | Δ Lipids (%) | Δ Meal Frequency | Δ TAC (mmol/1000 kcal) | Δ Fiber (g/1000 kcal) | Δ Glycemic Load | |||||||||||||
|---|---|---|---|---|---|---|---|---|---|---|---|---|---|---|---|---|---|---|---|---|---|---|---|---|
| β | p | β | p | β | p | β | p | β | p | β | p | β | p | β | p | β | p | β | p | β | p | Β | p | |
| AST (IU/L) | −0.191 | 0.263 | 1.672 | 0.059 | 0.086 | 0.742 | 0.151 | 0.565 | 3.389 | 0.224 | −0.307 | 0.320 | −0.096 | 0.682 | 0.124 | 0.272 | −0.325 | 0.806 | −0.642 | 0.194 | 0.001 | 0.995 | 0.008 | 0.531 |
| ALT (IU/L) | −0.369 | 0.046 | 1.580 | 0.089 | 0.311 | 0.260 | −0.010 | 0.972 | 6.991 | 0.021 | −0.626 | 0.062 | −0.093 | 0.719 | 0.191 | 0.123 | −0.062 | 0.964 | −0.287 | 0.602 | −0.246 | 0.372 | −0.001 | 0.906 |
| GGT (IU/L) | −0.691 | 0.113 | 0.785 | 0.745 | 1.129 | 0.095 | 0.117 | 0.862 | 13.146 | 0.089 | −0.799 | 0.312 | −0.242 | 0.699 | −0.314 | 0.292 | 0.085 | 0.981 | −0.749 | 0.572 | −1.112 | 0.103 | 0.029 | 0.391 |
| Hepatic Volume (mL) | −5.489 | 0.450 | 15.68 | 0.664 | 1.503 | 0.899 | −3.840 | 0.731 | 162.95 | 0.096 | −3.444 | 0.770 | 2.780 | 0.761 | 3.543 | 0.437 | −41.099 | 0.320 | 0.388 | 0.984 | 0.888 | 0.931 | −0.597 | 0.274 |
| Liver fat (%) | −0.252 | <0.001 | 0.123 | 0.753 | 0.338 | 0.004 | −0.166 | 0.080 | 1.377 | 0.174 | −0.396 | 0.001 | −0.111 | 0.268 | 0.098 | 0.046 | −0.227 | 0.549 | −0.238 | 0.282 | −0.155 | 0.167 | 0.005 | 0.369 |
| FLI | −2.340 | <0.001 | 3.402 | 0.078 | 3.590 | <0.001 | −0.1.45 | 0.069 | 11.966 | 0.199 | −0.962 | 0.313 | −0.308 | 0.668 | 0.319 | 0.353 | −5.156 | 0.172 | −0.391 | 0.795 | −1.872 | 0.015 | 0.018 | 0.645 |
| Liver Stiffness (m/s) | −0.043 | 0.004 | 0.168 | 0.044 | 0.070 | 0.003 | −0.010 | 0.679 | 0.140 | 0.589 | −0.053 | 0.061 | 0.016 | 0.451 | −0.009 | 0.375 | −0.147 | 0.214 | −0.006 | 0.887 | −0.034 | 0.143 | −0.0002 | 0.980 |
| Liver Fat (%) after 6 Months of Treatment | β | p | Adjusted R2 | p-Model | |
|---|---|---|---|---|---|
| Unadjusted model | 6 months MedDiet adherence | −0.465 | <0.001 | 0.186 | <0.001 |
| Model 1 | 6 months MedDiet adherence | −0.585 | <0.001 | 0.319 | <0.001 |
| Unadjusted model | 6 months TAC (mmol/1000 kcal) | −0.351 | 0.028 | 0.061 | 0.027 |
| Model 2 | 6 months TAC (mmol/1000 kcal) | −0.306 | 0.102 | 0.114 | 0.047 |
| Unadjusted model | Weight loss (%) | −0.257 | <0.001 | 0.188 | <0.001 |
| Model 3 | Weight loss (%) | −0.252 | <0.001 | 0.259 | <0.001 |
| Model 4 | Weight loss (%) | 0.366 | <0.001 | ||
| 5%–10% | −3.410 | 0.001 | |||
| >10% | −5.033 | <0.001 | |||
| Model 5 | 6 months MedDiet adherence | −0.437 | 0.007 | 0.344 | <0.001 |
| Weight loss (%) | −0.133 | 0.087 | |||
| Model 6 | 6 months MedDiet adherence | −0.325 | 0.031 | 0.409 | <0.001 |
| Weight loss (%) | |||||
| 5%–10% | −2.490 | 0.021 | |||
| >10% | −3.638 | 0.002 | |||
| Model 7 | 6 months TAC (mmol/1000 kcal) | −0.351 | 0.037 | 0.305 | <0.001 |
| Weight loss (%) | −0.262 | <0.001 | |||
| Model 8 | 6 months TAC (mmol/1000 kcal) | −0.297 | 0.056 | 0.398 | <0.001 |
| Weight loss (%) | |||||
| 5%–10% | −3.410 | 0.001 | |||
| >10% | −5.009 | <0.001 | |||
© 2019 by the authors. Licensee MDPI, Basel, Switzerland. This article is an open access article distributed under the terms and conditions of the Creative Commons Attribution (CC BY) license (http://creativecommons.org/licenses/by/4.0/).
Share and Cite
Marin-Alejandre, B.A.; Abete, I.; Cantero, I.; Monreal, J.I.; Elorz, M.; Herrero, J.I.; Benito-Boillos, A.; Quiroga, J.; Martinez-Echeverria, A.; Uriz-Otano, J.I.; et al. The Metabolic and Hepatic Impact of Two Personalized Dietary Strategies in Subjects with Obesity and Nonalcoholic Fatty Liver Disease: The Fatty Liver in Obesity (FLiO) Randomized Controlled Trial. Nutrients 2019, 11, 2543. https://doi.org/10.3390/nu11102543
Marin-Alejandre BA, Abete I, Cantero I, Monreal JI, Elorz M, Herrero JI, Benito-Boillos A, Quiroga J, Martinez-Echeverria A, Uriz-Otano JI, et al. The Metabolic and Hepatic Impact of Two Personalized Dietary Strategies in Subjects with Obesity and Nonalcoholic Fatty Liver Disease: The Fatty Liver in Obesity (FLiO) Randomized Controlled Trial. Nutrients. 2019; 11(10):2543. https://doi.org/10.3390/nu11102543
Chicago/Turabian StyleMarin-Alejandre, Bertha Araceli, Itziar Abete, Irene Cantero, J. Ignacio Monreal, Mariana Elorz, José Ignacio Herrero, Alberto Benito-Boillos, Jorge Quiroga, Ana Martinez-Echeverria, Juan Isidro Uriz-Otano, and et al. 2019. "The Metabolic and Hepatic Impact of Two Personalized Dietary Strategies in Subjects with Obesity and Nonalcoholic Fatty Liver Disease: The Fatty Liver in Obesity (FLiO) Randomized Controlled Trial" Nutrients 11, no. 10: 2543. https://doi.org/10.3390/nu11102543
APA StyleMarin-Alejandre, B. A., Abete, I., Cantero, I., Monreal, J. I., Elorz, M., Herrero, J. I., Benito-Boillos, A., Quiroga, J., Martinez-Echeverria, A., Uriz-Otano, J. I., Huarte-Muniesa, M. P., Tur, J. A., Martinez, J. A., & Zulet, M. A. (2019). The Metabolic and Hepatic Impact of Two Personalized Dietary Strategies in Subjects with Obesity and Nonalcoholic Fatty Liver Disease: The Fatty Liver in Obesity (FLiO) Randomized Controlled Trial. Nutrients, 11(10), 2543. https://doi.org/10.3390/nu11102543

