Water Conservation Estimation Based on Time Series NDVI in the Yellow River Basin
Abstract
1. Introduction
2. Materials and Methods
2.1. Study Area
2.2. Data Acquisition
2.2.1. Evapotranspiration Data
2.2.2. Precipitation Data
2.2.3. Normalized Difference Vegetation Index (NDVI) Time Series Data
2.2.4. Other Auxiliary Data
2.3. Data Processing
2.4. Water Conservation Calculated by A Water Balance Equation
| Ecosystem Type | Surface Runoff Coefficient |
|---|---|
| 1. Farmland | 0.43500 |
| 2. Forest | 0.05912 |
| 3. Grassland | 0.06842 |
| 4. Water/wetland | 0.00000 |
| 5. Desert | 0.48661 |
| 6. Settlement | 0.64200 |
| 7. Other ecosystems | 0.60000 |
2.5. Relationship between NDVI and Water Conservation
2.6. Geodetector Software
2.7. Model Establishment
2.7.1. Partial Least Squares Regression (PLSR) Model
2.7.2. SVM (Support Vector Machine) Model
2.8. Accuracy Validation
3. Results
3.1. Relationship between Water Conservation and NDVI Time Series
3.2. Geodetector Analysis
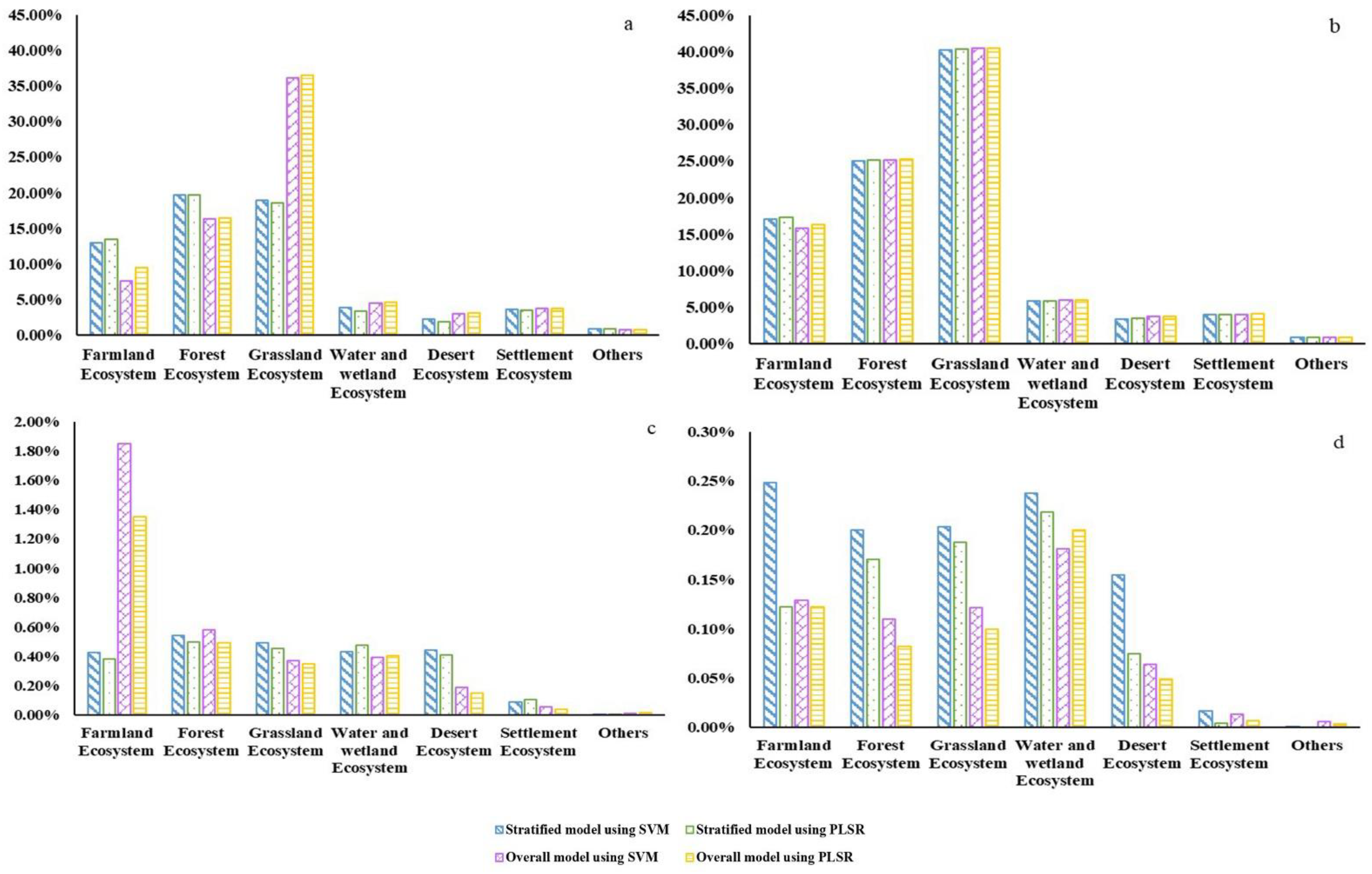
3.3. Prediction of Water Conservation by Different Predictive Models
3.3.1. Overall Model Prediction Results
3.3.2. Stratified Model Prediction Results
3.4. Digital Mapping of Water Conservation
4. Discussion
4.1. Comparison of the Estimated Results of Different Models
4.2. Residual Interpretation of Estimated Results under Different Ecosystem Types
4.3. The Basic Theory of Water Conservation Estimation Using the NDVI
4.4. Inadequacies and Limitations
5. Conclusions
Author Contributions
Funding
Data Availability Statement
Acknowledgments
Conflicts of Interest
Appendix A
| Sample Number for Each Ecosystem | Overall Model Accuracy | Stratified Model Accuracy | ||||||
|---|---|---|---|---|---|---|---|---|
| RMSE | R2 | RMSE | R2 | |||||
| PLSR | SVM | PLSR | SVM | PLSR | SVM | PLSR | SVM | |
| 200 | 7877 | 6576 | 0.237 | 0.462 | 6833 a | 6261 a | 0.188 a | 0.328 a |
| 5203 b | 4406 b | 0.485 b | 0.627 b | |||||
| 4804 c | 3809 c | 0.511 c | 0.685 c | |||||
| 8245 d | 6036 d | 0.438 d | 0.690 d | |||||
| 7778 e | 7490 e | 0.446 e | 0.485 e | |||||
| 3471 f | 17608 f | 0.053 f | 0.007 f | |||||
| 3498 g | 3311 g | 0.070 g | 0.160 g | |||||
| 300 | 7662 | 6575 | 0.278 | 0.462 | 6460 a | 6125 a | 0.193 a | 0.261 a |
| 5362 b | 4697 b | 0.551 b | 0.655 b | |||||
| 4968 c | 4258 c | 0.520 c | 0.644 c | |||||
| 8456 d | 6240 d | 0.439 d | 0.687 d | |||||
| 7846 e | 7087 e | 0.443 e | 0.544 e | |||||
| 3412 f | 3191 f | 0.065 f | 0.164 f | |||||
| 2995 g | 2825 g | 0.075 g | 0.154 g | |||||
| 500 | 7414 | 6308 | 0.346 | 0.528 | 5738 a | 5514 a | 0.277 a | 0.336 a |
| 5261 b | 4152 b | 0.516 b | 0.698 b | |||||
| 4884 c | 3928 c | 0.536 c | 0.698 c | |||||
| 7923 d | 5441 d | 0.517 d | 0.768 d | |||||
| 7829 e | 7297 e | 0.401 e | 0.474 e | |||||
| 3254 f | 3195 f | 0.196 f | 0.234 f | |||||
| 2899 g | 2731 g | 0.089 g | 0.184 g | |||||
| 1000 | 7456 | 6089 | 0.367 | 0.576 | 5755 a | 5483 a | 0.230 a | 0.298 a |
| 5112 b | -- b | 0.548 b | -- b | |||||
| 4961 c | 3882 c | 0.546 c | 0.725 c | |||||
| 7849 d | -- d | 0.543 d | -- d | |||||
| 7336 e | 6666 e | 0.488 e | 0.578 e | |||||
| 3230 f | 3094 f | 0.143 f | 0.220 f | |||||
| 2722 g | 2568 g | 0.109 g | 0.197 g | |||||
References
- Xi, J. Speech at the Symposium on Ecological Protection and High-Quality Development in the Yellow River Basin. QiuShi. 2019, 20, 1–2. [Google Scholar]
- General Office of Ministry of Environmental Protection in China. Guidelines for Setting Red Lines for Ecological Protection; General Office of Ministry of Environmental Protection in China: Beijing, China, 2017.
- General Office of the CPC Central Committee & the State Council. A Guideline on an Ecological “Red Line”; General Office of Ministry of Environmental Protection in China: Beijing, China, 2017.
- He, P.; Gao, J.; Zhang, W.; Rao, S.; Zou, C.; Du, J.; Liu, W. China integrating conservation areas into red lines for stricter and unified management. Land Use Policy 2018, 71, 245–248. [Google Scholar] [CrossRef]
- Yin, Y.; Wu, S.; Zhang, D.; Dai, E. Ecosystem Water Conservation Changes in Response to Climate Change in the Source Region of the Yellow River from 1981 to 2010. Geogr. Res. 2016, 35, 49–57. [Google Scholar]
- Shihan, G.; Yang, X.; Hua, Z.; Yi, X.; Zhiyun, O. Spatial patterns of ecosystem water conservation in China and its impact factors analysis. Acta Ecol. Sin. 2017, 37, 2455–2462. [Google Scholar] [CrossRef]
- Yu, N.; Li, C.; Xu, J.; Lu, S.; Fu, Y.; Wang, W.; Wang, Y. Water Conservation Function of Polar Plantations on Lowland in Yellow River (in Chinese). J. Soil Water Conserv. 2009, 23, 61–65. [Google Scholar]
- Zhang, B.; Li, W.; Xie, G.; Xiang, Y. Water Conservation Function and Its Measurement Methods of Forest Ecosystem. Chin. J. Ecol. 2009, 28, 529–534. [Google Scholar]
- Lü, L.; Ren, T.; Sun, G.; Defeng, Z. Spatial and Temporal Changes of Water Supply and Water Conservation Function in Sanjiangyuan National Park from 1980 to 2016. Acta Ecol. Sin. 2020, 40, 993–1003. [Google Scholar]
- Bai, S.; Jing, L.; Li, H.; Feng, W. The Demarcation of Ecological Protection Red Line Based on Water Conversation Function. Ecol. Environ. Sci. 2017, 26, 1665–1670. [Google Scholar] [CrossRef]
- Fu, B.; Burgher, I. Riparian vegetation NDVI dynamics and its relationship with climate, surface water and groundwater. J. Arid. Environ. 2015, 113, 59–68. [Google Scholar] [CrossRef]
- Bao, G.; Qin, Z.; Bao, Y.; Zhou, Y.; Li, W.; Sanjjav, A. NDVI-Based Long-Term Vegetation Dynamics and Its Response to Climatic Change in the Mongolian Plateau. Remote Sens. 2014, 6, 8337–8358. [Google Scholar] [CrossRef]
- Du, J.; Shu, J.; Yin, J.; Yuan, X.; Jiaerheng, A.; Xiong, S.; He, P.; Liu, W. Analysis on spatio-temporal trends and drivers in vegetation growth during recent decades in Xinjiang, China. Int. J. Appl. Earth Obs. Geoinf. 2015, 38, 216–228. [Google Scholar] [CrossRef]
- Fensholt, R.; Proud, S.R. Evaluation of Earth Observation based global long term vegetation trends—Comparing GIMMS and MODIS global NDVI time series. Remote Sens. Environ. 2012, 119, 131–147. [Google Scholar] [CrossRef]
- Petus, C.; Lewis, M.; White, D. Monitoring temporal dynamics of Great Artesian Basin wetland vegetation, Australia, using MODIS NDVI. Ecol. Indic. 2013, 34, 41–52. [Google Scholar] [CrossRef]
- Aguilar, C.; Zinnert, J.C.; Polo, M.J.; Young, D.R. NDVI as an indicator for changes in water availability to woody vegetation. Ecol. Indic. 2012, 23, 290–300. [Google Scholar] [CrossRef]
- Joiner, J.; Yoshida, Y.; Anderson, M.; Holmes, T.; Hain, C.; Reichle, R.; Koster, R.; Middleton, E.; Zeng, F.-W. Global relationships among traditional reflectance vegetation indices (NDVI and NDII), evapotranspiration (ET), and soil moisture variability on weekly timescales. Remote Sens. Environ. 2018, 219, 339–352. [Google Scholar] [CrossRef]
- Lamchin, M.; Lee, W.-K.; Jeon, S.W.; Wang, S.W.; Lim, C.H.; Song, C.; Sung, M. Long-term trend and correlation between vegetation greenness and climate variables in Asia based on satellite data. Sci. Total Environ. 2018, 618, 1089–1095. [Google Scholar] [CrossRef] [PubMed]
- Tong, X.; Wang, K.; Yue, Y.; Brandt, M.; Liu, B.; Zhang, C.; Liao, C.; Fensholt, R. Quantifying the effectiveness of ecological restoration projects on long-term vegetation dynamics in the karst regions of Southwest China. Int. J. Appl. Earth Obs. Geoinf. 2017, 54, 105–113. [Google Scholar] [CrossRef]
- Chen, T.; De Jeu, R.; Liu, Y.; Van Der Werf, G.; Dolman, A. Using satellite based soil moisture to quantify the water driven variability in NDVI: A case study over mainland Australia. Remote Sens. Environ. 2014, 140, 330–338. [Google Scholar] [CrossRef]
- Wang, J.F.; Li, X.H.; Christakos, G.; Liao, Y.L.; Zhang, T.; Gu, X.; Zheng, X.Y. Geographical detectors-based health risk assessment and its application in the neural tube defects study of the Heshun region, China. Int. J. Geogr. Inf. Sci. 2010, 24, 107–127. [Google Scholar] [CrossRef]
- Wang, J.-F.; Zhang, T.-L.; Fu, B.-J. A measure of spatial stratified heterogeneity. Ecol. Indic. 2016, 67, 250–256. [Google Scholar] [CrossRef]
- Zhu, L.; Meng, J.; Zhu, L. Applying Geodetector to disentangle the contributions of natural and anthropogenic factors to NDVI variations in the middle reaches of the Heihe River Basin. Ecol. Indic. 2020, 117, 106545. [Google Scholar] [CrossRef]
- Zhao, R.; Zhan, L.; Yao, M.; Yang, L. A geographically weighted regression model augmented by Geodetector analysis and principal component analysis for the spatial distribution of PM2.5. Sustain. Cities Soc. 2020, 56, 102106. [Google Scholar] [CrossRef]
- Peng, W.; Kuang, T.; Tao, S. Quantifying influences of natural factors on vegetation NDVI changes based on geographical detector in Sichuan, western China. J. Clean. Prod. 2019, 233, 353–367. [Google Scholar] [CrossRef]
- Ma, Q.; Long, Y.; Jia, X.; Wang, H.; Li, Y. Vegetation response to climatic variation and human activities on the Ordos Plateau from 2000 to 2016. Environ. Earth Sci. 2019, 78, 709. [Google Scholar] [CrossRef]
- Steve, R. Modis Global Evapotranspiration Project (Mod16). Available online: https://lpdaac.usgs.gov/products/mod16a2v006/ (accessed on 18 February 2021).
- Steven, W.R.; Qiaozhen, M.; Maosheng, Z.; Moreno, A. User’s Guide Modis Global Terrestrial Evapotranspiration (Et) Product; University of Montana: Missoula, MT, USA, 2019. [Google Scholar]
- George, J.H.; Bolvin, D.T.; Braithwaite, D.; Hsu, K.; Joyce, R.; Kidd, C.; Nelkin, E.J.; Sorooshian, S.; Tan, J.; Xie, P. Algorithm Theoretical Basis Document (Atbd) Version 06 Nasa Global Precipitation Measurement (Gpm) Integrated Multi-Satellite Retrievals for Gpm (Imerg); National Aeronautics and Space Administration: Washington, DC, USA, 2019.
- Huffman, G.J.; Stocker, E.F.; Bolvin, D.T.; Nelkin, E.J.; Jackson, T. GPM IMERG Final Precipitation L3 1 Month 0.1 Degree X 0.1 Degree V06. Available online: https://disc.gsfc.nasa.gov/datasets/GPM_3IMERGM_06/summary?keywords=Hydrology (accessed on 18 February 2021).
- Kamel, D.; Munoz, A.B.; Ramon, S.; Huete, A. Modis Vegetation Index User’s Guide; Vegetation Index and Phenology Lab of The University of Arizona, The University of Arizona: Tucson, AZ, USA, 2015. [Google Scholar]
- Didan, K. Modis/Terra Vegetation Indices 16-Day L3 Global 250 M Sin Grid. Available online: https://ladsweb.modaps.eosdis.nasa.gov/search/order/1/MOD13Q1--6 (accessed on 18 February 2021).
- Lü, Y.; Hu, J.; Sun, F.; Zhang, L.W. Water Retention and Hydrological Regulation: Harmony but Not the Same in Terrestrial Hydrological Ecosystem Services. Acta Ecol. Sin. 2015, 35, 5191–5196. [Google Scholar] [CrossRef]
- Qian, J.; Shu, W. Mountain Sponge City Contruction Monitoring Based on Surface Runoff Coefficient. Beijing Surv. Mapp. 2019, 33, 647–651. [Google Scholar]
- Huang, S.; Chen, C. Surface Runoff Analysis on Farmland Predipitation in Huangpu River Basin. Shanghai Environ. Sci. 1998, 17, 21–23+44. [Google Scholar]
- Wang, J.-F.; Xu, C. Geodetector: Software for Measure and Attribution of Stratified Heterogeneity (Sh). Available online: http://www.geodetector.cn/ (accessed on 18 February 2021).
- Wold, S.; Martens, H.; Wold, H. The multivariate calibration problem in chemistry solved by the PLS method. In Springer Texts in Business and Economics, 1st ed.; Kågström, B., Ruhe, A., Eds.; Springer Science and Business Media LLC: Berlin/Heidelberg, Germany, 1983; Volume 973, pp. 286–293. [Google Scholar]
- Axelsson, C.; Skidmore, A.K.; Schlerf, M.; Fauzi, A.; Verhoef, W. Hyperspectral analysis of mangrove foliar chemistry using PLSR and support vector regression. Int. J. Remote Sens. 2012, 34, 1724–1743. [Google Scholar] [CrossRef]
- Wold, S.; Ruhe, A.; Wold, H.; Dunn, I.W.J. The Collinearity Problem in Linear Regression. The Partial Least Squares (PLS) Approach to Generalized Inverses. SIAM J. Sci. Stat. Comput. 1984, 5, 735–743. [Google Scholar] [CrossRef]
- Wold, S.; Sjöström, M.; Eriksson, L. PLS-regression: A basic tool of chemometrics. Chemom. Intell. Lab. Syst. 2001, 58, 109–130. [Google Scholar] [CrossRef]
- Vapnik, V.N. The Nature of Statistical Learning Theory; Springer: New York, NY, USA, 1995. [Google Scholar]
- Holtgrave, A.-K.; Förster, M.; Greifeneder, F.; Notarnicola, C.; Kleinschmit, B. Estimation of Soil Moisture in Vegetation-Covered Floodplains with Sentinel-1 SAR Data Using Support Vector Regression. PFG J. Photogramm. Remote Sens. Geoinf. Sci. 2018, 86, 85–101. [Google Scholar] [CrossRef]
- Taghizadeh-Mehrjardi, R.; Nabiollahi, K.; Kerry, R. Digital mapping of soil organic carbon at multiple depths using different data mining techniques in Baneh region, Iran. Geoderma 2016, 266, 98–110. [Google Scholar] [CrossRef]
- Were, K.; Bui, D.T.; Dick, Ø.B.; Singh, B.R. A comparative assessment of support vector regression, artificial neural networks, and random forests for predicting and mapping soil organic carbon stocks across an Afromontane landscape. Ecol. Indic. 2015, 52, 394–403. [Google Scholar] [CrossRef]
- Shrestha, N.; Shukla, S.K. Support vector machine based modeling of evapotranspiration using hydro-climatic variables in a sub-tropical environment. Agric. For. Meteorol. 2015, 200, 172–184. [Google Scholar] [CrossRef]
- Ghorbani, M.A.; Shamshirband, S.; Haghi, D.Z.; Azani, A.; Bonakdari, H.; Ebtehaj, I. Application of firefly algorithm-based support vector machines for prediction of field capacity and permanent wilting point. Soil Tillage Res. 2017, 172, 32–38. [Google Scholar] [CrossRef]
- Fan, J.; Wu, L.; Zhang, F.; Cai, H.; Wang, X.; Lu, X.; Xiang, Y. Evaluating the effect of air pollution on global and diffuse solar radiation prediction using support vector machine modeling based on sunshine duration and air temperature. Renew. Sustain. Energy Rev. 2018, 94, 732–747. [Google Scholar] [CrossRef]
- Li, S.; Liang, W.; Fu, B.; Lü, Y.; Fu, S.; Wang, S.; Su, H. Vegetation changes in recent large-scale ecological restoration projects and subsequent impact on water resources in China’s Loess Plateau. Sci. Total. Environ. 2016, 569–570, 1032–1039. [Google Scholar] [CrossRef]
- Zhou, J.; Gao, J.; Gao, Z.; Yang, W. Analyzing the Water Conservation Service Function of the Forest Ecosystem. Acta Ecol. Sin. 2018, 38, 1679–1686. [Google Scholar]
- Wang, Y.; Zhang, C.; Liu, C.; Zen, L. Research on the Pattern and Change of Forest Water Conservation in Three-North Shelterbelt Forest Program Region, China. Acta Ecol. Sin. 2019, 39, 5847–5856. [Google Scholar] [CrossRef]
- Dong-Qing, L.; Er-Jia, C.; Jin-Xi, Z.; Jie, G.; Ling-Ling, Y. Spatiotemporal pattern of water conservation and its influencing factors in Bailongjiang Watershed of Gansu. J. Nat. Resour. 2020, 35, 1728–1743. [Google Scholar] [CrossRef]
- Ding, C.; Zhang, H.; Li, X.; Li, W.; Gao, Y. Quantitative Assessment of Water Conservation Function of the Natural Spruce Forest in the Central Tianshan Mountains: A Case Study of the Urumqi River Basin. Acta Ecol. Sin. 2019, 37, 3733–3743. [Google Scholar] [CrossRef][Green Version]
- Hu, J.; Lyu, Y.; Zhang, K.; Tao, Y.Z.; Li, T.; Ren, Y. The Differences of Water Conservation Function under Typical Vegetation Types in the Pailugou Catchment, Qilian Mountain, Northwest China. Acta Ecol. Sin. 2016, 36, 3338–3349. [Google Scholar] [CrossRef]
- Hong, Y.; Yu, S.; Yang, X.; Luo, Y. Study on Spatial-Temporal Changes and Driving Factors of Water Conservation in Hengduan Mountain Region. Geomat. Spat. Inf. Technol. 2019, 42, 72–76. [Google Scholar]












| q-Statistic | p-Value | |
|---|---|---|
| Water Conservation | 0.323 | 2.76610−10 |
| Mean NDVI | 0.359 | 9.60910−10 |
| Calculation Accuracy | Prediction Accuracy | |||
|---|---|---|---|---|
| RMSE | R2 | RMSE | R2 | |
| Partial Least Squares Regression (PLSR) | 7050.849 | 0.404 | 7414.127 | 0.346 |
| Support Vector Machine (SVM) | 3467.174 | 0.861 | 6307.821 | 0.528 |
| Models | Ecosystem Type | Calculation Accuracy | Prediction Accuracy | ||
|---|---|---|---|---|---|
| RMSE | R2 | RMSE | R2 | ||
| Partial Least Squares Regression | Farmland | 5710.856 | 0.328 | 5738.047 | 0.277 |
| Forest | 4871.520 | 0.603 | 5261.117 | 0.516 | |
| Grassland | 4421.526 | 0.619 | 4884.118 | 0.536 | |
| Water and wetland | 7326.352 | 0.584 | 7923.084 | 0.517 | |
| Desert | 7180.651 | 0.505 | 7829.068 | 0.401 | |
| Settlement | 3193.413 | 0.212 | 3254.988 | 0.196 | |
| Other ecosystems | 3182.629 | 0.139 | 2899.154 | 0.089 | |
| Farmland | 4483.653 | 0.621 | 5513.873 | 0.336 | |
| Support Vector Machine | Forest | 2015.933 | 0.936 | 4152.342 | 0.698 |
| Grassland | 1788.772 | 0.940 | 3927.641 | 0.698 | |
| Water and wetland | 2997.757 | 0.933 | 5441.331 | 0.768 | |
| Desert | 5043.811 | 0.763 | 7297.124 | 0.474 | |
| Settlement | 2009.757 | 0.727 | 3195.492 | 0.234 | |
| Other ecosystems | 1519.232 | 0.861 | 2730.723 | 0.184 | |
Publisher’s Note: MDPI stays neutral with regard to jurisdictional claims in published maps and institutional affiliations. |
© 2021 by the authors. Licensee MDPI, Basel, Switzerland. This article is an open access article distributed under the terms and conditions of the Creative Commons Attribution (CC BY) license (http://creativecommons.org/licenses/by/4.0/).
Share and Cite
Zhang, Y.; Du, J.; Guo, L.; Sheng, Z.; Wu, J.; Zhang, J. Water Conservation Estimation Based on Time Series NDVI in the Yellow River Basin. Remote Sens. 2021, 13, 1105. https://doi.org/10.3390/rs13061105
Zhang Y, Du J, Guo L, Sheng Z, Wu J, Zhang J. Water Conservation Estimation Based on Time Series NDVI in the Yellow River Basin. Remote Sensing. 2021; 13(6):1105. https://doi.org/10.3390/rs13061105
Chicago/Turabian StyleZhang, Yangchengsi, Jiaqiang Du, Long Guo, Zhilu Sheng, Jinhua Wu, and Jing Zhang. 2021. "Water Conservation Estimation Based on Time Series NDVI in the Yellow River Basin" Remote Sensing 13, no. 6: 1105. https://doi.org/10.3390/rs13061105
APA StyleZhang, Y., Du, J., Guo, L., Sheng, Z., Wu, J., & Zhang, J. (2021). Water Conservation Estimation Based on Time Series NDVI in the Yellow River Basin. Remote Sensing, 13(6), 1105. https://doi.org/10.3390/rs13061105
