Utilizing Phosphate Tailing-Based Compound Selenium Activator to Enhance Selenium Absorption and Fruit Quality in Citrus: Resource Utilization Strategy for Sustainable Agriculture
Abstract
1. Introduction
2. Materials and Methods
2.1. Test Materials
2.2. Experimental Design
2.3. Test Items and Analytical Methods
2.4. Data Processing
2.4.1. Data Analysis
2.4.2. Calculation Formula
- Standardization of Positive and Negative Indicators
3. Results
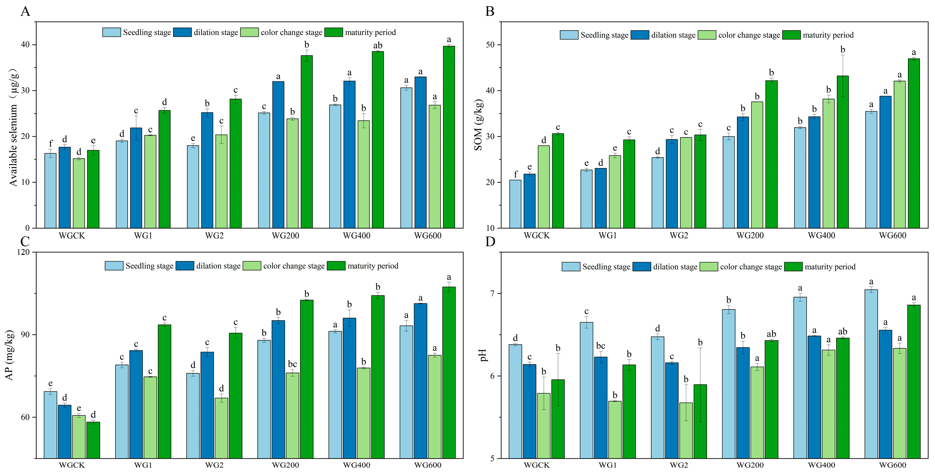
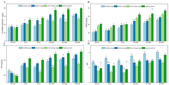
3.1. Effects of Compound Activator on Soil Available Selenium and Physicochemical Properties
3.2. Total Selenium Content in Citrus Organs
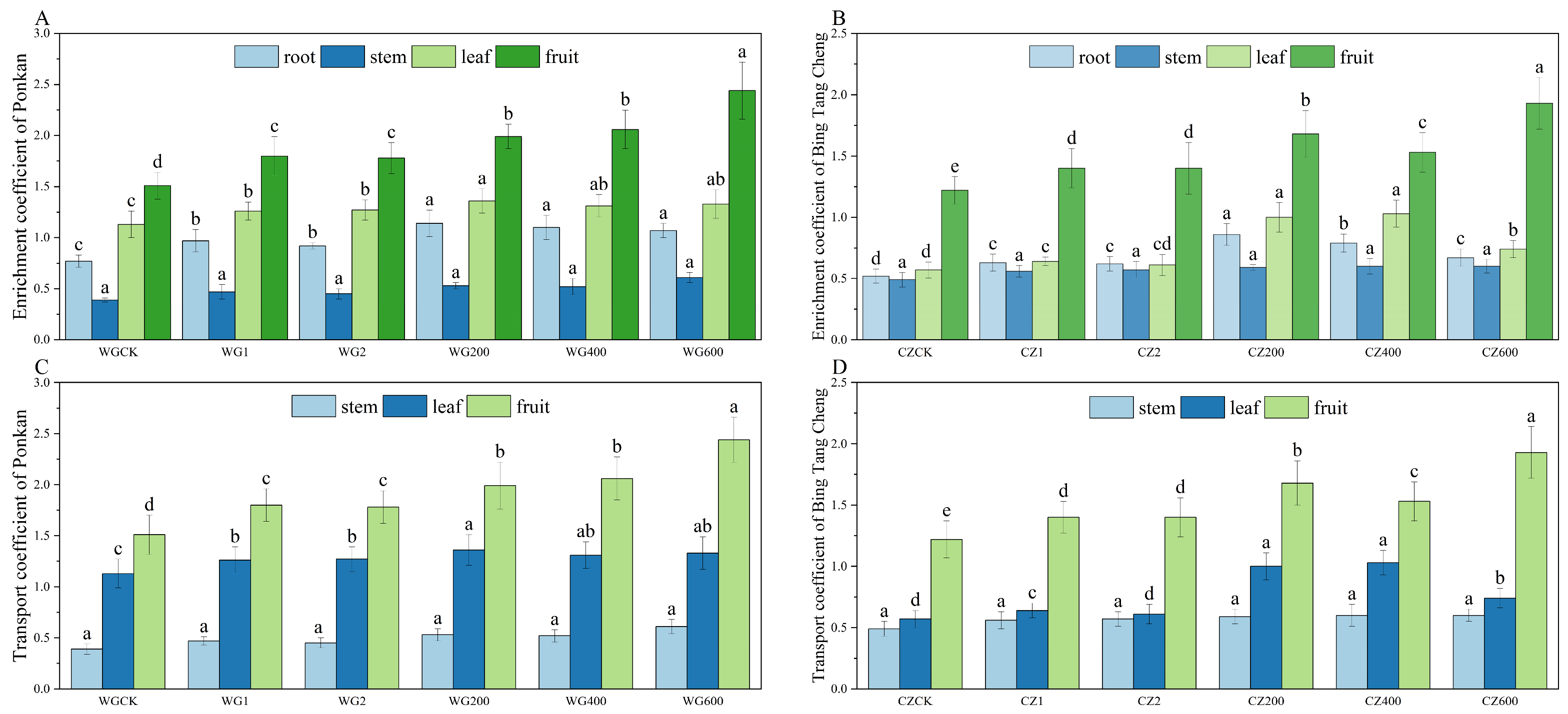
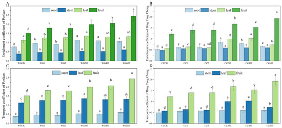
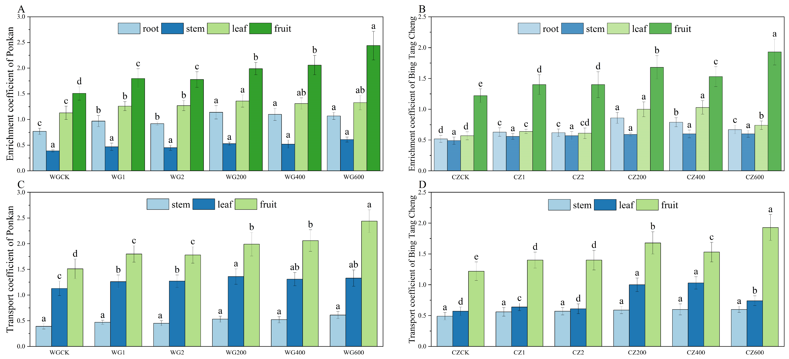
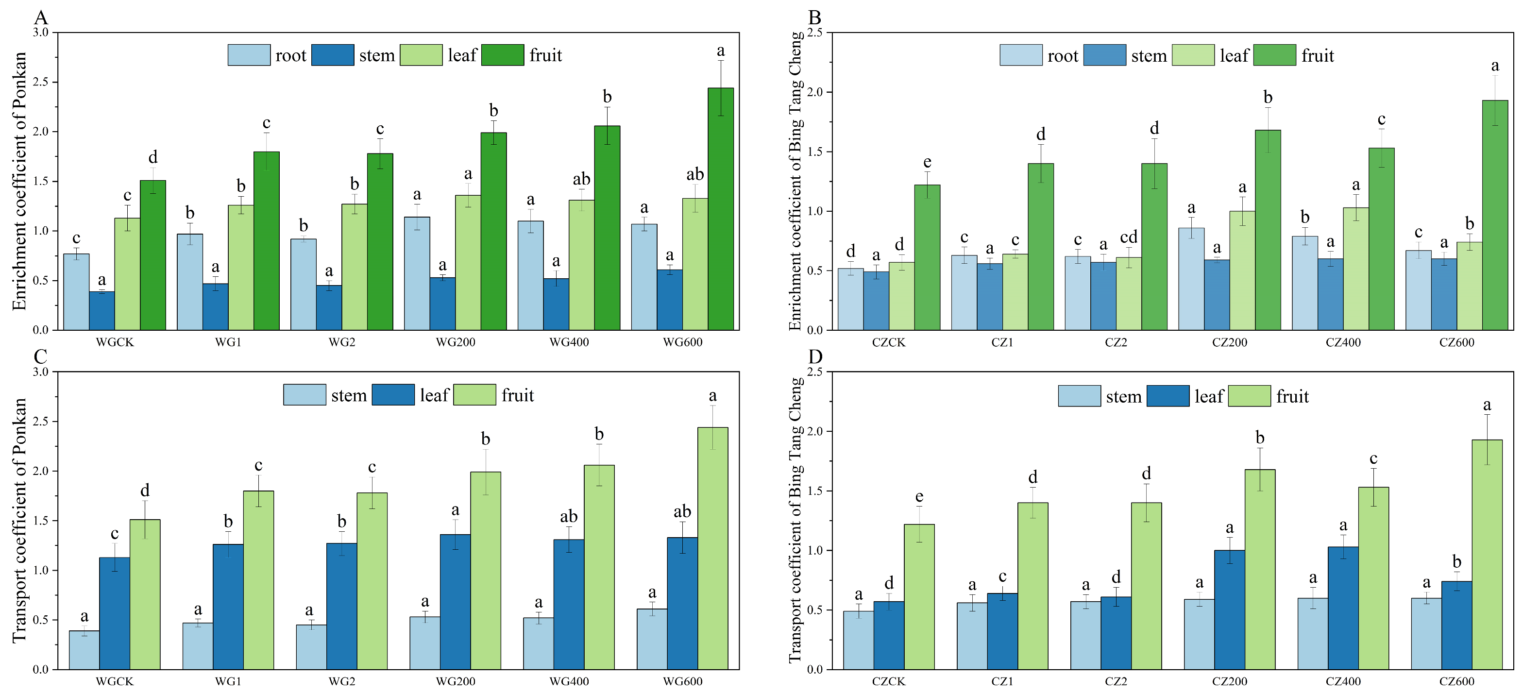
3.3. Citrus Enrichment and Transport Characteristics
3.4. Citrus Fruit Quality Analysis
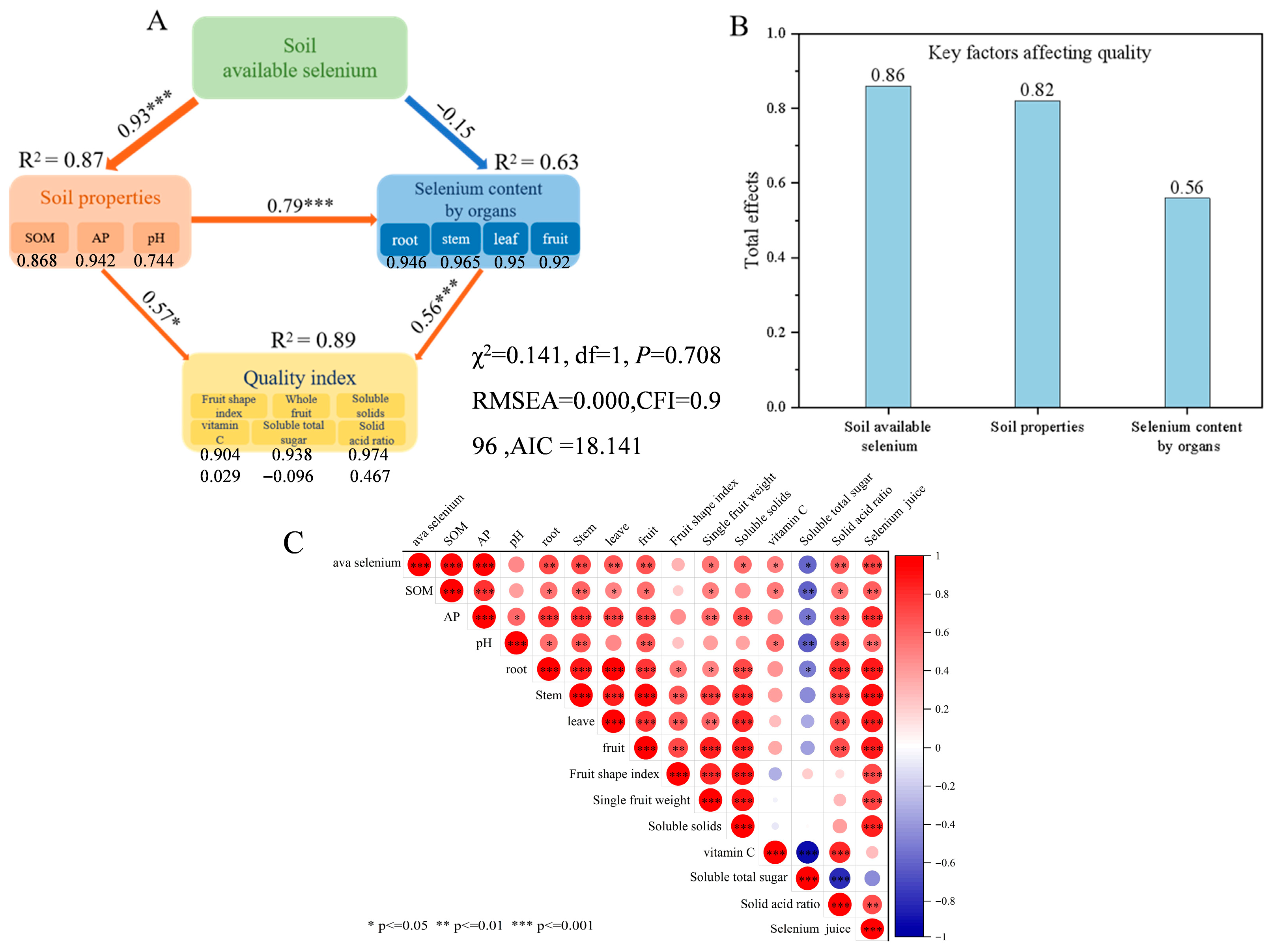
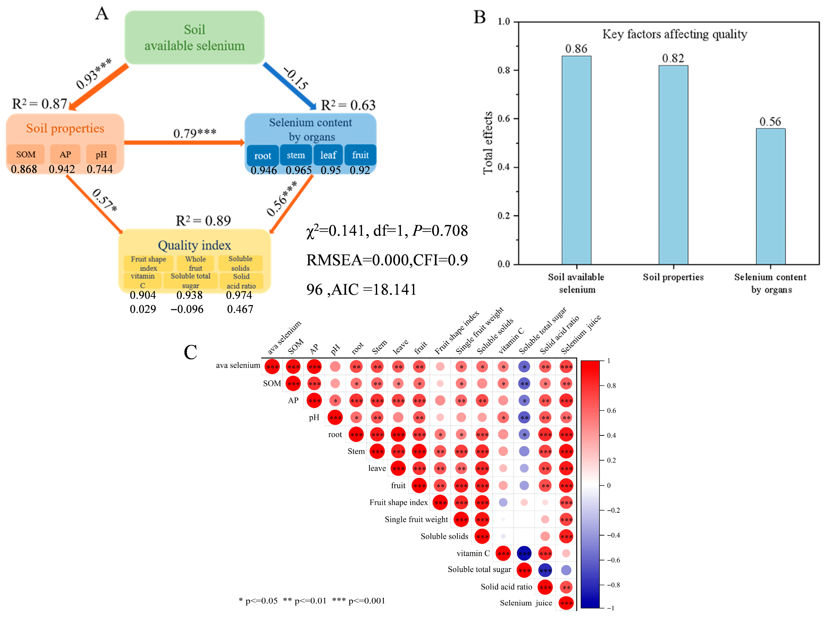
3.5. Correlation Between Available Selenium and Factors Influencing Citrus Quality
4. Discussion
5. Conclusions
Author Contributions
Funding
Institutional Review Board Statement
Informed Consent Statement
Data Availability Statement
Acknowledgments
Conflicts of Interest
References
- Dai, H.; Wei, S.; Twardowska, I. Biofortification of Soybean (Glycine max L.) with Se and Zn, and Enhancing Its Physiological Functions by Spiking These Elements to Soil during Flowering Phase. Sci. Total Environ. 2020, 740, 139648. [Google Scholar] [CrossRef]
- Hurst, R.; Siyame, E.W.P.; Young, S.D.; Chilimba, A.D.C.; Joy, E.J.M.; Black, C.R.; Ander, E.L.; Watts, M.J.; Chilima, B.; Gondwe, J.; et al. Soil-Type Influences Human Selenium Status and Underlies Widespread Selenium Deficiency Risks in Malawi. Sci. Rep. 2013, 3, 1425. [Google Scholar] [CrossRef]
- Oldfield, J.E. Risks and Benefits in Agricultural Uses of Selenium. Environ. Geochem. Health 1992, 14, 81–86. [Google Scholar] [CrossRef]
- Dinh, Q.T.; Cui, Z.; Huang, J.; Tran, T.A.T.; Wang, D.; Yang, W.; Zhou, F.; Wang, M.; Yu, D.; Liang, D. Selenium Distribution in the Chinese Environment and Its Relationship with Human Health: A Review. Environ. Int. 2018, 112, 294–309. [Google Scholar] [CrossRef] [PubMed]
- Mora, M.L.; Durán, P.; Acuña, J.; Cartes, P.; Demanet, R.; Gianfreda, L. Improving Selenium Status in Plant Nutrition and Quality. J. Soil Sci. Plant Nutr. 2015, 15, 486–503. [Google Scholar] [CrossRef]
- Ros, G.H.; van Rotterdam, A.M.D.; Bussink, D.W.; Bindraban, P.S. Selenium Fertilization Strategies for Bio-Fortification of Food: An Agro-Ecosystem Approach. Plant Soil 2016, 404, 99–112. [Google Scholar] [CrossRef]
- Kaur, T.; Tejoprakash, N.; Reddy, M.S. Arbuscular Mycorrhizal Fungi Ameliorate Selenium Stress and Increase Antioxidant Potential of Zea mays in Seleniferous Soil. Biol. Trace Elem. Res. 2025, 203, 3392–3411. [Google Scholar] [CrossRef]
- Li, J.; Yang, W.; Guo, A.; Qi, Z.; Chen, J.; Huang, T.; Yang, Z.; Gao, Z.; Sun, M.; Wang, J. Combined Foliar and Soil Selenium Fertilizer Increased the Grain Yield, Quality, Total Se, and Organic Se Content in Naked Oats. J. Cereal Sci. 2021, 100, 103265. [Google Scholar] [CrossRef]
- Li, Z.; Liang, D.; Peng, Q.; Cui, Z.; Huang, J.; Lin, Z. Interaction between Selenium and Soil Organic Matter and Its Impact on Soil Selenium Bioavailability: A Review. Geoderma 2017, 295, 69–79. [Google Scholar] [CrossRef]
- Srimahesvari, D.S.; Harish, S.; Karthikeyan, G.; Kannan, M.; Kumar, K.K. Advancements in dsRNA-Based Approaches: A Comprehensive Review on Potent Strategies for Plant Disease Management. J. Plant Biochem. Biotechnol. 2025, 34, 16–34. [Google Scholar] [CrossRef]
- Deng, X.; Liu, K.; Li, M.; Zhang, W.; Zhao, X.; Zhao, Z.; Liu, X. Difference of Selenium Uptake and Distribution in the Plant and Selenium Form in the Grains of Rice with Foliar Spray of Selenite or Selenate at Different Stages. Field Crops Res. 2017, 211, 165–171. [Google Scholar] [CrossRef]
- Winkel, L.H.E.; Vriens, B.; Jones, G.D.; Schneider, L.S.; Pilon-Smits, E.; Bañuelos, G.S. Selenium Cycling across Soil-Plant-Atmosphere Interfaces: A Critical Review. Nutrients 2015, 7, 4199–4239. [Google Scholar] [CrossRef]
- Gabos, M.B.; Goldberg, S.; Alleoni, L.R.F. Modeling Selenium (IV and VI) Adsorption Envelopes in Selected Tropical Soils Using the Constant Capacitance Model. Environ. Toxicol. Chem. 2014, 33, 2197–2207. [Google Scholar] [CrossRef]
- Gustafsson, J.P.; Johnsson, L. The Association between Selenium and Humic Substances in Forested Ecosystems—Laboratory Evidence. Appl. Organomet. Chem. 1994, 8, 141–147. [Google Scholar] [CrossRef]
- Kulasekara, H.M.I.P.; Rajapakshe, D.; Zhang, Y.; Papelis, C. Microbial Co-Reduction of Selenate and Selenite in Zeolite-Packed Columns in the Presence of Sulfate and Nitrate: Effects on Removal Efficiency and Transformation of Microbial Community Structure. J. Environ. Manag. 2025, 394, 127383. [Google Scholar] [CrossRef]
- Stolz, J.F.; Basu, P.; Santini, J.M.; Oremland, R.S. Arsenic and Selenium in Microbial Metabolism*. Annu. Rev. Microbiol. 2006, 60, 107–130. [Google Scholar] [CrossRef]
- Brown, T.A.; Shrift, A. Selenium: Toxicity and Tolerance in Higher Plants. Biol. Rev. 1982, 57, 59–84. [Google Scholar] [CrossRef]
- Trippe, R.C.; Pilon-Smits, E.A.H. Selenium Transport and Metabolism in Plants: Phytoremediation and Biofortification Implications. J. Hazard. Mater. 2021, 404, 124178. [Google Scholar] [CrossRef] [PubMed]
- Di Tullo, P.; Pannier, F.; Thiry, Y.; Le Hécho, I.; Bueno, M. Field Study of Time-Dependent Selenium Partitioning in Soils Using Isotopically Enriched Stable Selenite Tracer. Sci. Total Environ. 2016, 562, 280–288. [Google Scholar] [CrossRef] [PubMed]
- White, P.J. Selenium Accumulation by Plants. Ann. Bot. 2016, 117, 217–235. [Google Scholar] [CrossRef] [PubMed]
- Pyrzynska, K.; Sentkowska, A. Selenium in Plant Foods: Speciation Analysis, Bioavailability, and Factors Affecting Composition. Crit. Rev. Food Sci. Nutr. 2021, 61, 1340–1352. [Google Scholar] [CrossRef] [PubMed]
- Tangjaidee, P.; Swedlund, P.; Xiang, J.; Yin, H.; Quek, S.Y. Selenium-Enriched Plant Foods: Selenium Accumulation, Speciation, and Health Functionality. Front. Nutr. 2023, 9, 962312. [Google Scholar] [CrossRef]
- Liu, N.; Wang, M.; Zhou, F.; Zhai, H.; Qi, M.; Liu, Y.; Li, Y.; Zhang, N.; Ma, Y.; Huang, J.; et al. Selenium Bioavailability in Soil-Wheat System and Its Dominant Influential Factors: A Field Study in Shaanxi Province, China. Sci. Total Environ. 2021, 770, 144664. [Google Scholar] [CrossRef]
- Farooq, M.U.; Tang, Z.; Zeng, R.; Liang, Y.; Zhang, Y.; Zheng, T.; Ei, H.H.; Ye, X.; Jia, X.; Zhu, J. Accumulation, Mobilization, and Transformation of Selenium in Rice Grain Provided with Foliar Sodium Selenite. J. Sci. Food Agric. 2019, 99, 2892–2900. [Google Scholar] [CrossRef]
- Poggi, V.; Arcioni, A.; Filippini, P.; Pifferi, P.G. Foliar Application of Selenite and Selenate to Potato (Solanum tuberosum): Effect of a Ligand Agent on Selenium Content of Tubers. J. Agric. Food Chem. 2000, 48, 4749–4751. [Google Scholar] [CrossRef]
- Hua, L.; Wu, C.; Zhang, H.; Cao, L.; Wei, T.; Guo, J. Biochar-Induced Changes in Soil Microbial Affect Species of Antimony in Contaminated Soils. Chemosphere 2021, 263, 127795. [Google Scholar] [CrossRef]
- Batool, M.; Khan, W.-D.; Hamid, Y.; Farooq, M.A.; Naeem, M.A.; Nadeem, F. Interaction of Pristine and Mineral Engineered Biochar with Microbial Community in Attenuating the Heavy Metals Toxicity: A Review. Appl. Soil Ecol. 2022, 175, 104444. [Google Scholar] [CrossRef]
- Doménech-Pascual, A.; Rodriguez, L.C.; Han, X.; Casas-Ruiz, J.P.; Ferriol-Ciurana, J.; Donhauser, J.; Jordaan, K.; Allison, S.D.; Frossard, A.; Priemé, A.; et al. Soil Functions Are Shaped by Aridity through Soil Properties and the Microbial Community Structure. Appl. Soil Ecol. 2025, 213, 106313. [Google Scholar] [CrossRef]
- Guo, H.; Zheng, Y.-J.; Wu, D.-T.; Du, X.; Gao, H.; Ayyash, M.; Zeng, D.-G.; Li, H.-B.; Liu, H.-Y.; Gan, R.-Y. Quality Evaluation of Citrus Varieties Based on Phytochemical Profiles and Nutritional Properties. Front. Nutr. 2023, 10, 1165841. [Google Scholar] [CrossRef] [PubMed]
- Wang, Y.; Xie, X.; Chen, H.; Zhang, K.; Zhao, B.; Qiu, R. Selenium-Induced Enhancement in Growth and Rhizosphere Soil Methane Oxidation of Prickly Pear. Plants 2024, 13, 749. [Google Scholar] [CrossRef] [PubMed]
- Estarriaga-Navarro, S.; Goicoechea, N.; Plano, D.; Sanmartín, C. Selenium Biofortification: Integrating One Health and Sustainability. J. Sci. Food Agric. 2025. [Google Scholar] [CrossRef] [PubMed]
- GB 15618-2018; Soil Environmental Quality—Risk Control Standard for Soil Contamination of Agricultural Land (Trial). Ministry of Ecology and Environment of the People’s Republic of China: Beijing, China, 2018.
- T/HNNMIA 4—2023; Determination of Available Arsenic Content in Soil—AB-DTPA Extraction-Atomic Fluorescence Spectrophotometry. Henan Nonferrous Metals Industry Association: Zhengzhou, China, 2023.
- GB 5009.93-2017; National Food Safety Standard—Determination of Selenium in Foods. State Food and Drug Administration, National Health and Family Planning Commission: Beijing, China, 2017.
- Liu, Q.; Chen, Z.; Tang, J.; Luo, J.; Huang, F.; Wang, P.; Xiao, R. Cd and Pb Immobilisation with Iron Oxide/Lignin Composite and the Bacterial Community Response in Soil. Sci. Total Environ. 2022, 802, 149922. [Google Scholar] [CrossRef] [PubMed]
- Khan, A. Pheno-Physiological Revelation of Grapes Germplasm Grown in Faisalabad, Pakistan. Int. J. Agric. Biol. 2011, 13, 791–795. [Google Scholar]
- Hernández-Hernández, H.; Quiterio-Gutiérrez, T.; Cadenas-Pliego, G.; Ortega-Ortiz, H.; Hernández-Fuentes, A.D.; Cabrera de la Fuente, M.; Valdés-Reyna, J.; Juárez-Maldonado, A. Impact of Selenium and Copper Nanoparticles on Yield, Antioxidant System, and Fruit Quality of Tomato Plants. Plants 2019, 8, 355. [Google Scholar] [CrossRef]
- Bradford, M.M. A Rapid and Sensitive Method for the Quantitation of Microgram Quantities of Protein Utilizing the Principle of Protein-Dye Binding. Anal. Biochem. 1976, 72, 248–254. [Google Scholar] [CrossRef]
- Wang, D.; Dinh, Q.T.; Anh Thu, T.T.; Zhou, F.; Yang, W.; Wang, M.; Song, W.; Liang, D. Effect of Selenium-Enriched Organic Material Amendment on Selenium Fraction Transformation and Bioavailability in Soil. Chemosphere 2018, 199, 417–426. [Google Scholar] [CrossRef]
- Zhang, M.; Xing, G.; Tang, S.; Pang, Y.; Yi, Q.; Huang, Q.; Huang, X.; Huang, J.; Li, P.; Fu, H. Improving Soil Selenium Availability as a Strategy to Promote Selenium Uptake by High-Se Rice Cultivar. Environ. Exp. Bot. 2019, 163, 45–54. [Google Scholar] [CrossRef]
- Dinh, Q.T.; Li, Z.; Tran, T.A.T.; Wang, D.; Liang, D. Role of Organic Acids on the Bioavailability of Selenium in Soil: A Review. Chemosphere 2017, 184, 618–635. [Google Scholar] [CrossRef]
- Fan, J.; Zeng, Y.; Sun, J. The Transformation and Migration of Selenium in Soil under Different Eh Conditions. J. Soils Sediments 2018, 18, 2935–2947. [Google Scholar] [CrossRef]
- Yu, Y.; Du, C. Leaching of Phosphorus from Phosphate Tailings and Extraction of Calcium Phosphates: Toward Comprehensive Utilization of Tailing Resources. J. Environ. Manag. 2023, 347, 119159. [Google Scholar] [CrossRef] [PubMed]
- Yi, Q.; Wu, S.; Southam, G.; Robertson, L.; You, F.; Liu, Y.; Wang, S.; Saha, N.; Webb, R.; Wykes, J.; et al. Acidophilic Iron- and Sulfur-Oxidizing Bacteria, Acidithiobacillus Ferrooxidans, Drives Alkaline pH Neutralization and Mineral Weathering in Fe Ore Tailings. Environ. Sci. Technol. 2021, 55, 8020–8034. [Google Scholar] [CrossRef] [PubMed]
- Tian, M.; Yu, R.; Guo, S.; Yang, W.; Liu, S.; Du, H.; Liang, J.; Zhang, X. Effect of Vermicompost Application on the Soil Microbial Community Structure and Fruit Quality in Melon (Cucumis melo). Agronomy 2024, 14, 2536. [Google Scholar] [CrossRef]
- Sorgonà, A.; Cacco, G. Linking the Physiological Parameters of Nitrate Uptake with Root Morphology and Topology in Wheat (Triticum durum) and Citrus (Citrus volkameriana) Rootstock. Can. J. Bot. 2002, 80, 494–503. [Google Scholar] [CrossRef]
- Ngullie, E.; Singh, A.K.; Sema, A.; Srivastava, A.K. Citrus Growth and Rhizosphere Properties. Commun. Soil Sci. Plant Anal. 2015, 46, 1540–1550. [Google Scholar] [CrossRef]
- Li, Q.; Zhu, L.; Zeng, Y.; Huang, Y.; Ling, L.; Peng, L.; Chun, C. Differences in Fruit Quality between Jinqiu Shatangju Tangerine (Citrus reticulata Jinqiu Shatangju) Grafted on Two Types of Rootstocks and the Relationship with Absorption, Distribution, and Utilization of Nitrogen. Sci. Hortic. 2024, 328, 112926. [Google Scholar] [CrossRef]
- Gao, J.; Wang, L.; Luo, J.; Gao, H.; Qiu, W.; Li, Q.; Zhang, X.; Zhu, P.; Peng, C.; Jiao, Y.; et al. Long-Term Fertilizer Application Induces Changes in Carbon Storage and Distribution, and the Consequent Color of Black Soil. J. Soil Sci. Plant Nutr. 2024, 24, 905–913. [Google Scholar] [CrossRef]
- Li, L.; Wu, S.; Wang, S.; Shi, X.; Cheng, S.; Cheng, H. Molecular Mechanism of Exogenous Selenium Affecting the Nutritional Quality, Species and Content of Organic Selenium in Mustard. Agronomy 2023, 13, 1425. [Google Scholar] [CrossRef]
- Li, J.; Awasthi, M.K.; Xing, W.; Liu, R.; Bao, H.; Wang, X.; Wang, J.; Wu, F. Arbuscular Mycorrhizal Fungi Increase the Bioavailability and Wheat (Triticum aestivum L.) Uptake of Selenium in Soil. Ind. Crops Prod. 2020, 150, 112383. [Google Scholar] [CrossRef]
- Aziz, L.; Shani, M.Y.; Ashraf, M.Y.; Aziz, R.; Abbas, S.M.; Shahzad, B.A.; Hassannejad, S.; Mastinu, A.; Rahimi, M. Practical Implications of PGRs in Improving Fruit Juice Quality of Citrus reticulate. Russ. J. Plant Physiol. 2025, 72, 110. [Google Scholar] [CrossRef]
- Phan, A.D.T.; Chaliha, M.; Sultanbawa, Y.; Netzel, M.E. Nutritional Characteristics and Antimicrobial Activity of Australian Grown Feijoa (Acca sellowiana). Foods 2019, 8, 376. [Google Scholar] [CrossRef]
- Jue, D.; Sang, X.; Li, Z.; Zhang, W.; Liao, Q.; Tang, J. Determination of the Effects of Pre-Harvest Bagging Treatment on Kiwifruit Appearance and Quality via Transcriptome and Metabolome Analyses. Food Res. Int. 2023, 173, 113276. [Google Scholar] [CrossRef]
- Manzoor, M.; Hussain, S.B.; Anjum, M.A.; Naseer, M.; Ahmad, R.; Ziogas, V. Effects of Harvest Time on the Fruit Quality of Kinnow and Feutrell’s Early Mandarins (Citrus reticulata blanco). Agronomy 2023, 13, 802. [Google Scholar] [CrossRef]
- Zahedi, S.M.; Hosseini, M.S.; Daneshvar Hakimi Meybodi, N.; Teixeira da Silva, J.A. Foliar Application of Selenium and Nano-Selenium Affects Pomegranate (Punica granatum Cv. Malase Saveh) Fruit Yield and Quality. S. Afr. J. Bot. 2019, 124, 350–358. [Google Scholar] [CrossRef]
- Xu, X.; Wang, J.; Wu, H.; Yuan, Q.; Wang, J.; Cui, J.; Lin, A. Effects of Selenium Fertilizer Application and Tomato Varieties on Tomato Fruit Quality: A Meta-Analysis. Sci. Hortic. 2022, 304, 111242. [Google Scholar] [CrossRef]
- Ouyang, Z.; Tian, J.; Yan, X. Effects of Mineralization Degree of Irrigation Water on Yield, Fruit Quality, and Soil Microbial and Enzyme Activities of Cucumbers in Greenhouse Drip Irrigation. Horticulturae 2024, 10, 113. [Google Scholar] [CrossRef]
- Choi, H.R.; Baek, M.W.; Cheol, L.H.; Jeong, C.S.; Tilahun, S. Changes in Metabolites and Antioxidant Activities of Green ‘Hayward’ and Gold ‘Haegeum’ Kiwifruits during Ripening with Ethylene Treatment. Food Chem. 2022, 384, 132490. [Google Scholar] [CrossRef] [PubMed]
- Reis, A.; Passos, C.P.; Brandão, E.; Teixeira, N.; Alves, T.; Mateus, N.; de Freitas, V. Revisiting Spectrophotometric Methods in the FoodOmics Era: The Influence of Phytochemicals in the Quantification of Soluble Sugars in Plant-Based Beverages, Drinks, and Extracts. Foods 2025, 14, 2889. [Google Scholar] [CrossRef]
- Zhan, T.; Hu, C.; Kong, Q.; Shi, G.; Tang, Y.; Zhou, Y.; Guo, Z.; Zhai, H.; Xiao, X.; Zhao, X. Chitin Combined with Selenium Reduced Nitrogen Loss in Soil and Improved Nitrogen Uptake Efficiency in Guanxi Pomelo Orchard. Sci. Total Environ. 2021, 799, 149414. [Google Scholar] [CrossRef]
- Wen, M.; Wang, P.; Gao, W.; Wu, S.; Huang, B. Effects of Foliar Spraying with Different Concentrations of Selenium Fertilizer on the Development, Nutrient Absorption, and Quality of Citrus Fruits. Hortscience 2021, 56, 1363–1367. [Google Scholar] [CrossRef]
- Ren, G.; Ran, X.; Zeng, R.; Chen, J.; Wang, Y.; Mao, C.; Wang, X.; Feng, Y.; Yang, G. Effects of Sodium Selenite Spray on Apple Production, Quality, and Sucrose Metabolism-Related Enzyme Activity. Food Chem. 2021, 339, 127883. [Google Scholar] [CrossRef]
- Jalali, P.; Roosta, H.R.; Khodadadi, M.; Torkashvand, A.M.; Jahromi, M.G. Effects of Brown Seaweed Extract, Silicon, and Selenium on Fruit Quality and Yield of Tomato under Different Substrates. PLoS ONE 2022, 17, e0277923. [Google Scholar] [CrossRef] [PubMed]
- Jiao, Y.; Zhang, S.; Jin, H.; Wang, Y.; Jia, Y.; Zhang, H.; Jiang, Y.; Liao, W.; Chen, L.-S.; Guo, J. Fruit Quality Assessment Based on Mineral Elements and Juice Properties in Nine Citrus Cultivars. Front. Plant Sci. 2023, 14, 1280495. [Google Scholar] [CrossRef] [PubMed]
- Huang, S.; Gao, L.; Fu, G.; Du, S.; Wang, Q.; Li, H.; Wan, Y. Interactive Effects between Zinc and Selenium on Mineral Element Accumulation and Fruit Quality of Strawberry. Agronomy 2023, 13, 2453. [Google Scholar] [CrossRef]
- Zhou, L.-J.; Wang, Y.; Alqahtani, M.D.; Wu, Q.-S. Positive Changes in Fruit Quality, Leaf Antioxidant Defense System, and Soil Fertility of Beni-Madonna Tangor Citrus (Citrus nanko × C. amakusa) after Field AMF Inoculation. Horticulturae 2023, 9, 1324. [Google Scholar] [CrossRef]
- Yao, R.; Bai, R.; Yu, Q.; Bao, Y.; Yang, W. The Effect of Nitrogen Reduction and Applying Bio-Organic Fertilisers on Soil Nutrients and Apple Fruit Quality and Yield. Agronomy 2024, 14, 345. [Google Scholar] [CrossRef]
- Zhu, S.; Huang, T.; Yu, X.; Hong, Q.; Xiang, J.; Zeng, A.; Gong, G.; Zhao, X. The Effects of Rootstocks on Performances of Three Late-Ripening Navel Orange Varieties. J. Integr. Agric. 2020, 19, 1802–1812. [Google Scholar] [CrossRef]
- Leszto, K.; Biskup, L.; Korona, K.; Marcinkowska, W.; Możdżan, M.; Węgiel, A.; Młynarska, E.; Rysz, J.; Franczyk, B. Selenium as a Modulator of Redox Reactions in the Prevention and Treatment of Cardiovascular Diseases. Antioxidants 2024, 13, 688. [Google Scholar] [CrossRef] [PubMed]
- Li, L.; Luo, L.; Zhan, J.; Raza, A.; Yin, C. Combined Application of Bacillus amyloliquefaciens and Sodium Selenite Promotes Tea Seedling Growth and Selenium Uptake by Regulating the Rhizosphere Bacterial Community. Biol. Fertil. Soils 2025, 61, 259–275. [Google Scholar] [CrossRef]





| Composition | P2O5 | MgO | SiO2 | CaO | CO2 | SO2 | K2O | F | Fe2O3 | LOI |
| Content/% | 8.63 | 15.24 | 5.35 | 34.14 | 24.53 | 5.14 | 2.23 | 0.37 | 0.86 | 3.47 |
| Treatment | Vertical Diameter (mm) | Transverse Diameter (mm) | Fruit Shape Index | Peel Thickness (mm) | Pulp (g) | Peel (g) | Single Fruit Weight (g) | Proportion of Peel (%) |
|---|---|---|---|---|---|---|---|---|
| WGCK | 72.57 ± 0.93 d | 58.97 ± 0.59 b | 1.23 ± 0.01 c | 2.94 ± 0.29 a | 139.75 ± 4.52 e | 36.23 ± 0.94 b | 175.98 ± 5.46 d | 20.59 ± 0.11 a |
| WG1 | 75.23 ± 0.55 c | 56.40 ± 1.10 c | 1.33 ± 0.02 a | 2.40 ± 0.17 bc | 161.93 ± 3.39 c | 35.53 ± 2.36 b | 197.46 ± 1.16 c | 18.00 ± 1.29 b |
| WG2 | 77.50 ± 0.70 b | 59.03 ± 0.42 b | 1.31 ± 0.02 a | 2.37 ± 0.25 bc | 172.48 ± 3.49 b | 35.50 ± 0.74 b | 207.97 ± 4.11 b | 17.07 ± 0.19 b |
| WG200 | 74.53 ± 0.80 c | 58.53 ± 0.78 b | 1.27 ± 0.03 b | 2.73 ± 0.21 ab | 151.30 ± 4.10 d | 38.00 ± 2.98 ab | 189.30 ± 1.47 c | 20.08 ± 1.69 a |
| WG400 | 77.33 ± 1.01 b | 58.73 ± 0.31 b | 1.32 ± 0.02 a | 2.93 ± 0.05 a | 170.17 ± 6.55 b | 38.26 ± 2.51 ab | 208.45 ± 9.06 b | 18.34 ± 0.40 b |
| WG600 | 81.37 ± 0.15 a | 60.53 ± 0.47 a | 1.34 ± 0.01 a | 2.19 ± 0.11 d | 191.11 ± 4.11 a | 40.87 ± 1.32 a | 231.96 ± 3.55 a | 17.61 ± 0.69 b |
| CZCK | 59.43 ± 1.17 c | 65.79 ± 2.01 b | 0.90 ± 0.02c | 3.54 ± 0.38 a | 100.97 ± 18.48 b | 26.46 ± 6.30 b | 127.43 ± 24.16 a | 20.65 ± 2.09 bc |
| CZ1 | 61.45 ± 1.96 bc | 61.95 ± 0.83 b | 0.99 ± 0.02 ab | 2.68 ± 0.33 bc | 106.53 ± 10.25 ab | 23.14 ± 1.69 b | 129.67 ± 10.57 a | 17.91 ± 1.71 cd |
| CZ2 | 67.93 ± 3.12 a | 71.16 ± 4.01 a | 0.96 ± 0.06 bc | 3.52 ± 0.68 a | 114.07 ± 5.29 ab | 36.71 ± 1.81 b | 150.78 ± 7.05 a | 24.35 ± 0.24 a |
| CZ200 | 64.59 ± 1.05 ab | 65.09 ± 2.39 b | 0.99 ± 0.04 ab | 2.19 ± 0.14 c | 130.19 ± 15.74 a | 27.23 ± 2.25 b | 157.42 ± 17.28 a | 17.36 ± 1.38 d |
| CZ400 | 67.52 ± 1.11 a | 65.32 ± 2.56 b | 1.04 ± 0.03 a | 3.36 ± 0.40 ab | 122.65 ± 16.75 ab | 35.36 ± 3.77 a | 158.01 ± 19.96 a | 22.45 ± 1.41 ab |
| CZ600 | 68.47 ± 1.34 a | 65.09 ± 2.92 b | 1.05 ± 0.02 a | 3.08 ± 0.35 ab | 120.92 ± 16.67 ab | 28.14 ± 3.81 b | 149.06 ± 19.39 a | 18.92 ± 1.81 cd |
| Treatment | Soluble Solids (mg/kg) | Vitamin C (mg/100g) | Citric Acid (mg/kg) | Total Soluble Sugars (mg/kg) | Solid-to-Acid Ratio | Selenium Content in Fruit Juice (μg/g) | Organic Selenium Content (μg/g) | Fruit Yield (kg plant−1) |
|---|---|---|---|---|---|---|---|---|
| WGCK | 9.33 ± 0.58 c | 17.13 ± 0.05 a | 72.39 ± 1.22 d | 187.13 ± 34.27 c | 36.03 ± 9.28 c | 0.0090 ± 0.0012 e | 0.0078 ± 0.0006d | 26.57 ± 0.96c |
| WG1 | 11.5 ± 0.50 b | 13.61 ± 0.03 b | 83.82 ± 0.87 b | 241.5 ± 21.00 b | 33.54 ± 3.75 c | 0.0217 ± 0.0002 c | 0.0185 ± 0.0012b | 26.19 ± 1.23c |
| WG2 | 11.83 ± 0.29 b | 13.94 ± 0.02 b | 84.82 ± 0.65 ab | 285.83 ± 14.57 a | 29.04 ± 1.86 c | 0.0170 ± 0.0017d | 0.0138 ± 0.0009c | 32.06 ± 1.33b |
| WG200 | 11.33 ± 0.29 b | 18.85 ± 0.02 a | 86.98 ± 1.72 a | 93.33 ± 5.35 e | 77.82 ± 7.77 a | 0.0249 ± 0.0009 b | 0.021 ± 0.0006b | 32.08 ± 1.32ab |
| WG400 | 11.67 ± 0.29 b | 18.12 ± 0.03 a | 79.73 ± 1.31 c | 131.83 ± 16.54 d | 62.66 ± 8.62 b | 0.0238 ± 0.0004 b | 0.0192 ± 0.0012b | 34.42 ± 0.99ab |
| WG600 | 12.67 ± 0.29 a | 17.41 ± 0.03 a | 87.10 ± 1.47 a | 140.00 ± 18.52 d | 64.07 ± 8.43 b | 0.0291 ± 0.0009 a | 0.0253 ± 0.0017a | 34.57 ± 1.42a |
| CZCK | 8.67 ± 0.29 d | 16.55 ± 0.94 c | 855.83 ± 50.27 a | 32.33 ± 0.38 d | 7.10 ± 0.35 d | 0.0076 ± 0.0004 e | 0.0032 ± 0.0006c | 19.67 ± 0.82d |
| CZ1 | 11.17 ± 0.29 b | 19.80 ± 0.87 b | 605.55 ± 46.76 b | 40.11 ± 5.30 cd | 12.97 ± 1.20 c | 0.0093 ± 0.0002 d | 0.0056 ± 0.0006bc | 23.02 ± 0.94c |
| CZ2 | 10.00 ± 1.00 c | 20.34 ± 0.48 b | 637.59 ± 55.47 b | 42.65 ± 4.50 b | 10.97 ± 0.40 c | 0.0100 ± 0.0007 cd | 0.0065 ± 0.0012b | 26.72 ± 1.23b |
| CZ200 | 10.17 ± 0.29 bc | 20.93 ± 1.11 b | 460.64 ± 8.70 d | 43.63 ± 0.73 b | 15.46 ± 0.73 b | 0.0107 ± 0.0004 bc | 0.0067 ± 0.0009b | 22.85 ± 1.36c |
| CZ400 | 10.17 ± 0.76 bc | 20.42 ± 0.76 b | 566.16 ± 21.44 bc | 43.45 ± 7.76 b | 12.58 ± 1.06 c | 0.0115 ± 0.0009 b | 0.0076 ± 0.0012ab | 28.68 ± 1.11a |
| CZ600 | 12.67 ± 0.29 a | 24.04 ± 0.87 a | 493.84 ± 73.20 cd | 56.22 ± 4.65 a | 18.22 ± 2.66 a | 0.0129 ± 0.0004 a | 0.0095 ± 0.0006a | 30.18 ± 1.05a |
Disclaimer/Publisher’s Note: The statements, opinions and data contained in all publications are solely those of the individual author(s) and contributor(s) and not of MDPI and/or the editor(s). MDPI and/or the editor(s) disclaim responsibility for any injury to people or property resulting from any ideas, methods, instructions or products referred to in the content. |
© 2025 by the authors. Licensee MDPI, Basel, Switzerland. This article is an open access article distributed under the terms and conditions of the Creative Commons Attribution (CC BY) license (https://creativecommons.org/licenses/by/4.0/).
Share and Cite
Zhao, X.; Liu, Z.; Gao, L.; Wu, Y.; Bao, L.; Zhang, N. Utilizing Phosphate Tailing-Based Compound Selenium Activator to Enhance Selenium Absorption and Fruit Quality in Citrus: Resource Utilization Strategy for Sustainable Agriculture. Sustainability 2025, 17, 11094. https://doi.org/10.3390/su172411094
Zhao X, Liu Z, Gao L, Wu Y, Bao L, Zhang N. Utilizing Phosphate Tailing-Based Compound Selenium Activator to Enhance Selenium Absorption and Fruit Quality in Citrus: Resource Utilization Strategy for Sustainable Agriculture. Sustainability. 2025; 17(24):11094. https://doi.org/10.3390/su172411094
Chicago/Turabian StyleZhao, Xiangmei, Zhizong Liu, Liu Gao, Yonglin Wu, Li Bao, and Naiming Zhang. 2025. "Utilizing Phosphate Tailing-Based Compound Selenium Activator to Enhance Selenium Absorption and Fruit Quality in Citrus: Resource Utilization Strategy for Sustainable Agriculture" Sustainability 17, no. 24: 11094. https://doi.org/10.3390/su172411094
APA StyleZhao, X., Liu, Z., Gao, L., Wu, Y., Bao, L., & Zhang, N. (2025). Utilizing Phosphate Tailing-Based Compound Selenium Activator to Enhance Selenium Absorption and Fruit Quality in Citrus: Resource Utilization Strategy for Sustainable Agriculture. Sustainability, 17(24), 11094. https://doi.org/10.3390/su172411094

