Upscaling Natural Materials in Construction: Earthen, Fast-Growing, and Living Materials
Abstract
1. Introduction
2. Background on the Adoption of Earth- and Bio-Based Materials
2.1. Earthen Materials
2.2. Fast-Growing Materials
2.3. Living Materials
2.4. Natural Materials Taxonomy: EU versus US
3. Materials and Methods
3.1. Survey Questionnaire for Stakeholders
3.2. AI-Generated Image Prompts

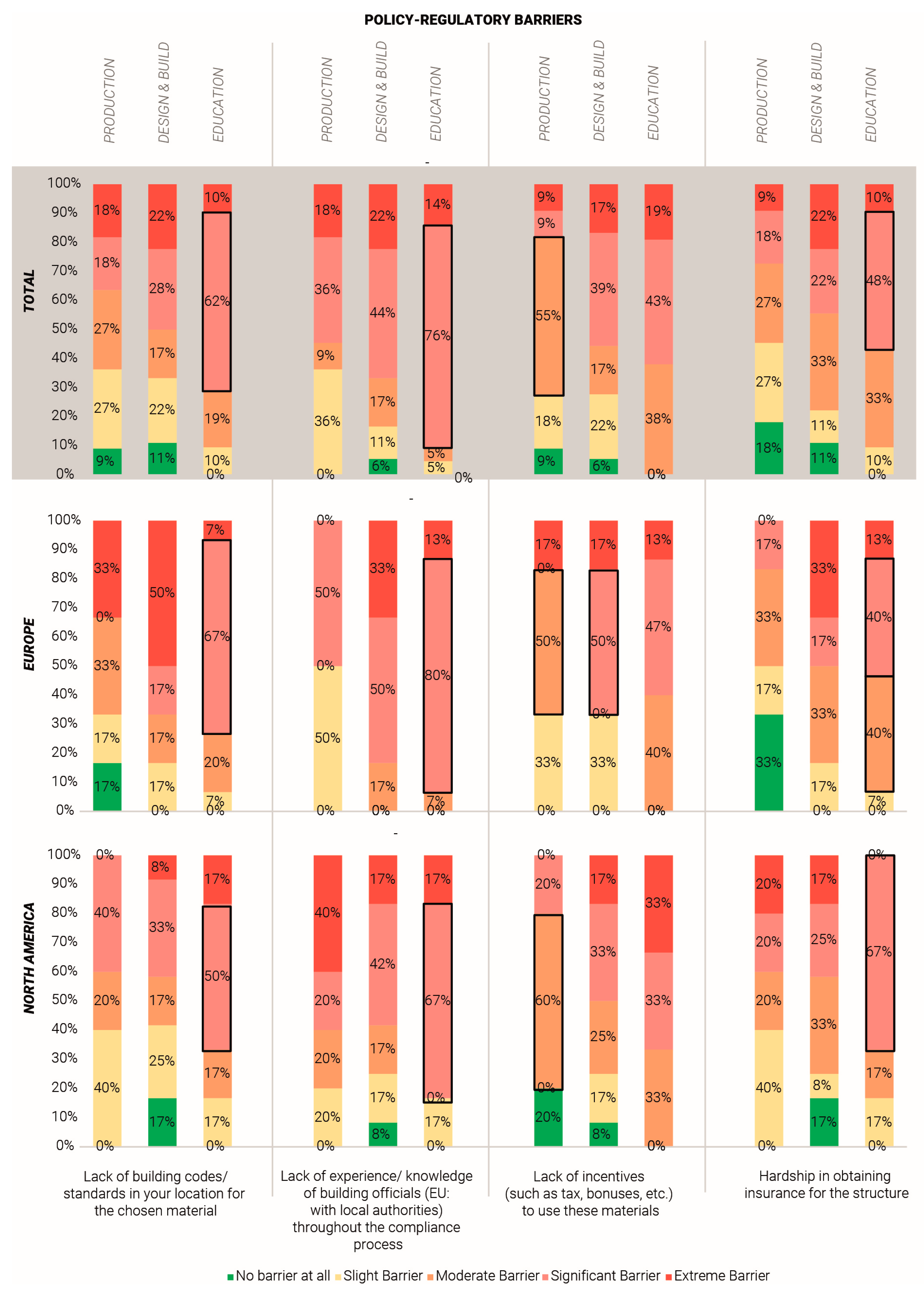
4. Results and Discussion
4.1. Survey Questions
4.2. AI-Generated Imaginary Futures
5. Conclusions
Author Contributions
Funding
Institutional Review Board Statement
Informed Consent Statement
Data Availability Statement
Acknowledgments
Conflicts of Interest
References
- World Green Building Council. New Report: The Building and Construction Sector Can Reach Net Zero Carbon Emissions by 2050. Available online: https://worldgbc.org/article/new-report-the-building-and-construction-sector-can-reach-net-zero-carbon-emissions-by-2050/ (accessed on 1 August 2024).
- Nejat, P.; Jomehzadeh, F.; Taheri, M.M.; Gohari, M.; Abd Majid, M.Z. A global review of energy consumption, CO2 emissions and policy in the residential sector (with an overview of the top ten CO2 emitting countries). Renew. Sustain. Energy Rev. 2015, 43, 843–862. [Google Scholar] [CrossRef]
- Abergel, T.; Dean, B.; Dulac, J. Towards a Zero-Emission, Efficient, and Resilient Buildings and Construction Sector: Global Status Report 2017; United Nations Environment Programme: Nairobi, Kenya, 2017. [Google Scholar]
- Ben-Alon, L. Farm to building Catalyzing the use of natural, net-zero, and healthier building materials. In The Routledge Handbook of Embodied Carbon in the Built Environment; Routledge: Abingdon, UK, 2023; ISBN 978-1-00-327792-7. [Google Scholar]
- Cerimi, K.; Akkaya, K.C.; Pohl, C.; Schmidt, B.; Neubauer, P. Fungi as source for new bio-based materials: A patent review. Fungal Biol. Biotechnol. 2019, 6, 17. [Google Scholar] [CrossRef]
- Pittau, F.; Krause, F.; Lumia, G.; Habert, G. Fast-growing bio-based materials as an opportunity for storing carbon in exterior walls. Build. Environ. 2018, 129, 117–129. [Google Scholar] [CrossRef]
- Houben, H.; Guillaud, H. Earth Construction: A Comprehensive Guide; IT Publications: London, UK, 1994; ISBN 1-85339-193-X. [Google Scholar]
- Paoletti, I. Designing Responsible Material Cultures. In Material Balance: A Design Equation; Paoletti, I., Nastri, M., Eds.; Springer International Publishing: Cham, Switzerland, 2021; pp. 25–36. ISBN 978-3-030-54081-4. [Google Scholar]
- Saha, B.; Hoque, M.A.; Tahsin, S.H.; Rimi, K.N.; Prova, A.T.; Dey, D.; Rahman, S.; Rahman, M.Z. 12.42—Biobased composites for advanced applications: Possibilities and difficulties on the path to circularity. In Comprehensive Materials Processing (Second Edition); Hashmi, S., Ed.; Elsevier: Oxford, UK, 2024; pp. 573–588. ISBN 978-0-323-96021-2. [Google Scholar]
- Dams, B.; Maskell, D.; Shea, A.; Allen, S.; Cascione, V.; Walker, P. Upscaling bio-based construction: Challenges and opportunities. Build. Res. Inf. 2023, 51, 764–782. [Google Scholar] [CrossRef]
- Hertwich, E.; Lifset, R.; Pauliuk, S.; Heeren, N.; Ali, S.; Tu, Q.; Ardente, F.; Berrill, P.; Fishman, T.; Kanaoka, K.; et al. Resource Efficiency and Climate Change: Material Efficiency Strategies for a Low-Carbon Future; International Resource Panel (IRP): Paris, France, 2019. [Google Scholar]
- Morel, J.-C.; Charef, R.; Hamard, E.; Fabbri, A.; Beckett, C.; Bui, Q.-B. Earth as construction material in the circular economy context: Practitioner perspectives on barriers to overcome. Philos. Trans. R. Soc. B Biol. Sci. 2021, 376, 20200182. [Google Scholar] [CrossRef] [PubMed]
- Ben-Alon, L.; Loftness, V.; Harries, K.; Hameen, E. Overcoming the Perceptual Gap: Worldwide Perceived Comfort Survey of Earthen Building Experts and Homeowners. In Construction Technologies and Architecture; Scientific.Net: Barcelona, Spain, 2022; Volume 1, pp. 521–528. [Google Scholar]
- Valentini, L. Sustainable sourcing of raw materials for the built environment. Mater. Today Proc. 2023, in press. [CrossRef]
- Haddad, K.; Lannon, S.; Latif, E. Investigation of Cob construction: Review of mix designs, structural characteristics, and hygrothermal behaviour. J. Build. Eng. 2024, 87, 108959. [Google Scholar] [CrossRef]
- Yadav, M.; Agarwal, M. Biobased building materials for sustainable future: An overview. Mater. Today Proc. 2021, 43, 2895–2902. [Google Scholar] [CrossRef]
- Angulo-Ibáñez, Q.; Mas-Tomás, Á.; Galvañ-LLopis, V.; Sántolaria-Montesinos, J.L. Traditional braces of earth constructions. Constr. Build. Mater. 2012, 30, 389–399. [Google Scholar] [CrossRef]
- Minke, G. Building with Earth: Design and Technology of a Sustainable Architecture. In Building with Earth; Birkhäuser: Basel, Switzerland, 2012; ISBN 978-3-0346-0872-5. [Google Scholar]
- Brumaud, C.; Du, Y.; Ardant, D.; Habert, G. Earth, the new liquid stone: Development and perspectives. Mater. Today Commun. 2024, 39, 108959. [Google Scholar] [CrossRef]
- Ben-Alon, L.; Rempel, A.R. Thermal comfort and passive survivability in earthen buildings. Build. Environ. 2023, 238, 110339. [Google Scholar] [CrossRef]
- Giuffrida, G.; Caponetto, R.; Cuomo, M. An overview on contemporary rammed earth buildings: Technological advances in production, construction and material characterization. IOP Conf. Ser. Earth Environ. Sci. 2019, 296, 012018. [Google Scholar] [CrossRef]
- Ben-Alon, L.; Loftness, V.; Harries, K.A.; DiPietro, G.; Hameen, E.C. Cradle to site Life Cycle Assessment (LCA) of natural vs conventional building materials: A case study on cob earthen material. Build. Environ. 2019, 160, 106150. [Google Scholar] [CrossRef]
- Gomaa, M.; Schade, S.; Bao, D.W.; Xie, Y.M. Automation in rammed earth construction for industry 4.0: Precedent work, current progress and future prospect. J. Clean. Prod. 2023, 398, 136569. [Google Scholar] [CrossRef]
- Alqenaee, A.; Memari, A. Experimental study of 3D printable cob mixtures. Constr. Build. Mater. 2022, 324, 126574. [Google Scholar] [CrossRef]
- Perrot, A.; Rangeard, D.; Courteille, E. 3D printing of earth-based materials: Processing aspects. Constr. Build. Mater. 2018, 172, 670–676. [Google Scholar] [CrossRef]
- Carcassi, O.B.; Maierdan, Y.; Akemah, T.; Kawashima, S.; Ben-Alon, L. Maximizing fiber content in 3D-printed earth materials: Printability, mechanical, thermal and environmental assessments. Constr. Build. Mater. 2024, 425, 135891. [Google Scholar] [CrossRef]
- Ávila, F.; Puertas, E.; Gallego, R. Characterization of the mechanical and physical properties of unstabilized rammed earth: A review. Constr. Build. Mater. 2021, 270, 121435. [Google Scholar] [CrossRef]
- Colinart, T.; Vinceslas, T.; Lenormand, H.; Menibus, A.H.D.; Hamard, E.; Lecompte, T. Hygrothermal properties of light-earth building materials. J. Build. Eng. 2020, 29, 101134. [Google Scholar] [CrossRef]
- Taallah, B.; Guettala, A. The mechanical and physical properties of compressed earth block stabilized with lime and filled with untreated and alkali-treated date palm fibers. Constr. Build. Mater. 2016, 104, 52–62. [Google Scholar] [CrossRef]
- Murmu, A.L.; Patel, A. Towards sustainable bricks production: An overview. Constr. Build. Mater. 2018, 165, 112–125. [Google Scholar] [CrossRef]
- Marais, P. Chapter 5—Adobe Houses for a climate changing world. In Living with Climate Change; Letcher, T.M., Ed.; Elsevier: Amsterdam, The Netherlands, 2024; pp. 89–100. ISBN 978-0-443-18515-1. [Google Scholar]
- Goswein, V. Barriers and Opportunities of Fast Growing Bio Based Material Use in Buildings. Available online: https://www.researchgate.net/publication/364212668_Barriers_and_opportunities_of_fast-growing_biobased_material_use_in_buildings (accessed on 1 May 2024).
- Savas, S.; Bakir, D.; Akcaat, Y.K. Experimental and numerical investigation of the usability of nonwoven hemp as a reinforcement material. Case Stud. Constr. Mater. 2024, 20, e03091. [Google Scholar] [CrossRef]
- Cosentino, L.; Fernandes, J.; Mateus, R. Fast-Growing Bio-Based Construction Materials as an Approach to Accelerate United Nations Sustainable Development Goals. Appl. Sci. 2024, 14, 4850. [Google Scholar] [CrossRef]
- Hailemariam, E.K.; Hailemariam, L.M.; Amede, E.A.; Nuramo, D.A. Identification of barriers, benefits and opportunities of using bamboo materials for structural purposes. Eng. Constr. Archit. Manag. 2022, 30, 2716–2738. [Google Scholar] [CrossRef]
- Kalinowska-Wichrowska, K.; Joka Yildiz, M.; Pawluczuk, E.; Zgłobicka, I.; Franus, M.; Nietupski, W.; Pantoł, M. Enhancing the Properties of Cement Composites Using Granulated Hemp Shive Aggregates. Sustainability 2024, 16, 6142. [Google Scholar] [CrossRef]
- Binega Yemesegen, E.; Memari, A.M. A review of experimental studies on Cob, Hempcrete, and bamboo components and the call for transition towards sustainable home building with 3D printing. Constr. Build. Mater. 2023, 399, 132603. [Google Scholar] [CrossRef]
- Shang, Y.; Tariku, F. Hempcrete building performance in mild and cold climates: Integrated analysis of carbon footprint, energy, and indoor thermal and moisture buffering. Build. Environ. 2021, 206, 108377. [Google Scholar] [CrossRef]
- Muhit, I.B.; Omairey, E.L.; Pashakolaie, V.G. A holistic sustainability overview of hemp as building and highway construction materials. Build. Environ. 2024, 256, 111470. [Google Scholar] [CrossRef]
- Cornaro, C.; Zanella, V.; Robazza, P.; Belloni, E.; Buratti, C. An innovative straw bale wall package for sustainable buildings: Experimental characterization, energy and environmental performance assessment. Energy Build. 2020, 208, 109636. [Google Scholar] [CrossRef]
- Ashour, T.; Georg, H.; Wu, W. Performance of straw bale wall: A case of study. Energy Build. 2011, 43, 1960–1967. [Google Scholar] [CrossRef]
- Yan, S.; Shi, F.; Zheng, C.; Ma, Y.; Huang, J. Whole biomass material envelope system for nearly-zero energy houses: Carbon footprint and construction cost assessment. J. Build. Eng. 2024, 86, 108757. [Google Scholar] [CrossRef]
- Mutani, G.; Azzolino, C.; Macrì, M.; Mancuso, S. Straw Buildings: A Good Compromise between Environmental Sustainability and Energy-Economic Savings. Appl. Sci. 2020, 10, 2858. [Google Scholar] [CrossRef]
- Talaei, M.; Mahdavinejad, M.; Azari, R. Thermal and energy performance of algae bioreactive façades: A review. Journal of Build. Eng. 2020, 28, 101011. [Google Scholar] [CrossRef]
- Jones, M.; Mautner, A.; Luenco, S.; Bismarck, A.; John, S. Engineered mycelium composite construction materials from fungal biorefineries: A critical review. Mater. Des. 2020, 187, 108397. [Google Scholar] [CrossRef]
- Bitting, S.; Derme, T.; Lee, J.; Van Mele, T.; Dillenburger, B.; Block, P. Challenges and Opportunities in Scaling up Architectural Applications of Mycelium-Based Materials with Digital Fabrication. Biomimetics 2022, 7, 44. [Google Scholar] [CrossRef]
- Girometta, C.; Picco, A.M.; Baiguera, R.M.; Dondi, D.; Babbini, S.; Cartabia, M.; Pellegrini, M.; Savino, E. Physico-Mechanical and Thermodynamic Properties of Mycelium-Based Biocomposites: A Review. Sustainability 2019, 11, 281. [Google Scholar] [CrossRef]
- Carcassi, O.B.; Habert, G.; Paoletti, I.; Claude, S.; Pittau, F. Carbon Footprint Assessment of a Novel Bio-Based Composite for Building Insulation. Sustainability 2022, 14, 1384. [Google Scholar] [CrossRef]
- Madusanka, C.; Udayanga, D.; Nilmini, R.; Rajapaksha, S.; Hewawasam, C.; Manamgoda, D.; Vasco-Correa, J. A review of recent advances in fungal mycelium based composites. Discov. Mater. 2024, 4, 13. [Google Scholar] [CrossRef]
- Manan, S.; Ullah, M.W.; Ul-Islam, M.; Atta, O.M.; Yang, G. Synthesis and applications of fungal mycelium-based advanced functional materials. J. Bioresour. Bioprod. 2021, 6, 1–10. [Google Scholar] [CrossRef]
- McBee, R.M.; Lucht, M.; Mukhitov, N.; Richardson, M.; Srinivasan, T.; Meng, D.; Chen, H.; Kaufman, A.; Reitman, M.; Munck, C.; et al. Engineering living and regenerative fungal–bacterial biocomposite structures. Nat. Mater. 2022, 21, 471–478. [Google Scholar] [CrossRef]
- Onyelowe, K.C.; Adam, A.F.H.; Ulloa, N.; Garcia, C.; Andrade Valle, A.I.; Zúñiga Rodríguez, M.G.; Zarate Villacres, A.N.; Shakeri, J.; Anyaogu, L.; Alimoradijazi, M.; et al. Modeling the influence of bacteria concentration on the mechanical properties of self-healing concrete (SHC) for sustainable bio-concrete structures. Sci. Rep. 2024, 14, 8414. [Google Scholar] [CrossRef] [PubMed]
- European Commission Bio-Based Products. Available online: https://single-market-economy.ec.europa.eu/sectors/biotechnology/bio-based-products_en (accessed on 29 May 2024).
- Environmental Protection Agency. Bio-Based Materials. Available online: https://cfpub.epa.gov/si/si_public_record_report.cfm?Lab=NRMRL&dirEntryId=231873 (accessed on 29 May 2024).
- European Environment Agency. Biomass. Available online: https://www.eea.europa.eu/help/glossary/semide-emwis-thesaurus/biomass (accessed on 29 May 2024).
- European Environment Agency. Geogenic Factor. Available online: https://www.eea.europa.eu/help/glossary/gemet-environmental-thesaurus/geogenic-factor (accessed on 29 May 2024).
- European Environment Agency. Fossil Fuel. Available online: https://www.eea.europa.eu/help/glossary/eea-glossary/fossil-fuel (accessed on 29 May 2024).
- Department of Energy Fossil. Available online: https://www.energy.gov/fossil (accessed on 29 May 2024).
- Environmental Protection Agency Renewable Energy Source. Available online: https://www.eea.europa.eu/help/glossary/gemet-environmental-thesaurus/renewable-energy-source (accessed on 1 July 2024).
- Office of Energy Efficiency & Renewable Energy. Renewable Energy. Available online: https://www.energy.gov/eere/renewable-energy (accessed on 1 July 2024).
- European Commission Waste. Knowledge for Policy. Available online: https://knowledge4policy.ec.europa.eu/glossary-item/waste_en (accessed on 1 July 2024).
- Environmental Protection Agency Wastes. Available online: https://www.epa.gov/report-environment/wastes (accessed on 1 July 2024).
- European Commission. By-Products. Available online: https://environment.ec.europa.eu/topics/waste-and-recycling/waste-framework-directive_en (accessed on 1 July 2024).
- Environmental Protection Agency. By-Products. Available online: https://sor.epa.gov/sor_internet/registry/termreg/searchandretrieve/glossariesandkeywordlists/search.do?details=&glossaryName=Lifecycle%20Assessment%20Glossary (accessed on 1 July 2024).
- European Environment Agency. Renewable Raw Material. Available online: https://www.eea.europa.eu/help/glossary/gemet-environmental-thesaurus/renewable-raw-material (accessed on 1 July 2024).
- Environmental Protection Agency. Renewable Raw Material. Available online: https://sor.epa.gov/sor_internet/registry/termreg/searchandretrieve/termsandacronyms/search.do?search=&term=Renewable%20raw%20material&matchCriteria=Exact&checkedAcronym=true&checkedTerm=true&hasDefinitions=false (accessed on 1 July 2024).
- European Environment Agency. Bioregion. Available online: https://www.eea.europa.eu/help/glossary/chm-biodiversity/bioregion (accessed on 1 July 2024).
- Environmental Protection Agency. Bioregion. Available online: https://sor.epa.gov/sor_internet/registry/termreg/searchandretrieve/glossariesandkeywordlists/search.do?details=&vocabName=Biocriteria%20Glossary (accessed on 1 July 2024).
- European Environment Agency. Toxic Substance. Available online: https://www.eea.europa.eu/help/glossary/gemet-environmental-thesaurus/toxic-substance (accessed on 1 July 2024).
- Environmental Protection Agency. Toxic Substance. Available online: https://sor.epa.gov/sor_internet/registry/termreg/searchandretrieve/glossariesandkeywordlists/search.do?details=&vocabName=Environmental%20Issues%20Glossary&filterTerm=toxic&checkedAcronym=false&checkedTerm=false&hasDefinitions=false&filterTerm=toxic&filterMatchCriteria=Contains (accessed on 1 July 2024).
- Holz, D. Midjourney. Available online: https://www.midjourney.com/home (accessed on 5 August 2024).
- Citron, J.; Vishnevskiy, S. Discord. Available online: https://discord.com/ (accessed on 5 August 2024).
- Department of Energy. EERE Success Story—Hemp for Home Insulation by Hempitecture. Available online: https://www.energy.gov/eere/articles/eere-success-story-hemp-home-insulation-hempitecture (accessed on 1 August 2024).
- The Plan Biobased Creations. You Can Walk in, Touch the Materials, Read about Them, Ask Our Storytellers Questions: The Exploded View Beyond Building. Available online: https://www.theplan.it/eng/award-2023-Special-Projects/you-can-walk-in-touch-the-materials-read-about-them-ask-our-storytellers-questions-the-exploded-view-beyond-building-biobased-creations (accessed on 1 August 2024).
- Hub of Biotechnology in the Built Environment OME–HBBE 2023. Available online: http://bbe.ac.uk/ome/ (accessed on 1 August 2024).









| Word and Similar | Europe (EU) | United States (US) |
|---|---|---|
| Biogenic Bio-based | Bio-based products are wholly or partly derived from materials of biological origin, excluding materials embedded in geological formations and/or fossilized [53] | Bio-based materials refer to products that mainly consist of a substance (or substances) derived from living matter (biomass) and either occur naturally or are synthesized, or it may refer to products made by processes that use biomass [54]. |
| Biomass | The mass of living or organic material, usually expressed as dry weight per unit area [55] | Not Available |
| Geogenic | Geogenic factors are those which originate in the soil, as opposed to those of anthropic origin (anthropogenic) [56] | Not Available |
| Fossil fuels | Coal, natural gas and petroleum products (such as oil) formed from the decayed bodies of animals and plants that died millions of years ago [57]. | Fossil energy sources, including oil, coal and natural gas, are non-renewable resources that formed when prehistoric plants and animals died and were gradually buried by layers of rock. Over millions of years, different types of fossil fuels formed -- depending on what combination of organic matter was present, how long it was buried and what temperature and pressure conditions existed as time passed [58]. |
| Renewable | (Focusing on energy not resources): Energy sources that do not rely on fuels of which there are only finite stocks. The most widely used renewable source is hydroelectric power; other renewable sources are biomass energy, solar energy, tidal energy, wave energy, and wind energy; biomass energy does not avoid the danger of the greenhouse effect [59] | (Focusing on energy not resource): Renewable energy is energy produced from sources like the sun and wind that are naturally replenished and do not run out. Renewable energy can be used for electricity generation, space and water heating and cooling, and transportation [60] |
| Earthen material | Not Available | Not Available |
| Living material | Not Available | Not Available |
| Waste material | Any substance, material or object which the holder discards or intends or is required to discard [61] | Differentiate all types of waste [62] |
| By- product materials Co-products | The Waste Framework Directive defines by-products as a substance or object, resulting from a production process, the primary aim of which is not the production of that item. By-products can come from a wide range of business sectors, and can have very different environmental impacts. It is important to classify by-products correctly to avoid environmental damage or unnecessary costs for business [63] | An incidental product deriving from a manufacturing process or chemical reaction, and not the primary product or service being produced. A by-product can be useful and marketable, or it can have negative ecological consequences [64] |
| Renewable raw materials | Resources that have a natural rate of availability and yield a continual flow of services which may be consumed in any time period without endangering future consumption possibilities as long as current use does not exceed net renewal during the period under consideration [65] | Resources that have a natural rate of availability and yield a continual flow of services which may be consumed in any time period without endangering future consumption possibilities as long as current use does not exceed net renewal during the period under consideration [66] |
| Bioregion Bioregionality | A territory defined by a combination of biological, social, and geographic criteria, rather than geopolitical considerations; generally, a system of related, interconnected ecosystems [67] | Any geographical region characterized by a distinctive flora and fauna [68]. |
| Nontoxic | Substances which are not toxic, as opposed to toxic substances: a chemical or mixture that may present a risk or injury to health or the environment [69]. | As opposed to toxic substance: A chemical or mixture that can cause illness, death, disease, or birth defects. The quantities and exposures necessary to cause these effects can vary widely. Many toxic substances are pollutants and contaminants in the environment [70]. |
Disclaimer/Publisher’s Note: The statements, opinions and data contained in all publications are solely those of the individual author(s) and contributor(s) and not of MDPI and/or the editor(s). MDPI and/or the editor(s) disclaim responsibility for any injury to people or property resulting from any ideas, methods, instructions or products referred to in the content. |
© 2024 by the authors. Licensee MDPI, Basel, Switzerland. This article is an open access article distributed under the terms and conditions of the Creative Commons Attribution (CC BY) license (https://creativecommons.org/licenses/by/4.0/).
Share and Cite
Carcassi, O.B.; Salierno, R.; Falcinelli, P.A.; Paoletti, I.M.; Ben-Alon, L. Upscaling Natural Materials in Construction: Earthen, Fast-Growing, and Living Materials. Sustainability 2024, 16, 7926. https://doi.org/10.3390/su16187926
Carcassi OB, Salierno R, Falcinelli PA, Paoletti IM, Ben-Alon L. Upscaling Natural Materials in Construction: Earthen, Fast-Growing, and Living Materials. Sustainability. 2024; 16(18):7926. https://doi.org/10.3390/su16187926
Chicago/Turabian StyleCarcassi, Olga Beatrice, Roberta Salierno, Pietro Augusto Falcinelli, Ingrid Maria Paoletti, and Lola Ben-Alon. 2024. "Upscaling Natural Materials in Construction: Earthen, Fast-Growing, and Living Materials" Sustainability 16, no. 18: 7926. https://doi.org/10.3390/su16187926
APA StyleCarcassi, O. B., Salierno, R., Falcinelli, P. A., Paoletti, I. M., & Ben-Alon, L. (2024). Upscaling Natural Materials in Construction: Earthen, Fast-Growing, and Living Materials. Sustainability, 16(18), 7926. https://doi.org/10.3390/su16187926

