Nonlinear and Threshold Effects of the Built Environment on Dockless Bike-Sharing
Abstract
1. Introduction
2. Literature Review
2.1. Studies on Bike-Sharing Travel Behaviors
2.2. Studies on the Effects of the Built Environment on the Travel Behaviors
2.3. Studies on the Effects of the Built Environment on Bike-Sharing
2.4. Modeling Method
3. Data and Variables
3.1. Study Area
3.2. Data Sources
3.3. Variables Description
4. Methodology
4.1. Extreme Gradient Boosting—XGBoost
4.2. Relative Importance
4.3. Partial Dependence Plots
5. Results and Discussion
5.1. Performance of the XGBoost Model
5.2. Relative Importance of the Explanatory Variables
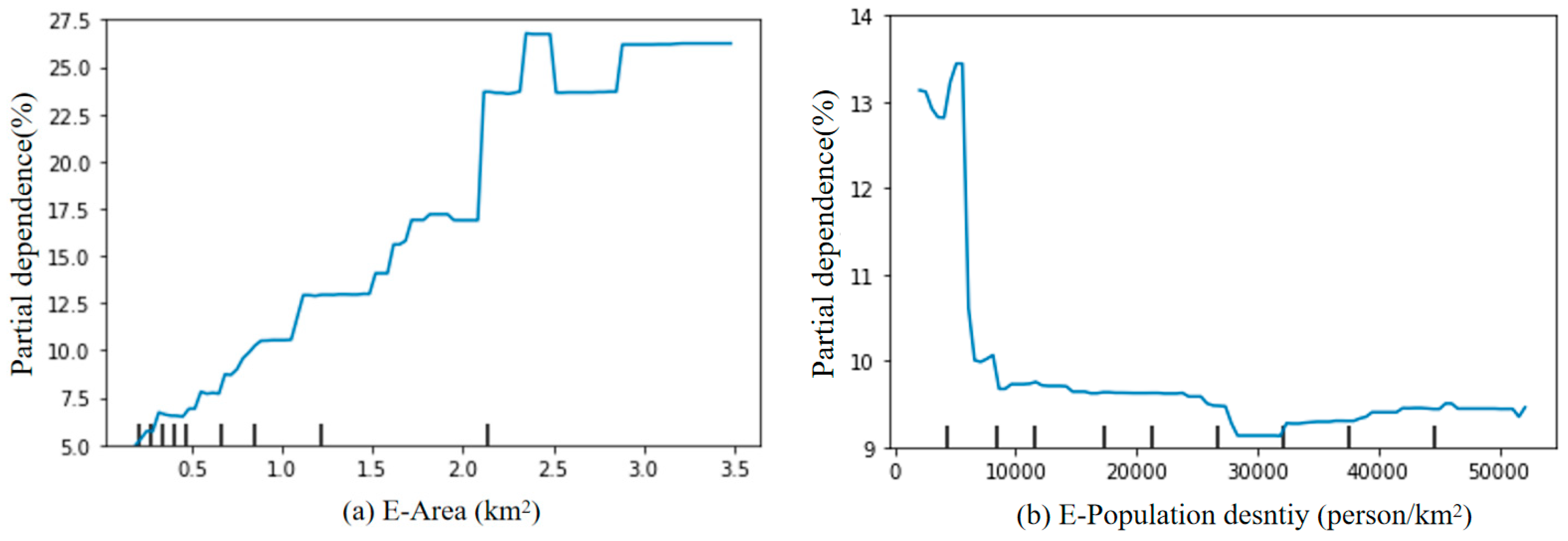
5.3. Nonlinear Associations between Key Explanatory Variables with Bike-Sharing Ridership
- (a)
- The area is greater than 1.5 km2;
- (b)
- The population density is greater than 10,000 person/km2;
- (c)
- The commercial ratio is greater than 0.6;
- (d)
- The transportation density is greater than 150 facility/km2;
- (e)
- The POI density is greater than 1500 facility/km2;
- (f)
- The road density is greater than 12 km/km2;
- (g)
- The subway density is greater than 4 facility/km2;
- (h)
- The bus density is greater than 4 facility/km2.
- (a)
- The area is greater than 2 km2;
- (b)
- The population density is less than 10,000 person/km2;
- (c)
- The industrial rate is greater than 0.15;
- (d)
- The transportation density is greater than 150 facility/km2;
- (e)
- The road density is greater than 4 km/km2;
- (f)
- The bus density is greater than 6 facility/km2.
5.4. Multipredictor Partial Dependence Plot
6. Conclusions and Implications
Author Contributions
Funding
Institutional Review Board Statement
Informed Consent Statement
Data Availability Statement
Conflicts of Interest
References
- Jiang, H.; Song, S.; Zou, X.; Lu, L. How Dockless Bike Sharing Changes Lives: An Analysis of Chinese Cities. 2020. Available online: https://www.wri.org/research/how-dockless-bike-sharing-changes-lives-analysis-chinese-cities (accessed on 10 May 2024).
- Gonzalez, F.; Melo-Riquelme, C.; Grange, L.D. A combined destination and route choice model for a bicycle sharing system. Transportation 2016, 43, 407–423. [Google Scholar] [CrossRef]
- Si, H.; Shi, J.; Wu, G.; Chen, J.; Zhao, X. Mapping the Bike Sharing Research Published from 2010 to 2018: A Scientometric Review. J. Clean. Prod. 2019, 213, 415–427. [Google Scholar] [CrossRef]
- Guo, Y.; Yang, L.; Chen, Y. Bike Share Usage and the Built Environment: A Review. Front. Public Health 2022, 10, 848169. [Google Scholar] [CrossRef] [PubMed]
- Babagoli, M.A.; Kaufman, T.K.; Noyes, P.; Sheffield, P.E. Exploring the Health and Spatial Equity Implications of the New York City Bike Share System. J. Transp. Health 2019, 13, 200–209. [Google Scholar] [CrossRef]
- Bullock, C.; Brereton, F.; Bailey, S. The Economic Contribution of Public Bike-Share to the Sustainability and Efficient Functioning of Cities. Sustain. Cities Soc. 2017, 28, 76–87. Available online: https://www.sciencedirect.com/science/article/abs/pii/S2210670716303080 (accessed on 17 August 2024). [CrossRef]
- Kim, M.; Cho, G.-H. Analysis on Bike-Share Ridership for Origin-Destination Pairs: Effects of Public Transit Route Characteristics and Land-Use Patterns. J. Transp. Geogr. 2021, 93, 103047. [Google Scholar] [CrossRef]
- Lahoorpoor, B.; Faroqi, H.; Sadeghi-Niaraki, A.; Choi, S.M. Spatial Cluster-Based Model for Static Rebalancing Bike Sharing Problem. Sustainability 2019, 11, 3205. [Google Scholar] [CrossRef]
- Ma, X.; Ji, Y.; Yuan, Y.; Van Oort, N.; Jin, Y.; Hoogendoorn, S. A Comparison in Travel Patterns and Determinants of User Demand between Docked and Dockless Bike-Sharing Systems Using Multi-Sourced Data. Transp. Res. Part A Policy Pract. 2020, 139, 148–173. [Google Scholar] [CrossRef]
- Xue, X.; Wang, Z.; Liu, X.; Zhou, Z.; Song, R. A Choice Behavior Model of Bike-Sharing Based on User Perception, Psychological Expectations, and Loyalty. J. Adv. Transp. 2022, 2022, 6695977. [Google Scholar] [CrossRef]
- Sun, C.; Lu, J. Modeling Spatial Riding Characteristics of Bike-Sharing Users Using Hotspot Areas-Based Association Rule Mining. J. Adv. Transp. 2022, 2022, 5705080. [Google Scholar] [CrossRef]
- Ding, C.; Cao, X.; Liu, C. How Does the Station-Area Built Environment Influence Metrorail Ridership? Using Gradient Boosting Decision Trees to Identify Non-Linear Thresholds. J. Transp. Geogr. 2019, 77, 70–78. [Google Scholar] [CrossRef]
- Shao, Q.; Zhang, W.; Cao, X.; Yang, J.; Yin, J. Threshold and Moderating Effects of Land Use on Metro Ridership in Shenzhen: Implications for TOD Planning. J. Transp. Geogr. 2020, 89, 102878. [Google Scholar] [CrossRef]
- Tao, T.; Wang, J.; Cao, X. Exploring the Non-Linear Associations between Spatial Attributes and Walking Distance to Transit. J. Transp. Geogr. 2020, 82, 102560. [Google Scholar] [CrossRef]
- Yu, H.; Peng, Z.-R. Exploring the Spatial Variation of Ridesourcing Demand and Its Relationship to Built Environment and Socioeconomic Factors with the Geographically Weighted Poisson Regression. J. Transp. Geogr. 2019, 75, 147–163. [Google Scholar] [CrossRef]
- Tu, M.; Li, W.; Orfila, O.; Li, Y.; Gruyer, D. Exploring Nonlinear Effects of the Built Environment on Ridesplitting: Evidence from Chengdu. Transp. Res. Part D Transp. Environ. 2021, 93, 102776. [Google Scholar] [CrossRef]
- Zhang, W.; Zhao, Y.; Cao, X.; Lu, D.; Chai, Y. Nonlinear Effect of Accessibility on Car Ownership in Beijing: Pedestrian-Scale Neighborhood Planning. Transp. Res. Part D Transp. Environ. 2020, 86, 102445. [Google Scholar] [CrossRef]
- Bi, H.; Li, A.; Hua, M.; Zhu, H.; Ye, Z. Examining the Varying Influences of Built Environment on Bike-Sharing Commuting: Empirical Evidence from Shanghai. Transp. Policy 2022, 129, 51–65. [Google Scholar] [CrossRef]
- Zhu, L.; Ali, M.; Macioszek, E.; Aghaabbasi, M.; Jan, A. Approaching sustainable bike-sharing development: A systematic review of the influence of built environment features on bike-sharing ridership. Sustainability 2022, 10, 5795. [Google Scholar] [CrossRef]
- Sun, Y.; Mobasheri, A.; Hu, X.; Wang, W. Investigating impacts of environmental factors on the cycling behavior of bicycle-sharing users. Sustainability 2017, 9, 1060. [Google Scholar] [CrossRef]
- El-Assi, W.; Mahmoud, M.S.; Habib, K.N. Effects of built environment and weather on bike sharing demand: A station level analysis of commercial bike sharing in Toronto. Transportation 2017, 44, 589–613. [Google Scholar] [CrossRef]
- Shen, Y.; Zhang, X.; Zhao, J. Understanding the usage of dockless bike sharing in Singapore. Int. J. Sustain. Transp. 2018, 12, 686. [Google Scholar] [CrossRef]
- Zhao, D.; Ong, G.P.; Wang, W.; Hu, X. Effect of built environment on shared bicycle reallocation: A case study on Nanjing, China. Transp. Res. Part A Policy Pract. 2019, 128, 73–88. [Google Scholar] [CrossRef]
- Luan, S.; Li, M.; Li, X.; Ma, X. Effects of Built Environment on Bicycle Wrong Way Riding Behavior: A Data-Driven Approach. Accid. Anal. Prev. 2020, 144, 105613. [Google Scholar] [CrossRef]
- Chen, E.; Ye, Z. Identifying the Nonlinear Relationship between Free-Floating Bike Sharing Usage and Built Environment. J. Clean. Prod. 2021, 280, 124281. [Google Scholar] [CrossRef]
- Li, Z.; Shang, Y.; Zhao, G.; Yang, M. Exploring the Multiscale Relationship between the Built Environment and the Metro-Oriented Dockless Bike-Sharing Usage. Int. J. Environ. Res. Public Health 2022, 19, 2323. [Google Scholar] [CrossRef]
- Alemi, F.; Circella, G.; Handy, S.; Mokhtarian, P. What Influences Travelers to Use Uber? Exploring the Factors Affecting the Adoption of on-Demand Ride Services in California. Travel Behav. Soc. 2018, 13, 88–104. [Google Scholar] [CrossRef]
- Durning, M.; Townsend, C. Direct ridership model of rail rapid transit systems in Canada. Transp. Res. Rec. 2015, 2537, 96–102. [Google Scholar] [CrossRef]
- Özbil Torun, A.; Göçer, K.; Yeşiltepe, D.; Argın, G. Understanding the Role of Urban Form in Explaining Transportation and Recreational Walking among Children in a Logistic GWR Model: A Spatial Analysis in Istanbul, Turkey. J. Transp. Geogr. 2020, 82, 102617. [Google Scholar] [CrossRef]
- Lu, Y.; Sun, G.; Sarkar, C.; Gou, Z.; Xiao, Y. Commuting Mode Choice in a High-Density City: Do Land-Use Density and Diversity Matter in Hong Kong? Int. J. Environ. Res. Public Health 2018, 15, 920. [Google Scholar] [CrossRef]
- Wang, D.G.; Cao, X.Y. Impacts of the built environment on activity-travel behavior: Are there differences between public and private housing residents in Hong Kong? Transp. Res. Part A Policy Pract. 2017, 103, 25–35. [Google Scholar] [CrossRef]
- Li, T.; Jing, P.; Li, L.; Sun, D.; Yan, W. Revealing the Varying Impact of Urban Built Environment on Online Car-Hailing Travel in Spatio-Temporal Dimension: An Exploratory Analysis in Chengdu, China. Sustainability 2019, 11, 1336. [Google Scholar] [CrossRef]
- Hagenauer, J.; Helbich, M. A comparative study of machine learning classifiers for modeling travel mode choice. Expert Syst. Appl. 2017, 78, 273–282. [Google Scholar] [CrossRef]
- Breiman, L. Random Forests. Mach. Learn. 2001, 45, 5–32. [Google Scholar] [CrossRef]
- Cortes, C.; Vapnik, V. Support-Vector Networks. Mach. Learn. 1995, 20, 273–297. [Google Scholar] [CrossRef]
- Friedman, J.H. Greedy function approximation: A gradient boosting machine. Ann. Stat. 2001, 29, 1189–1232. [Google Scholar] [CrossRef]
- Zhuang, C.; Li, S.; Tan, Z.; Gao, F.; Wu, Z. Nonlinear and Threshold Effects of Traffic Condition and Built Environment on Dockless Bike Sharing at Street Level. J. Transp. Geogr. 2022, 102, 103375. [Google Scholar] [CrossRef]
- Chen, T.; Guestrin, C. XGBoost: A Scalable Tree Boosting System. In Proceedings of the 22nd ACM SIGKDD International Conference on Knowledge Discovery and Data Mining (KDD), San Francisco, CA, USA, 13 August 2016. [Google Scholar]
- Luo, Y.; Liu, Y.; Tong, Z.; Wang, N.; Rao, L. Capturing gender-age thresholds disparities in built environment factors affecting injurious traffic crashes. Travel Behav. Soc. 2023, 30, 21–37. [Google Scholar]
- Yi, Z.; Liu, X.C.; Markovic, N.; Phillips, J. Inferencing hourly traffic volume using data-driven machine learning and graph theory. Comput. Environ. Urban Syst. 2021, 85, 101548. [Google Scholar] [CrossRef]
- Digital China Innovation Contest, DCIC. Fu Zhou, China. 2021. Available online: https://data.xm.gov.cn/contest-series/digit-china-2021/index.html#/3/competition_data (accessed on 10 May 2024).
- Gaode Map. Gaode API. 2021. Available online: https://lbs.amap.com/api/webservice/guide/api/search (accessed on 10 May 2024).
- Cervero, R.; Kockelman, K. Travel Demand and the 3Ds: Density, Diversity, and Design. Transp. Res. Part D Transp. Environ. 1997, 2, 199–219. [Google Scholar] [CrossRef]
- Hastie, T.; Tibshirani, R.; Friedman, J. The Elements of Statistical Learning: Data Mining, Inference, and Prediction; Springer Science & Business Media: Berlin/Heidelberg, Germany, 2009. [Google Scholar]











| Traffic Modes | Travel Behaviors | Methodologies |
|---|---|---|
| Rail transit | Metro ridership at station level [12] | GBDT |
| Metro ridership in Shenzhen [13] | GBDT | |
| Bus | Bus commuting [12] | Semi-parametric multilevel mixed logit |
| Walking | Walking distance to transit [14] | GBDT |
| Transport walking [29] | GWR | |
| Ridesourcing | Spatial variation of ridesourcing demand [15] | GWPR model |
| Ridesplitting [16] | GBDT | |
| Private vehicles | Car ownership [17] | GBDT |
| Bike-sharing | The usage of bicycle-sharing service [20] | Linear mixed-effects model |
| Bike-sharing demand in Toronto [21] | OLS regression model | |
| Bike-sharing service usage in Singapore [22] | Spatial autoregressive models | |
| Shared bicycle reallocation [23] | ZINB model | |
| Bicycle retrograde [24] | NBADT | |
| Bike-sharing demand [25] | GBRT | |
| Metro-oriented dockless bike-sharing usage [26] | MGWR |
| Variables | Variable Description | Mean | S.D. | Min | Max |
|---|---|---|---|---|---|
| Orders | |||||
| Daily OD bike-sharing ridership | Number of bike-sharing ridership from 21 to 25 December 2020 | 9.41 | 42.01 | 0.25 | 1747.75 |
| Built environment | |||||
| Population density | Population/area size (person per km2) | 25,118.58 | 16,232.40 | 9.75 | 84,332.96 |
| Local population density | Local population/area size (person per km2) | 14,888.19 | 12,646.27 | 0 | 61,492.02 |
| Transportation density | Number of transportation facilities/area size (facility per km2) | 93.62 | 70.81 | 1.14 | 347.06 |
| Public facilities and services density | Number of public service facilities/area size (facility per km2) | 173.04 | 125.36 | 6.67 | 560.70 |
| Subway density | Number of subway stations/area size (facility per km2) | 0.39 | 1.07 | 0 | 6.54 |
| Bus density | Number of bus stations/area size (facility per km2) | 6.52 | 4.39 | 0 | 25.45 |
| POI density | Number of POI/area size (facility per km2) | 1097.31 | 861.02 | 19.86 | 4594.82 |
| Commercial ratio | Number of commercial locations/number of POI | 59.91% | 12.22% | 25.86% | 86.94% |
| Residential ratio | Number of residential locations/number of POI | 6.20% | 2.87% | 0.57% | 18.84% |
| Industrial ratio | Number of industrial locations/number of POI | 6.74% | 5.90% | 0.40% | 34.40% |
| Area | Area of every tract (km2) | 1.02 | 1.57 | 0.08 | 11.69 |
| Road density | Length of the road/area size (km/km2) | 5.92 | 4.58 | 0 | 23.14 |
| Travel impedance variable | |||||
| Duration | Average riding time for OD bike-sharing orders (s) | 1154.35 | 800.01 | 70.00 | 10,069.00 |
Disclaimer/Publisher’s Note: The statements, opinions and data contained in all publications are solely those of the individual author(s) and contributor(s) and not of MDPI and/or the editor(s). MDPI and/or the editor(s) disclaim responsibility for any injury to people or property resulting from any ideas, methods, instructions or products referred to in the content. |
© 2024 by the authors. Licensee MDPI, Basel, Switzerland. This article is an open access article distributed under the terms and conditions of the Creative Commons Attribution (CC BY) license (https://creativecommons.org/licenses/by/4.0/).
Share and Cite
Chen, M.; Wang, T.; Liu, Z.; Li, Y.; Tu, M. Nonlinear and Threshold Effects of the Built Environment on Dockless Bike-Sharing. Sustainability 2024, 16, 7690. https://doi.org/10.3390/su16177690
Chen M, Wang T, Liu Z, Li Y, Tu M. Nonlinear and Threshold Effects of the Built Environment on Dockless Bike-Sharing. Sustainability. 2024; 16(17):7690. https://doi.org/10.3390/su16177690
Chicago/Turabian StyleChen, Ming, Ting Wang, Zongshi Liu, Ye Li, and Meiting Tu. 2024. "Nonlinear and Threshold Effects of the Built Environment on Dockless Bike-Sharing" Sustainability 16, no. 17: 7690. https://doi.org/10.3390/su16177690
APA StyleChen, M., Wang, T., Liu, Z., Li, Y., & Tu, M. (2024). Nonlinear and Threshold Effects of the Built Environment on Dockless Bike-Sharing. Sustainability, 16(17), 7690. https://doi.org/10.3390/su16177690

