Isolation and Characterisation of Hordatine-Rich Fractions from Brewer’s Spent Grain and Their Biological Activity on α-Glucosidase and Glycogen Phosphorylase α
Abstract
:1. Introduction
2. Materials and Methods
2.1. Chemicals
2.2. Brewer’s Spent Grain (BSG) Sample
2.3. Isolation, Purification and Fractionation
2.4. Enhanced Resolution LC-ESI-MS(/MS) Analysis
2.5. Quantification of Total Hordatine Content by HPLC–DAD
2.6. α-Glucosidase Inhibition Assay
2.7. Glycogen Phosphorylase α (GPα) Inhibition Assay
2.8. Statistical Analysis
3. Results
3.1. Isolation of Hordatines from BSG
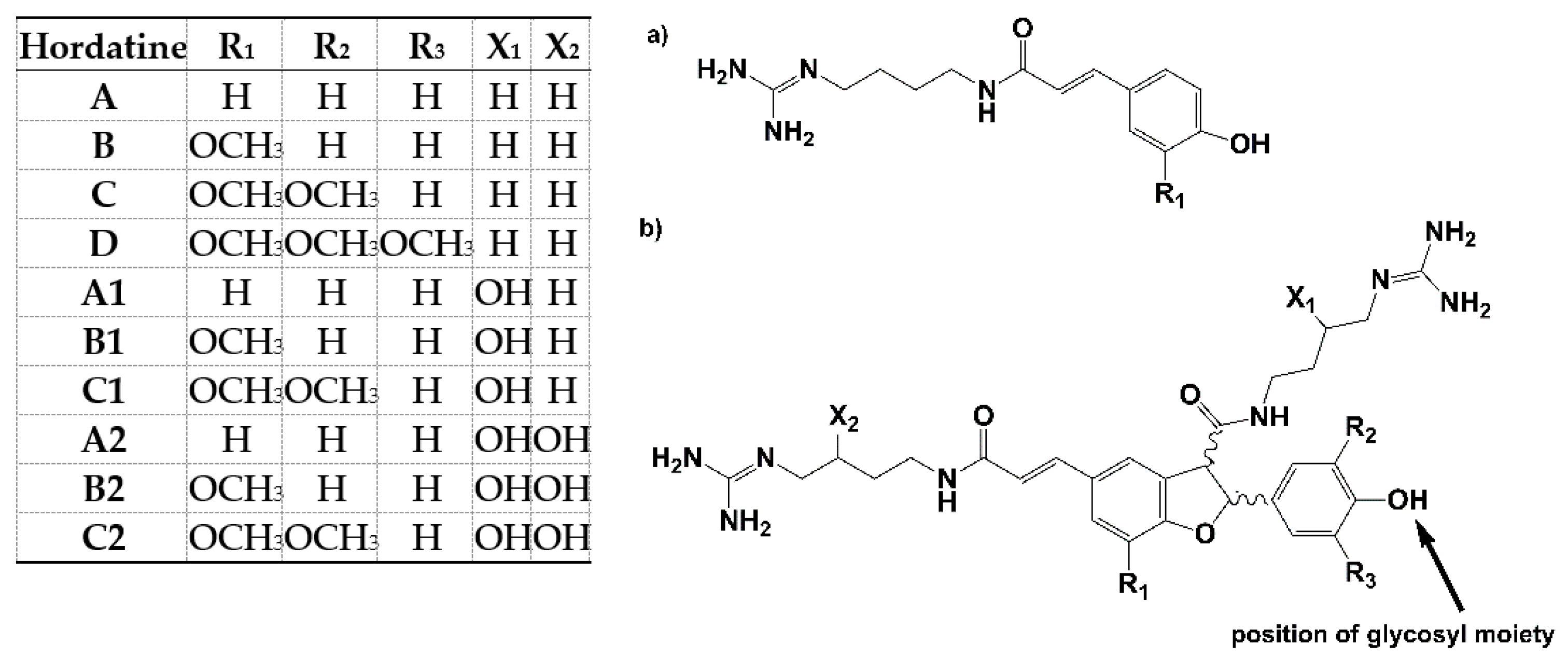
3.2. Characterisation of Fractions: Structure Determination by Mass Spectrometry and Quantification of Total Hordatine Content
3.2.1. Hordatine and Other Phenolamide Derivatives Determined in Isolated Fractions
3.2.2. Total Hordatine Content in Isolated Fractions
3.3. Influence of Hordatine-Rich Fractions on Glucose Metabolism Enzymes
3.3.1. Inhibitory Potential towards α-Glucosidase Activity
3.3.2. Inhibitory Effect on GPα Activity
4. Discussion
4.1. Structural Elucidation of Hordatines and Their Quantification in Isolated Fractions
4.2. Inhibitory Activity towards Glucose Metabolism Enzymes
5. Conclusions
Author Contributions
Funding
Institutional Review Board Statement
Informed Consent Statement
Data Availability Statement
Acknowledgments
Conflicts of Interest
Abbreviations
| ACT | Agmatine coumaroyltransferase; |
| ADC | arginin decarboxylase; |
| BSG | brewer´s spent grain; |
| CAD | collision gas; |
| CE | collision energy; |
| CEP | collision cell entrance potential; |
| CES | collisional energy spread; |
| CoA-ligase | coenzyme A-ligase; |
| CUR | curtain gas; |
| ddH2O | double destilled water; |
| DP | declustering potential; |
| dw | dry weight; |
| EMS | enhanced MS |
| EP | entrance potential; |
| EPI | enhanced product ion; |
| ESI | electrospray ionisation; |
| EXB | exit lens voltage; |
| FP | focusing potential; |
| G6PDH | glucose-6-phosphate dehydrogenase; |
| GPα | glycogen phosphorylase α; |
| hex, | hexoside; |
| IC50 | inhibitory concentration 50%; |
| IS | internal standard; |
| ISV | ion spray voltage; |
| LIT | linear ion trap; |
| PBS | phosphate buffer saline; |
| pCA-Eq | p-coumaric acid equivalents; |
| PGM | phosphoglucomutase; |
| pNPG | 4-nitrophenyl-β-D-glucopyranoside |
| T | temperature; |
| SD | standard deviation; |
References
- Verni, M.; Pontonio, E.; Krona, A.; Jacob, S.; Pinto, D.; Rinaldi, F.; Verardo, V.; Díaz-de-Cerio, E.; Coda, R.; Rizzello, C.G. Bioprocessing of brewers’ spent grain enhances its antioxidant activity: Characterization of phenolic compounds and bioactive peptides. Front. Microbiol. 2020, 11, 1831. [Google Scholar] [CrossRef]
- Birsan, R.I.; Wilde, P.; Waldron, K.W.; Rai, D.K. Recovery of polyphenols from brewer’s spent grains. Antioxidants 2019, 8, 380. [Google Scholar] [CrossRef] [Green Version]
- Nomura, T.; Sue, M.; Horikoshi, R.; Tebayashi, S.; Ishihara, A.; Endo, T.R.; Iwamura, H. Occurrence of hordatines, the barley antifungal compounds, in a wheat-barley chromosome addition line. Genes Genet. Syst. 1999, 74, 99–103. [Google Scholar] [CrossRef] [Green Version]
- Von Röpenack, E.; Parr, A.; Schulze-Lefert, P. Structural analyses and dynamics of soluble and cell wall-bound phenolics in a broad spectrum resistance to the powdery mildew fungus in barley. J. Biol. Chem. 1998, 273, 9013–9022. [Google Scholar] [CrossRef] [Green Version]
- Pihlava, J.-M.; Kurtelius, T.; Hurme, T. Total hordatine content in different types of beers. J. Inst. Brew. 2016, 122, 212–217. [Google Scholar] [CrossRef]
- Becker, D.; Stegmüller, S.; Richling, E. Characterisation of brewer’s spent grain extracts by tandem mass spectrometry and HPLC-DAD: Ferulic acid dehydrodimers, phenolamides and oxylipins. Anal. Bioanal. Chem. 2022; submitted and under review. [Google Scholar]
- Stoessl, A. The antifungal factors in barley. IV. Isolation, structure, and synthesis of the hordatines. Can. J. Chem. 1967, 45, 1745–1760. [Google Scholar] [CrossRef]
- Kohyama, N.; Ono, H. Hordatine A β-D-glucopyranoside from ungerminated barley grains. J. Agric. Food Chem. 2013, 61, 1112–1116. [Google Scholar] [CrossRef]
- Spreng, S.; Hofmann, T. Activity-guided identification of in vitro antioxidants in beer. J. Agric. Food Chem. 2018, 66, 720–731. [Google Scholar] [CrossRef]
- Becker, D.; Bakuradze, T.; Hensel, M.; Beller, S.; Yélamos, C.C.; Richling, E. Influence of brewer’s spent grain compounds on glucose metabolism enzymes. Nutrients 2021, 13, 2696. [Google Scholar] [CrossRef]
- Adisakwattana, S. Cinnamic acid and its derivatives: Mechanisms for prevention and management of diabetes and its complications. Nutrients 2017, 9, 163. [Google Scholar] [CrossRef] [Green Version]
- Narasimhan, A.; Chinnaiyan, M.; Karundevi, B. Ferulic acid regulates hepatic GLUT2 gene expression in high fat and fructose-induced type-2 diabetic adult male rat. Eur. J. Pharmacol. 2015, 761, 391–397. [Google Scholar] [CrossRef]
- Narasimhan, A.; Chinnaiyan, M.; Karundevi, B. Ferulic acid exerts its antidiabetic effect by modulating insulin-signalling molecules in the liver of high-fat diet and fructose-induced type-2 diabetic adult male rat. Appl. Physiol. Nutr. Metab. 2015, 40, 769–781. [Google Scholar] [CrossRef]
- Roumani, M.; Besseau, S.; Gagneul, D.; Robin, C.; Larbat, R. Phenolamides in plants: An update on their function, regulation, and origin of their biosynthetic enzymes. J. Exp. Bot. 2021, 72, 2334–2355. [Google Scholar] [CrossRef]
- Assefa, S.T.; Yang, E.-Y.; Asamenew, G.; Kim, H.-W.; Cho, M.-C.; Lee, J. Identification of α-glucosidase inhibitors from leaf extract of pepper (Capsicum spp.) through metabolomic analysis. Metabolites 2021, 11, 649. [Google Scholar] [CrossRef]
- Moradi-Afrapoli, F.; Asghari, B.; Saeidnia, S.; Ajani, Y.; Mirjani, M.; Malmir, M.; Dolatabadi Bazaz, R.; Hadjiakhoondi, A.; Salehi, P.; Hamburger, M.; et al. In vitro α-glucosidase inhibitory activity of phenolic constituents from aerial parts of Polygonum hyrcanicum. Daru 2012, 20, 37. [Google Scholar] [CrossRef] [Green Version]
- Liu, X.; Luo, J.; Kong, L. Phenylethyl cinnamides as potential alpha-glucosidase inhibitors from the roots of Solanum Melongena. Nat. Prod. Commun. 2011, 6, 851–853. [Google Scholar]
- Burhenne, K.; Kristensen, B.K.; Rasmussen, S.K. A new class of N-hydroxycinnamoyltransferases. Purification, cloning, and expression of a barley agmatine coumaroyltransferase (EC 2.3.1.64). J. Biol. Chem. 2003, 278, 13919–13927. [Google Scholar] [CrossRef] [Green Version]
- Gorzolka, K.; Bednarz, H.; Niehaus, K. Detection and localization of novel hordatine-like compounds and glycosylated derivates of hordatines by imaging mass spectrometry of barley seeds. Planta 2014, 239, 1321–1335. [Google Scholar] [CrossRef]
- Pihlava, J.-M. Identification of hordatines and other phenolamides in barley (Hordeum vulgare) and beer by UPLC-QTOF-MS. J. Cereal Sci. 2014, 60, 645–652. [Google Scholar] [CrossRef]
- Gorzolka, K.; Kölling, J.; Nattkemper, T.W.; Niehaus, K. Spatio-temporal metabolite profiling of the barley germination process by MALDI MS imaging. PLoS ONE 2016, 11, e0150208. [Google Scholar] [CrossRef]
- European Commission. Joint Research Centre. Guidance Document on the Estimation of LOD and LOQ for Measurements in the Field of Contaminants in Feed and Food; Institute for Reference Materials and Measurements (IRMM): Geel, Belgium, 2016. [Google Scholar]
- Mandal, D.; Köhrer, C.; Su, D.; Russell, S.P.; Krivos, K.; Castleberry, C.M.; Blum, P.; Limbach, P.A.; Söll, D.; RajBhandary, U.L. Agmatidine, a modified cytidine in the anticodon of archaeal tRNA(Ile), base pairs with adenosine but not with guanosine. Proc. Natl. Acad. Sci. USA 2010, 107, 2872–2877. [Google Scholar] [CrossRef] [Green Version]
- Dong, X.; Gao, Y.; Chen, W.; Wang, W.; Gong, L.; Liu, X.; Luo, J. Spatiotemporal distribution of phenolamides and the genetics of natural variation of hydroxycinnamoyl spermidine in rice. Mol. Plant 2015, 8, 111–121. [Google Scholar] [CrossRef] [Green Version]
- Lynch, K.M.; Steffen, E.J.; Arendt, E.K. Brewers’ spent grain: A review with an emphasis on food and health. J. Inst. Brew. 2016, 122, 553–568. [Google Scholar] [CrossRef]
- Kunze, W. Technology Brewing Malting, 4th ed.; VLB: Berlin, Germany, 2010. [Google Scholar]
- Yamaji, N.; Yokoo, Y.; Iwashita, T.; Nemoto, A.; Koike, M.; Suwa, Y.; Wakimoto, T.; Tsuji, K.; Nukaya, H. Structural determination of two active compounds that bind to the muscarinic M3 receptor in beer. Alcohol. Clin. Exp. Res. 2007, 31, S9–S14. [Google Scholar] [CrossRef]
- Visnapuu, T.; Meldre, A.; Põšnograjeva, K.; Viigand, K.; Ernits, K.; Alamäe, T. Characterization of a maltase from an early-diverged non-conventional yeast blastobotrys adeninivorans. Int. J. Mol. Sci. 2019, 21, 297. [Google Scholar] [CrossRef] [Green Version]
- Hayes, J.M.; Kantsadi, A.L.; Leonidas, D.D. Natural products and their derivatives as inhibitors of glycogen phosphorylase: Potential treatment for type 2 diabetes. Phytochem. Rev. 2014, 13, 471–498. [Google Scholar] [CrossRef]
- Dahab, M.A.; Hegazy, M.M.; Abbass, H.S. Hordatines as a potential inhibitor of COVID-19 main protease and RNA polymerase: An in-silico approach. Nat. Prod. Bioprospect. 2020, 10, 453–462. [Google Scholar] [CrossRef]
- Colen, L.; Swinnen, J. Economic growth, globalisation and beer consumption. J. Agric. Econ. 2016, 67, 186–207. [Google Scholar] [CrossRef]
- Mussatto, S.I.; Dragone, G.; Roberto, I.C. Brewers’ spent grain: Generation, characteristics and potential applications. J. Cereal Sci. 2006, 43, 1–14. [Google Scholar] [CrossRef]
- Steiner, J.; Procopio, S.; Becker, T. Brewer’s spent grain: Source of value-added polysaccharides for the food industry in reference to the health claims. Eur. Food Res. Technol. 2015, 241, 303–315. [Google Scholar] [CrossRef]
- Sullivan, P.; Arendt, E.; Gallagher, E. The increasing use of barley and barley by-products in the production of healthier baked goods. Trends Food Sci. Technol. 2013, 29, 124–134. [Google Scholar] [CrossRef]









| Fraction | Total Yield [mg] | Yield Related on Defatted dw BSG [mg/100 g] | Fraction | Total Yield [mg] | Yield Related on Defatted dw BSG [mg/100 g] |
|---|---|---|---|---|---|
| 1 | 1.10 | 0.76 | 7 | 1.04 | 0.72 |
| 2 | 1.26 | 0.87 | 8 | 1.09 | 0.75 |
| 3 | 1.04 | 0.72 | 9 | 7.08 | 4.89 |
| 4 | 1.07 | 0.74 | 10 | 3.03 | 2.09 |
| 5 | 1.24 | 0.86 | leftovers | 2.39 | 1.65 |
| 6 | 1.20 | 0.83 | |||
| Yield in total | 21.52 mg | 14.84 | |||
| Fraction | m/z of [M+2H]2+ and Related Retention Time(s) [min] a | Main Hordatine or Phenolamide b |
|---|---|---|
| 1 | 519 (11.0, 12.1, 12.9), 534 (10.7, 11.2), 453 (10.8, 11.1, 11.8, 13.5), 438 (11.2, 12.3, 12.8, 13.7) | HA-dihex/trihex; HB-dihex/trihex |
| 2 | 372 (12.1, 13.8), 357 (12.7, 13.9), 438 (12.4, 13.7), 453 (11.9, 13.6) | HA-hex/dihex; HB-hex/dihex |
| 3 | 357 (12.2, 12.5, 13.8, 13.9), 387 (12.6, 14.4), 468 (12.0, 12.4, 14.2), 372 (11.5, 12.0, 13.8), 438 (12.4, 13.8), 519 (10.6, 11.0, 11.5, 12.1), 534 (10.7, 12.5), 549 (11.8, 12.4, 14.1, 15.1) | HA/B/C-hex, HC-dihex |
| 4 | 453 (11.2, 12.9), 438 (11.5, 12.9), 387 (12.6, 14.4), 395 (11.7, 12.9), 380 (10.6, 11.2, 11.5, 12.0, 13.0), 534 (10.8, 11.3, 12.3, 13.0, 14), 519 (11.5, 13.1), 549 (11.5, 12.8, 13.2, 14.3), 365 (11.5, 11.9, 12.3, 12.9, 13.1), 372 (12, 13.3, 13.8, 14.7) | HA/B-dihex, HC-hex, HC1-hex |
| 5 | 438 (12.4, 13.8), 453 (11.9, 13.6), 372 (11.4, 12.0, 13.8), 357 (12.2, 12.6, 13.6, 14.1), 519 (12.5, 13.3, 13.8), 534 (11.3, 12.0, 12.6, 13.7, 13.9), 292 (14.3, 15.6), 307 (13.6, 14.0, 15.3, 16.0), 322 (12.8, 14.7, 16.1) | HA-hex/dihex; HB-hex/dihex |
| 6 | 387 (12.6, 14.3), 357 (12.5, 13.9), 468 (12.6, 12.8, 14.3, 14.5), 372 (12, 13.8), 551c (16.7), 299 (14.7, 17.2), 284 (16.6), 307 (13.6, 14, 14.9, 15.3, 17.6) | HA-hex, HC-hex/dihex |
| 7 | 291 (16.0, 18.5), 299 (14.8, 15.2, 16.5, 17.3, 18.0), 284 (15.7, 17.6), 387 (12.6, 14.4), 372 (13.1, 14.6), 567 c (17.6), 581 c (16.0, 18.3), 551 c (16.8, 18.8), 314 (15.4, 17.2, 17.9) | HB, HA1, HB1, HC-hex |
| 8 | 276 (16.7, 18.7), 277 c (13.7, 16.2), 291 (15.9, 18.3), 307 (13.6, 15.2), 551 c (16.6, 18.6) | HA, HB, HB2, N-coumaroylagmatine |
| 9 | 291 (16.5, 18.9, 19.1), 276 (16.7, 18.7), 581 c (16.1, 18.5), 551 c (16.7; 18.5), 306 (16.6, 19.1), 299 (14.7, 17.3), 284 (15.7, 17.6), 321 (18.0, 19.1, 19.8) | HA/B |
| 10 | 276 (16.7, 18.7), 291 (15.9, 18.4), 581 c (15.9, 18.4), 551 c (16.9; 18.6), 306 (16.6, 19.1) | HA/B/C |
| Hordatine/Phenolamide Derivative | Retention Time [min] a | m/z [M+2H]2+ | Fragment Ions [m/z] |
|---|---|---|---|
| N-coumaroylagmatine | 13.7, 16.2 | 277 b | 277, 147, 91, 119 |
| N-feruloylagmatine | 14.9, 17.5 | 307 b | 307, 177, 145, 134, 117, 89, 290, 149 |
| HA | 16.7, 18.7 | 276 | 395, 276, 291, 263, 421, 207, 98, 131, 114, 157, 189, 178, 219, 235, 247, 265, 534, 378, 379 |
| HB | 16.5, 18.9, 19.3 | 291 | 291, 278, 321, 425, 295, 114, 131, 157, 165, 262, 293, 221, 207, 178, 189, 451, 366, 564 |
| HC | 16.6, 19.1 | 306 | 306, 351, 455, 265, 157, 114, 131, 98, 293, 325, 481, 594, 336, 221, 237, 165, 277, 297 |
| HD c | 19.1, 19.8 | 321 | 321, 177, 485, 165, 381, 355, 337, 426, 249, 147, 131, 98, 511 |
| HA1 | 15.7, 17.6 | 284 | 291, 284, 189, 147, 178, 395, 265, 263, 235, 255, 173, 114, 437, 478, 533, 550, 378, 411 |
| HB1 | 14.7, 15.2, 16.6, 17.3, 18 | 299 | 299, 321, 278, 293, 147, 165, 425, 173, 270, 114, 467, 178, 581, 441, 408 |
| HC1 | 15.4, 17.2, 17.9 | 314 | 314, 351, 308, 265, 293, 147, 130, 114, 455, 173, 471, 497, 325, 593, 611 |
| HA2 | 14.3, 15.6 | 292 | 292, 411, 291, 178, 189, 263, 207, 235, 454, 147, 393, 549, 283, 265, 173 |
| HB2 | 13.6, 14, 15.3, 16 | 307 | 307, 321, 441, 278, 147, 423, 293, 298, 467, 484, 165, 173, 579, 596, 194, 207, 235, 130 |
| HC2 | 12.8, 14.7, 16.1 | 322 | 322, 351, 471, 308, 265, 173, 147, 497, 453, 514, 130, 609, 626 |
| HA-hex | 12.7, 14 | 357 | 357, 276, 291, 265, 534, 263, 395, 551, 247, 219, 157, 131, 114, 421, 97, 98, 509 |
| HB-hex | 12.1, 13.3, 13.8, 14.7 | 372 | 372, 291, 321, 425, 295, 293, 278, 564, 157, 581, 451, 114, 98, 539, 297, 235, 726 |
| HC-hex | 12.6, 14.4 | 387 | 387, 306, 351, 293, 325, 455, 595, 481, 323, 265, 237, 157, 131, 114, 98, 611 |
| HA1-hex | 11.5, 11.9, 12.3, 12.9, 13.1 | 365.6 | 365.6, 284, 265, 266, 263, 291, 207, 235, 247, 438, 551, 335, 307, 568, 131, 98 |
| HB1-hex | 10.6, 11.2, 11.5, 12, 13 | 380 | 380, 299, 321, 293, 278, 362, 425, 295, 467, 580, 173, 147 |
| HC1-hex | 11.7, 12.9 | 395 | 395, 314, 351, 610, 323, 471, 308, 265, 157, 627, 114, 98, 131, 480, 481, 453 |
| HA-dihex | 12.4, 13.7, 13.9 | 438 | 438, 291, 265, 395, 551, 263, 247, 357, 421, 534, 696, 509, 157, 131, 114, 98, 713 |
| HB-dihex | 11.9, 13.6 | 453 | 453, 425, 321, 295, 291, 278, 293, 277, 581, 564, 539, 372, 157, 114, 98, 97, 726, 743 |
| HC-dihex | 12.6, 12.8, 14.3, 14.5 | 468.6 | 468.6, 351, 306, 455, 612, 595, 325, 293, 157, 114, 131, 265, 98, 757, 569, 481 |
| HA-trihex | 11, 12.1, 12.9, 12.5, 13.3, 13.8 | 519 | 519, 265, 276, 291, 292, 357, 438, 534, 551, 713, 875, 859, 696, 263, 247, 219 |
| HB-trihex | 12, 12.6, 13.7, 14 | 534 | 534, 291, 265, 295, 321, 743, 581, 451, 425, 517, 277, 247, 219, 113, 905 |
| HC-trihex | 12.5, 14.1, 15.1 | 549 | 549, 306, 611, 351, 455, 325, 481, 773, 569, 594, 293, 756, 935, 157 |
| Fraction | Hordatines [µg pCA-Eq/mg Fraction] ± R (without Correction Factor) | Hordatines [µg pCA-Eq/mg Fraction] ± R (with Correction Factor) |
|---|---|---|
| 1 | 88.4 ± 3.9 | 441.9 ± 19.7 |
| 2 | 63.7 ± 1.7 | 318.3 ± 8.4 |
| 3 | 77.3 ± 2.7 | 386.5 ± 13.3 |
| 4 | 153.9 ± 0.4 | 769.3 ± 2.1 |
| 5 | 106.5 ± 0.5 | 532.3 ± 2.5 |
| 6 | 60.7 ± 3.1 | 303.6 ± 15.3 |
| 7 | 112.4 ± 4.4 | 561.9 ± 21.8 |
| 8 | 65.1 ± 4.7 | 325.3 ± 23.5 |
| 9 | 259.6 ± 6.1 | 1298. 1 ± 30.4 |
| 10 | 229.5 ± 11.0 | 1147.6 ± 54.8 |
| Fragment Ion [m/z] | Chemical Formula | Neutral Loss [Da] | Moiety |
|---|---|---|---|
| 157 | C6H13N4O+ | 17 | NH3 |
| 131 | C5H15N4+ | 18 | H2O |
| 114 | C5H12N3+ | 162 | C6H12O6 (hexose) |
| 98 | C5H8NO+ | 42 | CN2H2 |
| 72 | C4H10N+ | 59 | CN3H5 |
| 173 | C6H13N4O2+ | 156 | C6H12N4O |
| 147 | C5H15N4O+ | 130 | C5H14N4 |
| 129 | C5H13N4+ | 146 | C5H14N4O |
| 189 | - | 172 | C6H12N4O2 |
| 178 | - | 28 | CO |
| 165 | - | 15 | CH3. |
| 30 | OCH3: |
Publisher’s Note: MDPI stays neutral with regard to jurisdictional claims in published maps and institutional affiliations. |
© 2022 by the authors. Licensee MDPI, Basel, Switzerland. This article is an open access article distributed under the terms and conditions of the Creative Commons Attribution (CC BY) license (https://creativecommons.org/licenses/by/4.0/).
Share and Cite
Becker, D.; Permann, S.; Bakuradze, T.; Stegmüller, S.; Richling, E. Isolation and Characterisation of Hordatine-Rich Fractions from Brewer’s Spent Grain and Their Biological Activity on α-Glucosidase and Glycogen Phosphorylase α. Sustainability 2022, 14, 8421. https://doi.org/10.3390/su14148421
Becker D, Permann S, Bakuradze T, Stegmüller S, Richling E. Isolation and Characterisation of Hordatine-Rich Fractions from Brewer’s Spent Grain and Their Biological Activity on α-Glucosidase and Glycogen Phosphorylase α. Sustainability. 2022; 14(14):8421. https://doi.org/10.3390/su14148421
Chicago/Turabian StyleBecker, Daniela, Sandra Permann, Tamara Bakuradze, Simone Stegmüller, and Elke Richling. 2022. "Isolation and Characterisation of Hordatine-Rich Fractions from Brewer’s Spent Grain and Their Biological Activity on α-Glucosidase and Glycogen Phosphorylase α" Sustainability 14, no. 14: 8421. https://doi.org/10.3390/su14148421
APA StyleBecker, D., Permann, S., Bakuradze, T., Stegmüller, S., & Richling, E. (2022). Isolation and Characterisation of Hordatine-Rich Fractions from Brewer’s Spent Grain and Their Biological Activity on α-Glucosidase and Glycogen Phosphorylase α. Sustainability, 14(14), 8421. https://doi.org/10.3390/su14148421

