Does Circular Reuse of Chickpea Cooking Water to Produce Vegan Mayonnaise Reduce Environmental Impact Compared with Egg Mayonnaise?
Abstract
1. Introduction
2. Materials and Methods
2.1. Goal, Scope and Boundary Definition
- (A)
- How sensitive are the environmental burdens of sunflower oil production to a different production method?
- (B)
- How sensitive are the environmental burdens of sunflower oil production to different geographical origins?
- (C)
- How does sunflower oil production compare with oils from different crops?
2.2. Mayonnaise Inventory
2.2.1. Vegan Mayonnaise
2.2.2. Egg Mayonnaise
3. Results
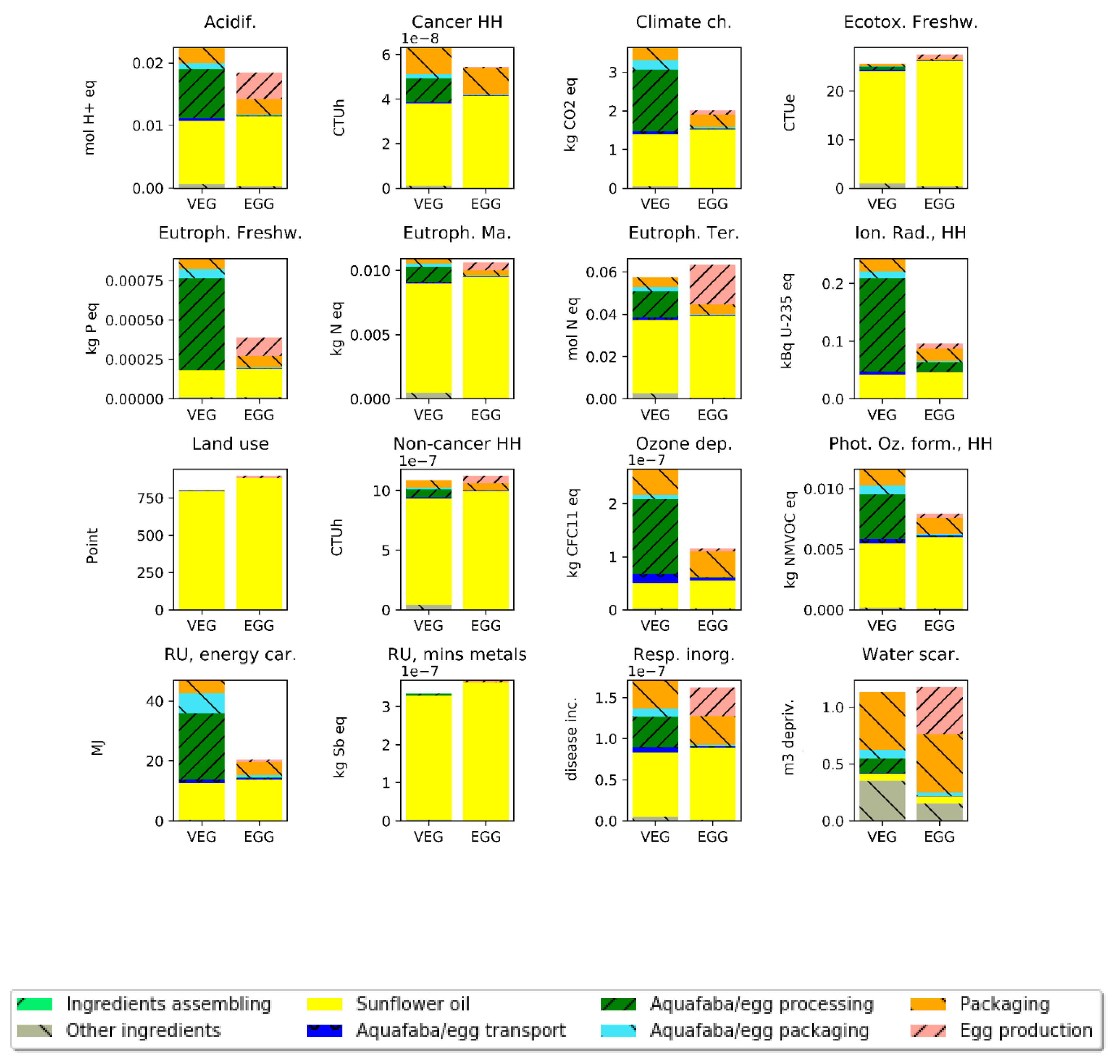
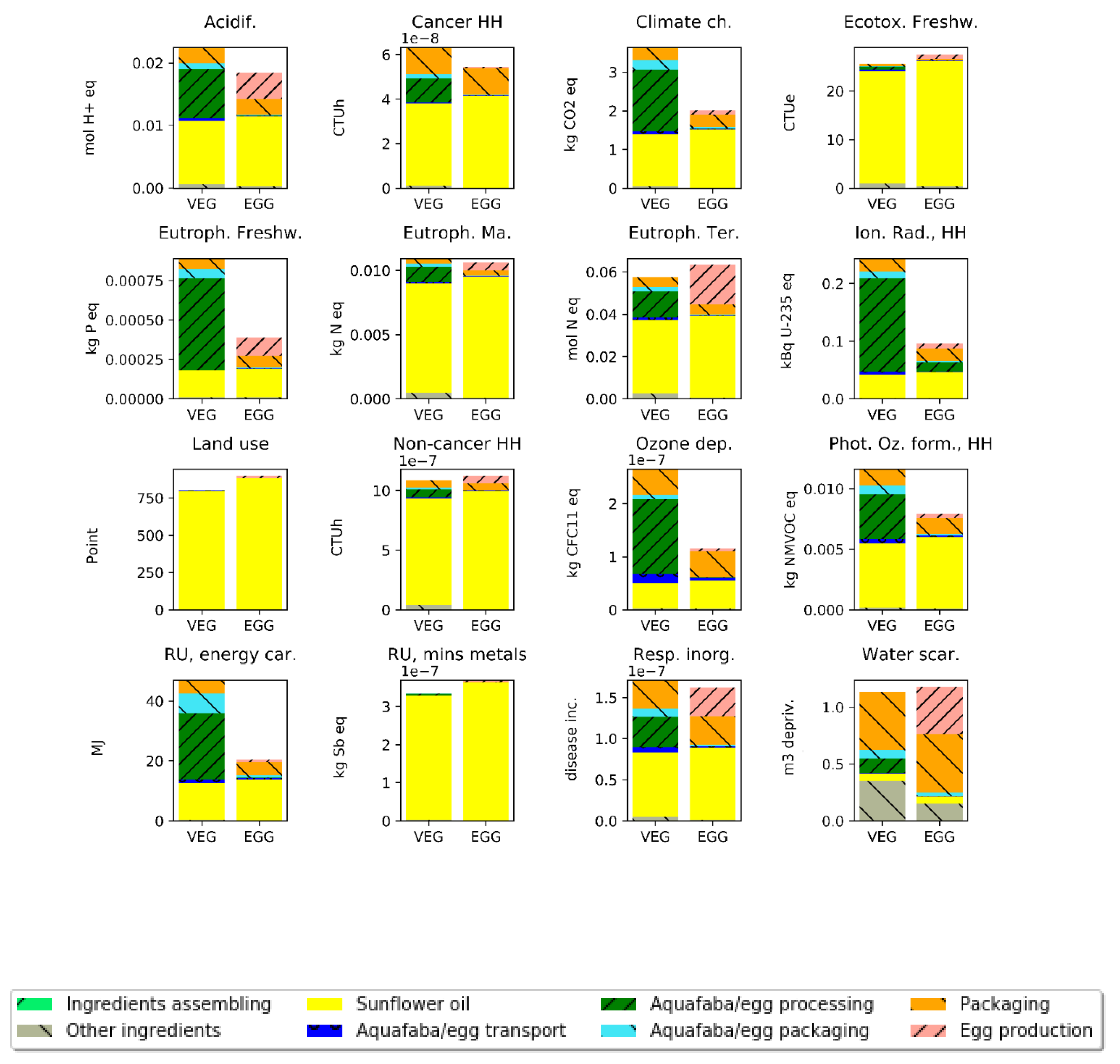
3.1. General Environmental Results
3.2. Sensitivity Analyses
3.2.1. Electricity for Aquafaba Processing
3.2.2. Type of Oil Used
Environmental Differences of Alternative Production Method of Sunflower Oil
Environmental Differences of Sunflower Oil Production from Varying Geographical Origins
Environmental Differences of Other Vegetable Oils
4. Discussion
5. Conclusions
Author Contributions
Funding
Institutional Review Board Statement
Informed Consent Statement
Data Availability Statement
Conflicts of Interest
Appendix A
| Transport Mode | Units | UA | CN | AR | BR | DE | BE |
|---|---|---|---|---|---|---|---|
| Oil transport, truck > 32 t | km | 1000 | 1000 | 1000 | 1000 | 1000 | 1000 |
| Oil transport, ship | km | 11,798 | 27,375 | 13,755 | 14,484 | 7216 | 7254 |
| N (kg) | Manure (kg) | P (kg) | K (kg) | |
|---|---|---|---|---|
| Ukraine | 0.0158 | 0.2693 | 0.0203 | 0.0066 |
| China | 0.0423 | 0.6135 | 0.0106 | 0.0052 |
| Argentina | 0.0056 | 0.1493 | 0.0039 | 0 |


| Economic Allocation, Weight FU | ||||
|---|---|---|---|---|
| Meaning of Result > | Is the Mean Impact of j at Least 0.2 Standard Deviation Units Significantly Lower than that of k? | |||
| No | Yes | |||
| Impact | ||||
| Acidification terrestrial and freshwater | j↓ k→ | VEG | EGG | CA |
| VEG | no | no | ||
| EGG | yes | no | ||
| CA | yes | yes | ||
| Cancer Human Health | j↓ k→ | VEG | EGG | CA |
| VEG | yes | no | ||
| EGG | no | no | ||
| CA | yes | yes | ||
| Climate Change | j↓ k→ | VEG | EGG | CA |
| VEG | no | no | ||
| EGG | yes | yes | ||
| CA | yes | no | ||
| Ecotoxicity freshwater | j↓ k→ | VEG | EGG | CA |
| VEG | yes | no | ||
| EGG | no | no | ||
| CA | yes | yes | ||
| Eutrophication freshwater | j↓ k→ | VEG | EGG | CA |
| VEG | no | no | ||
| EGG | yes | no | ||
| CA | yes | yes | ||
| Eutrophication marine | j↓ k→ | VEG | EGG | CA |
| VEG | no | no | ||
| EGG | no | no | ||
| CA | yes | no | ||
| Eutrophication terrestrial | j↓ k→ | VEG | EGG | CA |
| VEG | no | no | ||
| EGG | no | no | ||
| CA | yes | yes | ||
| Ionising radiation, HH | j↓ k→ | VEG | EGG | CA |
| VEG | no | no | ||
| EGG | yes | no | ||
| CA | yes | no | ||
| Land use | j↓ k→ | VEG | EGG | CA |
| VEG | yes | no | ||
| EGG | no | no | ||
| CA | no | yes | ||
| Non-cancer human health effects | j↓ k→ | VEG | EGG | CA |
| VEG | no | no | ||
| EGG | no | no | ||
| CA | no | no | ||
| Ozone depletion | j↓ k→ | VEG | EGG | CA |
| VEG | no | no | ||
| EGG | yes | yes | ||
| CA | yes | no | ||
| Photochemical ozone formation, HH | j↓ k→ | VEG | EGG | CA |
| VEG | no | no | ||
| EGG | yes | yes | ||
| CA | yes | no | ||
| Resource use, energy carriers | j↓ k→ | VEG | EGG | CA |
| VEG | no | yes | ||
| EGG | yes | yes | ||
| CA | no | no | ||
| Resource use, mineral and metals | j↓ k→ | VEG | EGG | CA |
| VEG | yes | no | ||
| EGG | no | no | ||
| CA | yes | yes | ||
| Respiratory inorganics | j↓ k→ | VEG | EGG | CA |
| VEG | no | no | ||
| EGG | yes | no | ||
| CA | yes | yes | ||
| Water scarcity | j↓ k→ | VEG | EGG | CA |
| VEG | no | no | ||
| EGG | no | yes | ||
| CA | no | no | ||
| Unit | Egg | Vegan | |
|---|---|---|---|
| Calories | kcal | 100 | 90 |
| Total fat | g | 10 | 10 |
| Saturated fat | g | 1 | 0.5 |
| Cholesterol | mg | 10 | 0 |
| Sodium | mg | 95 | 90 |
References
- Buhl, T.F.; Christensen, C.H.; Hammershøj, M. Aquafaba as an Egg White Substitute in Food Foams and Emulsions: Protein Composition and Functional Behavior. Food Hydrocoll. 2019, 96, 354–364. [Google Scholar] [CrossRef]
- Saget, S.; Costa, M.; Santos, C.S.; Vasconcelos, M.W.; Gibbons, J.; Styles, D.; Williams, M. Substitution of Beef with Pea Protein Reduces the Environmental Footprint of Meat Balls Whilst Supporting Health and Climate Stabilisation Goals. J. Clean. Prod. 2021, 297, 126447. [Google Scholar] [CrossRef]
- Heller, M.C.; Keoleian, G.A. Beyond Meat’s Beyond Burger Life Cycle Assessment: A Detailed Comparison between a Plant-Based and an Animal-Based Protein Source; Report No. CSS18-10; University of Michigan: Ann Arbor, Michigan, 2018. [Google Scholar]
- Khan, S.; Dettling, J.; Hester, J.; Moses, R.; Foods, I. Comparative Environmental LCA of the Impossible Burger with Conventional Ground Beef Burger; Quantis: Lausanne, Switzerland, 2019. [Google Scholar]
- Masset, G.; Soler, L.G.; Vieux, F.; Darmon, N. Identifying Sustainable Foods: The Relationship between Environmental Impact, Nutritional Quality, and Prices of Foods Representative of the French Diet. J. Acad. Nutr. Diet. 2014, 114, 862–869. [Google Scholar] [CrossRef]
- Clark, M.A.; Springmann, M.; Hill, J.; Tilman, D. Multiple Health and Environmental Impacts of Foods. Proc. Natl. Acad. Sci. USA 2019, 116, 23357–23362. [Google Scholar] [CrossRef]
- Rosi, A.; Mena, P.; Pellegrini, N.; Turroni, S.; Neviani, E.; Ferrocino, I.; Di Cagno, R.; Ruini, L.; Ciati, R.; Angelino, D.; et al. Environmental Impact of Omnivorous, Ovo-Lacto-Vegetarian, and Vegan Diet. Sci. Rep. 2017, 7, 1–9. [Google Scholar] [CrossRef]
- Mustafa, R.; He, Y.; Shim, Y.Y.; Reaney, M.J.T. Aquafaba, Wastewater from Chickpea Canning, Functions as an Egg Replacer in Sponge Cake. Int. J. Food Sci. Technol. 2018, 53, 2247–2255. [Google Scholar] [CrossRef]
- Raikos, V.; Hayes, H.; Ni, H. Aquafaba from Commercially Canned Chickpeas as Potential Egg Replacer for the Development of Vegan Mayonnaise: Recipe Optimisation and Storage Stability. Int. J. Food Sci. Technol. 2020, 55, 1935–1942. [Google Scholar] [CrossRef]
- Mirzanajafi-Zanjani, M.; Yousefi, M.; Ehsani, A. Challenges and Approaches for Production of a Healthy and Functional Mayonnaise Sauce. Food Sci. Nutr. 2019, 7, 2471–2484. [Google Scholar] [CrossRef] [PubMed]
- Mustafa, R.; Reaney, M.J.T. Aquafaba, from Food Waste to a Value-Added Product. In Food Wastes and By-Products; Wiley: Hoboken, NJ, USA, 2020; pp. 93–126. [Google Scholar] [CrossRef]
- Statista. Mayonnaise Usage in France 2014–2018, by Frequency. Available online: https://www.statista.com/statistics/458222/mayonnaise-usage-by-frequency-in-france/ (accessed on 21 November 2020).
- Statista. Number of People Using Mayonnaise in Spain in 2018, by Frequency of Use. Available online: https://www.statista.com/statistics/434177/mayonnaise-usage-frequency-in-spain/ (accessed on 21 November 2020).
- Statista. Frequency of Mayonnaise Usage in Great Britain 2016–2018. Available online: https://www.statista.com/statistics/301726/mayonnaise-usage-frequency-in-the-uk/ (accessed on 21 November 2020).
- IMARC. Mayonnaise Market. Share, Size, Trends, Analysis & Forecast. 2021–2026; IMARC: Noida, Uttar Pradesh, India, 2019. [Google Scholar]
- CMR Group. Alimentación En España 2020; CMR Group: Watford, UK, 2020. [Google Scholar]
- Poore, J.; Nemecek, T. Reducing Food’s Environmental Impacts through Producers and Consumers. Science 2018, 360, 987–992. [Google Scholar] [CrossRef]
- Damian, J.J.; Huo, S.; Serventi, L. Phytochemical Content and Emulsifying Ability of Pulses Cooking Water. Eur. Food Res. Technol. 2018, 244, 1647–1655. [Google Scholar] [CrossRef]
- ISO. ISO 14040:2006—Environmental Management—Life Cycle Assessment—Principles and Framework; ISO: Gevena, Switzerland, 2006. [Google Scholar]
- Notarnicola, B.; Sala, S.; Anton, A.; McLaren, S.J.; Saouter, E.; Sonesson, U. The Role of Life Cycle Assessment in Supporting Sustainable Agri-Food Systems: A Review of the Challenges. J. Clean. Prod. 2017, 140, 399–409. [Google Scholar] [CrossRef]
- Hetherington, A.C.; Mcmanus, M.C.; Gray, D.A. Carbon Foot-Print Analysis and Life Cycle Assessment of Mayonnaise Production. A Comparison of Their Results and Messages. In SETAC; University of Bath: Bath, UK, 2012; pp. 26–28. [Google Scholar]
- Cleveland, D.A.; Gee, Q.; Horn, A.; Weichert, L.; Blancho, M. How Many Chickens Does It Take to Make an Egg? Animal Welfare and Environmental Benefits of Replacing Eggs with Plant Foods at the University of California, and Beyond. Agric. Hum. Values 2020, 38, 157–174. [Google Scholar] [CrossRef]
- ComRes. Eurogroup for Animals/Compassion in World Farming-Fish Welfare Survey; ComRes: London, UK, 2018. [Google Scholar]
- Global Data. Top. Trends in Prepared Foods 2017: Exploring Trends in Meat, Fish and Seafood; Pasta, Noodles and Rice; Prepared Meals; Savory Deli Food; Soup; and Meat Substitutes; Global Data: London, UK, 2017. [Google Scholar]
- Statista. Number of vegans Great Britain from 2014 to 2018. Available online: https://www.statista.com/statistics/1062104/number-of-vegans-in-great-britain/ (accessed on 21 November 2020).
- JUST Egg. JUST Egg|Made from Plants. Available online: https://www.ju.st/ (accessed on 21 November 2020).
- Vegg. Vegg. Available online: https://thevegg.com/ (accessed on 21 November 2020).
- Eunite Foods. The Egg. Available online: https://www.eunitefoods.com / (accessed on 21 November 2020).
- Eggcitables. Eggcitables! A Gluten-Free Alternative to Eggs. Available online: https://www.eggcitables.com/ (accessed on 21 November 2020).
- Bob’s Red Mill. Vegan Egg Substitute & Replacement-Gluten Free. Available online: https://www.bobsredmill.com/gluten-free-vegan-egg-replacer.html (accessed on 21 November 2020).
- Nette, A.; Wolf, P.; Schlüter, O.; Meyer-Aurich, A.; Nette, A.; Wolf, P.; Schlüter, O.; Meyer-Aurich, A. A Comparison of Carbon Footprint and Production Cost of Different Pasta Products Based on Whole Egg and Pea Flour. Foods 2016, 5, 17. [Google Scholar] [CrossRef] [PubMed]
- GreenDelta. OpenLCA. Available online: https://www.openlca.org/download/ (accessed on 21 November 2020).
- Durlinger, B.; Koukouna, E.; Broekema, R.; Van Paassen, M.; Scholten, J. Agri-Footprint 3.0; Blonk Consultants: Gouda, The Netherlands, 2017. [Google Scholar]
- Wernet, G.; Bauer, C.; Steubing, B.; Reinhard, J.; Moreno-Ruiz, E.; Weidema, B. The Ecoinvent Database Version 3 (Part I): Overview and Methodology. Int. J. Life Cycle Assess. 2016, 21, 1218–1230. [Google Scholar] [CrossRef]
- European Commission. Product Environmental Footprint Category Rules Guidance; No. 6.3; European Commission: Luxembourg, 2018. [Google Scholar]
- Mendoza Beltran, A.; Prado, V.; Font Vivanco, D.; Henriksson, P.J.G.; Guinée, J.B.; Heijungs, R. Quantified Uncertainties in Comparative Life Cycle Assessment: What Can Be Concluded? Environ. Sci. Technol. 2018, 52, 2152–2161. [Google Scholar] [CrossRef]
- Searates. Distances & Time. Available online: https://www.searates.com/services/distances-time/ (accessed on 21 November 2020).
- Morgan, A.; Stichnothe, H.; Azapagic, A. Carbon Calculations over the Life Cycle of Industrial Activities-CCaLC© Tool Manual; University of Manchester: Manchester, UK, 2010. [Google Scholar]
- European Commission. International Reference Life Cycle Data System (ILCD) Handbook—General Guide for Life Cycle Assessment—Detailed Guidance; European Commission: Luxembourg, 2010. [Google Scholar]
- Tsai, J.H.; Huang, J.Y.; Wilson, D.I. Life Cycle Assessment of Cleaning-In-Place Operations in Egg Yolk Powder Production. J. Clean. Prod. 2021, 278, 123936. [Google Scholar] [CrossRef]
- Pelletier, N.; Ibarburu, M.; Xin, H. A Carbon Footprint Analysis of Egg Production and Processing Supply Chains in the Midwestern United States. J. Clean. Prod. 2013, 54, 108–114. [Google Scholar] [CrossRef]
- Belyavin, C.G. Eggs: Use in the Food Industry. In Encyclopedia of Food and Health; Elsevier Inc.: Amsterdam, The Netherland, 2015; pp. 476–479. [Google Scholar] [CrossRef]
- Réhault-Godbert, S.; Guyot, N.; Nys, Y. The Golden Egg: Nutritional Value, Bioactivities, and Emerging Benefits for Human Health. Nutrients 2019, 11, 684. [Google Scholar] [CrossRef]
- van der Weele, C.; Feindt, P.; Jan van der Goot, A.; van Mierlo, B.; van Boekel, M. Meat Alternatives: An Integrative Comparison. In Trends in Food Science and Technology; Elsevier Ltd.: Amsterdam, The Netherland, 2019; pp. 505–512. [Google Scholar] [CrossRef]
- Alexander, P.; Brown, C.; Arneth, A.; Dias, C.; Finnigan, J.; Moran, D.; Rounsevell, M.D.A. Could Consumption of Insects, Cultured Meat or Imitation Meat Reduce Global Agricultural Land Use? In Global Food Security; Elsevier B.V.: Amsterdam, The Netherland, 2017; pp. 22–32. [Google Scholar] [CrossRef]
- Smetana, S.; Aganovic, K.; Irmscher, S.; Heinz, V.C. (pp. 145–155) Agri-Food Waste Streams Utilization for Development of More Sustainable Food Substitutes. In Designing Sustainable Technologies, Products and Policies; Springer: Berlin, Germany, 2018; pp. 469–474. [Google Scholar] [CrossRef]
- Mexican Government. Estrategia de Transición Para Promover El Uso de Tecnologías y Combustibles Más Limpios|Comisión Nacional Para El Uso Eficiente de La Energía; Mexican Government: Mexico City, Mexico, 2020.
- Searchinger, T.D.; Wirsenius, S.; Beringer, T.; Dumas, P. Assessing the Efficiency of Changes in Land Use for Mitigating Climate Change. Nature 2018, 564, 249–253. [Google Scholar] [CrossRef]
- Foster, R.; Williamson, C.S.; Lunn, J. BRIEFING PAPER: Culinary Oils and Their Health Effects. Nutr. Bull. 2009, 34, 4–47. [Google Scholar] [CrossRef]
- Wolters, M.; Ahrens, J.; Romaní-Pérez, M.; Watkins, C.; Sanz, Y.; Benítez-Páez, A.; Stanton, C.; Günther, K. Dietary Fat, the Gut Microbiota, and Metabolic Health—A Systematic Review Conducted within the MyNewGut Project. Clin. Nutr. 2019, 38, 2504–2520. [Google Scholar] [CrossRef]
- Cândido, F.G.; Valente, F.X.; Grześkowiak, Ł.M.; Moreira, A.P.B.; Rocha, D.M.U.P.; Alfenas, R.D.C.G. Impact of Dietary Fat on Gut Microbiota and Low-Grade Systemic Inflammation: Mechanisms and Clinical Implications on Obesity. Int. J. Food Sci. Nutr. 2018, 69, 125–143. [Google Scholar] [CrossRef]
- OECD. Obesity Updates; OECD: Paris, France, 2017.
- Spence, J.D.; Jenkins, D.J.A.; Davignon, J. Dietary Cholesterol and Egg Yolks: Not for Patients at Risk of Vascular Disease. Can. J. Cardiol. 2010, 26, e336–e339. [Google Scholar] [CrossRef]
- Schmidt, J.H. Life Cycle Assessment of Five Vegetable Oils. J. Clean. Prod. 2015, 87, 130–138. [Google Scholar] [CrossRef]
- Hayek, M.N.; Harwatt, H.; Ripple, W.J.; Mueller, N.D. The Carbon Opportunity Cost of Animal-Sourced Food Production on Land. Nat. Sustain. 2020, 4, 21–24. [Google Scholar] [CrossRef]
- Ballco, P.; Caputo, V.; de-Magistris, T. Consumer Valuation of European Nutritional and Health Claims: Do Taste and Attention Matter? Food Qual. Prefer. 2020, 79, 103793. [Google Scholar] [CrossRef]





| Stage | Input/Output/Process | Units | VEG | EGG | ||
|---|---|---|---|---|---|---|
| In | Out | In | Out | |||
| Egg production | Feed and supplements | kg | 0.28 | |||
| Land | kg | 0.66 | ||||
| Energy | kWh | 0.01 | ||||
| Laying hen | Item | 0.01 | ||||
| Water | L | 0.45 | ||||
| Transport, truck >32 t | kg.km | 0.28 | ||||
| Laying hen | kg | 0.008 | ||||
| Egg | kg | Confid. | ||||
| Aquafaba processing | Energy | kWh | 3.59 | |||
| Aquafaba | kg | Confid. | ||||
| Aquafaba/egg packaging and transport | Polypropylene | kg | 0.11 | 0.027 | ||
| Forming of packaging | kg | 0.11 | 0.027 | |||
| Packaging transport, truck > 32 t | kg.km | 25.0 | 0.12 | |||
| Packaging transport, train | kg.km | 30.4 | 0.15 | |||
| Packaging transport, ship | kg.km | 39.1 | 0.19 | |||
| Transport to mayo factory, truck > 32 t | kg.km | 805.5 | 653.5 | |||
| Egg processing | Water | L | 0.42 | |||
| Processing energy | kWh | 0.022 | ||||
| Salt | kg | 0.004 | ||||
| Egg yolk | kg | Confid. | ||||
| Egg shell | kg | Confid. | ||||
| Egg white | kg | Confid. | ||||
| Other Ingredients production, processing, and transport | Sunflower oil from crushing (pressing)—AR | kg | Confid. | Confid. | ||
| Oil transport, truck >32 t | kg.km | 893 | 995 | |||
| Oil transport, ship | kg.km | 4360 | 4860 | |||
| Water | L | 0.037 | ||||
| Other ingredients | kg | 0.04 | 0.38 | |||
| Ingredients transport truck > 32 t | kg.km | 39 | 31 | |||
| Ingredients transport ship | kg.km | 476 | 232 | |||
| Packaging | Glass | kg | 0.203 | 0.203 | ||
| Graphic paper, 100% recycled | kg | 0.0009 | 0.0009 | |||
| Dichloromethane | kg | 0.0001 | 0.0001 | |||
| Steel cap | kg | 0.011 | 0.011 | |||
| Packaging trans, lorry, >32 t | kg*km | 484.3 | 484.3 | |||
| Mayonnaise production | Electricity for assembling | kWh | 0.0004 | 0.0004 | ||
| Mayonnaise pot, at factory | item | 1 | 1 | |||
| Name | Unit | VEG | EGG |
|---|---|---|---|
| Acidification terrestrial and freshwater | mol H+ eq | 0.022 | 0.019 |
| Cancer human health effects | CTUh | 6.3 × 10−8 | 5.5 × 10−8 |
| Climate change | kg CO2 eq | 3.6 | 2.0 |
| Ecotoxicity freshwater | CTUe | 25.7 | 27.6 |
| Eutrophication freshwater | kg P eq | 0.00089 | 0.00038 |
| Eutrophication marine | kg N eq | 0.011 | 0.011 |
| Eutrophication terrestrial | mol N eq | 0.057 | 0.063 |
| Ionising radiation, human health | kBq U−235 eq | 0.243 | 0.096 |
| Land use | Point | 799 | 897 |
| Non-cancer human health effects | CTUh | 1.1 × 10−6 | 1.1 × 10−6 |
| Ozone depletion | kg CFC-11 eq | 2.7 × 10−7 | 1.2 × 10−7 |
| Photochemical ozone formation, human health | kg NMVOC eq | 0.012 | 0.008 |
| Resource use, energy carriers | MJ | 46.9 | 20.4 |
| Resource use, mineral and metals | kg Sb eq | 3.3 × 10−7 | 3.7 × 10−7 |
| Respiratory inorganics | disease inc. | 1.7 × 10−7 | 1.6 × 10−7 |
| Water scarcity | m3 depriv. | 1.13 | 1.18 |
Publisher’s Note: MDPI stays neutral with regard to jurisdictional claims in published maps and institutional affiliations. |
© 2021 by the authors. Licensee MDPI, Basel, Switzerland. This article is an open access article distributed under the terms and conditions of the Creative Commons Attribution (CC BY) license (https://creativecommons.org/licenses/by/4.0/).
Share and Cite
Saget, S.; Costa, M.; Styles, D.; Williams, M. Does Circular Reuse of Chickpea Cooking Water to Produce Vegan Mayonnaise Reduce Environmental Impact Compared with Egg Mayonnaise? Sustainability 2021, 13, 4726. https://doi.org/10.3390/su13094726
Saget S, Costa M, Styles D, Williams M. Does Circular Reuse of Chickpea Cooking Water to Produce Vegan Mayonnaise Reduce Environmental Impact Compared with Egg Mayonnaise? Sustainability. 2021; 13(9):4726. https://doi.org/10.3390/su13094726
Chicago/Turabian StyleSaget, Sophie, Marcela Costa, David Styles, and Mike Williams. 2021. "Does Circular Reuse of Chickpea Cooking Water to Produce Vegan Mayonnaise Reduce Environmental Impact Compared with Egg Mayonnaise?" Sustainability 13, no. 9: 4726. https://doi.org/10.3390/su13094726
APA StyleSaget, S., Costa, M., Styles, D., & Williams, M. (2021). Does Circular Reuse of Chickpea Cooking Water to Produce Vegan Mayonnaise Reduce Environmental Impact Compared with Egg Mayonnaise? Sustainability, 13(9), 4726. https://doi.org/10.3390/su13094726

