Abstract
Triazole fungicides are widely used in agriculture but may pose risks to human health through occupational, accidental, or environmental exposure. This systematic review aimed to evaluate the toxicity of ten European Union-approved triazole fungicides in rodent models and cell lines. A total of 70 studies were included, reporting quantitative in vivo oral, dermal, or inhalation toxicity in mammals or quantitative in vitro cytotoxicity in human or mammalian cell lines; the exclusion criteria comprised publications not in English or not accessible. Literature searches were conducted in Web of Science, Google Scholar, and the Pesticide Properties DataBase (PPDB), and risk of bias in included studies was assessed using ToxRTool. Due to heterogeneity in study designs, reporting formats, and endpoints, data were synthesized descriptively. Quantitative endpoints included LD50/LC50 values for in vivo studies and LOEC, IC50, LC50, and EC50 values for in vitro studies, while mechanistic endpoints highlighted apoptosis, oxidative stress, genotoxicity, and endoplasmic reticulum stress. Difenoconazole and tebuconazole were the most extensively studied compounds, whereas several triazoles had limited data. The limitations included heterogeneity of data and incomplete reporting, which restrict cross-study comparisons. Overall, the findings provide a comprehensive overview of potential human health hazards associated with EU-approved triazole fungicides and highlight critical knowledge gaps. The review was registered in Open Science Framework.
1. Introduction
Pesticides are nowadays considered essential compounds in sustainable agriculture, ensuring food security by supporting both the quality and quantity of agricultural yields. They comprise a broad range of substances with specific properties designed to protect crops from various pests, including unwanted plants (herbicides), animals (insecticides, rodenticides, and acaricides), and fungi (fungicides). Nevertheless, their extensive use also leads to continuous exposure of both the environment and humans to these compounds. Due to their diverse chemical structures and mechanisms of action, pesticides may exert harmful effects on human health and the environment, thereby impacting the holistic One Health concept [1,2].
Chemical food safety is a critical principle for public health at the global level. Various organizations, such as the World Health Organization, have developed principles and methods for assessing the risks posed by pesticides [3]. Furthermore, the status of chemical contamination in food—such as pesticide residues—is monitored periodically to maintain control over exposure [4].
At the European level, the European Union (EU) has developed one of the most detailed and comprehensive frameworks for ensuring chemical safety in food [5]. In this framework, pesticide use is regulated by EU Pesticide Regulation (EC) No. 1107/2009 [6] concerning the placing of plant protection products on the market, as well as EU Directive 2009/128/EC [7], regarding community action to achieve the sustainable use of pesticides. Other plans encompass regulations for organic farming and the adoption of integrated pest management strategies [8,9]. Maximum residue limits for pesticides in food and feed are established under Regulation (EC) No. 396/2005 [10], providing legally defined thresholds to ensure food safety. Furthermore, the European Union publishes an annual report on pesticide residues in food [11].
Fungicides are a class of pesticides widely used to protect agriculturally important plants from fungal diseases that can compromise both crop yield and product quality. Triazole fungicides can be classified as a group of compounds that contain a triazole ring in their chemical structures. Their mechanism of action is based on the inhibition of lanosterol 14α-demethylase, an essential enzyme in the ergosterol-biosynthesis pathway. By blocking this step, triazole fungicides disrupt fungal cell-membrane formation and impair growth. Evidence from in silico and in vitro studies shows strong binding of triazole derivatives to this enzyme, marked reductions in ergosterol content, and ERG11 gene downregulation in Candida albicans, confirming their sterol-biosynthesis-inhibitory activity [12,13,14,15].
Triazole fungicides are frequently utilized in agriculture to protect a broad range of economically important crops from fungal diseases. However, their extensive application also raises concerns regarding potential environmental contamination and human exposure. Considering that we are in the One Health Era, a thorough analysis of both environmental and human health effects is essential. Since triazole fungicides can have diverse impacts on the environment and human health, this study focuses on their potential effects on humans as part of the One Health framework. It is important to note that not all triazole fungicides are approved for use within the European Union. Therefore, this study focuses specifically on the triazole fungicides authorized for use in the EU.
There is an extensive body of review literature addressing various aspects of pesticides, which include topics such as their utility and importance in agriculture and human society [16,17], environmental and food contamination [18,19,20,21,22], analytical methods for their detection in environmental and food matrices [23,24,25], methods of remediation [26,27], human exposure [1,28,29,30], toxicological effects on both the environment [22,31,32,33,34,35] and human health (including mammalian models) [30,33,34,35,36,37,38], as well as regulatory perspectives [2,39]. However, although some of these reviews briefly mention triazole fungicides or provide examples from this class [2,16,17,20,21,25,26,27,30,33,39], only a few include a detailed analysis of fungicides [22,29,31,32,34,35], and, to the best of our knowledge, openly accessible papers with a detailed analysis specifically of triazole fungicides appear to be limited.
In terms of the literature on fungicides, the number of review studies is smaller than that for pesticides in general. These works cover various aspects of fungicides, including their mechanisms of action [40,41], effects on target human fungal pathogens [42], development of resistance [40], metabolism and environmental fate [43], methods of removal or degradation [43], environmental contamination and ecotoxicology [40,41,43,44,45,46,47], and impacts on human health [48,49]. Among these, only a limited number include or address triazole fungicides in detail [40,42,44], rather than focusing solely on a few examples from this class, while some reviews may not address them at all.
Review studies focusing primarily on triazole fungicides are limited in number. The few existing studies examine aspects such as their toxicity to target fungal species [50,51], environmental toxicity [12,52,53,54], and effects on human health and laboratory mammal models [55,56,57,58].
The limited number of review studies specifically addressing triazole fungicides is also reflected in the results obtained from the Web of Science database (as of 12 November 2025) [59]. Using the Advanced Search and Query Builder functions with the key search phrases (TI = (pesticide)) AND TI = (review), (TI = (fungicide)) AND TI = (review), and (TI = (triazole fungicide)) AND TI = (review), it was determined that articles containing the terms fungicide and review in their title represent only 3.6% of those containing pesticide and review. Moreover, articles including triazole fungicide and review account for merely 8.4% of those with fungicide and review, and only 0.3% of those with pesticide and review. In total, only six such articles were identified, of which only one report effects on human health or mammalian models [55].
Given the limited number of existing review studies specifically addressing triazole fungicides and the methodological constraints observed in those available—including the restricted number of compounds analyzed, the lack of quantitative and comparative in vivo–in vitro assessments, and the predominantly narrative approach without adherence to systematic frameworks such as PRISMA—the present review is both timely and necessary. It aims to systematically integrate and critically evaluate current data on triazole fungicides, encompassing different exposure types, toxicological endpoints, and experimental models. This comprehensive synthesis seeks to provide a more robust understanding of their potential effects on human health and the environment, contributing to the broader One Health perspective and supporting evidence-based regulatory and scientific advancements.
The scope of this study is to systematically evaluate the human health toxicity of European Union-approved triazole fungicides. This review integrates evidence from in vitro studies in mammalian cell lines and in vivo studies in rodent models, encompassing oral, dermal, and inhalation exposure routes. Both quantitative data, such as dose–response relationship values, and qualitative data, including mechanistic insights into toxicity pathways, are systematically evaluated in this review. This study stands out by providing a thorough and comparative assessment of the toxicological effects of EU-approved triazole fungicides, addressing a significant knowledge gap given that limited studies have comparatively assessed these compounds, and even fewer focus specifically on human health. The objectives of this study comprise:
- Identification and characterization of the EU-approved triazole fungicides;
- Identification of exposure data and toxicokinetic profile;
- Evaluation of in vitro toxicity in mammalian cell lines;
- Examination of potential molecular mechanisms of toxicity derived from in vitro data;
- Review and analysis of in vivo toxicity data in rodent models, including oral, dermal, and inhalation exposures;
- Assessment of qualitative evidence on specific and general human health issues linked to triazole fungicide exposure according to the Pesticide Properties DataBase records.
2. European Union-Approved Triazole Fungicides
For a fungicide to be approved in the European Union, the applicant must submit a complete dossier, and the active substance must meet the approval criteria laid out in Annex II of Regulation (EC) No 1107/2009. These criteria encompass assessments of human health impacts, environmental fate and behavior, ecotoxicology, and groundwater safety, each supported by specific threshold values or conditions that must be satisfied for approval to be granted. Upon expiry of the approval period, renewal is possible only if the active substance continues to comply with the current approval criteria in force at the time of re-evaluation [6].
A total of 35 triazole fungicides were analyzed with respect to their regulatory status within the European Union (Table 1). In this research, only triazole fungicides that remain approved for use according to current EU regulations were selected as compounds of interest [60].
Table 1.
Triazole fungicides and their regulatory status within the European Union (N/A-not available).
Of the 35 triazole fungicides analyzed, 10 were found to have an approved status within the EU. These compounds represent the triazole fungicides of interest included in this review (Table 2).
Table 2.
Molecular weight and 2D chemical structures of the EU-approved triazole fungicides (MW = molecular weight; data retrieved from PubChem [61]).
Although these ten triazole fungicides are approved for use within the European Union, they may still pose potential risks to human health through occupational exposure during their production or application, as well as through accidental or environmental exposure. An additional aggravating factor is the potential for improper handling by non-specialized individuals, which may result in accidental direct exposure during application or indirect exposure through environmental contamination. Therefore, understanding the potential toxicological effects of these fungicides on human health is essential.
3. Exposure Data and Toxicokinetic Profile of EU-Approved Triazole Fungicides
The human body may come into contact with triazole fungicides through several potential exposure routes, including oral exposure via the ingestion of contaminated food, dermal exposure through direct contact with concentrated formulations during handling, and inhalation of vapors released when these are applied in agriculture. However, the available scientific literature provides relatively limited information addressing and detailing these exposure pathways.
The Pesticide Properties DataBase includes information on parameters such as the Acceptable Daily Intake (ADI), Acute Acceptable Operator Exposure Level (AAOEL), and Acceptable Operator Exposure Level—Systemic (AOEL) [62]. Nevertheless, these data are primarily derived from studies conducted on mammalian models and are not available for all triazole fungicides currently approved for use within the European Union.
Data on ADI and AOEL are reported for all ten triazole fungicides of interest, ranging from 0.004 mg/kg bw/day for TET to 0.036 mg/kg bw/day for PRO in the case of ADI, and from 0.01 mg/kg bw/day for TRI to 0.16 mg/kg bw/day for DIF for AOEL. Data regarding AAOEL are not available for BRO, DIF, PAC, PEN, TEB, and TET; for the remaining compounds, AAOEL values range from 0.01 mg/kg bw/day for MET to 0.2 mg/kg bw/day for PRO [63,64,65,66,67,68,69,70,71,72].
Information on the toxicokinetic profile, encompassing absorption, distribution, metabolism, and excretion (ADME) of EU-approved triazole fungicides is quite limited, both in terms of experimental data and in silico predictions. Such information could not be identified for BRO, MEF and PEN.
Computational predictions using ADMETlab 2.0 and admetSAR 2.0 indicated that DIF has good bioavailability, high intestinal absorption, good oral bioavailability, high plasma protein binding, moderate clearance, and the ability to penetrate the blood–brain barrier [73]. Another in silico study, using FAFDrugs4 and SwissADME, indicated that MET, PAC, TEB, TET, and TRI exhibit good oral bioavailability, can be readily absorbed in the gastrointestinal tract, and are able to reach systemic circulation. These compounds are also predicted to have a moderate ability to penetrate the skin and to cross the blood–brain barrier, and may be metabolized by cytochrome P450 enzymes (CYPs). Additionally, TRI is predicted to be a P-glycoprotein (P-gp) substrate, suggesting potential active efflux both from the gastrointestinal tract back into the lumen and from the brain [74]. TRI was further evaluated, in another study, using ADMETlab 2.0, which predicted high intestinal absorption, moderate clearance, and high plasma protein binding [75].
For PRO, ADME data were derived from in vitro CYP inhibition assays and a physiologically-based pharmacokinetic (PBPK) model. These studies indicated no significant inhibition of CYP2C9, CYP2C19, or CYP3A substrates at dietary exposure levels corresponding to the ADI [76]. Another study indicated that the phase I metabolism of PRO is primarily mediated by CYP2C19 in the liver, based on in vitro experiments using human liver microsomes and recombinant human CYP450 enzymes to convert prothioconazole to its metabolite prothioconazole-desthio [77]. Although in silico data were identified, it should be taken into account that these predictions may differ from experimental results, as has been observed for organophosphates [78].
4. Literature Data-Mining and Analysis Workflow
Data mining from the scientific literature regarding the toxicity of triazole fungicides of interest on human health, as well as other relevant information, and the subsequent selection and analysis of these data, were conducted in accordance with PRISMA guidelines (Figure 1). The protocol for this systematic review was registered in Open Science Framework [79], registration DOI:10.17605/OSF.IO/NVZ5X.
Figure 1.
PRISMA diagram illustrating the systematic workflow for data acquisition, screening, eligibility assessment, and final inclusion in the analysis (diagram created using the PRISMA 2020 Flow Diagram Shiny App [80]).
The PICO (Population, Intervention/Exposure, Comparator, Outcomes) research question for this systematic review was: What are the toxicological effects of triazole fungicides in in vitro cell lines and in vivo mammalian models, including in vivo endpoints (LD50, LC50), in vitro endpoints (IC50, EC50, LC50, LOEC), molecular mechanisms of cytotoxicity, and human health issues derived from the Pesticide Properties DataBase?
Following the PICO framework, studies were identified through extensive literature searches across multiple databases, including Web of Science (last search conducted on 12 November 2025), Google Scholar (last consulted on 5 November 2025), and Pesticide Properties DataBase (last searched on 7 November 2025).
The Web of Science (WoS) database [59] was specifically used to retrieve relevant data on the fungicides of interest. This search targeted both in vivo and in vitro studies related to human health, reporting quantitative toxicity measures such as the median lethal dose (LD50), median lethal concentration (LC50), half-maximal inhibitory concentration (IC50), half-maximal effective concentration (EC50), or lowest observed effect concentration (LOEC). The following query structure was used, where the generic term “fungicide” was replaced sequentially with the name of each of the ten fungicides of interest in the search strings: TS = (fungicide) AND ((TS = (in vivo) OR TS = (in vitro) OR TS = (human health*)) AND (TS = (LC50) OR TS = (IC50) OR TS = (EC50) OR TS = (LD50) OR TS = (LOEC))).
An additional search was performed in Google Scholar (GS) [81], where an exhaustive screening of relevant literature was undertaken. Keywords used in the search string included the names of the ten fungicides of interest combined with terms such as “in vivo”, “rat”, “mouse”, “rabbit”, “Rattus norvegicus”, “Mus musculus”, “Oryctolagus cuniculus”, “LD50”, and “LC50” for in vivo studies. For in vitro studies, the search terms included each fungicide name together with “in vitro”, “cell”, “cytotoxicity”, “viability”, and “IC50”. Depending on the relevance of the search results, articles were screened from the first pages displayed, prioritizing those that reported experimental toxicity data. In addition to peer-reviewed scientific literature, supplementary information sources such as governmental toxicological reports, Safety Data Sheets (SDS) provided by fungicide manufacturers, and records from Pesticide Properties DataBase (PPDB) [62] were also examined.
The screening and selection of studies were performed collaboratively by the review authors, with specific responsibilities assigned to each database. In the Web of Science (WoS) database, one reviewer analyzed the total number of records retrieved using the predefined search strategy and identified those meeting the established inclusion criteria. In Google Scholar (GS), in vitro studies were searched and screened by one reviewer, whereas in vivo studies were independently identified by another reviewer, both following the same eligibility criteria described above. Data retrieved from PPDB were collected by a different author, who extracted both quantitative and qualitative toxicological information relevant to the fungicides of interest. The screening was performed stepwise: titles were first analyzed for the presence of relevant keywords or related content, abstracts of potentially relevant records were then screened, and full texts were examined if they were deemed relevant to the field of interest. No automation tools were used in any stage of the screening or selection process.
Data extraction was performed by a single reviewer per study. Predefined spreadsheets were used to standardize the process. For in vivo studies, the spreadsheet included fields for the fungicide analyzed, toxicological endpoints (LD50 or LC50), type of exposure, and the organism used. For in vitro studies, the spreadsheet included fields for the fungicide, tested concentrations, cell line, toxicological parameters (IC50, LC50, EC50, or LOEC), and qualitative information on molecular mechanisms of cytotoxicity. For data extracted from PPDB, quantitative fields included Mammals—Acute oral LD50, Mammals—Dermal LD50, and Mammals—Inhalation LC50, while qualitative fields included Specific human health issues and General human health issues. No automation tools were used at any stage of screening or data collection.
The outcomes of interest included quantitative toxicity measures and qualitative information relevant to human health. For in vivo studies, quantitative endpoints were LD50 (oral, dermal) and LC50 (inhalation), type of exposure, and the organism used. For in vitro studies, endpoints were IC50, LC50, EC50, LOEC, tested concentrations, and cell line. Qualitative outcomes included molecular mechanisms of cytotoxicity (in vitro) and specific or general human health issues (PPDB). For each included study, all data corresponding to the predefined inclusion criteria were extracted and considered, with only clearly reported values used or values that could be standardized or normalized, such as through unit conversion or calculation from reported ratios. No other data were sought.
In total, 570 sources were identified, including scientific articles, 11 governmental reports (GRs), 1 Safety Data Sheet (SDS) from manufacturing companies and 10 reports from PPDB. Of these, 495 scientific articles were retrieved from WoS, and 54 from GS. The sources included 11 duplicates, resulting in 559 studies. Following this process, 479 studies were excluded because, although they were retrieved from WoS using the search phrases, they were not relevant to human health or did not report the quantitative data of interest.
Following the screening stage, 81 studies were selected for detailed analysis. Of these, 11 studies were excluded based on two criteria: studies were not published in English and some studies were not available as full-text documents. No study meeting the inclusion criteria was excluded unless it also met one or more of the exclusion criteria. Consequently, a total of 70 studies were included in this systematic review.
Of the 70 studies analyzed, 36 provided quantitative data from in vitro experiments on cell lines [82,83,84,85,86,87,88,89,90,91,92,93,94,95,96,97,98,99,100,101,102,103,104,105,106,107,108,109,110,111,112,113,114,115,116,117], while 34 reported quantitative data from in vivo studies in laboratory rodents (this number also includes governmental and company reports, as well as PPDB entries) [63,64,65,66,67,68,69,70,71,72,118,119,120,121,122,123,124,125,126,127,128,129,130,131,132,133,134,135,136,137,138,139,140,141] (Figure 2). Qualitative data were extracted exclusively from these 70 selected studies.
Figure 2.
Number of studies analyzed for in vitro (light blue bar) and in vivo (light orange bar) quantitative data of the EU approved triazole fungicides toxicological studies (total counts include duplicate studies shown in both categories).
Data analysis involved normalization of measurement units where applicable. For this review, oral and dermal LD50 values from mammalian exposure studies were expressed in mg/kg body weight (BW), LC50 values from inhalation exposure studies in mg/L, and IC50, LC50, EC50, and LOEC values from in vitro tests in micromolar (µM). Some toxicity endpoints reported as ratios were standardized by converting to their corresponding absolute values to allow comparison across studies. Studies were grouped into in vitro and in vivo categories for synthesis based on the experimental model used. This separation was made to account for differences in biological relevance and data comparability between test systems.
Studies were assigned to syntheses based on endpoint type, exposure route, and experimental model to ensure that only comparable data were grouped for analysis. For each outcome, the effect measures reported in the original studies were used. Values were extracted as presented in the articles, with minimal normalization or standardization applied where necessary. Very few studies reported measures of variability, such as standard deviations; therefore, the extracted data do not include this information.
Quantitative data for both in vivo and in vitro studies were tabulated and provided in Supplementary Material (Tables S1 and S3). Statistical analysis (nonparametric Kruskal-Wallis and Dunn tests), as well as data visualization were conducted using multiple tools, including OriginPro 2025 (OriginLab Corporation, Northampton, MA, USA) for the plotting and analysis of quantitative data, and Cytoscape (version 3.10.4) for the construction and visualization of network relationships between the analyzed fungicides and qualitative toxicity endpoints.
Quantitative data were analyzed and compared descriptively, as most studies did not report standard deviation values, preventing the conduct of group statistics with effect estimate or a meta-analysis. Heterogeneity was explored descriptively through comparative analysis of subgroups, as standard deviation values were largely missing and substantial differences existed in how outcomes were reported across studies. The risk of bias for each of the results was further examined using ToxRTool [142], by one reviewer. Risk of bias due to missing results was considered descriptively, as many studies reported only threshold values or lacked sufficient statistical information, preventing formal quantitative assessment. Formal certainty assessment (e.g., GRADE) was not performed due to high heterogeneity, different in vitro cell lines with few studies per fungicide, and sparse or threshold-based data in in vivo studies per exposure type, preventing reliable grading of confidence. Sensitivity analyses were not performed due to the limited number of comparable studies and the heterogeneity of the available data.
5. In Vitro Toxicity of EU-Approved Triazole Fungicides in Mammalian Cell Lines
The analysis of the selected articles allowed the identification of quantitative data for all fungicides of interest, with the exception of MEF and PEN, for which data gaps were observed. The in vitro data were obtained across a wide range of cell lines, including cancerous, transformed, and immortalized lines, derived from human and other mammalian species. The cell lines with the most studies and data across multiple fungicides were HepG2, KGN, and hGCs. In contrast, CHO, H295R, HepG2, and MCF-7 were the cell lines with the most data available for the same fungicide, specifically TEB (Figure 3).
Figure 3.
Matrix bubble plot depicting the number and categories of cell lines reported for each fungicide of interest. Larger and more blue bubbles represent a higher number of studies for the corresponding cell line and fungicide, while orange indicates fewer studies. The scale reflects study count both by color and bubble size. The fungicides included in the plot are: Bromuconazole (BRO), Difenoconazole (DIF), Mefentrifluconazole (MEF), Metconazole (MET), Paclobutrazol (PAC), Penconazole (PEN), Prothioconazole (PRO), Tebuconazole (TEB), Tetraconazole (TET), and Triticonazole (TRI). Cell lines represented in the plot are: adult rat ventricular myocytes (ARVM), human hepatocytes (CCC-HEL-1), Chinese hamster ovary cells (CHO), mouse embryonic multipotent stem cell line (ES-D3), rat glial-like cells (F98), human adrenocortical cell line (H295R), rat heart myoblast cells (H9c2), human colon cancer cell line (HCT 116), human renal cells (HEK293), human cervical carcinoma derived immortalized cell line (HeLa), human HeLa-contaminated laryngeal carcinoma-derived epithelial cells (HEp-2), human hepatocellular carcinoma-derived epithelial cells (HepG2), human primary granulosa cells (hGCs), human trophoblast immortalized cell line (HTR-8/SVneo), human endothelial cell line (HUVEC), rat liver epithelial cells (IAR), human T lymphocyte cell line (Jurkat T-cell), human leukemia-derived lymphoblast cells (K562), human granulosa line (KGN), pig kidney-derived epithelial cells (LLCPK1), cattle mammary alveolar epithelial cell (MAC-T), human breast cancer cell line (MCF-7), rat kidney cell line (NRK), mouse macrophage cell line (RAW264.7), human neuroblastoma cell line (SH-SY5Y), human uterine immortalized fibroblasts (T HESCs), African green monkey kidney-derived epithelial cells (Vero).
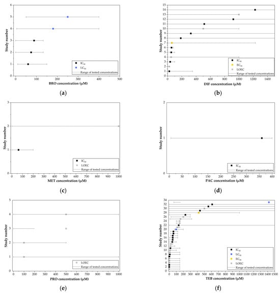
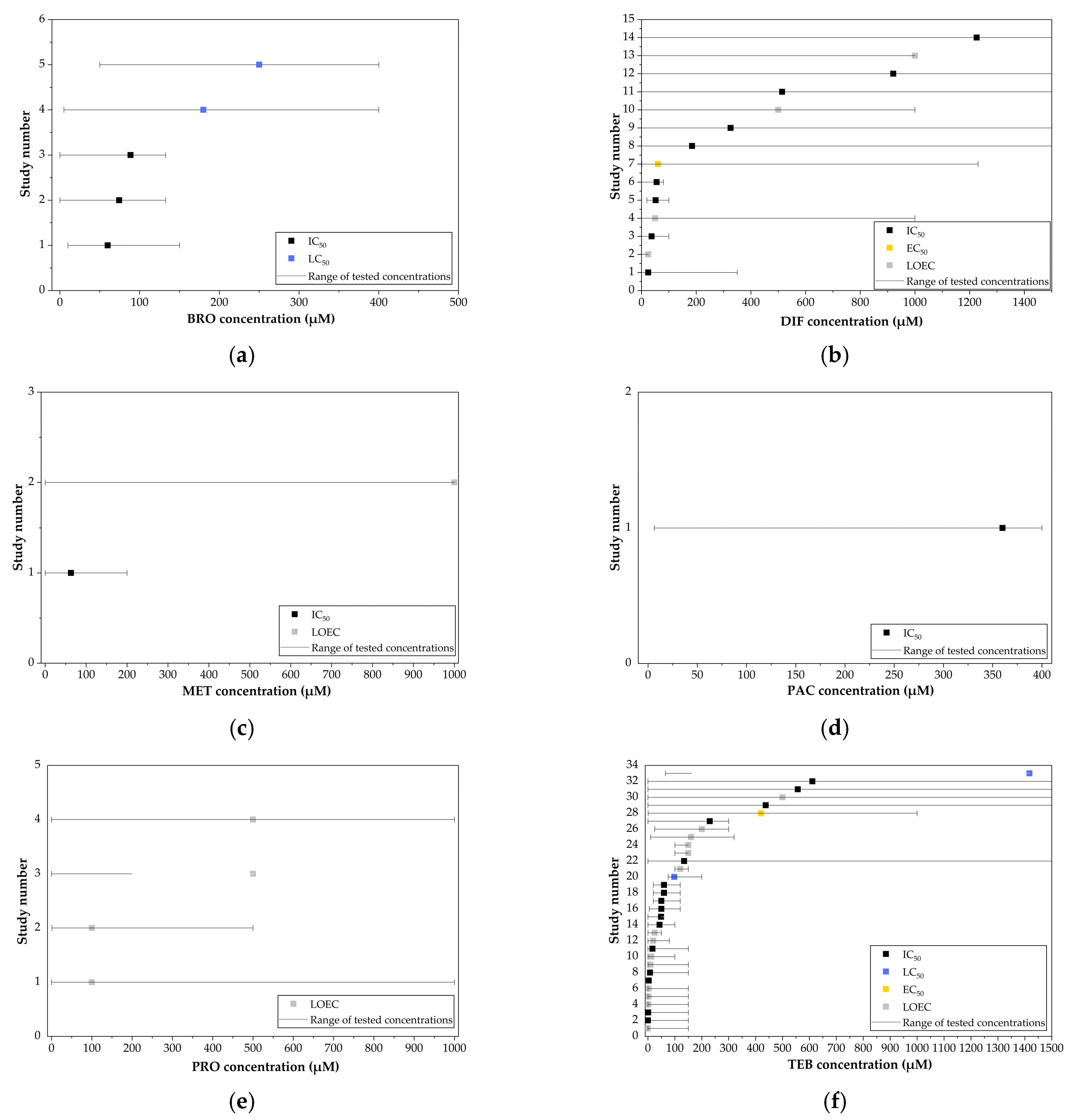
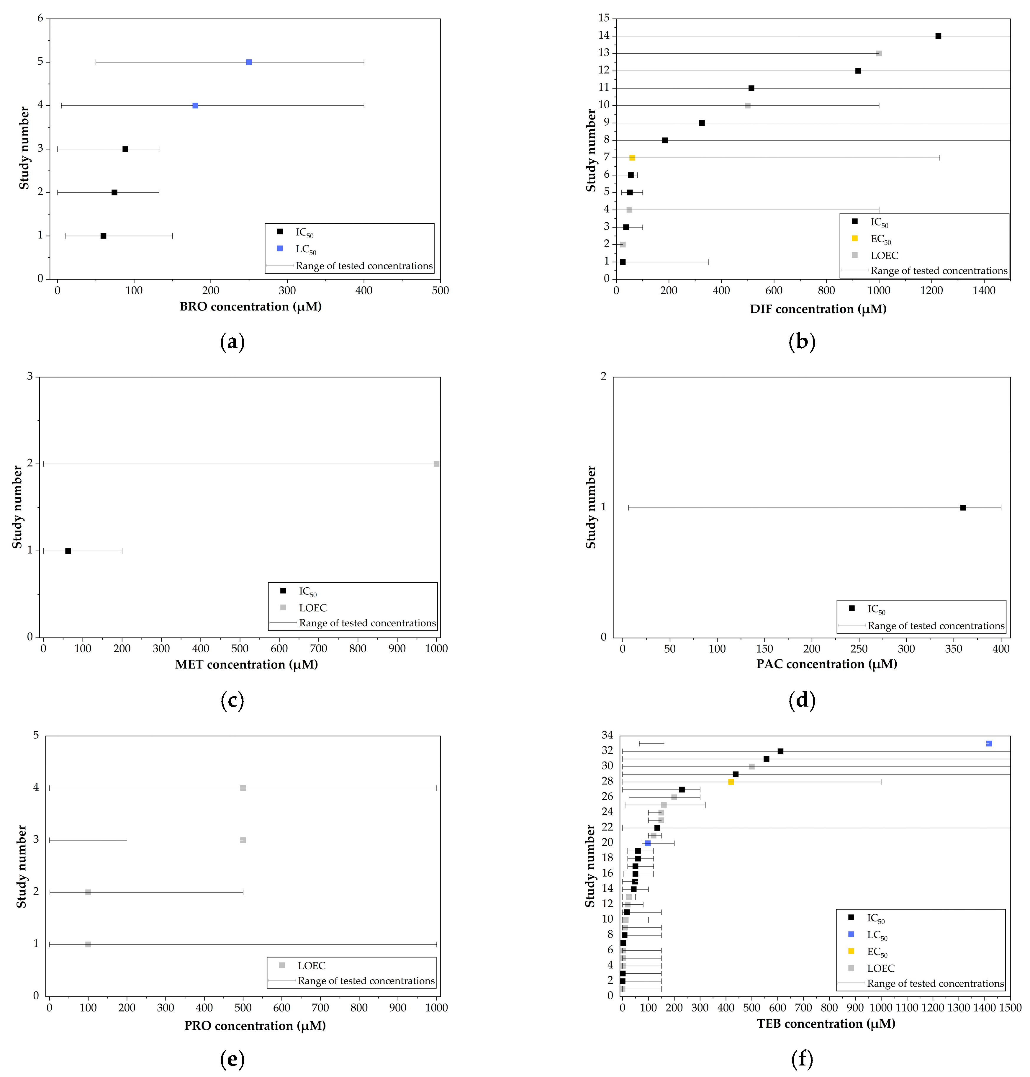
The in vitro data included IC50, LC50, EC50, and LOEC values, which were used to generate forest-like plots, with the error bars representing the tested concentration ranges. DIF and TEB had the largest number of data points, whereas PAC and TRI each had only a single reported value (Figure 4).

Figure 4.
Forest-like plot of in vitro toxicity values (IC50, LC50, EC50, LOEC) for EU-Approved Triazole Fungicides with Tested Concentration Ranges: (a) BRO, (b) DIF, (c) MET, (d) PAC, (e) PRO, (f) TEB, (g) TET and (h) TRI. The values shown in this figure correspond to data presented in Table S1 of the Supplementary Material.
The combined median values of the analyzed toxicological indices indicated that TET was the most cytotoxic, exhibiting the lowest value, whereas DIF was the least cytotoxic, with the highest value. The overall toxicity ranking was TET > MET > TRI > BRO > TEB > DIF. No comparable results could be identified for MEF, PEN, and PRO. In the in vitro studies, heterogeneity was primarily driven by the animal strain used, followed by inconsistencies in reporting formats (LOEC values versus toxicological indices).
Risk of bias analysis using the ToxRTool software (2009 version) [142] showed that only a limited number of studies met the criteria for classification into Class 1 (Supplementary Table S1). These included LOEC data for PRO in HepG2 cells, TEB in HepG2 cells, and TEB in SH-SY5Y cells, as well as toxicological indices for TEB in HeLa and HepG2 cells and TRI in ES-D3 cells. This indicates that only a small subset of the available evidence met high-quality methodological standards, suggesting that overall confidence in the body of evidence is constrained by variable study quality and potential sources of bias in the remaining studies. Potential risk of bias from missing results in in vitro studies was evaluated descriptively, but the diversity of endpoints and cell lines precluded statistical assessment.
6. Molecular Mechanisms Underlying In Vitro Toxicity of EU-Approved Triazole Fungicides
Most of the analyzed in vitro studies also assessed the mechanisms of toxicity by evaluating specific molecular markers. Among these molecular mechanisms, cellular apoptosis was the most frequently observed across the largest number of fungicides and studies, followed by oxidative stress. The fungicides for which the molecular mechanisms of cytotoxicity were most extensively investigated were DIF and TEB, whereas MEF, PEN, and TRI had no data regarding these aspects (Figure 5).
Figure 5.
Cytoscape-generated network of EU-approved triazole fungicides and associated molecular mechanisms of in vitro cytotoxicity. Numbers shown on network nodes correspond to specific molecular-level effects, detailed in Table S2 of the Supplementary Material.
Regarding apoptosis, the most frequently assessed markers were the Bax/Bcl-2 ratio, reduction of mitochondrial membrane potential, and induction of poly (ADP-ribose) polymerase (PARP) cleavage. In addition, the expression levels of caspases 3, 7, 8, and 9 were also evaluated. For oxidative stress, reactive oxygen species (ROS) level was the most commonly measured parameter, alongside malondialdehyde (MDA), catalase (CAT), superoxid dismutase (SOD), glutathione peroxidase (GPX), and glutathione-S-transferase (GST). For endoplasmic reticulum (ER) stress, parameters included the expression of activating transcription factor 4 (ATF4), binding-immunoglobulin protein/glucose regulated protein78 (Bip/GRP78), C/EBP homologous protein (CHOP), and endoplasmic oxidoreductin-1-like (ERO1-Lα).
7. In Vivo Toxicity of EU-Approved Triazole Fungicides in Rodent Models
The analysis of the selected articles enabled the identification of quantitative in vivo toxicity data for all fungicides of interest, with the exception of MEF regarding oral exposure, for which a data gap was observed. The available data included LD50 values for oral and dermal exposures and LC50 values for inhalation studies. Most of the results were obtained from experiments conducted on rats, while a smaller number of studies involved mice (oral exposure) and rabbits (inhalation exposure) (Figure 6). For the in vivo data, only a limited number of exact categorical values were identified; therefore, the analysis and visualization also included data reported as being greater than a specific threshold value.
Figure 6.
Heatmap visualization of in vivo LD50/LC50 values for the analyzed triazole fungicides, organized by exposure type (oral, dermal, inhalation) and test species (rat, mouse, rabbit).
The oral LD50 values indicated that the most toxic fungicides for rodents were BRO, followed by TET, whereas the least toxic were PRO and TRI. BRO also had the highest number of studies reporting quantitative oral toxicity data. For fungicides with available data in both rats and mice, some difference between the LD50 values of the two species were observed (Figure 7).
Figure 7.
Violin plot illustrating the distribution of oral LD50 values for the triazole fungicides of interest. The values shown in this figure correspond to data presented in Table S3 of the Supplementary Material.
The dermal LD50 values were relatively similar among the analyzed fungicides, except for MEF and PEN, which showed higher LD50 values, indicating lower dermal toxicity compared to the others (Figure 8).
Figure 8.
Column plot illustrating the distribution of dermal LD50 values for the triazole fungicides of interest. The values shown in this figure correspond to data presented in Table S3 of the Supplementary Material.
The LC50 values for inhalation exposure indicated higher inhalation toxicity for PAC, DIF, and TET, with recorded values of 3.13, 3.30, and 3.66 mg/L, respectively (Figure 9).
Figure 9.
Column plot illustrating the distribution of inhalation LC50 values for the triazole fungicides of interest. The values shown in this figure correspond to data presented in Table S3 of the Supplementary Material.
The in vivo data indicated that BRO, DIF, PAC, and TET exhibit higher toxicity in rodents, whereas MEF, PEN, PRO, and TRI were associated with lower toxicity levels. The heterogeneity of the in vivo data was driven by differences in the reporting of toxicological indices—specifically the use of exact values versus threshold (greater than) values—as well as variation in the species used across studies.
Risk of bias assessment showed that all in vivo studies were classified as Class 3, indicating limited methodological detail and uncertainty regarding study quality. Risk of bias from missing results in in vivo studies was assessed descriptively; sparse and threshold-based data prevented statistical analysis. Statistical analysis further showed that significant differences were identified only within the in vivo dataset, specifically for oral toxicity values in rats. The analysis included only exact reported values, excluding threshold-type data. A Kruskal–Wallis test revealed statistically significant differences between fungicides, and post-hoc Dunn tests indicated significant differences between BRO and DIF, and between BRO and TEB, with BRO demonstrating higher toxicity in both comparisons.
8. Qualitative Human Health Effects Associated with EU-Approved Triazole Fungicide Exposure
Network analysis of the PPDB data regarding general and specific human health effects associated with the EU-approved triazole fungicides revealed marked differences in data availability. DIF and TEB were the most extensively characterized, with DIF linked to endocrine disruption, thyroid toxicity, liver toxicity, cardiotoxicity, and nephrotoxicity, and TEB associated with hematotoxicity, liver toxicity, eye irritation, and endocrine disruption. MET was reported only as a respiratory tract irritant, while PEN was noted solely for endocrine disruption. No specific human health data were available for BRO, PAC, PRO, or TRI (Figure 10).
Figure 10.
Cytoscape-generated network of EU-approved triazole fungicides and associated human health effects identified from PPDB database. Nodes representing the fungicides of interest are colored orange, while those corresponding to specific human health issues are shown in blue (N/A – not available).
This analysis highlights substantial gaps in human health hazard data for several EU-approved triazole fungicides and underscores the need for targeted toxicological investigation, particularly for those compounds with little to no recorded information.
9. Discussion
A previous review on the genotoxic effects of triazole fungicides [55] reported the potential of these compounds to induce DNA damage and oxidative stress in vivo, consistent with the patterns observed in our analysis of in vitro data. In addition to these findings, our review addresses EU-approved triazole fungicides and integrates evidence from in vitro cytotoxicity, mechanistic studies, and toxicokinetic data, alongside in vivo results. This complementary approach provides a broader perspective on multiple toxicity domains and potential human health effects, extending the insights reported in the previous review, which focused specifically on in vivo genotoxicity in mammals.
Another study investigating the impact of triazole fungicides on female fertility and embryonic development [57] reported that these compounds may inhibit or interfere with enzymes such as CYP19A1, induce oxidative stress, and trigger apoptosis, while a second study on chiral triazole fungicides in mammalian models [58] highlighted oxidative stress and endocrine disruption, which further supports the patterns observed in our analysis of in vitro studies.
The triazole fungicides analyzed in this paper were observed to induce oxidative stress in cells, consistent with previous findings for propiconazole [143]. Another effect observed for triazole fungicides in our review was the induction of apoptosis in in vitro studies, consistent with previous findings for other fungicides [144]. A study investigating the neurotoxicity of certain fungicides in primary cultured mouse cortical neurons [145] reported depolarization of the mitochondrial membrane potential, a mechanism of toxicity also observed for triazole fungicides in our review.
A study identified an LD50 value for acute oral exposure to phenylpyrrole in rats [146], reporting a value greater than 5000 mg/kg BW, which is consistent with some of the results observed for triazole fungicides in our review.
These aspects discussed above, including key outcomes reported for triazole and other fungicides in the literature, are further summarized in Table S4 of the Supplementary Materials, providing a visual overview of how these findings align with or differ from the results of the current study on EU-approved triazoles.
The available literature indicates that this review aligns with observed patterns; however, heterogeneity in data, reporting formats, and methodologies—both within this review and in other studies—prevents a more direct and detailed comparison.
The toxicological and mechanistic data compiled in this review are potentially relevant for regulatory evaluation and risk assessment of EU-approved triazole fungicides, as they provide additional evidence on human health effects and toxicity pathways. According to Regulation (EC) No 1107/2009 [6], approval dossiers must include, among other relevant data, scientific peer-reviewed literature published within the last ten years addressing effects on human health, the environment, and non-target species. In this context, the present review compiles in vitro, in vivo, mechanistic and toxicokinetic data, providing complementary evidence to support a comprehensive assessment of triazole fungicides in the EU.
The review reveals notable gaps in the available data on EU-approved triazole fungicides, including limited in vitro, in vivo, and toxicokinetic information for several compounds. Mechanistic and human health-related evidence is incomplete, restricting comprehensive risk assessment and comparison across all fungicides. These limitations, combined with the widespread use of triazoles, underscore the need for further research and monitoring to support safe and sustainable application. Addressing these gaps will inform risk management and regulatory practices to better protect human health within the One Health framework. Moreover, future research on environmental impacts and ecotoxicity of triazole fungicides needs to be further explored to provide a more comprehensive One Health perspective.
10. Conclusions
This systematic review provides an integrated evaluation of the toxicological evidence related to ten triazole fungicides currently approved for use within the European Union. Both in vitro and in vivo data indicate that these compounds exhibit varying degrees of toxicity, with bromuconazole, difenoconazole, paclobutrazol, and tetraconazole showing comparatively higher toxic potential in rodent models, while mefentrifluconazole, penconazole, prothioconazole, and triticonazole demonstrated lower acute toxicity.
The in vitro findings revealed consistent cytotoxic effects across a wide range of mammalian cell lines, with tetraconazole emerging as the most cytotoxic compound based on combined quantitative indices. The most frequently investigated mechanisms of toxicity included cellular apoptosis and oxidative stress, followed by endoplasmic reticulum stress and genotoxicity, suggesting that mitochondrial dysfunction and redox imbalance play central roles in triazole-induced cytotoxicity.
Toxicokinetic information, encompassing absorption, distribution, metabolism, and excretion (ADME), remains limited and often derived from in silico predictions rather than experimental data. Available evidence points to good oral absorption, high plasma protein binding, and potential interactions with cytochrome P450 enzymes for several fungicides, underlining the need for more comprehensive pharmacokinetic and metabolic studies.
Qualitative assessments based on the PPDB database highlighted associations between some triazole fungicides and specific human health concerns, such as developmental toxicity, as well as general systemic effects. However, data gaps persist, particularly regarding chronic exposure and cumulative effects.
Overall, this review emphasizes the importance of continued toxicological and mechanistic investigation of EU-approved triazole fungicides to refine human health risk assessments, ensure regulatory safety, and guide the development of less hazardous alternatives.
This study provides an important contribution to the One Health framework regarding triazole fungicides, with a focus on their effects on human health, and highlights the need to continue the research to include environmental and ecotoxicological aspects.
Supplementary Materials
The following supporting information can be downloaded at https://www.mdpi.com/article/10.3390/jox15060208/s1. Table S1: In vitro toxicity data for the EU-approved triazole fungicides of interest. Data highlighted in bold are classified as Category 1 according to the ToxRTool evaluation from the risk-of-bias analysis; Table S2: Assigned numbers for molecular mechanisms of in vitro cytotoxicity for Cytoscape network diagram; Table S3: In vivo toxicity data for the EU-approved triazole fungicides of interest; Table S4: Comparative summary of key outcomes from literature-reported fungicide studies, including triazoles and other fungicides, for contextualization with findings from the current study on selected EU-approved triazole in vitro and in vivo toxicity. References [55,56,57,58], [63,64,65,66,67,68,69,70,71,72], [82,83,84,85,86,87,88,89,90,91,92,93,94,95,96,97,98,99,100,101,102,103,104,105,106,107,108,109,110,111,112,113,114,115,116,117,118,119,120,121,122,123,124,125,126,127,128,129,130,131,132,133,134,135,136,137,138,139,140,141], and [143,144,145,146] are cited in the Supplementary Materials.
Author Contributions
C.-B.V., A.-D.I.-D., A.P. and B.-V.A. contributed to the study’s conceptualization, data mining and analysis, data curation, writing and visualization. All authors have read and agreed to the published version of the manuscript.
Funding
This article was supported by the UVT 1000 Develop Fund of the West University of Timisoara.
Institutional Review Board Statement
Not applicable.
Informed Consent Statement
Not applicable.
Data Availability Statement
No new data were created or analyzed in this study.
Conflicts of Interest
The authors declare no conflicts of interest.
References
- Fagundes, T.R.; Coradi, C.; Vacario, B.G.L.; de Morais Valentim, J.M.B.; Panis, C. Global Evidence on Monitoring Human Pesticide Exposure. J. Xenobiot. 2025, 15, 187. [Google Scholar] [CrossRef]
- Buonsenso, F. Scientific and Regulatory Perspectives on Chemical Risk Assessment of Pesticides in the European Union. J. Xenobiot. 2025, 15, 173. [Google Scholar] [CrossRef]
- World Health Organization; Food and Agriculture Organization of the United Nations. Principles and Methods for the Risk Assessment of Chemicals in Food. Available online: https://www.who.int/publications/i/item/9789241572408 (accessed on 15 November 2025).
- World Health Organization; Food and Agriculture Organization of the United Nations. Pesticide Residues in Food: Report 2024: Joint FAO/WHO Meeting on Pesticide Residues. Available online: https://www.who.int/publications/i/item/9789240113954 (accessed on 15 November 2025).
- D’Amore, T.; Smaoui, S.; Varzakas, T. Chemical Food Safety in Europe Under the Spotlight: Principles, Regulatory Framework and Roadmap for Future Directions. Foods 2025, 14, 1628. [Google Scholar] [CrossRef] [PubMed]
- European Parliament & Council. Regulation (EC) No 1107/2009 of 21 October 2009 on the Placing of Plant Protection Products on the Market (Repealing Directives 79/117/EEC and 91/414/EEC). 2009. Available online: https://eur-lex.europa.eu/legal-content/EN/TXT/?uri=celex:32009R1107 (accessed on 14 November 2025).
- European Parliament & Council. Directive 2009/128/EC of the European Parliament and of the Council of 21 October 2009 Establishing a Framework for Community Action to Achieve the Sustainable Use of Pesticides (Text with EEA Relevance). 2009. Available online: https://eur-lex.europa.eu/eli/dir/2009/128/oj/eng (accessed on 14 November 2025).
- Zubrod, J.P.; Feckler, A.; Englert, D.; Koksharova, N.; Rosenfeldt, R.R.; Seitz, F.; Schulz, R.; Bundschuh, M. Inorganic fungicides as routinely applied in organic and conventional agriculture can increase palatability but reduce microbial decomposition of leaf litter. J. Appl. Ecol. 2015, 52, 310–322. [Google Scholar] [CrossRef]
- Triantafyllidis, V.; Kosma, C.; Karabagias, I.K.; Zotos, A.; Pittaras, A.; Kehayias, G. Fungicides in Europe During the Twenty-first Century: A Comparative Assessment Using Agri-environmental Indices of EU27. Water Air Soil Pollut. 2022, 233, 52. [Google Scholar] [CrossRef]
- European Food Safety Authority. How Pesticides are Regulated in the EU—EFSA and the Assessment of Active Substances. 2002. Available online: https://www.efsa.europa.eu/sites/default/files/corporate_publications/files/Pesticides-ebook-180424.pdf (accessed on 14 November 2025).
- European Food Safety Authority; Carrasco Cabrera, L.; Di Piazza, G.; Dujardin, B.; Marchese, E.; Medina Pastor, P. The 2023 European Union report on pesticide residues in food. EFSA J. 2025, 23, e9398. [Google Scholar] [CrossRef]
- Roman, D.L.; Voiculescu, D.I.; Filip, M.; Ostafe, V.; Isvoran, A. Effects of Triazole Fungicides on Soil Microbiota and on the Activities of Enzymes Found in Soil: A Review. Agriculture 2021, 11, 893. [Google Scholar] [CrossRef]
- Thabit, T.M.A.; Abdelkareem, E.M.; Bouqellah, N.A.; Shokr, S.A. Triazole Fungicide Residues and Their Inhibitory Effect on Some Trichothecenes Mycotoxin Excretion in Wheat Grains. Molecules 2021, 26, 1784. [Google Scholar] [CrossRef]
- Rather, I.A.; Sabir, J.S.M.; Asseri, A.H.; Wani, M.Y.; Ahmad, A. Triazole Derivatives Target 14α-Demethylase (LDM) Enzyme in Candida albicans Causing Ergosterol Biosynthesis Inhibition. J. Fungi 2022, 8, 688. [Google Scholar] [CrossRef]
- Gutierrez-Perez, C.; Cramer, R.A. Targeting fungal lipid synthesis for antifungal drug development and potentiation of contemporary antifungals. npj Antimicrob. Resist. 2025, 3, 27. [Google Scholar] [CrossRef]
- Cooper, J.; Dobson, H. The benefits of pesticides to mankind and the environment. Crop Prot. 2007, 26, 1337–1348. [Google Scholar] [CrossRef]
- Popp, J.; Pető, K.; Nagy, J. Pesticide productivity and food security. A review. Agron. Sustain. Dev. 2013, 33, 243–255. [Google Scholar] [CrossRef]
- Gevao, B.; Semple, K.T.; Jones, K.C. Bound pesticide residues in soils: A review. Environ. Pollut. 2000, 108, 3–14. [Google Scholar] [CrossRef]
- Ritter, W.F. Pesticide contamination of ground water in the United States—A review. J. Environ. Sci. Health Part B 1990, 25, 1–29. [Google Scholar] [CrossRef]
- Donkor, A.; Osei-Fosu, P.; Dubey, B.; Kingsford-Adaboh, R.; Ziwu, C.; Asante, I. Pesticide residues in fruits and vegetables in Ghana: A review. Environ. Sci. Pollut. Res. 2016, 23, 18966–18987. [Google Scholar] [CrossRef]
- Rad, S.M.; Ray, A.K.; Barghi, S. Water Pollution and Agriculture Pesticide. Clean Technol. 2022, 4, 1088–1102. [Google Scholar] [CrossRef]
- de Souza, R.M.; Seibert, D.; Quesada, H.B.; de Jesus Bassetti, F.; Fagundes-Klen, M.R.; Bergamasco, R. Occurrence, impacts and general aspects of pesticides in surface water: A review. Process Saf. Environ. Prot. 2020, 135, 22–37. [Google Scholar] [CrossRef]
- Botnaru, A.A.; Lupu, A.; Morariu, P.C.; Nedelcu, A.H.; Morariu, B.A.; Di Gioia, M.L.; Lupu, V.V.; Dragostin, O.M.; Caba, I.-C.; Anton, E.; et al. Innovative Analytical Approaches for Food Pesticide Residue Detection: Towards One Health-Oriented Risk Monitoring. J. Xenobiot. 2025, 15, 151. [Google Scholar] [CrossRef]
- Liu, M.; Khan, A.; Wang, Z.; Liu, Y.; Yang, G.; Deng, Y.; He, N. Aptasensors for pesticide detection. Biosens. Bioelectron. 2019, 130, 174–184. [Google Scholar] [CrossRef]
- Grimalt, S.; Dehouck, P. Review of analytical methods for the determination of pesticide residues in grapes. J. Chromatogr. A 2016, 1433, 1–23. [Google Scholar] [CrossRef] [PubMed]
- Satish, G.P.; Ashokrao, D.M.; Arun, S.K. Microbial degradation of pesticide: A review. Afr. J. Microbiol. Res. 2017, 11, 992–1012. [Google Scholar] [CrossRef]
- Marican, A.; Durán-Lara, E.F. A review on pesticide removal through different processes. Environ. Sci. Pollut. Res. 2018, 25, 2051–2064. [Google Scholar] [CrossRef]
- Maroni, M.; Colosio, C.; Ferioli, A.; Fait, A. Biological Monitoring of Pesticide Exposure: A review. Introduction. Toxicology 2000, 143, 5–118. [Google Scholar] [CrossRef] [PubMed]
- Aprea, C.; Colosio, C.; Mammone, T.; Minoia, C.; Maroni, M. Biological monitoring of pesticide exposure: A review of analytical methods. J. Chromatogr. B 2002, 769, 191–219. [Google Scholar] [CrossRef]
- Kim, K.-H.; Kabir, E.; Jahan, S.A. Exposure to pesticides and the associated human health effects. Sci. Total Environ. 2017, 575, 525–535. [Google Scholar] [CrossRef]
- Johnsen, K.; Jacobsen, C.S.; Torsvik, V.; Sørensen, J. Pesticide effects on bacterial diversity in agricultural soils—A review. Biol. Fertil. Soils 2001, 33, 443–453. [Google Scholar] [CrossRef]
- Pekár, S. Spiders (Araneae) in the pesticide world: An ecotoxicological review. Pest Manag. Sci. 2012, 68, 1438–1446. [Google Scholar] [CrossRef]
- Zhou, W.; Li, M.; Achal, V. A comprehensive review on environmental and human health impacts of chemical pesticide usage. Emerg. Contam. 2025, 11, 100410. [Google Scholar] [CrossRef]
- Lushchak, V.I.; Matviishyn, T.M.; Husak, V.V.; Storey, J.M.; Storey, K.B. Pesticide toxicity: A mechanistic approach. EXCLI J. 2018, 17, 1101–1136. [Google Scholar] [CrossRef] [PubMed]
- Rani, L.; Thapa, K.; Kanojia, N.; Sharma, N.; Singh, S.; Grewal, A.S.; Srivastav, A.L.; Kaushal, J. An extensive review on the consequences of chemical pesticides on human health and environment. J. Clean. Prod. 2021, 283, 124657. [Google Scholar] [CrossRef]
- Yan, D.; Zhang, Y.; Liu, L.; Yan, H. Pesticide exposure and risk of Alzheimer’s disease: A systematic review and meta-analysis. Sci. Rep. 2016, 6, 32222. [Google Scholar] [CrossRef]
- Kalyabina, V.P.; Esimbekova, E.N.; Kopylova, K.V.; Kratasyuk, V.A. Pesticides: Formulants, distribution pathways and effects on human health—A review. Toxicol. Rep. 2021, 8, 1179–1192. [Google Scholar] [CrossRef]
- Kaur, R.; Choudhary, D.; Bali, S.; Bandral, S.S.; Singh, V.; Ahmad, M.A.; Rani, N.; Singh, T.G.; Chandrasekaran, B. Pesticides: An alarming detrimental to health and environment. Sci. Total Environ. 2024, 915, 170113. [Google Scholar] [CrossRef] [PubMed]
- Skevas, T.; Oude Lansink, A.G.J.M.; Stefanou, S.E. Designing the emerging EU pesticide policy: A literature review. NJAS-Wagening. J. Life Sci. 2013, 64, 95–103. [Google Scholar] [CrossRef]
- Baibakova, E.V.; Nefedjeva, E.E.; Suska-Malawska, M.; Wilk, M.; Sevriukova, G.A.; Zheltobriukhov, V.F. Modern Fungicides: Mechanisms of Action, Fungal Resistance and Phytotoxic Effects. Annu. Res. Rev. Biol. 2019, 32, 1–16. [Google Scholar] [CrossRef]
- Yang, C.; Hamel, C.; Vujanovic, V.; Gan, Y. Fungicide: Modes of Action and Possible Impact on Nontarget Microorganisms. Int. Sch. Res. Not. 2011, 2011, 130289. [Google Scholar] [CrossRef]
- Bastos, R.W.; Rossato, L.; Goldman, G.H.; Santos, D.A. Fungicide effects on human fungal pathogens: Cross-resistance to medical drugs and beyond. PLOS Pathog. 2021, 17, e1010073. [Google Scholar] [CrossRef] [PubMed]
- Gikas, G.D.; Parlakidis, P.; Mavropoulos, T.; Vryzas, Z. Particularities of Fungicides and Factors Affecting Their Fate and Removal Efficacy: A Review. Sustainability 2022, 14, 4056. [Google Scholar] [CrossRef]
- Zubrod, J.P.; Bundschuh, M.; Arts, G.; Brühl, C.A.; Imfeld, G.; Knäbel, A.; Payraudeau, S.; Rasmussen, J.J.; Rohr, J.; Scharmüller, A.; et al. Fungicides: An Overlooked Pesticide Class? Environ. Sci. Technol. 2019, 53, 3347–3365. [Google Scholar] [CrossRef]
- Cullen, M.G.; Thompson, L.J.; Carolan, J.C.; Stout, J.C.; Stanley, D.A. Fungicides, herbicides and bees: A systematic review of existing research and methods. PLoS ONE 2019, 14, e0225743. [Google Scholar] [CrossRef]
- Rondeau, S.; Raine, N.E. Fungicides and bees: A review of exposure and risk. Environ. Int. 2022, 165, 107311. [Google Scholar] [CrossRef]
- Komárek, M.; Čadková, E.; Chrastný, V.; Bordas, F.; Bollinger, J.-C. Contamination of vineyard soils with fungicides: A review of environmental and toxicological aspects. Environ. Int. 2010, 36, 138–151. [Google Scholar] [CrossRef] [PubMed]
- Lini, R.S.; Scanferla, D.T.P.; de Oliveira, N.G.; Aguera, R.G.; Santos, T.d.S.; Teixeira, J.J.V.; Kaneshima, A.M.d.S.; Mossini, S.A.G. Fungicides as a risk factor for the development of neurological diseases and disorders in humans: A systematic review. Crit. Rev. Toxicol. 2024, 54, 35–54. [Google Scholar] [CrossRef] [PubMed]
- Thomas Cusick, H. Fungicides. In Farm Toxicology: A Primer for Rural Healthcare Practitioners; Meggs, W.J., Langley, R.L., Eds.; Springer Nature: Cham, Switzerland, 2025; pp. 85–91. [Google Scholar]
- Machado, F.J.; Santana, F.M.; Lau, D.; Del Ponte, E.M. Quantitative Review of the Effects of Triazole and Benzimidazole Fungicides on Fusarium Head Blight and Wheat Yield in Brazil. Plant Dis. 2017, 101, 1633–1641. [Google Scholar] [CrossRef] [PubMed]
- Beyer, M.; Klix, M.B.; Klink, H.; Verreet, J.A. Quantifying the effects of previous crop, tillage, cultivar and triazole fungicides on the deoxynivalenol content of wheat grain—A review. J. Plant Dis. Prot. 2006, 113, 241–246. [Google Scholar] [CrossRef]
- Roman, D.L.; Voiculescu, D.I.; Ostafe, V.; Ciorsac, A.; Isvoran, A. A review of the toxicity of triazole fungicides approved to be used in European Union to the soil and aqueous environment. Ovidius Univ. Ann. Chem. 2022, 33, 113–120. [Google Scholar] [CrossRef]
- Huang, T.; Jiang, H.; Zhao, Y.; He, J.; Cheng, H.; Martyniuk, C.J. A comprehensive review of 1,2,4-triazole fungicide toxicity in zebrafish (Danio rerio): A mitochondrial and metabolic perspective. Sci. Total Environ. 2022, 809, 151177. [Google Scholar] [CrossRef]
- Pobezhimova, T.P.; Korsukova, A.V.; Dorofeev, N.V.; Grabelnych, O.I. Physiological effects of triazole fungicides in plants. Proc. Universities. Appl. Chem. Biotechnol. 2019, 9, 461–476. [Google Scholar] [CrossRef]
- Correia, L.V.B.; de Aguiar, G.C.; Pereira, A.M.R.d.S.; Thomaz, L.d.S.C.; de Oliveira, I.C.C.d.S.; Mari, R.d.B.; Perobelli, J.E.; Ribeiro, D.A.; da Silva, R.C.B. Triazole fungicides induce genotoxicity via oxidative stress in mammals in vivo: A comprehensive review. Rev. Environ. Health 2025. [Google Scholar] [CrossRef]
- Paul Friedman, K.; Papineni, S.; Marty, M.S.; Yi, K.D.; Goetz, A.K.; Rasoulpour, R.J.; Kwiatkowski, P.; Wolf, D.C.; Blacker, A.M.; Peffer, R.C. A predictive data-driven framework for endocrine prioritization: A triazole fungicide case study. Crit. Rev. Toxicol. 2016, 46, 785–833. [Google Scholar] [CrossRef]
- Sharma, S.; Pandey, G. Understanding the impact of triazoles on female fertility and embryo development: Mechanisms and implications. Toxicol. Rep. 2025, 14, 101948. [Google Scholar] [CrossRef] [PubMed]
- Wang, N.; Liu, Y.; Li, J.; Xu, L.; Liang, X. Advances in Selective Bioactivity and Toxicity of Chiral Triazole Fungicides and Their Selective Behavior in Mammals. Chirality 2025, 37, e70055. [Google Scholar] [CrossRef] [PubMed]
- Web of Science. Web of Science Advanced Search Query Builder. Available online: https://www.webofscience.com/wos/woscc/advanced-search (accessed on 12 November 2025).
- European Commission. EU Pesticides Database—Active Substances. Available online: https://ec.europa.eu/food/plant/pesticides/eu-pesticides-database/start/screen/active-substances (accessed on 5 November 2025).
- Kim, S.; Chen, J.; Cheng, T.; Gindulyte, A.; He, J.; He, S.; Li, Q.; Shoemaker, B.A.; Thiessen, P.A.; Yu, B.; et al. PubChem 2025 update. Nucleic Acids Res. 2024, 53, D1516–D1525. [Google Scholar] [CrossRef]
- Lewis, K.A.; Tzilivakis, J.; Warner, D.J.; Green, A. An international database for pesticide risk assessments and management. Hum. Ecol. Risk Assess. Int. J. 2016, 22, 1050–1064. [Google Scholar] [CrossRef]
- Pesticide Properties DataBase. Bromuconazole. Available online: https://sitem.herts.ac.uk/aeru/ppdb/en/Reports/97.htm#3 (accessed on 30 October 2025).
- Pesticide Properties DataBase. Difenoconazole. Available online: https://sitem.herts.ac.uk/aeru/ppdb/en/Reports/230.htm#3 (accessed on 30 October 2025).
- Pesticide Properties DataBase. Mefentrifluconazole. Available online: https://sitem.herts.ac.uk/aeru/ppdb/en/Reports/3098.htm#3 (accessed on 30 October 2025).
- Pesticide Properties DataBase. Metconazole. Available online: https://sitem.herts.ac.uk/aeru/ppdb/en/Reports/451.htm#3 (accessed on 30 October 2025).
- Pesticide Properties DataBase. Paclobutrazol. Available online: https://sitem.herts.ac.uk/aeru/ppdb/en/Reports/504.htm#3 (accessed on 30 October 2025).
- Pesticide Properties DataBase. Penconazole. Available online: https://sitem.herts.ac.uk/aeru/ppdb/en/Reports/509.htm#3 (accessed on 30 October 2025).
- Pesticide Properties DataBase. Prothioconazole. Available online: https://sitem.herts.ac.uk/aeru/ppdb/en/Reports/559.htm#3 (accessed on 30 October 2025).
- Pesticide Properties DataBase. Tebuconazole. Available online: https://sitem.herts.ac.uk/aeru/ppdb/en/Reports/610.htm#3 (accessed on 30 October 2025).
- Pesticide Properties DataBase. Tetraconazole. Available online: https://sitem.herts.ac.uk/aeru/ppdb/en/Reports/626.htm#3 (accessed on 30 October 2025).
- Pesticide Properties DataBase. Triticonazole. Available online: https://sitem.herts.ac.uk/aeru/ppdb/en/Reports/673.htm#3 (accessed on 30 October 2025).
- Voiculescu, D.I.; Roman, D.L.; Ostafe, V.; Isvoran, A. A Cheminformatics Study Regarding the Human Health Risks Assessment of the Stereoisomers of Difenoconazole. Molecules 2022, 27, 4682. [Google Scholar] [CrossRef]
- Gridan, I.M.; Alecu, A.C.; Isvoran, A. Prediction of ADME-Tox properties and toxicological endpoints of triazole fungicides used for cereals protection. ADMET DMPK 2019, 7, 161–173. [Google Scholar] [CrossRef]
- Roman, D.L.; Voiculescu, D.I.; Matica, M.A.; Baerle, V.; Filimon, M.N.; Ostafe, V.; Isvoran, A. Assessment of the Effects of Triticonazole on Soil and Human Health. Molecules 2022, 27, 6554. [Google Scholar] [CrossRef]
- Perovani, I.S.; Yamamoto, P.A.; da Silva, R.M.; Lopes, N.P.; de Moraes, N.V.; de Oliveira, A.R.M. Unveiling CYP450 inhibition by the pesticide prothioconazole through integrated in vitro studies and PBPK modeling. Arch. Toxicol. 2025, 99, 2845–2854. [Google Scholar] [CrossRef]
- Perovani, I.S.; Santos Barbetta, M.F.; Moreira da Silva, R.; Lopes, N.P.; Moraes de Oliveira, A.R. In vitro-in vivo correlation of the chiral pesticide prothioconazole after interaction with human CYP450 enzymes. Food Chem. Toxicol. 2022, 163, 112947. [Google Scholar] [CrossRef]
- Pampalakis, G. Underestimations in the In Silico-Predicted Toxicities of V-Agents. J. Xenobiot. 2023, 13, 615–624. [Google Scholar] [CrossRef] [PubMed]
- Open Science Framework. View Only Link of Open Science Framwork Registration That Is Under Embargo. Available online: https://osf.io/nvz5x/overview?view_only=96796d5395344b10b3755d3e79dde0a8 (accessed on 16 November 2025).
- Haddaway, N.R.; Page, M.J.; Pritchard, C.C.; McGuinness, L.A. PRISMA2020: An R package and Shiny app for producing PRISMA 2020-compliant flow diagrams, with interactivity for optimised digital transparency and Open Synthesis. Campbell. Syst. Rev. 2022, 18, e1230. [Google Scholar] [CrossRef]
- Google. Google Scholar. Available online: https://scholar.google.com (accessed on 5 November 2025).
- Almedeny, S.A.; Sahib, Z.H.; Al Mukhtar, E.J.; Alkelaby, K.K. Evaluation of the Cytotoxic Effect of the Epoxyconazole and Difenoconazole on Human Colorectal Cancer HCT116 Cell Line. Int. J. Drug Deliv. Technol. 2022, 12, 805–808. [Google Scholar] [CrossRef]
- Andrioli, N.B.; Nieves, M.; Poltronieri, M.; Bonzon, C.; Chaufan, G. Genotoxic effects induced for sub-cytotoxic concentrations of tebuconazole fungicide in HEp-2 cell line. Chem-Biol. Interact. 2023, 373, 110385. [Google Scholar] [CrossRef] [PubMed]
- Barrón Cuenca, J.; de Oliveira Galvão, M.F.; Ünlü Endirlik, B.; Tirado, N.; Dreij, K. In vitro cytotoxicity and genotoxicity of single and combined pesticides used by Bolivian farmers. Environ. Mol. Mutagen. 2022, 63, 4–17. [Google Scholar] [CrossRef]
- Bülbül, E.; Özhan, G.; Bülbül, E.; Bülbül, G.Ö.E.; Özhan, G. Cytotoxic effects of triazole fungucides. J. Fac. Pharm. Istanb. Univ. 2012, 42, 23–31. [Google Scholar]
- Daniel, S.L.; Hartman, G.L.; Wagner, E.D.; Plewa, M.J. Mammalian Cell Cytotoxicity Analysis of Soybean Rust Fungicides. Bull. Environ. Contam. Toxicol. 2007, 78, 474–478. [Google Scholar] [CrossRef]
- de Jong, E.; Barenys, M.; Hermsen, S.A.B.; Verhoef, A.; Ossendorp, B.C.; Bessems, J.G.M.; Piersma, A.H. Comparison of the mouse Embryonic Stem cell Test, the rat Whole Embryo Culture and the Zebrafish Embryotoxicity Test as alternative methods for developmental toxicity testing of six 1,2,4-triazoles. Toxicol. Appl. Pharm. 2011, 253, 103–111. [Google Scholar] [CrossRef] [PubMed]
- Hu, L.; Wang, X.; Qian, M.; Zhang, H.; Jin, Y. Impacts of prothioconazole and prothioconazole-desthio on bile acid and glucolipid metabolism: Upregulation of CYP7A1 expression in HepG2 cells. Pestic. Biochem. Phys. 2024, 198, 105702. [Google Scholar] [CrossRef]
- Jeong, S.A.; Song, J.; Ham, J.; An, G.; Song, G.; Lim, W. Tetraconazole interrupts mitochondrial function and intracellular calcium levels leading to apoptosis of bovine mammary epithelial cells. Pestic. Biochem. Phys. 2023, 191, 105366. [Google Scholar] [CrossRef]
- Kim, M.; Park, W.; Lim, W.; Song, G.; Park, S. Bromuconazole impairs implantation process through cellular stress response in human trophoblast and endometrial cells. Pestic. Biochem. Phys. 2025, 214, 106632. [Google Scholar] [CrossRef]
- Kjærstad, M.B.; Taxvig, C.; Nellemann, C.; Vinggaard, A.M.; Andersen, H.R. Endocrine disrupting effects in vitro of conazole antifungals used as pesticides and pharmaceuticals. Reprod. Toxicol. 2010, 30, 573–582. [Google Scholar] [CrossRef]
- Kwon, H.-C.; Kim, D.-H.; Jeong, C.-H.; Kim, Y.-J.; Han, J.-H.; Lim, S.-J.; Shin, D.-M.; Kim, D.-W.; Han, S.-G. Tebuconazole Fungicide Induces Lipid Accumulation and Oxidative Stress in HepG2 Cells. Foods 2021, 10, 2242. [Google Scholar] [CrossRef]
- Lee, W.-Y.; Lee, R.; Park, H.-J. Tebuconazole Induces ER-Stress-Mediated Cell Death in Bovine Mammary Epithelial Cell Lines. Toxics 2023, 11, 397. [Google Scholar] [CrossRef]
- Leite, F.G.; Silva, C.d.P.M.; Miranda, R.G.; Dorta, D.J. Comparison of in vitro toxicity in HepG2 cells: Toxicological role of Tebuconazole-tert-butyl-hydroxy in exposure to the fungicide Tebuconazole. Pestic. Biochem. Phys. 2024, 202, 105954. [Google Scholar] [CrossRef]
- Li, R.; Liu, B.; Xu, W.; Yu, L.; Zhang, C.; Cheng, J.; Tao, L.; Li, Z.; Zhang, Y. DNA damage and cell apoptosis induced by fungicide difenoconazole in mouse mononuclear macrophage RAW264.7. Environ. Toxicol. 2022, 37, 650–659. [Google Scholar] [CrossRef]
- Li, Y.-C.; Liu, S.-Y.; Li, H.-R.; Meng, F.-B.; Qiu, J.; Qian, Y.-Z.; Xu, Y.-Y. Use of Transcriptomics to Reveal the Joint Immunotoxicity Mechanism Initiated by Difenoconazole and Chlorothalonil in the Human Jurkat T-Cell Line. Foods 2024, 13, 34. [Google Scholar] [CrossRef]
- Liu, Y.; Xu, N.; Song, X.; Deng, M.; Sun, R.; Wang, P.; Cao, L. Specific Hepatorenal Toxicity and Cross-Species Susceptibility of Eight Representative Pesticides. Toxics 2025, 13, 911. [Google Scholar] [CrossRef]
- Luo, Y.; Lu, S.; Sun, X.; Gao, Y.; Sun, G.; Yang, M.; Sun, X. Paclobutrazol exposure induces apoptosis and impairs autophagy in hepatocytes via the AMPK/mTOR signaling pathway. J. Biochem. Mol. Toxicol. 2021, 35, e22874. [Google Scholar] [CrossRef] [PubMed]
- Na, M.-J.; Lee, W.-Y.; Park, H.-J. Difenoconazole Induced Damage of Bovine Mammary Epithelial Cells via ER Stress and Inflammatory Response. Cells 2024, 13, 1715. [Google Scholar] [CrossRef] [PubMed]
- Nie, J.; Zhou, J.; Shen, Y.; Lin, R.; Hu, H.; Zeng, K.; Bi, H.; Huang, M.; Yu, L.; Zeng, S.; et al. Studies on the interaction of five triazole fungicides with human renal transporters in cells. Toxicol. In Vitr. 2023, 88, 105555. [Google Scholar] [CrossRef] [PubMed]
- Othmène, Y.B.; Kevin, M.; Ahmed, K.; Salem, I.B.; Anissa, B.; Salwa, A.-E.; Christophe, L. Tebuconazole induces ROS-dependent cardiac cell toxicity by activating DNA damage and mitochondrial apoptotic pathway. Ecotoxicol. Environ. Saf. 2020, 204, 111040. [Google Scholar] [CrossRef]
- Othmène, Y.B.; Kevin, M.; Anissa, B.; Ahmed, K.; Intidhar, B.S.; Manel, B.; Salwa, A.-E.; Christophe, L. Triazole fungicide tebuconazole induces apoptosis through ROS-mediated endoplasmic reticulum stress pathway. Environ. Toxicol. Pharmacol. 2022, 94, 103919. [Google Scholar] [CrossRef]
- Othmène, Y.B.; Salem, I.B.; Hamdi, H.; Annabi, E.; Abid-Essefi, S. Tebuconazole induced cytotoxic and genotoxic effects in HCT116 cells through ROS generation. Pestic. Biochem. Phys. 2021, 174, 104797. [Google Scholar] [CrossRef]
- Pan, L.; Lu, L.; Wang, J.; Zheng, C.; Fu, Y.; Xiao, S.; Jin, Y.; Zhuang, S. The fungicide difenoconazole alters mRNA expression levels of human CYP3A4 in HepG2 cells. Environ. Chem. Lett. 2017, 15, 673–678. [Google Scholar] [CrossRef]
- Rjiba-Touati, K.; Ayed-Boussema, I.; Hamdi, H.; Abid, S. Genotoxic damage and apoptosis in rat glioma (F98) cell line following exposure to bromuconazole. NeuroToxicology 2023, 94, 108–116. [Google Scholar] [CrossRef]
- Rjiba-Touati, K.; Ayed-Boussema, I.; Hamdi, H.; Azzebi, A.; Abid, S. Bromuconazole fungicide induces cell cycle arrest and apoptotic cell death in cultured human colon carcinoma cells (HCT116) via oxidative stress process. Biomarkers 2022, 27, 659–670. [Google Scholar] [CrossRef]
- Rjiba-Touati, K.; Hamdi, H.; M’nassri, A.; Rich, S.; Mokni, M.; Abid, S. Brain injury, genotoxic damage and oxidative stress induced by Bromuconazole in male Wistar rats and in SH-SY5Y cell line. Biomarkers 2022, 27, 599–607. [Google Scholar] [CrossRef]
- Sanchez, C.L.; Souders, C.L.; Pena-Delgado, C.J.; Nguyen, K.T.; Kroyter, N.; Ahmadie, N.E.; Aristizabal-Henao, J.J.; Bowden, J.A.; Martyniuk, C.J. Neurotoxicity assessment of triazole fungicides on mitochondrial oxidative respiration and lipids in differentiated human SH-SY5Y neuroblastoma cells. NeuroToxicology 2020, 80, 76–86. [Google Scholar] [CrossRef]
- Serra, L.; Estienne, A.; Bongrani, A.; Ramé, C.; Caria, G.; Froger, C.; Jolivet, C.; Henriot, A.; Amalric, L.; Corbin, E.; et al. The epoxiconazole and tebuconazole fungicides impair granulosa cells functions partly through the aryl hydrocarbon receptor (AHR) signalling with contrasted effects in obese, normo-weight and polycystic ovarian syndrome (PCOS) patients. Toxicol. Rep. 2024, 12, 65–81. [Google Scholar] [CrossRef] [PubMed]
- Serra, L.; Estienne, A.; Caria, G.; Ramé, C.; Jolivet, C.; Froger, C.; Henriot, A.; Amalric, L.; Guérif, F.; Froment, P.; et al. In vitro exposure to triazoles used as fungicides impairs human granulosa cells steroidogenesis. Environ. Toxicol. Pharmacol. 2023, 104, 104295. [Google Scholar] [CrossRef] [PubMed]
- Sevim, Ç.; Taghizadehghalehjoughi, A.; Kara, M. Effects of chlorpyrifos-methyl, chlormequat, deltamethrin, glyphosate, pirimiphos-methyl, tebuconazole and their mixture on oxidative stress and toxicity in HUVEC cell line. İstanb. J. Pharm. 2021, 51, 183–190. [Google Scholar] [CrossRef]
- Tian, S.; Yan, S.; Meng, Z.; Sun, W.; Yan, J.; Huang, S.; Wang, Y.; Zhou, Z.; Diao, J.; Li, L.; et al. Widening the Lens on Prothioconazole and Its Metabolite Prothioconazole-Desthio: Aryl Hydrocarbon Receptor-Mediated Reproductive Disorders through in Vivo, in Vitro, and in Silico Studies. Environ. Sci. Technol. 2022, 56, 17890–17901. [Google Scholar] [CrossRef] [PubMed]
- Wang, T.; Ma, M.; Chen, C.; Yang, X.; Qian, Y. Three widely used pesticides and their mixtures induced cytotoxicity and apoptosis through the ROS-related caspase pathway in HepG2 cells. Food Chem. Toxicol. 2021, 152, 112162. [Google Scholar] [CrossRef]
- Wang, X.; Ni, H.; Xu, W.; Wu, B.; Xie, T.; Zhang, C.; Cheng, J.; Li, Z.; Tao, L.; Zhang, Y. Difenoconazole induces oxidative DNA damage and mitochondria mediated apoptosis in SH-SY5Y cells. Chemosphere 2021, 283, 131160. [Google Scholar] [CrossRef] [PubMed]
- Xu, J.; Xiong, H.; Zhang, X.; Muhayimana, S.; Liu, X.; Xue, Y.; Huang, Q. Comparative cytotoxic effects of five commonly used triazole alcohol fungicides on human cells of different tissue types. J. Environ. Sci. Health Part B 2020, 55, 438–446. [Google Scholar] [CrossRef]
- Xu, X.-B. Chiral analysis and semi-preparative separation of metconazole stereoisomers by supercritical fluid chromatography and cytotoxicity assessment in vitro. J. Sep. Sci. 2024, 47, 2300655. [Google Scholar] [CrossRef]
- Zhou, J.; Zhang, J.; Li, F.; Liu, J. Triazole fungicide tebuconazole disrupts human placental trophoblast cell functions. J. Hazard. Mater. 2016, 308, 294–302. [Google Scholar] [CrossRef]
- Abbassy, M.A.; Marzouk, M.A.; Nasr, H.M.; Mansy, A. Effect of imidacloprid and tetraconazole on various hematological and biochemical parameters in male albino rats (Rattus norvegious). J. Political Sci. Public Aff. 2014, 2, 1000122. [Google Scholar] [CrossRef]
- Australian Pesticides and Veterinary Medicines Authority. Evaluation of the New Active Prothioconazole in the Product Redigo Fungicidal Seed Treatment. 2007. Available online: https://www.apvma.gov.au/sites/default/files/publication/13941-prs-prothioconazole.pdf (accessed on 10 September 2025).
- El-Shershaby, A.E.-F.M.; Lashein, F.E.-D.M.; Seleem, A.A.; Ahmed, A.A. Toxicological potential of penconazole on early embryogenesis of white mice Mus musculus in either pre- or post-implantation exposure. Environ. Sci. Pollut. Res. 2020, 27, 9943–9956. [Google Scholar] [CrossRef]
- European Food Safety Authority. Conclusion regarding the peer review of the pesticide risk assessment of the active substance triticonazole. EFSA J. 2005, 3, 33ar. [Google Scholar] [CrossRef]
- European Food Safety Authority. Conclusion regarding the peer review of the pesticide risk assessment of the active substance bromuconazole. EFSA J. 2008, 6, 136r. [Google Scholar] [CrossRef]
- European Food Safety Authority. Conclusion regarding the peer review of the pesticide risk assessment of the active substance tetraconazole. EFSA J. 2008, 152, 1–86. [Google Scholar] [CrossRef]
- European Food Safety Authority. Conclusion on the peer review of the pesticide risk assessment of the active substance bromuconazole. EFSA J. 2010, 8, 1704. [Google Scholar] [CrossRef]
- European Food Safety Authority. Conclusion on the peer review of the pesticide risk assessment of the active substance paclobutrazol. EFSA J. 2010, 8, 1876. [Google Scholar] [CrossRef]
- European Food Safety Authority. Conclusion on the peer review of the pesticide risk assessment of the active substance difenoconazole. EFSA J. 2011, 9, 1967. [Google Scholar] [CrossRef]
- Food and Agriculture Organization of the United Nations. Toxicological Evaluation of Penconazole; Food and Agriculture Organization of the United Nations: Rome, Italy, 2015.
- Hariyadi, H.R. The presence of bromuconazole fungicide pollutant in organic waste anaerobic fermentation. IOP Conf. Ser. Earth Environ. Sci. 2017, 60, 012022. [Google Scholar] [CrossRef]
- Khwanes, S.A.; Mohamed, R.A.; Ibrahim, K.A.; Abd El-Rahman, H.A. Ginger reserves testicular spermatogenesis and steroidogenesis in difenoconazole-intoxicated rats by conducting oxidative stress, apoptosis and proliferation. Andrologia 2022, 54, e14241. [Google Scholar] [CrossRef]
- Klix, M.B.; Verreet, J.-A.; Beyer, M. Comparison of the declining triazole sensitivity of Gibberella zeae and increased sensitivity achieved by advances in triazole fungicide development. Crop Prot. 2007, 26, 683–690. [Google Scholar] [CrossRef]
- Li, X.; Lian, T.; Su, B.; Liu, H.; Wang, Y.; Wu, X.; He, J.; Wang, Y.; Xu, Y.; Yang, S.; et al. Construction of a physiologically based pharmacokinetic model of paclobutrazol and exposure estimation in the human body. Toxicology 2024, 505, 153841. [Google Scholar] [CrossRef]
- Mohamed, R.E.s.; El-Sayed, M.M.; Arief, M.M.; Mahmoud, A.A. Evaluation of the ameliorative effect of Cinnamon cassia against metabolic disorder and thyroid hormonal disruption following treatment with difenoconazole fungicide in the male albino rats. Egypt. J. Chem. 2022, 65, 55–67. [Google Scholar] [CrossRef]
- Osman, A.H.; Elshama, S.S.; Osman, A.S.; El-Hameed, A.K.A. Toxicological and pathological evaluation of prolonged bromuconazole fungicide exposure in male rats. Med. J. Cairo Univ. 2011, 79, 555–564. Available online: https://scholar.cu.edu.eg/?q=yomnakhaled/files/cairo_univeristy_journal.pdf (accessed on 10 September 2025).
- Rjiba-Touati, K.; Hamdi, H.; M’nassri, A.; Guedri, Y.; Mokni, M.; Abid, S. Bromuconazole caused genotoxicity and hepatic and renal damage via oxidative stress process in Wistar rats. Environ. Sci. Pollut. Res. 2022, 29, 14111–14120. [Google Scholar] [CrossRef]
- Solera ATO, L. Safety Data Sheet - Tebuconazole. 2015. Available online: https://www.greenbook.net/solera-source-dynamics/tebuconazole-36f (accessed on 6 November 2025).
- Tesh, S.A.; Tesh, J.M.; Fegert, I.; Buesen, R.; Schneider, S.; Mentzel, T.; van Ravenzwaay, B.; Stinchcombe, S. Innovative selection approach for a new antifungal agent mefentrifluconazole (Revysol®) and the impact upon its toxicity profile. Regul. Toxicol. Pharmacol. 2019, 106, 152–168. [Google Scholar] [CrossRef]
- United States Environmental Protection Agency. Pesticide Fact Sheet—Tetraconazole. 2005. Available online: https://www3.epa.gov/pesticides/chem_search/reg_actions/registration/fs_PC-120603_01-Apr-05.pdf (accessed on 10 September 2025).
- United States Environmental Protection Agency. Pesticide Fact Sheet—Triticonazole. 2005. Available online: https://www3.epa.gov/pesticides/chem_search/cleared_reviews/csr_PC-125620_1-Nov-00_a.pdf (accessed on 10 September 2025).
- United States Environmental Protection Agency. Pesticide Fact Sheet—Metconazole. 2007. Available online: https://www3.epa.gov/pesticides/chem_search/reg_actions/registration/fs_PC-125619_01-Sep-07.pdf (accessed on 10 September 2025).
- Xu, M.; Yang, F. Integrated gender-related effects of profenofos and paclobutrazol on neurotransmitters in mouse. Ecotoxicol. Environ. Saf. 2020, 190, 110085. [Google Scholar] [CrossRef]
- Yue, K.; Liu, Z.; Pi, Z.; Li, H.; Wang, Y.; Song, F.; Liu, Z. Network Pharmacology Combined with Metabolomics Approach to Investigate the Toxicity Mechanism of Paclobutrazol. Chem. Res. Toxicol. 2022, 35, 626–635. [Google Scholar] [CrossRef]
- Schneider, K.; Schwarz, M.; Burkholder, I.; Kopp-Schneider, A.; Edler, L.; Kinsner-Ovaskainen, A.; Hartung, T.; Hoffmann, S. “ToxRTool”, a new tool to assess the reliability of toxicological data. Toxicol. Lett. 2009, 189, 138–144. [Google Scholar] [CrossRef]
- Kwon, H.C.; Sohn, H.; Kim, D.H.; Shin, D.M.; Jeong, C.H.; Chang, Y.H.; Yune, J.H.; Kim, Y.J.; Kim, D.-W.; Kim, S.H.; et al. In Vitro and In Vivo Study on the Toxic Effects of Propiconazole Fungicide in the Pathogenesis of Liver Fibrosis. J. Agric. Food Chem. 2021, 69, 7399–7408. [Google Scholar] [CrossRef] [PubMed]
- Lin, N.; Garry, V.F. In vitro studies of cellular and molecular developmental toxicity of adjuvants, herbicides, and fungicides commonly used in Red River Valley, Minnesota. J. Toxicol. Environ. Health Part A 2000, 60, 423–439. [Google Scholar] [CrossRef]
- Regueiro, J.; Olguín, N.; Simal-Gándara, J.; Suñol, C. Toxicity evaluation of new agricultural fungicides in primary cultured cortical neurons. Environ. Res. 2015, 140, 37–44. [Google Scholar] [CrossRef] [PubMed]
- Safandeev, V.V.; Beloedova, N.S.; Poroșin, M.A.; Bogdanova, A.V.; Sinitskaya, T.A. Characterization of a phenylpyrrole derivative fungicide in an acute oral toxicology study in rats. Health Care Kyrg. Sci. Pract. J. 2023, 1, 54–58. [Google Scholar] [CrossRef]
Disclaimer/Publisher’s Note: The statements, opinions and data contained in all publications are solely those of the individual author(s) and contributor(s) and not of MDPI and/or the editor(s). MDPI and/or the editor(s) disclaim responsibility for any injury to people or property resulting from any ideas, methods, instructions or products referred to in the content. |
© 2025 by the authors. Licensee MDPI, Basel, Switzerland. This article is an open access article distributed under the terms and conditions of the Creative Commons Attribution (CC BY) license (https://creativecommons.org/licenses/by/4.0/).




















