Enhanced In Vitro Antiviral Activity of Hydroxychloroquine Ionic Liquids against SARS-CoV-2
Abstract
:1. Introduction
2. Materials and Methods
2.1. General Remarks
2.2. General Procedure for the Synthesis of HCQ-ILs
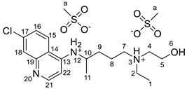
2.2.1. N4-(7-chloroquinolin-4-yl)-N1-ethyl-N1-(2-hydroxyethyl)pentane-1,4-diaminium bis(methanesulfonate), [HCQH2][C1SO3]2

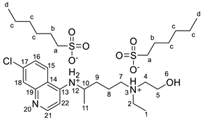
2.2.2. N4-(7-chloroquinolin-4-yl)-N1-ethyl-N1-(2-hydroxyethyl)pentane-1,4-diaminium bis(hexane-1-sulfonate), [HCQH2][C6SO3]2

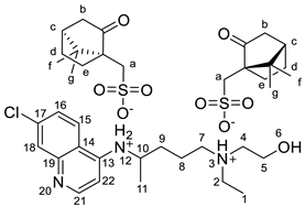
2.2.3. N4-(7-chloroquinolin-4-yl)-N1-ethyl-N1-(2-hydroxyethyl)pentane-1,4-diaminium bis(1,4-bis((2-ethylhexyl)oxy)-1,4-dioxobutane-2-sulfonate), [HCQH2][DocSO3]2

2.2.4. N4-(7-chloroquinolin-4-yl)-N1-ethyl-N1-(2-hydroxyethyl)pentane-1,4-diaminium bis(1,4-bis([(1S)-7,7-dimethyl-2-oxo-1-bicyclo [2.2.1]heptanyl]methanesulfonic Acid), [HCQH2][CampSO3]2

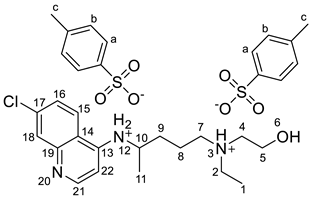
2.2.5. N4-(7-chloroquinolin-4-yl)-N1-ethyl-N1-(2-hydroxyethyl)pentane-1,4-diaminium bis(4-methylbenzenesulfonate), [HCQH2][p-TolSO3]2

2.2.6. N4-(7-chloroquinolin-4-yl)-N1-ethyl-N1-(2-hydroxyethyl)pentane-1,4-diaminium bis(dodecane-1-sulfonate), [HCQH2][C12SO4]2

2.2.7. N4-(7-chloroquinolin-4-yl)-N1-ethyl-N1-(2-hydroxyethyl)pentane-1,4-diaminium bis((2S,3R,4S,5S)-2,3,4,5,6-pentahydroxyhexanoate), [HCQH2][GlcCOO]2

2.3. Water Solubility Studies
2.4. Octanol–Water Partition Coefficient Studies
2.5. Critical Micelle Concentration
2.6. Biological Studies
2.7. Cell Culture
2.8. Virus Stock
2.9. Cell Viability Assay
2.10. Antiviral Activity Assays
2.10.1. Inhibition of Virus-Induced CPE
2.10.2. Inhibition of Viral RNA Transcription and Infectious Progeny Production
2.10.3. qRT-PCR Assay
2.11. Statistical Analysis
3. Results and Discussion
3.1. Synthesis and Characterization
3.2. Thermal Properties
3.3. Water Solubility and Octanol–Water Partition Coefficient Studies
3.4. Critical Micelle Concentration
3.5. Cytotoxicity in Vero E6 Cells
3.6. In Vitro Antiviral Efficacy against SARS-CoV-2
3.6.1. Inhibitory Effects on Virus-Induced CPE
3.6.2. Inhibitory Effects on vRNA Transcription and Progeny Production
4. Conclusions
Supplementary Materials
Author Contributions
Funding
Institutional Review Board Statement
Informed Consent Statement
Data Availability Statement
Conflicts of Interest
Abbreviations
References
- World Health Organization. WHO Coronavirus (COVID-19) Dashboard. WHO Coronavirus (COVID-19) Dashboard with Vaccination Data. Available online: https://covid19.who.int/ (accessed on 2 February 2022).
- El Keshky, M.E.S.; Basyouni, S.S.; Al Sabban, A.M. Corrigendum: Getting through COVID-19: The Pandemic’s Impact on the Psychology of Sustainability, Quality of Life, and the Global Economy—A Systematic Review. Front. Psychol. 2021, 12, 3188. [Google Scholar] [CrossRef] [PubMed]
- Tao, K.; Tzou, P.L.; Nouhin, J.; Bonilla, H.; Jagannathan, P.; Shafer, R.W. SARS-CoV-2 Antiviral Therapy. Clin. Microbiol. Rev. 2021, 34, e0010921. [Google Scholar] [CrossRef] [PubMed]
- U.S. Food and Drug Administration (FDA). Know Your Treatment Options for COVID-19. Available online: https://www.fda.gov/consumers/consumer-updates/know-your-treatment-options-covid-19 (accessed on 2 February 2022).
- European Medicines Agency. COVID-19 Treatments. Available online: https://www.ema.europa.eu/en/human-regulatory/overview/public-health-threats/coronavirus-disease-covid-19/treatments-vaccines/covid-19-treatments (accessed on 2 February 2022).
- Beigel, J.H.; Tomashek, K.M.; Dodd, L.E.; Mehta, A.K.; Zingman, B.S.; Kalil, A.C.; Hohmann, E.; Chu, H.Y.; Luetkemeyer, A.; Kline, S.; et al. Remdesivir for the Treatment of Covid-19—Final Report. N. Engl. J. Med. 2020, 383, 1813–1826. [Google Scholar] [CrossRef] [PubMed]
- Pan, H.; Peto, R.; Henao-Restrepo, A.-M.; Preziosi, M.-P.; Sathiyamoorthy, V.; Abdool Karim, Q.; Alejandria, M.M.; Hernández García, C.; Kieny, M.P.; Malekzadeh, R.; et al. Repurposed Antiviral Drugs for COVID-19—Interim WHO Solidarity Trial Results. N. Engl. J. Med. 2021, 384, 497–511. [Google Scholar]
- Burki, T.K. The Role of Antiviral Treatment in the COVID-19 Pandemic. Lancet Respir. Med. 2022, 10, e18. [Google Scholar] [CrossRef]
- Murgolo, N.; Therien, A.G.; Howell, B.; Klein, D.; Koeplinger, K.; Lieberman, L.A.; Adam, G.C.; Flynn, J.; McKenna, P.; Swaminathan, G.; et al. SARS-CoV-2 Tropism, Entry, Replication, and Propagation: Considerations for Drug Discovery and Development. PLoS Pathog. 2021, 17, e1009225. [Google Scholar] [CrossRef]
- Wang, M.; Cao, R.; Zhang, L.; Yang, X.; Liu, J.; Xu, M.; Shi, Z.; Hu, Z.; Zhong, W.; Xiao, G. Remdesivir and Chloroquine Effectively Inhibit the Recently Emerged Novel Coronavirus (2019-NCoV) in Vitro. Cell Res. 2020, 30, 269–271. [Google Scholar] [CrossRef]
- Liu, J.; Cao, R.; Xu, M.; Wang, X.; Zhang, H.; Hu, H.; Li, Y.; Hu, Z.; Zhong, W.; Wang, M. Hydroxychloroquine, a Less Toxic Derivative of Chloroquine, Is Effective in Inhibiting SARS-CoV-2 Infection In Vitro. Cell Discov. 2020, 6, 16. [Google Scholar] [CrossRef] [Green Version]
- Yao, X.; Ye, F.; Zhang, M.; Cui, C.; Huang, B.; Niu, P.; Liu, X.; Zhao, L.; Dong, E.; Song, C.; et al. In Vitro Antiviral Activity and Projection of Optimized Dosing Design of Hydroxychloroquine for the Treatment of Severe Acute Respiratory Syndrome Coronavirus 2 (SARS-CoV-2). Clin. Infect. Dis. 2020, 71, 732–739. [Google Scholar] [CrossRef] [Green Version]
- Smolen, J.S.; Landewé, R.B.M.; Bijlsma, J.W.J.; Burmester, G.R.; Dougados, M.; Kerschbaumer, A.; McInnes, I.B.; Sepriano, A.; Van Vollenhoven, R.F.; De Wit, M.; et al. EULAR Recommendations for the Management of Rheumatoid Arthritis with Synthetic and Biological Disease-Modifying Antirheumatic Drugs: 2019 Update. Ann. Rheum. Dis. 2020, 79, S685–S699. [Google Scholar] [CrossRef] [Green Version]
- Fanouriakis, A.; Kostopoulou, M.; Alunno, A.; Aringer, M.; Bajema, I.; Boletis, J.N.; Cervera, R.; Doria, A.; Gordon, C.; Govoni, M.; et al. 2019 Update of the EULAR Recommendations for the Management of Systemic Lupus Erythematosus. Ann. Rheum. Dis. 2019, 78, 736–745. [Google Scholar] [CrossRef] [PubMed] [Green Version]
- Pons-Estel, B.A.; Bonfa, E.; Soriano, E.R.; Cardiel, M.H.; Izcovich, A.; Popoff, F.; Criniti, J.M.; Vásquez, G.; Massardo, L.; Duarte, M.; et al. First Latin American Clinical Practice Guidelines for the Treatment of Systemic Lupus Erythematosus: Latin American Group for the Study of Lupus (GLADEL, Grupo Latino Americano de Estudio Del Lupus)-Pan-American League of Associations of Rheumatology (PANLAR). Ann. Rheum. Dis. 2018, 77, 1549–1557. [Google Scholar] [CrossRef] [PubMed] [Green Version]
- Gordon, C.; Amissah-Arthur, M.B.; Gayed, M.; Brown, S.; Bruce, I.N.; D’Cruz, D.; Empson, B.; Griffiths, B.; Jayne, D.; Khamashta, M.; et al. The British Society for Rheumatology Guideline for the Management of Systemic Lupus Erythematosus in Adults. Rheumatology 2018, 57, e1–e45. [Google Scholar] [CrossRef] [PubMed] [Green Version]
- Ben-Zvi, I.; Kivity, S.; Langevitz, P.; Shoenfeld, Y. Hydroxychloroquine: From Malaria to Autoimmunity. Clin. Rev. Allergy Immunol. 2012, 42, 145–153. [Google Scholar] [CrossRef] [PubMed]
- Eng, E.O.; Chew, J.S.W.; Jin, P.L.; Chua, R.C.S. In Vitro Inhibition of Human Influenza A Virus Replication by Chloroquine. Virol. J. 2006, 3, 39. [Google Scholar] [CrossRef] [Green Version]
- Shibata, M.; Aoki, H.; Tsurumi, T.; Sugiura, Y.; Nishiyama, Y.; Suzuki, S.; Maeno, K. Mechanism of Uncoating of Influenza B Virus in MDCK Cells: Action of Chloroquine. J. Gen. Virol. 1983, 64, 1149–1156. [Google Scholar] [CrossRef]
- Paton, N.I.; Aboulhab, J. Hydroxychloroquine, Hydroxyurea and Didanosine as Initial Therapy for HIV-Infected Patients with Low Viral Load: Safety, Efficacy and Resistance Profile after 144 Weeks. HIV Med. 2005, 6, 13–20. [Google Scholar] [CrossRef]
- Keyaerts, E.; Vijgen, L.; Maes, P.; Neyts, J.; Van Ranst, M. In Vitro Inhibition of Severe Acute Respiratory Syndrome Coronavirus by Chloroquine. Biochem. Biophys. Res. Commun. 2004, 323, 264–268. [Google Scholar] [CrossRef]
- Vincent, M.J.; Bergeron, E.; Benjannet, S.; Erickson, B.R.; Rollin, P.E.; Ksiazek, T.G.; Seidah, N.G.; Nichol, S.T. Chloroquine Is a Potent Inhibitor of SARS Coronavirus Infection and Spread. Virol. J. 2005, 2, 69. [Google Scholar] [CrossRef] [Green Version]
- Keyaerts, E.; Li, S.; Vijgen, L.; Rysman, E.; Verbeeck, J.; Van Ranst, M.; Maes, P. Antiviral Activity of Chloroquine against Human Coronavirus OC43 Infection in Newborn Mice. Antimicrob. Agents Chemother. 2009, 53, 3416–3421. [Google Scholar] [CrossRef] [Green Version]
- Flannery, E.L.; Chatterjee, A.K.; Winzeler, E.A. Antimalarial Drug Discovery-Approaches and Progress towards New Medicines. Nat. Rev. Microbiol. 2013, 11, 849–862. [Google Scholar] [CrossRef] [PubMed] [Green Version]
- Ridley, R.G. Medical Need, Scientific Opportunity and the Drive for Antimalarial Drugs. Nature 2002, 415, 686–693. [Google Scholar] [CrossRef] [PubMed]
- Ohkuma, S.; Poole, B. Fluorescence Probe Measurement of the Intralysosomal PH in Living Cells and the Perturbation of PH by Various Agents. Proc. Natl. Acad. Sci. USA 1978, 75, 3327–3331. [Google Scholar] [CrossRef] [PubMed] [Green Version]
- Ziegler, H.K.; Unanue, E.R. Decrease in Macrophage Antigen Catabolism Caused by Ammonia and Chloroquine Is Associated with Inhibition of Antigen Presentation to T Cells. Proc. Natl. Acad. Sci. USA 1982, 79, 175–178. [Google Scholar] [CrossRef] [PubMed] [Green Version]
- Wu, F.; Zhao, S.; Yu, B.; Chen, Y.M.; Wang, W.; Song, Z.G.; Hu, Y.; Tao, Z.W.; Tian, J.H.; Pei, Y.Y.; et al. A New Coronavirus Associated with Human Respiratory Disease in China. Nature 2020, 579, 265–269. [Google Scholar] [CrossRef] [Green Version]
- Lu, R.; Zhao, X.; Li, J.; Niu, P.; Yang, B.; Wu, H.; Wang, W.; Song, H.; Huang, B.; Zhu, N.; et al. Genomic Characterisation and Epidemiology of 2019 Novel Coronavirus: Implications for Virus Origins and Receptor Binding. Lancet 2020, 395, 565–574. [Google Scholar] [CrossRef] [Green Version]
- Hoffmann, M.; Kleine-Weber, H.; Schroeder, S.; Krüger, N.; Herrler, T.; Erichsen, S.; Schiergens, T.S.; Herrler, G.; Wu, N.H.; Nitsche, A.; et al. SARS-CoV-2 Cell Entry Depends on ACE2 and TMPRSS2 and Is Blocked by a Clinically Proven Protease Inhibitor. Cell 2020, 181, 271–280.e8. [Google Scholar] [CrossRef]
- Uzunova, K.; Filipova, E.; Pavlova, V.; Vekov, T. Insights into Antiviral Mechanisms of Remdesivir, Lopinavir/Ritonavir and Chloroquine/Hydroxychloroquine Affecting the New SARS-CoV-2. Biomed. Pharmacother. 2020, 131, 110668. [Google Scholar] [CrossRef]
- Schilling, W.H.K.; White, N.J. Does Hydroxychloroquine Still Have Any Role in the COVID-19 Pandemic? Expert Opin. Pharmacother. 2021, 22, 1257–1266. [Google Scholar] [CrossRef]
- Gbinigie, K.; Fri, K. Should Chloroquine and Hydroxychloroquine Be Used to Treat COVID-19? A Rapid Review. BJGP Open 2020, 4, bjgpopen20X101069. [Google Scholar] [CrossRef]
- Shukla, A.M.; Archibald, L.K.; Shukla, A.W.; Mehta, H.J.; Cherabuddi, K. Chloroquine and Hydroxychloroquine in the Context of COVID-19. Drugs Context 2020, 9, 2020-4-5. [Google Scholar] [CrossRef] [PubMed]
- Fan, J.; Zhang, X.; Liu, J.; Yang, Y.; Zheng, N.; Liu, Q.; Bergman, K.; Reynolds, K.; Huang, S.M.; Zhu, H.; et al. Connecting Hydroxychloroquine in Vitro Antiviral Activity to in Vivo Concentration for Prediction of Antiviral Effect: A Critical Step in Treating Patients with Coronavirus Disease 2019. Clin. Infect. Dis. 2020, 71, 3232–3236. [Google Scholar] [CrossRef] [PubMed]
- Stella, V.J. Prodrugs: Some Thoughts and Current Issues. J. Pharm. Sci. 2010, 99, 4755–4765. [Google Scholar] [CrossRef] [PubMed]
- Huttunen, K.M.; Raunio, H.; Rautio, J. Prodrugs-from Serendipity to Rational Design. Pharmacol. Rev. 2011, 63, 750–771. [Google Scholar] [CrossRef] [Green Version]
- Childs, S.L.; Chyall, L.J.; Dunlap, J.T.; Smolenskaya, V.N.; Stahly, B.C.; Stahly, G.P. Crystal Engineering Approach to Forming Cocrystals of Amine Hydrochlorides with Organic Acids. Molecular Complexes of Fluoxetine Hydrochloride with Benzoic, Succinic, and Fumaric Acids. J. Am. Chem. Soc. 2004, 126, 13335–13342. [Google Scholar] [CrossRef] [Green Version]
- Dean, P.M.; Turanjanin, J.; Yoshizawa-Fujita, M.; MacFarlane, D.R.; Scott, J.L. Exploring an Anti-Crystal Engineering Approach to the Preparation of Pharmaceutically Active Ionic Liquids. Cryst. Growth Des. 2009, 9, 1137–1145. [Google Scholar] [CrossRef]
- Elder, D.P.; Holm, R.; De Diego, H.L. Use of Pharmaceutical Salts and Cocrystals to Address the Issue of Poor Solubility. Int. J. Pharm. 2013, 453, 88–100. [Google Scholar] [CrossRef]
- Leuner, C.; Dressman, J. Improving Drug Solubility for Oral Delivery Using Solid Dispersions. Eur. J. Pharm. Biopharm. 2000, 50, 47–60. [Google Scholar] [CrossRef]
- Vasconcelos, T.; Sarmento, B.; Costa, P. Solid Dispersions as Strategy to Improve Oral Bioavailability of Poor Water Soluble Drugs. Drug Discov. Today 2007, 12, 1068–1075. [Google Scholar] [CrossRef]
- Torchilin, V.P. Recent Advances with Liposomes as Pharmaceutical Carriers. Nat. Rev. Drug Discov. 2005, 4, 145–160. [Google Scholar] [CrossRef]
- Serajuddin, A.T.M. Salt Formation to Improve Drug Solubility. Adv. Drug Deliv. Rev. 2007, 59, 603–616. [Google Scholar] [CrossRef] [PubMed]
- Pedro, S.N.; Freire, C.S.R.; Silvestre, A.J.D.; Freire, M.G. The Role of Ionic Liquids in the Pharmaceutical Field: An Overview of Relevant Applications. Int. J. Mol. Sci. 2020, 21, 8298. [Google Scholar] [CrossRef] [PubMed]
- Mero, A.; Mezzetta, A.; Nowicki, J.; Łuczak, J.; Guazzelli, L. Betaine and L-Carnitine Ester Bromides: Synthesis and Comparative Study of Their Thermal Behaviour and Surface Activity. J. Mol. Liq. 2021, 334, 115988. [Google Scholar] [CrossRef]
- Tampucci, S.; Guazzelli, L.; Burgalassi, S.; Carpi, S.; Chetoni, P.; Mezzetta, A.; Nieri, P.; Polini, B.; Pomelli, C.S.; Terreni, E.; et al. PH-Responsive Nanostructures Based on Surface Active Fatty Acid-Protic Ionic Liquids for Imiquimod Delivery in Skin Cancer Topical Therapy. Pharmaceutics 2020, 12, 1078. [Google Scholar] [CrossRef]
- Hough, W.L.; Smiglak, M.; Rodríguez, H.; Swatloski, R.P.; Spear, S.K.; Daly, D.T.; Pernak, J.; Grisel, J.E.; Carliss, R.D.; Soutullo, M.D.; et al. The Third Evolution of Ionic Liquids: Active Pharmaceutical Ingredients. New J. Chem. 2007, 31, 1429–1436. [Google Scholar] [CrossRef]
- Egorova, K.S.; Gordeev, E.G.; Ananikov, V.P. Biological Activity of Ionic Liquids and Their Application in Pharmaceutics and Medicine. Chem. Rev. 2017, 117, 7132–7189. [Google Scholar] [CrossRef]
- Cole, M.R.; Li, M.; El-Zahab, B.; Janes, M.E.; Hayes, D.; Warner, I.M. Design, Synthesis, and Biological Evaluation of β-Lactam Antibiotic-Based Imidazolium- and Pyridinium-Type Ionic Liquids. Chem. Biol. Drug Des. 2011, 78, 33–41. [Google Scholar] [CrossRef]
- Florindo, C.; Costa, A.; Matos, C.; Nunes, S.L.; Matias, A.N.; Duarte, C.M.M.; Rebelo, L.P.N.; Branco, L.C.; Marrucho, I.M. Novel Organic Salts Based on Fluoroquinolone Drugs: Synthesis, Bioavailability and Toxicological Profiles. Int. J. Pharm. 2014, 469, 179–189. [Google Scholar] [CrossRef]
- Santos, M.M.; Alves, C.; Silva, J.; Florindo, C.; Costa, A.; Petrovski, Ž.; Marrucho, I.M.; Pedrosa, R.; Branco, L.C. Antimicrobial Activities of Highly Bioavailable Organic Salts and Ionic Liquids from Fluoroquinolones. Pharmaceutics 2020, 12, 694. [Google Scholar] [CrossRef]
- Madeira, D.; Alves, C.; Silva, J.; Florindo, C.; Costa, A.; Petrovski, Ž.; Marrucho, I.M.; Pedrosa, R.; Santos, M.M.; Branco, L.C. Fluoroquinolone-Based Organic Salts and Ionic Liquids as Highly Bioavailable Broad-Spectrum Antimicrobials. Proceedings 2020, 78, 3. [Google Scholar] [CrossRef]
- Ferraz, R.; Silva, D.; Dias, A.R.; Dias, V.; Santos, M.M.; Pinheiro, L.; Prudêncio, C.; Noronha, J.P.; Petrovski, Ž.; Branco, L.C. Synthesis and Antibacterial Activity of Ionic Liquids and Organic Salts Based on Penicillin g and Amoxicillin Hydrolysate Derivatives against Resistant Bacteria. Pharmaceutics 2020, 12, 221. [Google Scholar] [CrossRef] [PubMed] [Green Version]
- Santos, F.; Branco, L.C.; Duarte, A.R.C. Organic Salts Based on Isoniazid Drug: Synthesis, Bioavailability and Cytotoxicity Studies. Pharmaceutics 2020, 12, 952. [Google Scholar] [CrossRef] [PubMed]
- Teixeira, S.; Santos, M.M.; Ferraz, R.; Prudêncio, C.; Fernandes, M.H.; Costa-Rodrigues, J.; Branco, L.C. A Novel Approach for Bisphosphonates: Ionic Liquids and Organic Salts from Zoledronic Acid. ChemMedChem 2019, 14, 1767–1770. [Google Scholar] [CrossRef] [PubMed]
- Teixeira, S.; Santos, M.M.; Fernandes, M.H.; Costa-Rodrigues, J.; Branco, L.C. Alendronic Acid as Ionic Liquid: New Perspective on Osteosarcoma. Pharmaceutics 2020, 12, 293. [Google Scholar] [CrossRef] [Green Version]
- Teixeira, S.; Santos, M.M.; Branco, L.C.; Costa-Rodrigues, J. Etidronate-Based Organic Salts and Ionic Liquids: In Vitro Effects on Bone Metabolism. Int. J. Pharm. 2021, 610, 121262. [Google Scholar] [CrossRef]
- Santos, M.M.; Raposo, L.R.; Carrera, G.V.S.M.; Costa, A.; Dionísio, M.; Baptista, P.V.; Fernandes, A.R.; Branco, L.C. Ionic Liquids and Salts from Ibuprofen as Promising Innovative Formulations of an Old Drug. ChemMedChem 2019, 14, 907–911. [Google Scholar] [CrossRef]
- Carrera, G.V.S.M.; Santos, M.M.; Costa, A.; Rebelo, L.P.N.; Marrucho, I.M.; Nunes Da Ponte, M.; Branco, L.C. Highly Water Soluble Room Temperature Superionic Liquids of APIs. New J. Chem. 2017, 41, 6986–6990. [Google Scholar] [CrossRef]
- Ferraz, R.; Teixeira, V.; Rodrigues, D.; Fernandes, R.; Prudêncio, C.; Noronha, J.P.; Petrovski, Ž.; Branco, L.C. Antibacterial Activity of Ionic Liquids Based on Ampicillin against Resistant Bacteria. RSC Adv. 2014, 4, 4301–4307. [Google Scholar] [CrossRef] [Green Version]
- Billington, E.O.; Reid, I.R. Benefits of Bisphosphonate Therapy: Beyond the Skeleton. Curr. Osteoporos. Rep. 2020, 18, 587–596. [Google Scholar] [CrossRef]
- Guglielmero, L.; Mezzetta, A.; Guazzelli, L.; Pomelli, C.S.; D’Andrea, F.; Chiappe, C. Systematic Synthesis and Properties Evaluation of Dicationic Ionic Liquids, and a Glance into a Potential New Field. Front. Chem. 2018, 6, 612. [Google Scholar] [CrossRef] [Green Version]
- Patil, R.A.; Talebi, M.; Xu, C.; Bhawal, S.S.; Armstrong, D.W. Synthesis of Thermally Stable Geminal Dicationic Ionic Liquids and Related Ionic Compounds: An Examination of Physicochemical Properties by Structural Modification. Chem. Mater. 2016, 28, 4315–4323. [Google Scholar] [CrossRef]
- Mezzetta, A.; Perillo, V.; Guazzelli, L.; Chiappe, C. Thermal Behavior Analysis as a Valuable Tool for Comparing Ionic Liquids of Different Classes. J. Therm. Anal. Calorim. 2019, 138, 3335–3345. [Google Scholar] [CrossRef]
- Gindri, I.M.; Siddiqui, D.A.; Bhardwaj, P.; Rodriguez, L.C.; Palmer, K.L.; Frizzo, C.P.; Martins, M.A.P.; Rodrigues, D.C. Dicationic Imidazolium-Based Ionic Liquids: A New Strategy for Non-Toxic and Antimicrobial Materials. RSC Adv. 2014, 4, 62594–62602. [Google Scholar] [CrossRef]
- Gard, B.M.K.; Ennis, E.G.; Summerfield, J.H. 1-Octanol/Water Partition Coefficients of Dialkylated Methylimidazolium Halide Salts. Glob. J. Sci. Front. Res. B Chem. 2015, 15, 6-1-6. [Google Scholar]
- World Health Organization (WHO). Laboratory Biosafety Guidance Related to Coronavirus Disease (COVID-19): Interim Guidance, 28 January 2021; World Health Organization: Geneva, Switzerland, 2021. [Google Scholar]
- Reed, L.J.; Muench, H. A Simple Method of Estimating Fifty per Cent Endpoints. Am. J. Epidemiol. 1938, 27, 493–497. [Google Scholar] [CrossRef]
- Skittrall, J.P.; Wilson, M.; Smielewska, A.A.; Parmar, S.; Fortune, M.D.; Sparkes, D.; Curran, M.D.; Zhang, H.; Jalal, H. Specificity and Positive Predictive Value of SARS-CoV-2 Nucleic Acid Amplification Testing in a Low-Prevalence Setting. Clin. Microbiol. Infect. 2021, 27, 469.e9–469.e15. [Google Scholar] [CrossRef]
- Al-Sabagh, A.M.; Azzam, E.M.S.; Mahmoud, S.A.; Saleh, N.E.A. Synthesis of Ethoxylated Alkyl Sulfosuccinate Surfactants and the Investigation of Mixed Solutions. J. Surfactants Deterg. 2007, 10, 3–8. [Google Scholar] [CrossRef]
- Ratajczak, H.; Orville-Thomas, W.J. Molecular Interactions; Wiley: Hoboken, NJ, USA, 1980. [Google Scholar]





| HCQ-ILs | Tg/°C |
|---|---|
| [HCQH2][C1SO3]2 (3) | 29.9 |
| [HCQH2][C6SO3]2 (4) | 9.9 |
| [HCQH2][DocSO3]2 (5) | −7.9 |
| [HCQH2][CampSO3]2 (6) | 43.0 |
| [HCQH2][p-TolSO3]2 (7) | 26.3 |
| [HCQH2][C12SO4]2 (8) | −11.4 |
| [HCQH2][GlcCOO]2 (9) | 0.4 |
| HCQ-ILs | Water Solubility (mg/mL) | Log P |
|---|---|---|
| [HCQH2][SO4] (1) | 84 | −2.25 |
| [HCQH2][C1SO3]2 (3) | 1800 | −0.22 |
| [HCQH2][C6SO3]2 (4) | 910 | −1.04 |
| [HCQH2][DocSO3]2 (5) | <0.5 | 1.24 |
| [HCQH2][CampSO3]2 (6) | 2020 | −1.16 |
| [HCQH2][p-TolSO3]2 (7) | 1400 | −1.12 |
| [HCQH2][C12SO4]2 (8) | <0.5 | 1.01 |
| [HCQH2][GlcCOO]2 (9) | 1230 | −1.39 |
| HCQ-ILs | cmc/M | Reference cmc/M (25 °C) |
|---|---|---|
| [HCQH2][DocSO3]2 (5) | 1.79 × 10−6 | - |
| Na[DocSO3] (5a) | 1.54 × 10−3 | 5.0 × 10−3 [71] |
| [HCQH2][C12SO4]2 (8) | 4.83 × 10−6 | - |
| Na[C12SO4] (8a) | 9.60 × 10−3 | 8.0 × 10−3 [72] |
| Compounds | CC50 (μM) | 95% CI | SIG Differences |
|---|---|---|---|
| [HCQH2][SO4] (1) | 214.4 | 148.7–280.1 | |
| [HCQH2][C1SO3]2 (3) | 218.7 | 157.1–280.2 | |
| [HCQH2][C6SO3]2 (4) | 214.3 | 154.9–273.7 | |
| [HCQH2][DocSO3]2 (5) | 69.8 | 63.0–76.5 | **** 1,3,4,7,8,9 |
| [HCQH2][CampSO3]2 (6) | 73.2 | 68.0–78.5 | **** 1,3,4,7,8 *** 9 |
| [HCQH2][p-TolSO3]2 (7) | 206.7 | 142.4–270.9 | |
| [HCQH2][C12SO4]2 (8) | 209.3 | 116.0–302.6 | |
| [HCQH2][GlcCOO]2 (9) | 196.0 | 134.8–257.1 | |
| K[C1SO3]2 (3a) | >400 | - | |
| Na[C6SO3]2 (4a) | >400 | - | |
| Na[DocSO3]2 (5a) | 148.9 | 141.2–156.5 | **** 3a,4a,7a,8a,9a |
| Na[CampSO3]2 (6a) | 142.2 | 127.3–157.1 | **** 3a,4a,7a,8a,9a |
| Na[p-TolSO3]2 (7a) | >400 | - | |
| Na[C12SO4]2 (8a) | >400 | - | |
| Na[GlcCOO]2 (9a) | >400 | - |
| Compounds | EC50 (μM) | 95% CI | SIG Diff. | EC90 (μM) | 95% CI | SIG Diff. | SI |
|---|---|---|---|---|---|---|---|
| [HCQH2][SO4] (1) | 16.5 | 13.2–19.7 | 23.0 | 20.9–25.2 | 13.0 | ||
| [HCQH2][C1SO3]2 (3) | 8.14 | 7.0–9.3 | * 4; ** 1,7,8; *** 6 | >25 | - | 26.9 | |
| [HCQH2][C6SO3]2 (4) | 14.4 | 7.1–21.7 | 24.2 | 21.2–27.1 | 14.9 | ||
| [HCQH2][DocSO3]2 (5) | 8.9 | 4.9–12.9 | * 4,7; ** 1,8; *** 6 | 20.9 | 20.3–21.5 | * 4,8; ** 3,6,9 | 7.8 |
| [HCQH2][CampSO3]2 (6) | 17.8 | 13.3–22.2 | >25 | - | 4.1 | ||
| [HCQH2][p-TolSO3]2 (7) | 15.0 | 9.3–20.7 | 21.1 | 13.6–28.5 | ** 3,6,9 | 13.8 | |
| [HCQH2][C12SO4]2 (8) | 15.8 | 11.3–20.3 | 23.8 | 21.7–26.0 | 13.3 | ||
| [HCQH2][GlcCOO]2 (9) | 8.5 | 6.8–10.2 | * 4,7; ** 1,6,8; | >25 | - | 23.1 |
| Compounds | Inhibition of vRNA Transcription | |||||
|---|---|---|---|---|---|---|
| EC50 (μM) | 95% CI | SIG Diff. | EC90 (μM) | 95% CI | SI | |
| [HCQH2][SO4] (1) | 18.6 | 17.7–19.4 | 25.1 | 18.4–31.8 | 11.6 | |
| [HCQH2][C1SO3]2 (3) | 17.0 | 15.3–18.8 | 23.4 | 23.2–23.6 | 12.8 | |
| [HCQH2][GlcCOO]2 (9) | 16.3 | 13.9–18.7 | 23.1 | 21.3–24.9 | 12.0 | |
| Inhibition of production of infectious progeny viruses | ||||||
| [HCQH2][SO4] (1) | 21.7 | 19.2–24.2 | 24.3 | 21.7–26.9 | 9.9 | |
| [HCQH2][C1SO3]2 (3) | 21.8 | 21.1–22.6 | 24.4 | 24.1–24.7 | 10.0 | |
| [HCQH2][GlcCOO]2 (9) | 16.9 | 12.4–21.4 | * 1,3 | 22.5 | 18.7–26.3 | 11.6 |
Publisher’s Note: MDPI stays neutral with regard to jurisdictional claims in published maps and institutional affiliations. |
© 2022 by the authors. Licensee MDPI, Basel, Switzerland. This article is an open access article distributed under the terms and conditions of the Creative Commons Attribution (CC BY) license (https://creativecommons.org/licenses/by/4.0/).
Share and Cite
Faísca, F.; Correia, V.; Petrovski, Ž.; Branco, L.C.; Rebelo-de-Andrade, H.; Santos, M.M. Enhanced In Vitro Antiviral Activity of Hydroxychloroquine Ionic Liquids against SARS-CoV-2. Pharmaceutics 2022, 14, 877. https://doi.org/10.3390/pharmaceutics14040877
Faísca F, Correia V, Petrovski Ž, Branco LC, Rebelo-de-Andrade H, Santos MM. Enhanced In Vitro Antiviral Activity of Hydroxychloroquine Ionic Liquids against SARS-CoV-2. Pharmaceutics. 2022; 14(4):877. https://doi.org/10.3390/pharmaceutics14040877
Chicago/Turabian StyleFaísca, Francisco, Vanessa Correia, Željko Petrovski, Luís C. Branco, Helena Rebelo-de-Andrade, and Miguel M. Santos. 2022. "Enhanced In Vitro Antiviral Activity of Hydroxychloroquine Ionic Liquids against SARS-CoV-2" Pharmaceutics 14, no. 4: 877. https://doi.org/10.3390/pharmaceutics14040877
APA StyleFaísca, F., Correia, V., Petrovski, Ž., Branco, L. C., Rebelo-de-Andrade, H., & Santos, M. M. (2022). Enhanced In Vitro Antiviral Activity of Hydroxychloroquine Ionic Liquids against SARS-CoV-2. Pharmaceutics, 14(4), 877. https://doi.org/10.3390/pharmaceutics14040877

