Stimuli Responsive Polymeric Systems for Cancer Therapy
Abstract
1. Introduction
2. pH Responsive Polymers
2.1. Poly(acrylic acid)
2.2. Poly(methacrylic acid)
2.3. Poly(N,N-dimethyl aminoethyl methacrylamide)
2.4. Other pH Responsive Systems
3. Thermally Responsive Polymers
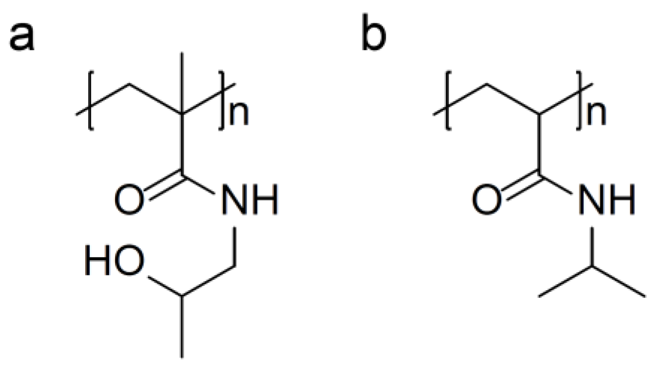
3.1. Poly(hydroxypropylmethacrylamide)
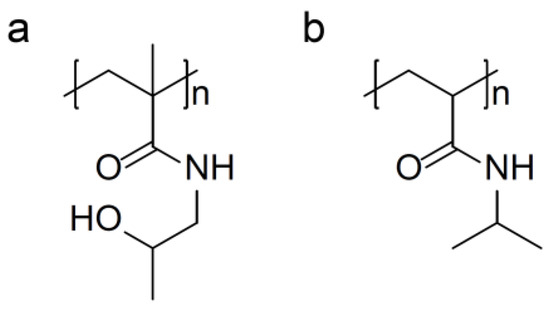
3.2. Poly(N-isopropylacrylaminde)
4. Light Responsive Polymers
5. Multi-Responsive Polymers
6. Conclusions and Future Perspectives
Author Contributions
Funding
Conflicts of Interest
Abbreviations
| Camptothecin | CPT | 
| Cancer stem cells | CSCs | 
| Chitosan | CS | 
| Doxorubicin | DOX | 
| FTS-hydrazide | FTS-H | 
| Graphene oxide | GO | 
| Lower critical solution temperature | LCST | 
| Magnetic nanoparticles | MNPs | 
| Methoxy(polyethylene glycol) | mPEG | 
| N-(2-hydroxypropyl)methacrylamide) | HPMA | 
| N-(3-aminopropyl) methacrylamide hydrochloride | APMA | 
| Paclitaxel | PTX | 
| Photodynamic therapy | PDT | 
| Pirarubicin | PIR | 
| Polyacrylic acid | PAA | 
| Poly (d,l-lactide-co-glycolide) | PLGA | 
| Poly(ethylene oxide) | PEO | 
| Poly (methacrylic acid) | PMAA | 
| Poly(methyl methacrylate) | PMMA | 
| Poly(phenylene vinylene)s | PPVs | 
| Poly(N,N-dimethyl aminoethyl methacrylamide) | PDEAEMA | 
| Poly(N-isopropylacrylamide) | PNIPAM | 
| Poly(N-isopropylacrylamide-acrylamide-allylamine) | PMNPs | 
| Poly(N-n-propylacrylamide) | PNNPAM | 
| Poly(propylene) | PP | 
| Poly(vinyl methyl ether) | PVME | 
| Poly(2-hydroxypropylacrylate) | PHPA | 
| Poly(2-isopropyl-2-oxazoline) | PiPOx | 
| Single photon emission computerized tomography | SPECT | 
| Ultraviolet | UV | 
| Upper critical solution temperature | UCST | 
References
- World Health Organization. Status of the health-related SDGs. In World Health Statistics 2017: Monitoring Health for the SDGs; World Health Organization: Lyon, France, 2017; pp. 29–35. [Google Scholar]
- Lammers, T. Improving the efficacy of combined modality anticancer therapy using HPMA copolymer-based nanomedicine formulations. Adv. Drug Deliv. Rev. 2010, 62, 203–230. [Google Scholar] [CrossRef] [PubMed]
- Jäger, E.; Jäger, A.; Etrych, T.; Giacomelli, F.C.; Chytil, P.; Jigounov, A.; Putaux, J.-L.; Říhová, B.; Ulbrich, K.; Štěpánek, P. Self-assembly of biodegradable copolyester and reactive HPMA-basedpolymers into nanoparticles as an alternative stealth drug delivery system. Soft Matter 2012, 8, 9563–9575. [Google Scholar] [CrossRef]
- Needham, D.; Dewhirst, M.W. The development and testing of a new temperature-sensitive drug delivery system for the treatment of solid tumours. Adv. Drug Deliv. Rev. 2001, 53, 285–305. [Google Scholar] [CrossRef]
- Bertrand, N.; Leroux, J.-C. The journey of a drug carrier in the body: An anatomo-physiological perspective. J. Control. Release 2011, 161, 152–163. [Google Scholar] [CrossRef] [PubMed]
- Kshirsagar, N.A. Drug delivery systems. Indian J. Pharmacol. 2000, 32, 54–61. [Google Scholar]
- Wang, F.; Saidel, G.M.; Gao, J. A mechanistic model of controlled drug release from polymer millirods: Effects of excipients and complex binding. J. Control. Release 2007, 119, 111–120. [Google Scholar] [CrossRef] [PubMed]
- Teja, S.B.; Patil, S.P.; Shete, G.; Patel, S.; Bansal, A.K. Drug-excipient behaviour in polymeric amorphous solid dispersions. J. Excipients Food Chem. 2013, 4, 70–94. [Google Scholar]
- Elezaby, R.S.; Gad, H.A.; Metwally, A.A.; Geneidi, A.S.; Awad, G.A. Self-assembled amphiphilic core-shell nanocarriers in line with the modern strategies for brain delivery. J. Control. Release 2017, 261, 43–61. [Google Scholar] [CrossRef] [PubMed]
- Duncan, R. Polymer therapeutics: Top 10 selling pharmaceuticals—What next? J. Control. Release 2014, 190, 371–380. [Google Scholar] [CrossRef] [PubMed]
- Larson, N.; Hamidreza, G. Polymeric Conjugates for Drug Delivery. Chem. Mater. 2012, 24, 840–853. [Google Scholar] [CrossRef] [PubMed]
- Martin, C.; Aibani, N.; Callan, J.F.; Callan, B. Recent advances in amphiphilic polymers for simultaneous delivery of hydrophobic and hydrophilic drugs. Therapeutic Deliv. 2016, 7, 15–31. [Google Scholar] [CrossRef] [PubMed]
- Qiu, L.Y.; Bae, Y.H. Polymer Architecture and Drug Delivery. Pharm Res. 2006, 23, 1–30. [Google Scholar] [CrossRef] [PubMed]
- Manzur, A.; Oluwasanmi, A.; Moss, D.; Curtis, A.; Hoskins, C. Nanotechnologies in Pancreatic Cancer Therapy. Pharmaceutics 2017, 9, 39. [Google Scholar] [CrossRef] [PubMed]
- Tao, L.; Chan, J.W.; Uhrich, K.E. Drug loading and release kinetics in polymeric micelles: Comparing dynamic versus unimolecular sugar-based micelles for controlled release. J. Bioact. Compat. Polym. 2016, 31, 227–241. [Google Scholar] [CrossRef]
- Imran, M.; Shah, M.R.; Shafiullah, M. Chapter 10—Amphiphilic block copolymers–based micelles for drug delivery. In Design and Development of New Nanocarriers; Grumezescu, A.M., Ed.; William Andrew: Norwich, NY, USA, 2018; pp. 365–400. [Google Scholar]
- Rabanel, J.M.; Faivre, J.; Paka, G.D.; Ramassamy, C.; Hildgen, P.; Banquy, X. Effect of polymer architecture on curcumin encapsulation and release from PEGylated polymer nanoparticles: Toward a drug delivery nano-platform to the CNS. Eur. J. Pharm. Biopharm. 2015, 96, 409–420. [Google Scholar] [CrossRef] [PubMed]
- Liang, Y.; Deng, X.; Zhang, L.; Peng, X.; Gao, W.; Cao, J.; Gu, Z.; He, B. Terminal modification of polymeric micelles with π-conjugated moieties for efficient anticancer drug delivery. Biomaterials 2015, 71, 1–10. [Google Scholar] [CrossRef] [PubMed]
- Buwalda, S.; Al Samad, A.; El Jundi, A.; Bethry, A.; Bakkour, Y.; Coudane, J.; Nottelet, B. Stabilization of poly(ethylene glycol)-poly(ε-caprolactone) star block copolymer micelles via aromatic groups for improved drug delivery properties. J. Colloid Interface Sci. 2018, 514, 468–478. [Google Scholar] [CrossRef] [PubMed]
- Wang, Z.; Chen, C.; Zhang, Q.; Gao, M.; Zhang, J.; Kong, D.; Zhao, Y. Tuning the architecture of polymeric conjugate to mediate intracellular delivery of pleiotropic curcumin. Eur. J. Pharm. Biopharm. 2015, 90, 53–62. [Google Scholar] [CrossRef] [PubMed]
- Yang, C.; Attia, A.B.E.; Tan, J.P.K.; Ke, X.; Gao, S.; Hedrick, J.L.; Yang, Y.-Y. The role of non-covalent interactions in anticancer drug loading and kinetic stability of polymeric micelles. Biomaterials 2012, 33, 2971–2979. [Google Scholar] [CrossRef] [PubMed]
- Pouton, C.W. Formulation of self-emulsifying drug delivery systems. Adv. Drug Deliver. Rev. 1997, 25, 47–58. [Google Scholar] [CrossRef]
- Nishiyama, N.; Kataoka, K. Current state, achievements, and future prospects of polymeric micelles as nanocarriers for drug and gene delivery. Pharmacol. Therapeut. 2006, 112, 630–648. [Google Scholar] [CrossRef] [PubMed]
- Rajora, A.K.; Ravishankar, D.; Osborn, H.M.I.; Greco, F. Impact of the Enhanced Permeability and Retention (EPR) Effect and Cathepsins Levels on the Activity of Polymer-Drug Conjugates. Polymers 2014, 6, 2186–2220. [Google Scholar] [CrossRef]
- Hoshyar, N.; Gray, S.; Han, H.; Bao, G. The effect of nanoparticle size on in vivo pharmacokinetics and cellular interaction. Nanomedicine 2016, 11, 673–692. [Google Scholar] [CrossRef] [PubMed]
- Pan, H.; Sima, M.; Miller, S.C.; Kopečková, P.; Yang, J.; Kopeček, J. Efficiency of high molecular weight backbone degradable HPMA copolymer–Prostaglandin E1 conjugate in promotion of bone formation in ovariectomized rats. Biomaterials 2013, 34, 6528–6538. [Google Scholar] [CrossRef] [PubMed]
- Baines, F.L.; Dionisio, S.; Billingham, N.C.; Armes, S.P. Use of block copolymer stabilizers for the dispersion polymerization of styrene in alcoholic media. Macromolecules 1996, 29, 3096–3102. [Google Scholar] [CrossRef]
- Attwood, D.; Zhou, Z.; Booth, C. Poly(ethylene oxide) based copolymers: solubilisation capacity and gelation. Expert Opin. Drug Deliv. 2007, 4, 533–546. [Google Scholar] [CrossRef] [PubMed]
- Wang, W.; Qu, X.; Gray, A.I.; Tetley, L.; Uchegbu, I.F. Self-Assembly of Cetyl Linear Polyethylenimine To Give Micelles, Vesicles, and Dense Nanoparticles. Macromolecules 2004, 37, 9114–9122. [Google Scholar] [CrossRef]
- Hoskins, C.; Ouaissi, M.; Lima, S.C.; Cheng, W.P.; Loureirio, I.; Mas, E.; Lombardo, D.; Cordeiro-da-Silva, A. In Vitro and In Vivo Anticancer Activity of a Novel Nano-sized Formulation Based on Self-assembling Polymers against Pancreatic Cancer. Pharm. Res. 2010, 27, 2694–2703. [Google Scholar] [CrossRef] [PubMed]
- Jiang, G.-B.; Quan, D.; Liao, K.; Wang, H. Novel Polymer Micelles Prepared from Chitosan Grafted Hydrophobic Palmitoyl Groups for Drug Delivery. Mol. Pharm. 2006 3, 152–160. [CrossRef]
- Aguilar, M.R.; Roman, J.S. Smart Polymers and Their Applications, 1st ed.; Woodhead Publishing Limited: Cambridge, UK, 2014; ISBN 9780857097026. [Google Scholar]
- Bawa, P.; Pillay, V.; Choonara, Y.E.; du Toit, L.C. Stimuli-responsive polymers and their applications in drug delivery. Biomed. Mater. 2009, 4, 1–15. [Google Scholar] [CrossRef] [PubMed]
- Galaev, I.; Mattiasson, B. Smart Polymers for Bioseparation and Bioprocessing; (Google, eBook); Gordon & Breach Publishing Group: Newark, NJ, USA, 2001. [Google Scholar]
- Kost, J.; Langer, R. Responsive polymeric delivery systems. Adv. Drug Deliv. Rev. 2010, 6, 19–50. [Google Scholar]
- Tang, C.; Guan, Y.X.; Yao, S.J.; Zhu, Z.Q. Preparation of ibuprofen-loaded chitosan films for oral mucosal drug delivery using supercritical solution impregnation. Int. J. Pharm. 2014, 473, 434–441. [Google Scholar] [CrossRef] [PubMed]
- Sugiyama, K.; Rikimaru, S.; Okada, Y.; Shiraishi, K. Preparation and application of chiral recognizable thermosensitive polymers and hydrogels consisting of N-methacryloyl-s-phenylalanine methyl ester. J. Appl. Polym. Sci. 2001, 82, 228–236. [Google Scholar] [CrossRef]
- Alfurhood, J.A.; Bachler, P.R.; Sumerlin, B.S. Hyperbranched polymers via RAFT self-condensing vinyl polymerization. Polym. Chem. 2016, 7, 3361–3369. [Google Scholar] [CrossRef]
- Juraj, S.; Raya, R.K.; Uchman, M.; Zedník, J.; Procházka, K.; Garamus, V.M.; Meristoudi, A.; Pispas, S.; Štěpánek, M. Thermoresponsive behavior of poly(N-isopropylacrylamide)s with dodecyl and carboxyl terminal groups in aqueous solution: pH-dependent cloud point temperature. Colloid Polym. Sci. 2017, 295, 1343–1349. [Google Scholar]
- Swift, T.; Swanson, L.; Geoghegan, M.; Rimmer, S. The pH-responsive behaviour of poly(acrylic acid) in aqueous solution is dependent on molar mass. Soft Matter 2016, 12, 2542–2549. [Google Scholar] [CrossRef] [PubMed]
- Bal, A.; Özkahraman, B.; Özbaş, Z. Preparation and characterization of pH responsive poly(methacrylic acid-acrylamide-N-hydroxyethyl acrylamide) hydrogels for drug delivery systems. J. Appl. Polym. Sci. 2015, 133, 43226. [Google Scholar] [CrossRef]
- Bożena, K. A review of polymers as multifunctional excipients in drug dosage form technology. Saudi Pharm. J. 2016, 24, 525–536. [Google Scholar]
- Zhao, C.; Zhuang, X.; He, C.; Chen, X.; Jing, X. Synthesis of Novel Thermo- and pH-Responsive Poly(l-lysine)-Based Copolymer and its Micellization in Water. Macromol. Rapid Commun. 2008, 29, 1810–1816. [Google Scholar] [CrossRef]
- Ryo, K.; Yasuhiro, N.; Hironari, K.; Kiyomi, K.; Hiroharu, A. Aggregation control by multi-stimuli-responsive poly(N-vinylamide) derivatives in aqueous system. Nanoscale Res. Lett. 2017, 12, 461. [Google Scholar]
- Lin, S.-B.; Yuan, C.-Y.; Ke, A.-R.; Quan, Z.L. Electrical response characterization of PVA–P(AA/AMPS) IPN hydrogels in aqueous Na2SO4 solution. Sens. Actuators B 2008, 134, 281–286. [Google Scholar] [CrossRef]
- Zhang, X.; Zheng, Y.; Wang, Z.; Huang, S.; Chen, Y.; Jiang, W.; Zhang, H.; Ding, M.; Li, Q.; Xiao, X. Methotrexate-loaded PLGA nanobubbles for ultrasound imaging and Synergistic Targeted therapy of residual tumour during HIFU ablation. Biomaterials 2014, 35, 5148–5161. [Google Scholar] [CrossRef] [PubMed]
- Ge, J.; Neofytou, E.; Cahill, T.J.; Beygui, R.E.; Zare, R.N. Drug Release from Electric Field Responsive Nanoparticles. ACS Nano 2012, 6, 227–233. [Google Scholar] [CrossRef] [PubMed]
- Lu, X.; Yang, X.; Meng, Y.; Li, S. Temperature and pH dually-responsive poly(β-amino ester) nanoparticles for drug delivery. Chin. J. Polym. Sci. 2017, 35, 534–546. [Google Scholar] [CrossRef]
- Liao, J.; Zheng, H.; Fei, Z.; Lu, B.; Zheng, H.; Li, D.; Xiong, X.; Yi, Y. Tumor-targeting and pH-responsive nanoparticles from hyaluronic acid for the enhanced delivery of doxorubicin. Int. J. Biol. Macromol. 2018, 113, 737–747. [Google Scholar] [CrossRef] [PubMed]
- Feng, H.; Sun, Y.; Zhang, J.; Deng, L.; Dong, A. Influence of supramolecular layer-crosslinked structure on stability of dual pH Responsive polymer nanoparticles for doxorubicin delivery. J. Drug Deliv. Sci. Technol. 2018, 45, 81–92. [Google Scholar] [CrossRef]
- Mahajan, A.; Aggarwal, G. Smart Polymers: Innovations in Novel Drug Deliver. Int. J. Drug Dev. Res. 2011, 3, 16–30. [Google Scholar]
- Mihai, M.; Stoica, I.; Schwarz, S. pH-sensitive nanostructured architectures based on synthetic and/or natural weak polyelectrolytes. Colloid Polym. Sci. 2011, 289, 1387–1396. [Google Scholar] [CrossRef]
- Kim, B.; La Flamme, K.; Peppas, N.A. Dynamic swelling behaviour of pH-sensitive anionic hydrogels used for protein delivery. J. Appl. Polym. Sci. 2003, 89, 1606–1613. [Google Scholar] [CrossRef]
- Brannonpeppas, L.; Peppas, NA. Equilibrium swelling behaviour of dilute ionic hydrogels in electrolytic solutions. J. Control. Release 1991, 16, 319–330. [Google Scholar] [CrossRef]
- Jeong, B.; Gutowska, A. Lessons from nature: Stimuli-responsive polymers and their biomedical applications. Trends Biotechnol. 2002, 20, 305–311. [Google Scholar] [CrossRef]
- Rizwan, M.; Yahya, R.; Hassan, A.; Yar, M.; Azzahari, A.D.; Selvanathan, V.; Sonsudin, F.; Abouloula, C.N. pH Sensitive Hydrogels in Drug Delivery: Brief History, Properties, Swelling, and Release Mechanism. Mater. Sel. Appl. Polym. 2017, 9, 1–137. [Google Scholar]
- Martin, G.; Jain, R.K. Noninvasive measurement of interstitial pH profiles in normal and neoplastic tissue using fluorescence ratio imaging microscopy. Cancer Res. 1994, 54, 5670–5674. [Google Scholar] [PubMed]
- Lim, E.-K.; Jang, E.; Lee, K.; Haam, S.; Huh, Y.-M. Delivery of cancer therapeutics using nanotechnology. Pharmaceutics 2013, 5, 294–317. [Google Scholar] [CrossRef] [PubMed]
- Llopis, J.; McCaffery, J.M.; Miyawaki, A.; Farquhar, M.G.; Tsien, R.Y. Measurement of cytosolic, mitochondrial, and Golgi pH in single living cells with green fluorescent proteins. PNAS 1998, 95, 6803–6808. [Google Scholar] [CrossRef] [PubMed]
- Yoshida, T.; Lai, T.C.; Kwon, G.S.; Sako, K. pH- and ion-sensitive polymers for drug delivery. Expert Opin. Drug Deliv. 2013, 10, 1497–1513. [Google Scholar] [CrossRef] [PubMed]
- Schmaljohann, D. Thermo- and pH-responsive polymers in drug delivery. Adv. Drug Deliv. Rev. 2006, 58, 1655–1670. [Google Scholar] [CrossRef] [PubMed]
- Van Laarhoven, H.W.M.; Klomp, D.W.J.; Kamm, Y.J.L.; Punt, C.J.A.; Heerschap, A. In vivo monitoring of capecitabine metabolism in human liver by 19 fluorine magnetic resonance spectroscopy at 1.5 and 3 tesla field strength. Cancer Res. 2003, 63, 7609–7612. [Google Scholar] [PubMed]
- Lee, S.-M.; Ahn, R.W.; Chen, F.; Fought, A.J.; O’Halloran, T.V.; Cryns, V.L.; Nguyen, S.T. Biological Evaluation of pH-Responsive Polymer-Caged Nanobins for Breast Cancer Therapy. ACS Nano 2010, 4, 4971–4978. [Google Scholar] [CrossRef] [PubMed]
- Abbasian, M.; Rodi, M.M.; Mahmoodzadeh, F.; Eskandani, M.; Jaymand, M. Chitosan-grafted-poly(methacrylic acid)/graphene oxide nanocomposite as a pH-responsive de novo cancer chemotherapy nanosystem. Int. J. Biol. Macromol. 2018, S0141–S8130, 31694–31695. [Google Scholar] [CrossRef] [PubMed]
- Chen, Q.; Zheng, J.; Yuan, X.; Wang, J.; Zhang, L. Folic acid grafted and tertiary amino based pH-responsive pentablock polymeric micelles for targeting anticancer drug delivery. Mater. Sci. Eng. C 2018, 82, 1–9. [Google Scholar] [CrossRef] [PubMed]
- Hu, J.; Miura, S.; Na, K.; Ba, Y.H. pH-responsive and charge shielded cationic micelle of poly(l-histidine)-block-short branched PEI for acidic cancer treatment. J. Control. Release 2013, 172, 69–76. [Google Scholar] [CrossRef] [PubMed]
- Zhang, X.; Huang, Y.; Ghazwani, M.; Zhang, P.; Li, J.; Thorne, S.H.; Li, S. Tunable pH-Responsive Polymeric Micelle for Cancer Treatment. ACS Macro Lett. 2015, 4, 620–623. [Google Scholar] [CrossRef]
- Kang, Y.; Ha, W.; Liu, Y.-Q.; Ma, Y.; Fan, M.-M.; Ding, L.-S.; Zhang, S.; Li, B.-J. pH-responsive polymer–drug conjugates as multifunctional micelles for cancer-drug delivery. Nanotechnology 2014, 25, 335101. [Google Scholar] [CrossRef] [PubMed]
- Li, J.; Wang, B.; Liu, P. Possibility of active targeting tumor by local hyperthermia with temperature sensitive nanoparticles. Med. Hypotheses 2008, 71, 249–251. [Google Scholar] [CrossRef] [PubMed]
- Aguilar, M.R.; Elvira, C.; Gallardo, A.; Vázquez, B.; Román, J.S. Smart Polymers and Their Applications as Biomaterials. Available online: http://www.oulu.fi/spareparts/ebook_topics_in_t_e_vol3/abstracts/aguilar_01.pdf (accessed on 24 July 2018).
- Debashish, R.; William, B.L.A.; Brent, S.S. New directions in thermoresponsive polymers. Chem. Soc. Rev. 2013, 42, 7214–7243. [Google Scholar]
- Yan, J.; Zhang, X.; Li, W.; Zhang, X.; Liu, K.; Wu, P.; Zhang, A. Thermoresponsive supramolecular dendronized copolymers with tunable phase transition temperatures. Soft Matter 2012, 8, 6371–6377. [Google Scholar] [CrossRef]
- Ito, D.; Kubota, K. Solution properties and thermal-behaviour of poly(N-N-propylacrylamide) in water. Macromolecules 1997, 30, 7828–7834. [Google Scholar] [CrossRef]
- Lee, H.-N.; Lodge, T.P. Lower Critical Solution Temperature (LCST) Phase Behavior of Poly(ethylene oxide) in Ionic Liquids. J. Phys. Chem. Lett. 2010, 1, 1962–1966. [Google Scholar] [CrossRef]
- Tauer, K.; Gau, D.; Schulze, S.; Völkel, A.; Dimova, R. Thermal property changes of poly(N-isopropylacrylamide) microgel particles and block copolymers. Colloid Polym. Sci. 2009, 287, 299–312. [Google Scholar] [CrossRef]
- Van Durme, K.; Van Assche, G.; Nies, E.; Van Mele, B. Phase transformations in aqueous low molar mass poly(vinyl methyl ether) solutions: Theoretical prediction and experimental validation of the peculiar solvent melting line, bimodal LCST, and (adjacent) UCST miscibility gaps. J. Phys. Chem. B 2007, 111, 1288–1295. [Google Scholar] [CrossRef] [PubMed]
- Van Assche, G.; Van Mele, B.; Li, T.; Nies, E. Adjacent UCST Phase behavior in aqueous solutions of poly(vinyl methyl ether): Detection of a narrow low temperature UCST in the lower concentration range. Macromolecules 2011, 44, 993–998. [Google Scholar] [CrossRef]
- Uyama, H.; Kobayashi, S. A novel thermo-responsive polymer. Poly(2-isopropyl-2-oxazoline). Chem. Lett. 1992, 21, 1643–1646. [Google Scholar] [CrossRef]
- Cowie, J.; McEwen, I.; Garay, M. Polymer cosolvent systems—Synergism and antisynergism of solvent mixtures for poly(methyl methacrylate). Polym Commun. 1986, 27, 122–124. [Google Scholar]
- Vo, C.D.; Rosselgong, J.; Armes, S.P.; Tirelli, N. Stimulus-responsive polymers based on 2-hydroxypropyl acrylate prepared by RAFT polymerisation. J. Polym. Sci. A Polym. Chem. 2010, 48, 2032–2043. [Google Scholar] [CrossRef]
- Kadajji, V.G.; Betageri, G.V. Water soluble polymers for pharmaceutical applications. Polymers 2011, 3, 1972–2009. [Google Scholar] [CrossRef]
- Talelli, M.; Rijcken, C.J.F.; Nostrum, C.F.; Storm, G.; Hennink, W.E. (Micelles based on HPMA copolymers. Adv. Drug Deliv. Rev. 2010, 62, 231–239. [Google Scholar] [CrossRef] [PubMed]
- Johnson, R.N.; Kopecková, P.; Kopecek, J. Biological activity of anti-CD20 multivalent HPMA copolymer-Fab’ conjugates. Biomacromolecules 2010, 13, 727–735. [Google Scholar] [CrossRef] [PubMed]
- Zhou, Y.; Yanga, J.; Kopeček, J. Selective inhibitory effect of HPMA copolymer-cyclopamine conjugate on prostate cancer stem cells. Biomaterials 2012, 33, 1863–1872. [Google Scholar] [CrossRef] [PubMed]
- Buckway, B.; Wang, Y.; Ray, A.; Ghandehari, H. Overcoming the stromal barrier for targeted delivery of HPMA copolymers to pancreatic tumours. Int. J. Pharm. 2013, 456, 202–211. [Google Scholar] [CrossRef] [PubMed]
- Laga, R.; Janoušková, O.; Ulbrich, K.; Pola, R.; Blažková, J.; Filippov, S.K.; Etrych, T.; Pechar, M. Thermoresponsive polymer micelles as potential nanosized cancerostatics. Biomacromolecules 2015, 16, 2493–2505. [Google Scholar] [CrossRef] [PubMed]
- Wanga, Z.-C.; Xua, X.-F.; Chena, C.-S.; Wanga, G.-R.; Wang, B.; Zhanga, X.-Z.; Zhuo, R.-X. Study on novel hydrogels based on thermosensitive PNIPAAm with pH sensitive PDMAEMA grafts. Colloids Surf. B 2008, 67, 245–252. [Google Scholar] [CrossRef] [PubMed]
- Wang, B.; Xu, X.-D.; Wang, X.-C.; Cheng, S.-X.; Zhang, X.-Z.; Zhuo, R.-X. Synthesis and properties of pH and temperature sensitive P(NIPAAm-co-DMAEMA) hydrogels. Colloids Surf. B 2008, 64, 34–41. [Google Scholar] [CrossRef] [PubMed]
- Hengjie, L.; Chen, G.; Wu, P.; Li, Z. Thermoresponsive behavior of an LCST-type polymer based on a pyrrolidone structure in aqueous solution. Soft Matter 2012, 8, 2662–2670. [Google Scholar]
- Contreras-García, A.; Alvarez-Lorenzo, C.; Concheiro, A.; Bucio, E. PP films grafted with N-isopropylacrylamide and N-(3-aminopropyl) methacrylamide by γ radiation: Synthesis and characterization. Radiat. Phys. Chem. 2010, 79, 615–621. [Google Scholar] [CrossRef]
- Li, Y.; Lokitz, B.S.; McCormick, C.L. Thermally responsive vesicles and their structural locking through polyelectolyte complex formation. Angew. Chem. Int. Ed. 2006, 45, 5792–5795. [Google Scholar] [CrossRef] [PubMed]
- Sun, F.; Wang, Y.; Wei, Y.; Chang, G.; Ma, G.; Sun, F.; Wang, Y.; Wei, Y.; Cheng, G.; Ma, G. Thermo-triggered drug delivery from polymeric micelles of poly(N-isopropylacrylamide-co-acrylamide)-b-poly(n-butyl methacrylate) for tumor targeting. J. Bioact. Compat. Polym. 2014, 29, 301–317. [Google Scholar] [CrossRef]
- Smita, K.; Manickam, J. Thermo-responsive and shape transformable amphiphilic scaffolds for loading and delivering anticancer drugs. J. Mater. Chem. B 2014, 2, 4142–4152. [Google Scholar]
- Xie, J.; Lee, S.; Chen, X. Nanoparticle-based theranostic agents. Adv. Drug Deliv. Rev. 2010, 62, 1064–1079. [Google Scholar] [CrossRef] [PubMed]
- James, H.P.; John, R.; Alex, A.; Anoop, K.R. Smart polymers for the controlled delivery of drugs—A concise overview. Acta Pharm. Sin. B 2014, 4, 120–127. [Google Scholar] [CrossRef] [PubMed]
- Jiang, J.; Tong, X.; Zhao, Y. A new design for light-breakable polymer micelles. J. Am. Chem. Soc. 2005, 127, 8290–8291. [Google Scholar] [CrossRef] [PubMed]
- Yao, C.; Wu, M.; Zhang, C.; Lin, X.; Wu, Z.; Zheng, Y.; Zhang, D.; Zhang, Z.; Liu, X. Photoresponsive lipid-polymer hybrid nanoparticles for controlled doxorubicin release. Nanotechnology 2017, 28, 25. [Google Scholar] [CrossRef] [PubMed]
- Park, W.; Park, S.; Shin, H.; Na, K. Acidic tumour pH-responsive nanophotomedicine for targeted photodynamic cancer therapy. J. Nanomater. 2016, 2016, 1–8. [Google Scholar]
- Ryskulova, K.; Srinivas, A.R.G.; Kerr-Phillips, T.; Peng, H.; Barker, D.; Travas-Sejdic, J.; Hoogenboom, R. Multiresponsive behavior of functional poly(p-phenylene vinylene)s in water. Polymers 2016, 8, 365. [Google Scholar] [CrossRef]
- Zhou, W.; Wang, L.; Li, F.; Zhang, W.; Huang, W.; Huo, F.; Xu, H. Selenium-containing polymer@metal-organic frameworks nanocomposites as an efficient multi-responsive drug delivery system. Adv. Funct. Mater. 2017, 27, 1605465. [Google Scholar] [CrossRef]
- Jalili, N.A.; Muscarello, M.; Gaharwar, A.K. Nanoengineered thermoresponsive magnetic hydrogels for biomedical applications. Bioeng. Transl. Med. 2016, 1, 297–305. [Google Scholar] [CrossRef] [PubMed]
- Lichun, S.; Hui, S.; Xiaolu, C.; Xia, H.; Honglai, L. From multi-responsive tri- and diblock copolymers to diblock-copolymer-decorated gold nanoparticles: The effect of architecture on micellization behaviors in aqueous solutions. Soft Matter 2015, 11, 4830–4839. [Google Scholar]
- Wadajkar, A.S.; Menon, J.U.; Tsai, Y.S.; Gore, C.; Dobin, T.; Gandee, L.; Kangasniemi, K.; Takahashi, M.; Manandhar, B.; Ahn, J.M.; et al. Prostate cancer-specific thermo-responsive polymer-coated iron oxide nanoparticles. Biomaterials 2013, 34, 3618–3625. [Google Scholar] [CrossRef] [PubMed]





| Environmental Stimulus | Responsive Material | Reference | 
|---|---|---|
| Temperature | N-(2-hydroxypropyl)methacrylamide) (HPMA), Poly(N-isopropylacrylamide) (PNIPAAM), Poly(2-isopropyl-2-oxazoline) (PiPOx) | [36,37,38,39] | 
| pH | Poly(acrylic acid), poly(methacrylic acid) (PMAA), poly(ethylene imine), poly(l-lysine), and poly(N,N-dimethyl aminoethyl methacrylamide) | [40,41,42,43] | 
| Temperature and Light | Modified poly(acrylamide)s | [44] | 
| Electric field | poly(vinyl alcohol) and poly(acrylic acid-co-2-acrylamido-2-methyl propyl sulfonic acid) | [45] | 
| Ultrasound | poly(lactic acid-co-glycolic acid) | [46] | 
| Temperature and electric field | Poly(pyrrole) | [47] | 
| Temperature and pH | poly(β-amino ester) | [48] | 
| Tissue/Cellular Compartment | pH | 
|---|---|
| Blood | 7.35–7.45 | 
| Pancreas | 8.0–8.3 | 
| Bile | 7.8 | 
| Intestines | 7.5–8.0 | 
| Saliva | 6.0–7.0 | 
| Colon | 7.0–7.5 | 
| Early endosome | 6.0–6.5 | 
| Late endosome | 5.0–6.0 | 
| Lysosome | 4.5–5.0 | 
| Golgi | 6.4 | 
| Tumour, extracellular | 7.2–6.5 | 
| Stomach | 1.0–3.5 | 
| Duodenum | 4.8–8.2 | 
| Liver | 7.4 | 
| Polymer | Type | CST, °C | Reference | 
|---|---|---|---|
| Poly(N-n-propylacrylamide) (PNNPAM) | LCST | 10 | [73] | 
| Poly(ethylene oxide) (PEO) | UCST | 230 | [74] | 
| Poly(N-isopropylacrylamide) (PNIPAM) | LCST | 32 | [75] | 
| Poly(vinyl methyl ether) (PVME) | LCST | −15, −25 | [76,77] | 
| Poly(2-isopropyl-2-oxazoline) (PiPOx) | LCST | 36 | [78] | 
| Poly(methyl methacrylate) (PMMA) | UCST | 87 or above | [79] | 
| Poly(2-hydroxypropylacrylate) (PHPA) | LCST | 30–60 | [80] | 
© 2018 by the authors. Licensee MDPI, Basel, Switzerland. This article is an open access article distributed under the terms and conditions of the Creative Commons Attribution (CC BY) license (http://creativecommons.org/licenses/by/4.0/).
Share and Cite
Alsuraifi, A.; Curtis, A.; Lamprou, D.A.; Hoskins, C. Stimuli Responsive Polymeric Systems for Cancer Therapy. Pharmaceutics 2018, 10, 136. https://doi.org/10.3390/pharmaceutics10030136
Alsuraifi A, Curtis A, Lamprou DA, Hoskins C. Stimuli Responsive Polymeric Systems for Cancer Therapy. Pharmaceutics. 2018; 10(3):136. https://doi.org/10.3390/pharmaceutics10030136
Chicago/Turabian StyleAlsuraifi, Ali, Anthony Curtis, Dimitrios A. Lamprou, and Clare Hoskins. 2018. "Stimuli Responsive Polymeric Systems for Cancer Therapy" Pharmaceutics 10, no. 3: 136. https://doi.org/10.3390/pharmaceutics10030136
APA StyleAlsuraifi, A., Curtis, A., Lamprou, D. A., & Hoskins, C. (2018). Stimuli Responsive Polymeric Systems for Cancer Therapy. Pharmaceutics, 10(3), 136. https://doi.org/10.3390/pharmaceutics10030136
 
        




 
       