Prediction of Surge Control Valve Opening for Centrifugal Compressors in Natural Gas Pipelines Based on GWO-Optimized BP Neural Network
Abstract
1. Introduction
- (1)
- A GWO–BP hybrid model is proposed to predict the opening of the surge control valve for the centrifugal compressor. It utilizes the grey wolf algorithm to globally optimize the initial weights and thresholds of the BP neural network, and to further improve the prediction accuracy and convergence speed of the model.
- (2)
- Shell vibration, turbine speed, inlet pressure, outlet temperature, and gas turbine power are identified as the key features affecting the opening of the surge control valve. By combining the mechanism of surge, the influence laws of each parameter are revealed.
- (3)
- Verification based on actual operational data proves the advantage of the proposed model over SVM, decision tree, KNN, BP, and PSO-BP. The average relative deviation of GWO–BP prediction is only 4.65%, demonstrating high accuracy and engineering applicability of the GWO–BP hybrid model.
2. Background of the Problem
3. Theoretical Basis
3.1. BP Neural Network
3.2. Grey Wolf Optimizer (GWO)
3.3. GWO–BP Model for Predicting Opening of Surge Control Valve
4. Data Processing and Physical Analysis
4.1. Data Collection and Preprocessing
4.2. Feature Selection
4.3. Physical Analysis of Key Parameters on Surge Control Valve Opening
4.3.1. Compressor Shell Vibration
4.3.2. Turbine Speed
4.3.3. Inlet Pressure
4.3.4. Compressor Outlet Temperature
4.3.5. Gas Turbine Power
5. Model Performance
5.1. Performance Evaluation Indexes
5.2. Parameter Configuration
5.3. Comparison of Prediction Performance of Different Models
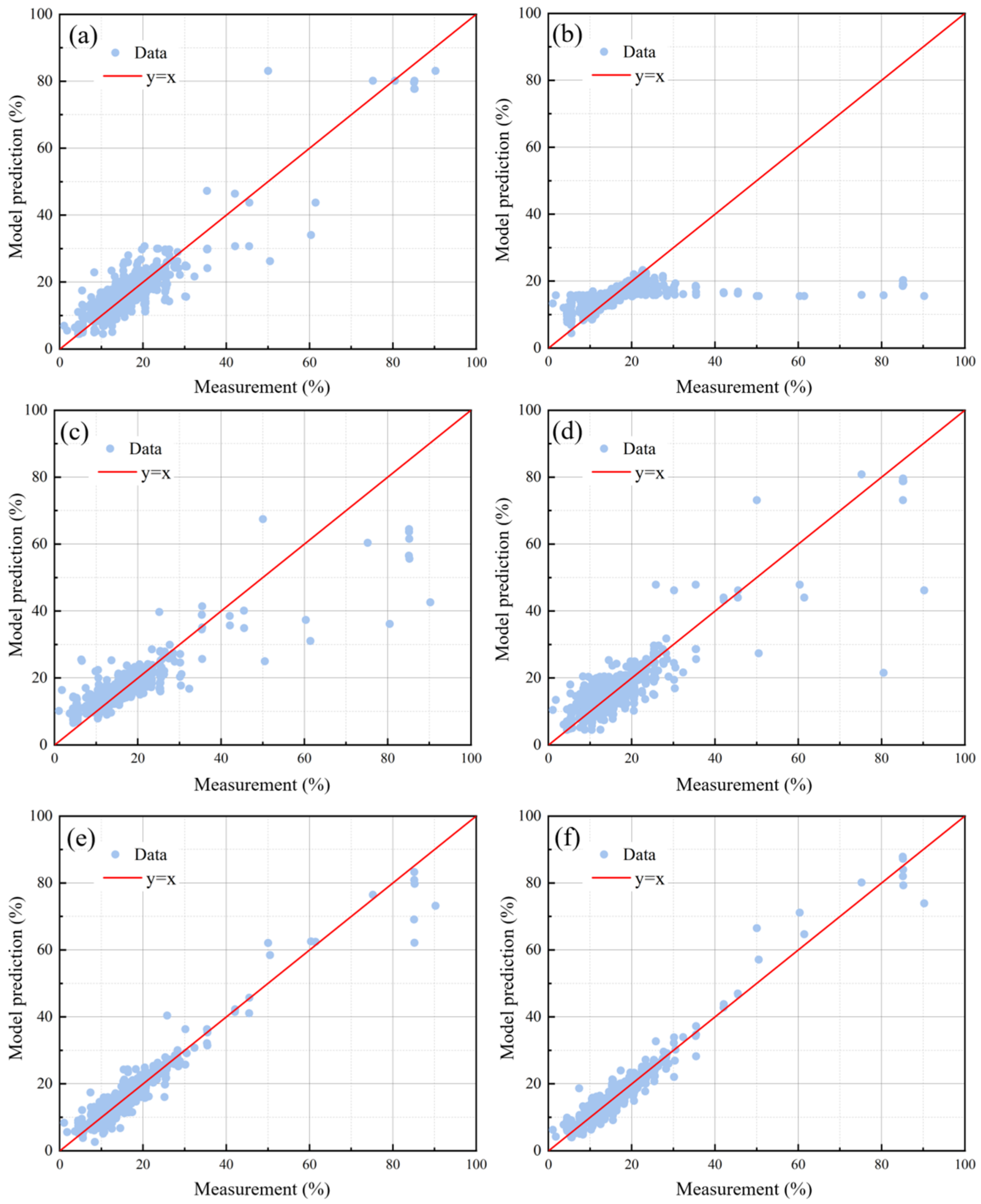
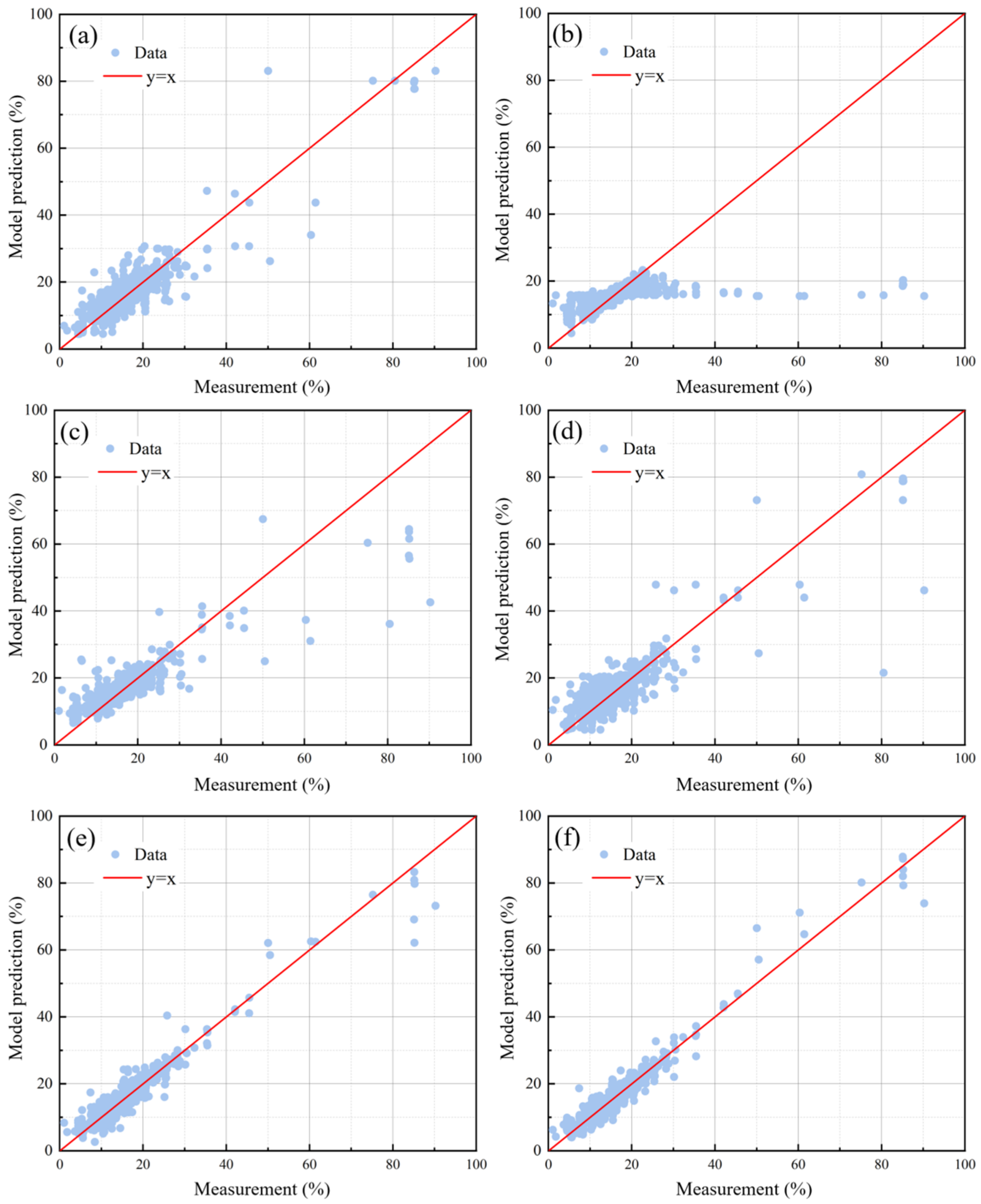
5.4. Comparison Between Prediction and Measurement Using Different Models
6. Conclusions
Author Contributions
Funding
Data Availability Statement
Conflicts of Interest
Abbreviations
| BP | Backpropagation neural network |
| GWO | Grey wolf optimizer |
| KNN | K-nearest neighbor |
| MAE | Mean absolute error |
| PSO | Particle swarm optimization |
| RMSE | Root mean square error |
| SVM | Support vector machine |
| UCS | Universal control system |
References
- Mignone, B.K.; Clarke, L.; Edmonds, J.A. Drivers and implications of alternative routes to fuels decarbonization in net-zero energy systems. Nat. Commun. 2024, 15, 3938. [Google Scholar] [CrossRef] [PubMed]
- Wu, F.; Jiang, J.; Peng, X. Influence of natural gas composition and operating conditions on the phase change of dry gas seals for pipeline compressors. Int. J. Heat Fluid Flow 2025, 115, 109832. [Google Scholar] [CrossRef]
- Qiu, R.; Zhang, H.; Wang, G. Green hydrogen-based energy storage service via power-to-gas technologies integrated with multi-energy microgrid. Appl. Energy 2023, 350, 121716. [Google Scholar] [CrossRef]
- Righi, M.; Pachidis, V.; Koenoezsy, L.; Giersch, T.; Schrape, S. Experimental validation of a three-dimensional through-flow model for high-speed compressor surge. Aerosp. Sci. Technol. 2022, 128, 107775. [Google Scholar] [CrossRef]
- Silvestri, P.; Marelli, S.; Usai, V. Experimental investigation on the dynamic response of a turbocharger centrifugal compressor in surge transitions. In Proceedings of the ASME Turbo Expo 2024: Turbomachinery Technical Conference and Exposition, London, UK, 24–28 June 2024; p. V009T18A006. [Google Scholar] [CrossRef]
- Alsuwian, T.; Amin, A.A.; Iqbal, M.S.; Maqsood, M.T. A review of anti-surge control systems of compressors and advanced fault-tolerant control techniques for integration perspective. Heliyon 2023, 9, e19557. [Google Scholar] [CrossRef] [PubMed]
- Shar, M.A.; Muhammad, M.B.; Mokhtar, A.A.B.; Soomro, M. Energy efficiency performance optimization and surge prediction of centrifugal gas compressor. In Proceedings of the 12th International Conference on Robotics, Vision, Signal Processing and Power Applications, Singapore, 30 March 2024; pp. 61–68. [Google Scholar] [CrossRef]
- Roudsari, N.R.; Ataei, M.; Koofigar, H.R.; Montazeri, A. A nonlinear disturbance observer for sliding mode control of surge in centrifugal compressors via TCV actuator. J. Process Control 2024, 139, 103227. [Google Scholar] [CrossRef]
- Yoon, J.W.; Wilailak, S.; Bae, J.E.; Lee, C.J.; Kim, I.W. Surge analysis in a centrifugal compressor using a dimensionless surge number. Chem. Eng. Res. Des. 2020, 164, 240–247. [Google Scholar] [CrossRef]
- He, S.; Xie, M.Y.; Tontiwachwuthikul, P.; Chan, P.; Li, J.F. Self-adapting anti-surge intelligence control and numerical simulation of centrifugal compressors based on RBF neural network. Energy Rep. 2022, 8, 2434–2447. [Google Scholar] [CrossRef]
- Sheng, H.L.; Chen, Q.; Zhang, J.; Zhang, T.H. A high-safety active/passive hybrid control approach for compressor surge based on nonlinear model predictive control. Chin. J. Aeronaut. 2023, 36, 396–412. [Google Scholar] [CrossRef]
- Cortinovis, A.; Pareschi, D.; Mercangoez, M.; Besselmann, T. Model predictive anti-surge control of centrifugal compressors with variable-speed drives. IFAC Proc. Vol. 2012, 45, 251–256. [Google Scholar] [CrossRef]
- Yutaek, O.; Lee, C.J.; Lim, Y.S. A short-cut graphical method for sizing of recycle valves in anti-Surge system considering time delay. J. Process Control 2017, 58, 23–32. [Google Scholar] [CrossRef]
- Zhao, B.; Zhou, T.; Yang, C. Experimental investigations on effects of the self-circulation casing treatment on acoustic and surge characteristics in a centrifugal compressor. Aerosp. Sci. Technol. 2022, 131, 108002. [Google Scholar] [CrossRef]
- Wang, Y.Q.; Shao, J.L.; Yang, F.; Zhu, Q.Z.; Zuo, M.Q. Optimization design of centrifugal pump cavitation performance based on the improved BP neural network algorithm. Measurement 2025, 245, 116553. [Google Scholar] [CrossRef]
- Yin, P.; Xie, L.; Zhang, H.; Li, W.; Wang, W. Modelling wax deposition of diesel in sequential transportation of product oil pipeline using optimized back propagation neural network. Can. J. Chem. Eng. 2024, 102, 1764–1776. [Google Scholar] [CrossRef]
- Jiang, J.; Xu, G.; Wang, H.; Yang, Z.; Sun, B.; Guan, C.; Feng, J.; Ma, Y.; Chen, X. High-accuracy road surface condition detection through multi-sensor information fusion based on WOA-BP neural network. Sensor. Actuat. A-Phys. 2024, 378, 115829. [Google Scholar] [CrossRef]
- Chen, Q.J.; Qu, H.; Liu, C.; Xu, X.G.; Wang, Y.; Liu, J.Q. Spontaneous coal combustion temperature prediction based on an improved grey wolf optimizer-gated recurrent unit model. Energy 2025, 314, 133980. [Google Scholar] [CrossRef]
- Chai, T.; Draxler, R.R. Root mean square error (RMSE) or mean absolute error (MAE)?–Arguments against avoiding RMSE in the literature. Geosci. Model Dev. 2014, 7, 1247–1250. [Google Scholar] [CrossRef]






| Year | Fuel Gas Consumption from Jan. to Sep. (104 Nm3) | Operating Duration of the Compressor Unit (h) | Average Hourly Fuel Gas Consumption (104 Nm3) | Cumulative Delivery Volume (104 Nm3) |
|---|---|---|---|---|
| 2023 | 2259.3641 | 5590 | 0.4042 | 520,379.7493 |
| 2024 | 2324.0407 | 5892 | 0.3944 | 485,336.6691 |
| Time | Average Rotational Speed (rpm) | Average Inlet Pressure (MPa) | Average Outlet Pressure (MPa) | Pressure Ratio | Compressor Power (kW) | Delivery Flow Rate (104 Nm3) | Opening of Surge Control Valve (%) |
|---|---|---|---|---|---|---|---|
| Jul. in 2023 | 4900 | 5.20 | 7.90 | 1.52 | 14,975 | 95.7798 | 0.78 |
| Aug. in 2023 | 4902 | 5.25 | 7.79 | 1.48 | 12,367 | 96.4226 | 3.519 |
| Sep. in 2023 | 4587 | 5.35 | 7.56 | 1.41 | 12,383 | 71.3061 | 16.69 |
| Jul. in 2024 | 4573 | 5.95 | 8.41 | 1.41 | 13,887 | 73.5369 | 16.21 |
| Aug. in 2024 | 4588 | 5.89 | 8.32 | 1.41 | 13,902 | 71.4997 | 19.022 |
| Sep. in 2024 | 4594 | 5.79 | 8.17 | 1.41 | 13,516 | 72.4260 | 16.57 |
Disclaimer/Publisher’s Note: The statements, opinions and data contained in all publications are solely those of the individual author(s) and contributor(s) and not of MDPI and/or the editor(s). MDPI and/or the editor(s) disclaim responsibility for any injury to people or property resulting from any ideas, methods, instructions or products referred to in the content. |
© 2026 by the authors. Licensee MDPI, Basel, Switzerland. This article is an open access article distributed under the terms and conditions of the Creative Commons Attribution (CC BY) license.
Share and Cite
Sun, Q.; Tang, J.; Li, W.; Wu, X. Prediction of Surge Control Valve Opening for Centrifugal Compressors in Natural Gas Pipelines Based on GWO-Optimized BP Neural Network. Algorithms 2026, 19, 271. https://doi.org/10.3390/a19040271
Sun Q, Tang J, Li W, Wu X. Prediction of Surge Control Valve Opening for Centrifugal Compressors in Natural Gas Pipelines Based on GWO-Optimized BP Neural Network. Algorithms. 2026; 19(4):271. https://doi.org/10.3390/a19040271
Chicago/Turabian StyleSun, Qingfeng, Jinxin Tang, Weidong Li, and Xingguang Wu. 2026. "Prediction of Surge Control Valve Opening for Centrifugal Compressors in Natural Gas Pipelines Based on GWO-Optimized BP Neural Network" Algorithms 19, no. 4: 271. https://doi.org/10.3390/a19040271
APA StyleSun, Q., Tang, J., Li, W., & Wu, X. (2026). Prediction of Surge Control Valve Opening for Centrifugal Compressors in Natural Gas Pipelines Based on GWO-Optimized BP Neural Network. Algorithms, 19(4), 271. https://doi.org/10.3390/a19040271

