Next Article in Journal
Automatic Simplification of Lithuanian Administrative Texts
Previous Article in Journal
Adversarial Validation in Image Classification Datasets by Means of Cumulative Spectral Gradient
 
 
Font Type:
Arial Georgia Verdana
Font Size:
Aa Aa Aa
Line Spacing:
Column Width:
Background:
Article

Exponential Functions Permit Estimation of Anaerobic Work Capacity and Critical Power from Less than 2 Min All-Out Test

1
Canadian Sport Institute Pacific, Victoria, BC V9E 2C5, Canada
2
Graduate Department of Exercise Sciences, Faculty of Kinesiology and Physical Education, University of Toronto, Toronto, ON M5S 1A1, Canada
3
School of Exercise Science, Physical and Health Education, University of Victoria, Victoria, BC V8P 5C2, Canada
*
Author to whom correspondence should be addressed.
Algorithms 2024, 17(11), 532; https://doi.org/10.3390/a17110532
Submission received: 10 October 2024 / Revised: 13 November 2024 / Accepted: 18 November 2024 / Published: 20 November 2024
(This article belongs to the Section Analysis of Algorithms and Complexity Theory)

Abstract

The Critical Power Model (CPM) is key for assessing athletes’ aerobic and anaerobic energy systems but typically involves lengthy, exhausting protocols. The 3 min all-out test (3MT) simplifies CPM assessment, yet its duration remains demanding. Exponential decay models, specifically mono- and bi-exponential functions, offer a more efficient alternative by accurately capturing the nonlinear energy dynamics in high-intensity efforts. This study explores shortening the 3MT using these functions to reduce athlete strain while preserving the accuracy of critical power (CP) and work capacity ( W ) estimates. Seventy-six competitive cyclists and triathletes completed a 3MT on a cycle ergometer, with CP and W calculated at shorter intervals. Results showed that a 90 s test using the bi-exponential model yielded CP and W values similar to those of the full 3MT. Meanwhile, the mono-exponential model required at least 135 s. Bland–Altman and linear regression analyses confirmed that a 120 s test with the mono-exponential model reliably estimated CP and W with minimal physical strain. These findings support a shortened, less-demanding 3MT as a valid alternative for CPM assessment.

1. Introduction

Quantifying athletic performance through mathematical models has been a cornerstone in exercise physiology for decades, as these models provide objective insights into the physiological processes behind athletic output [1]. Among these, the Critical Power Model (CPM) is a widely adopted approach, serving as a benchmark across sports to delineate an athlete’s aerobic and anaerobic energy contributions during exercise [2]. This model breaks down performance into two components: critical power (CP), the maximum sustainable power through aerobic means, and work capacity ( W ), the finite anaerobic reserve tapped into for short, intense efforts. CP and W provide a powerful framework for tailoring training interventions to an athlete’s unique needs and have become valuable tools in various applications, including monitoring training load and guiding pacing strategies [3,4,5].
Traditional CP and W assessments involve exhaustive, multi-day testing, requiring athletes to complete several high-intensity trials spaced out over several days to avoid fatigue effects. This method captures a range of intensities, from short sprints to sustained efforts, forming the power–duration relationship from which CP and W can be derived. While accurate, this protocol is time-intensive, physically demanding, and logistically challenging, often requiring up to a week to complete. For athletes and coaches, this makes frequent monitoring impractical, limiting the utility of these metrics in ongoing training and competition contexts [6].
In light of these challenges, alternative methods, such as single-session tests, have emerged. The 3 min all-out test (3MT), proposed by Burnley (2006) [7], exemplifies this by condensing the assessment into a single maximal effort session. During the 3MT, athletes sustain maximum effort for three minutes, reaching a steady-state power output near the end (end power, or EP), which closely approximates CP. This approach captures the aerobic threshold without the need for multiple tests, while the total work above EP correlates with W , offering a more practical yet reliable means of estimating both CP and W [8]. Validation studies have shown that 3MT-derived estimates of CP and W are comparable to those from traditional testing protocols with minimal statistical differences, supporting the utility of the 3MT for both aerobic and anaerobic assessments [9].
However, the high intensity of the 3MT remains a barrier for some athletes, as sustaining maximum effort for three minutes is both mentally and physically taxing. Research has shown that shorter test durations may yield similar accuracy in CPM parameters while being more acceptable to athletes. For instance, pacing strategies and test modifications, such as reduced test durations, have been suggested to improve feasibility without compromising accuracy [10,11]. Shorter all-out efforts may reduce perceived exertion and make the 3MT more adaptable for frequent monitoring, potentially broadening its application in performance assessments and training adaptations [11,12].
Alternative mathematical models have frequently been applied to the traditional Critical Power Model [2], providing further insight into optimizing testing protocols. An examination of the 3MT reveals a consistent trend of a fast, steep initial decrease in power output, followed by a gradual leveling off to an asymptotic power intensity. This characteristic power output pattern is similarly reflected in exponential-decay functions (mono- and bi-exponential), which may be leveraged to estimate an asymptote using a shorter duration dataset. Therefore, the purpose of this study was to assess the ability of exponential functions to further reduce the duration of the 3MT while maintaining its accuracy in estimating CPM parameters. It was hypothesized that 3MT duration could be shortened to less than 2 min without compromising the accuracy of W and CP estimates when compared to 3MT.

2. Materials and Methods

A total of 76 competitive athletes, consisting of 16 females (mean ± SD: age 35.4 ± 9.67 years, body mass 58.1 ± 5.31 kg, height 1.66 ± 0.08 m) and 60 males (mean ± SD: age 40.2 ± 10.9 years, body mass 77.8 ± 7.95 kg, height 1.78 ± 0.16 m), who were actively involved in either cycling (n = 47) or triathlons (n = 20), volunteered to participate in this study. These athletes were chosen because of their competitive nature and familiarity with high-intensity performance environments and their involvement in cycling for 3–20 years (male—8.82 ± 7.46 years; female—7.06 ± 5.80 years). To ensure the reliability of the test results, participants were asked to refrain from engaging in any form of strenuous physical activity within the 24 h leading up to the test in order to minimize fatigue. Additionally, participants were instructed to avoid consuming caffeine or alcohol for at least three hours before reporting to the laboratory, as these substances could potentially affect physiological responses during the test. All participants were fully informed about the objectives of the study, the procedures involved, as well as any potential risks associated with the tests. Each participant provided written informed consent prior to participation. The study protocol was approved by the University of Toronto Review Ethics Board in accordance with the Declaration of Helsinki.
Participants were screened using the PAR-Q and athlete consent form in person. PAR-Q is a physical activity readiness questionnaire that is used to determine the safety and possible risks for an individual to begin an exercise program [13]. The questionnaire has been used in several studies that involve maximum efforts [14,15,16]. Once the written consent was obtained, all protocols and procedures were thoroughly explained to the participants to ensure full understanding and compliance. To ensure adherence to pre-test guidelines, participants were asked to avoid caffeine and alcohol for at least 24 h prior to the test. Compliance was verified through self-reporting during the pre-test briefing, and participants were asked to confirm their adherence before beginning the test. While no biochemical validation was conducted, this self-report approach is commonly used in similar exercise physiology studies and has been shown to effectively minimize the influence of caffeine and alcohol on performance during maximal tests.
Participants exercised on a computer-controlled, electromagnetically braked cycle ergometer (Excalibur Sport; Lode, Groningen, The Netherlands) set in isokinetic mode, which maintained a constant cadence regardless of power output. The cadence was fixed at each participant’s preferred racing cadence, with a range of 85–120 rpm, based on their individual preferences and racing habits. The participant’s preferred cadence was determined during a standardized warm-up phase, where they were instructed to cycle at a self-selected pace for a few minutes. The cadence at which they felt most comfortable and could sustain was recorded and then used as their preferred cadence for the trial. This self-selected cadence was maintained during the baseline phase to ensure consistency across participants. The use of self-selected cadence allows for individual optimization and is commonly employed in cycling and endurance sports protocols [17].
Power output data were sampled by the Lode ergometer at 6 Hz and subsequently exported from the ergometer software for analysis. Prior to each trial, the participant completed their regular race warm-up routine, which lasted between 10 and 20 min at an intensity of 50–100 W. This warm-up period was followed by 5 min of rest to ensure that the participant was in a rested state before beginning the test. The trial itself began with 1 min of light cycling at less than 100 W, during which the participant was asked to gradually increase their effort in the final 5 s of this phase. This was immediately followed by an all-out 3 min effort based on the protocol established by Vanhatalo and colleagues [9]. During the all-out effort, the pedaling resistance was automatically adjusted by the Lode ergometer to maintain the participant’s cadence in the isokinetic mode, ensuring that they could pedal at their preferred racing cadence. Throughout the test, verbal encouragement was provided to motivate the participants to maintain maximal effort. However, to avoid any influence on pacing strategies, no elapsed time or power feedback was provided during the test. Participants were continuously reminded and strongly encouraged to give their maximum effort throughout the entire test duration.

2.1. Mathematical Framework

A generic pattern of the 3MT power profile showed an initial steep decline in power output that was then followed by a more gradual decrease in intensity before settling to an asymptotic level during the last 30 to 45 s. In general, the behavior of power output versus time can be effectively described by a mono-exponential (MONO) decay function, which is modeled by the following equation:
P = a e bt + CP
where P is the instantaneous power, t is time, CP is critical power, b is the decaying constant, and a represents the initial power output at the start of the decay process. In addition, a bi-exponential (BI) decay function models power output with two distinct phases: an initial rapid decay, reflecting the depletion of anaerobic energy stores, followed by a slower decay phase associated with sustained aerobic energy production. This dual-phase function captures the characteristic decline and stabilization of power during exhaustive exercise, making it suitable for estimating critical power and anaerobic capacity.
P = a e bt + c e dt + CP
where a and c represent the initial scaling factors associated with the two exponential decay components, while b and d denote the respective decay rates. These parameters are optimized for each participant, as they vary based on individual differences in power output and rate of fatigue.
The end power (EP) was calculated as the average power output during the final 30 s of the test, while W was estimated by calculating the power–time integral above the EP [9]. To model the relationship between CP and W , the area under the curve bounded by CP ( W ) was derived using an exponential decay function. For the mono-exponential (MONO) function, this can be mathematically expressed as
P CP d t = a e bt d t
By substituting ( P CP ) d t = W into Equation (3) and solving algebraically for W from time 0 to , the final solution is obtained as
W MONO = a b
Similarly, W for the bi-exponential (BI) function can be determined as
W BI = a b + c d
where a, b, c, and d are parameter estimates derived specifically for each participant to best fit their data within the decay model.
All the analyses were conducted in R software (Version 4.4.1; Vienna, Austria). A custom script was used to fit an exponential decay model to cycling power data, specifically aiming to estimate critical power (CP) and work capacity ( W ) from a 3 min all-out cycling test (3MT). The script performs the following steps:
  • Model fitting. A custom function applies the nonlinear least-squares method (‘nlsLM’ function from the ‘minipack.lm’ library) to fit the exponential decay model to the data. The model includes parameters for exponential decay terms and the critical power value. The function returns the residual sum of squares (RSS) and the fitted model.
  • Grid search for parameter estimation. A grid search is conducted over possible values for the model parameters (a, b, c, d, and CP) to find the best-fitting model. The script generates a parameter grid and applies parallel processing to efficiently search for the optimal model using the ‘mclapply’ function from the ‘parallel’ library. The defined ranges for each parameter in the grid search are as follows: a = 800 to 1500, by = 200; b = 0.05 to 0.3, by = 0.05; c = 300 to 700, by = 100; d = 0.01 to 0.1, by = 0.02.
  • Model fitting over time intervals. The script iterates over time intervals (60 to 180 s in 15 s increments) and fits the model to subsets of the data within each interval. For each interval, the optimal model is selected based on the smallest RSS.
  • Calculation of work capacity and R-squared. The work capacity ( W ) is calculated from the fitted model parameters. Additionally, the R-squared value for the fit is computed to assess the goodness of the fit.
This approach ensures efficient parameter estimation and model fitting using parallel computation, which is crucial for large datasets with multiple test subjects.

2.2. Statistical Analysis

The Critical Power Model (CPM) parameters (CP and W ) calculated at each 15 s time interval were subsequently compared to the parameters derived from the 3 min all-out test ( C P 3 M T and W 3 M T ). A one-way repeated-measures analysis of variance (ANOVA) model was used to assess differences between the CPM parameters at different time intervals and the corresponding 3MT parameters. The Dunnett– Hsu post-hoc procedure was employed to control for Type I errors associated with multiple comparisons, determining whether there were any significant differences between the parameters estimated at each time interval and those from the 3MT. An illustration of 60 s time duration compared to 3MT is depicted in Figure 1.
To evaluate the relationship between the shortened duration estimates and the 3MT estimates, simple linear regressions were performed. In these regressions, the slope was tested against 1 rather than the typical value of 0 to determine the degree of deviation from identity between the estimates. Additionally, Bland-Altman plots were constructed to further investigate the level of agreement between the estimates from the shorter duration test and the 3MT. The range of agreement was defined as the mean bias ±2 standard deviations (SDs), and it was determined that 96% of values fell within these limits. The a priori acceptable limit of agreement was established at ±5%, providing a benchmark for assessing the validity of the shorter duration estimates compared to the 3MT.

3. Results

Our results showed that the 105 s and 90 s test durations produced non-significant differences in CP estimates when comparing the 3MT and exponential functions (MONO p = 0.24 , BI p = 0.11 ). For W , 135 s and 90 s test durations yielded non-significant differences between the 3MT and exponential functions (MONO p = 0.23 , BI p = 0.10 ). The model’s goodness-of-fit, as assessed by the coefficient of determination ( r 2 ), ranged from 0.40 to 0.97 for MONO and 0.44 to 0.98 for BI across all participants. The average r 2 values were 0.88 ± 0.08 for MONO and 0.91 ± 0.07 for BI, indicating a high degree of model fit.
Tests for interaction effects between sex and time duration were non-significant, indicating that time duration effects were not dependent on sex. However, significant main effects of sex were observed (p < 0.01 for both models), with males showing higher CP and W values than females (CP: MONO, 84 W, p < 0.01; BI, 91 W, p < 0.01; W : MONO, 8.48 KJ, p < 0.01; BI, 7.21 KJ, p < 0.01).
In contrast, neither the main effect of sport (cycling vs. triathlon) nor its interaction with time duration was significant, suggesting that CP and W estimates were consistent across sports and that sport type did not influence the relationship between test duration and these physiological parameters. Overall, these findings indicate that while sex significantly affects CP and W values, the influence of test duration on these parameters is independent of sport type. This consistency supports the applicability of mono- and bi-exponential models for CP and W assessments across diverse athletic populations.
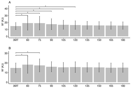
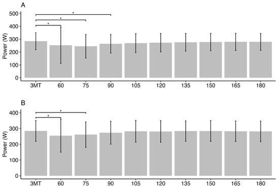
The estimates for CP and W at all time intervals are summarized in Figure 2 and Figure 3. Notably, mono- and bi-exponential models showed lower CP values for durations up to 90 s and 75 s time intervals, respectively, and higher W values for time intervals shorter than 135 s and 90 s. These findings may suggest incomplete depletion of anaerobic capacity at these shorter durations. However, no significant differences in CP or W estimates were observed for time intervals exceeding 120 s for the MONO model and 90 s for the BI model.
Bland–Altman plots comparing the 3MT and exponential functions (Figure 4 and Figure 5) show data points scattered both above and below the zero line for CP and W , suggesting no systematic bias in favor of either function. For CP, the 95% limits of agreement between the 3MT and exponential functions ranged from −83.75 to 116.40 W for the MONO model and from −72.02 to 95.00 W for the BI function. Similarly, for W , the 95% limits of agreement spanned from −9.75 to 7.54 KJ for the MONO function and from −10.63 to 8.32 KJ for the BI function. Importantly, 95% of the data points fall within these limits, indicating that most CP and W estimates are within a clinically acceptable range of agreement.
In the slope analysis comparing the 3MT with exponential functions (Figure 6), the regression shows that the slope of W differs from one for BI (p = 0.01) but not for MONO (p = 0.28), indicating a minor deviation from perfect identity in the BI model. For CP, however, the slope is not significantly different from one in either function (MONO p = 0.53, BI p = 0.50, Figure 7), suggesting close agreement between methods for CP estimation. These findings imply that while minor discrepancies in W estimates exist, the exponential functions provide an accurate approximation for CP at 105 s for MONO and 90 s for BI.
The mean difference between CP and W derived from the 3MT and those from the MONO method were 5.51% and 13.86%, respectively, when compared to C P 3 M T and W 3 M T . Specifically, CP values derived from the 3MT ranged from 128 to 297 W, while W values spanned 3.40 to 21.90 KJ. In comparison, the values estimated using the mono-exponential function across a 120 s duration were similar, with C P 120 values ranging from 119 to 293 W, and W 120 ranging from 3.49 to 20.51 KJ.

4. Discussion

This study attempts to shorten the 3 min all-out test (3MT) while maintaining the accuracy of critical power (CP) and anaerobic work capacity ( W ) estimates. By applying exponential functions to shorter time duration samples, we aimed to determine whether athletes could achieve reliable results without enduring the full 3 min test. The Critical Power Model (CPM) parameters (CP and W ) calculated at each 15 s time interval were subsequently compared to the parameters derived from the 3 min all-out test ( C P 3 M T and W 3 M T ). The findings of this study demonstrate that reducing the test duration by 33% for MONO (down to 120 s) and 50% for BI (down to 90 s) still provides accurate estimates of CP and W , with only a 5% difference from the traditional 3MT. This suggests that a shorter, more manageable test can be used for fitness monitoring, addressing one of the major drawbacks of the standard 3MT: its mentally and physically exhaustive nature.
The results presented suggest that an all-out test duration of 120 s for MONO function and 90 s for BI function fitting provide accurate estimates of both W 3 M T (MONO p = 0.23 and BI p = 0.10, respectively) and C P 3 M T (MONO p = 0.24 and BI p = 0.11, respectively). W and CP did not show differences from the 3MT parameters at time intervals extending beyond 120 s for MONO W 135 and C P 105 and 90 s for BI W 90 and C P 90 , respectively. At durations shorter than 105 s for MONO and 75 s for BI, the power output still exhibited the rapidly decreasing pattern characteristic of the first phase of an all-out test. Capturing this fast-decline behavior at such short time intervals, however, resulted in lower CP estimates. As the time duration increased, the exponential functions could capture the second phase of the slower power decline, thereby offering more accurate and reliable estimates. The results from the present study, as well as findings from previous studies [7,11], indicate that it is not essential for athletes to complete the full 3 min duration required by the traditional 3MT in order to derive valid values for W and CP. The test duration can be significantly shortened by up to 50%, with the resulting parameter estimates differing by only 5% from the original 3MT values. Bland–Altman plots (Figure 4 and Figure 5) further demonstrated an unbiased relationship in CP and W estimates between the traditional 3MT and the shortened exponential function-based approach.
The Critical Power Model has historically been only loosely associated with the underlying metabolic processes [18]. The response letter by Dekerle (2019) highlights some of the difficulties in ascribing the W solely to metabolic depletion. We do not address the possible mechanisms accounting for the rapid decline in power output toward an asymptote [19]. Our shortened-duration approach, which utilizes an exponential function, provides an empirical description of the power–duration relationship. Nevertheless, this approach is in agreement with prior findings that W can be entirely depleted within 90 s [8]. However, there is some evidence that a power reserve may be present for some athletes [20,21].
Research on W measurement has highlighted substantial variability and lower reliability, particularly with protocols that deviate from standard procedures. The 3 min all-out test (3MT) shows variability in estimating W and CP (critical power), with issues such as high intra-individual variability and error margins that impact subject-level reliability. For instance, subject-specific measures show significant variation, with the coefficient of variance for W ranging from 4.83% to 17.32%, reflecting an inherent difficulty in producing consistent W values across trials [22]. Similarly, the ramp all-out test, though correlated with CP at a group level, displays wide limits of agreement, making W estimates from this protocol unreliable for monitoring individual performance changes [23].
The time constant for oxygen uptake kinetics in active to well-trained adults generally falls within the range of 20 to 35 s [24]. A 90 s test duration allows for three or more VO2 time constants to pass, which is sufficient to achieve a near-constant provision of aerobic energy. In contrast, Vanhatalo [9] (2007) required a longer-duration test to assess CP because of their mathematical approach of averaging power over 30 s intervals rather than the need for a longer test to fully mobilize aerobic energy production. The exponential approach appears equally applicable to both men and women (p = 0.28), and body size (height: p = 0.10, weight: p = 0.46) does not seem to influence the accuracy of CP parameter estimation.
Whether the test involves the traditional three-minute duration or the shortened 90 s all-out exercise test, the maximum-effort nature of the protocol is inherently uncomfortable for most participants. Less than a handful of athletes in our sample agreed to perform the 3MT on a separate occasion when asked, highlighting the aversion to repeated testing. However, in contrast, in a separate study [25], which required participants to perform an interval workout session followed immediately by a 2 min all-out exercise test, 31 participants completed more than three sessions each, with an average of 6.55 ± 2.94 sessions per participant. This result demonstrates that the shorter-duration test protocol is not only physically and mentally more tolerable but also one that athletes are more willing to repeat. Therefore, the shorter-duration all-out test holds great promise as a feasible and effective fitness-monitoring tool for both amateur and elite athletes alike.
The Critical Power Test comparison table (Table 1) illustrates the key differences between the traditional CP test, the 3MT, and the newly proposed shortened test using the exponential fit. As shown, the shortened test offers comparable accuracy to the 3MT but with significantly lower fatigue levels and greater ease of repetition. This makes the 90 s test a more practical option for athletes who need to assess their fitness regularly without the time commitment and exhaustion associated with the longer tests.

Limitations

While this study provides important insights into the potential for shortening the 3MT using exponential functions, there are several limitations that should be considered when interpreting the findings.
First, this study focused specifically on endurance-trained athletes (cyclists and triathletes) who regularly engage in high-intensity endurance exercise. This focus may limit the generalizability of our findings to athletes from other sports or individuals with different fitness backgrounds. For example, our results may not extend as effectively to power-dominant athletes, such as sprinters or baseball players, who rely more on anaerobic energy systems and tend to show a faster initial power decline because of the unique demands of their sport. Similarly, recreational athletes, who typically have lower baseline fitness, may respond differently. Endurance athletes, by contrast, often exhibit adaptations that allow for a more gradual decrease in power over time, reflecting the distinct physiological demands of their training.
Second, the study did not investigate the long-term reliability of the shortened test. While the 90 s test was shown to provide accurate results in this single testing instance, it is unclear whether the test would produce consistent results if repeated over time or under different training or environmental conditions. Longitudinal studies are needed to assess the reliability of the shortened test across multiple testing sessions and over extended periods of training.
Finally, while the shortened test reduces mental and physical fatigue, it still requires athletes to perform an all-out effort for 1.5–2 min, which some athletes may find uncomfortable. Although this is a significant improvement over the 3MT, future research can explore the possibility of further reducing the test duration or implementing pacing strategies to make the test even more tolerable for athletes, especially for those who are less familiar with high-intensity exercise protocols.

5. Conclusions

In conclusion, the 3MT effectively simplifies the traditionally time-intensive, multi-day testing requirements of the Critical Power Model (CPM), offering a viable alternative for measuring aerobic (CP) and anaerobic ( W ) fitness metrics. However, because of the mental and physical demands of the 3MT, its routine use as a fitness-monitoring tool in many sports settings remains limited. To address this, we explored exponential decay models as a shorter-duration alternative to the 3MT, with the aim of maintaining accuracy in estimating CP and W while minimizing test duration.
Our findings suggest that reducing the test duration by approximately 50% may provide CP estimates comparable to those obtained from the 3MT in an isokinetic mode, particularly among cyclists and triathletes. We observed no significant differences in CP estimates at the 90 s mark for BI and the 120 s mark for MONO. However, as W values showed a mean difference of 13% (13.18% for BI and 13.35% for MONO, respectively) from 3MT values, it is essential to acknowledge this variability when considering W reliability in the shorter-duration protocol. The Bland–Altman analysis also indicated that, while results are promising, the <120 s protocol does not perfectly replicate the 3MT, particularly in terms of W accuracy.
Thus, while the proposed exponential model can serve as a practical, time-efficient method for estimating CP in both men and women, further research is recommended to refine its applicability to W estimation across a broader range of athlete types and fixed-resistance settings.

Author Contributions

Conceptualization, M.-C.T. and S.T.; methodology, M.-C.T. and S.T.; software, M.-C.T.; validation, M.-C.T. and S.T.; formal analysis, M.-C.T.; investigation, M.-C.T. and S.T.; resources, M.-C.T., S.T., and M.K.; data curation, M.-C.T.; writing—original draft preparation, M.-C.T.; writing—review and editing, S.T. and M.K.; visualization, M.-C.T. All authors have read and agreed to the published version of the manuscript.

Funding

This research received no external funding.

Institutional Review Board Statement

The study was conducted in accordance with the Declaration of Helsinki, and approved by the Review Ethics Board of University of Toronto (28737 24 April 2013).

Informed Consent Statement

Informed consent was obtained from all subjects involved in the study.

Data Availability Statement

The calculated CP and W data presented in the study are openly available in GitHub at https://github.com/mingchangtsai/exponential3MT (accessed on 8 October 2024).

Acknowledgments

The authors wish to thank all the participants for their committed effort and the Ontario Ministry of Health and Long-Term Care for funding this study.

Conflicts of Interest

The authors declare no conflicts of interest.

Abbreviations

The following abbreviations are used in this manuscript:
3MT3-min all-out test
ANOVAAnalysis of variance
BIBi-exponential function
CPMCritical Power Model
CPCritical power
C P i Critical power calculated over a specific time duration
EPEnd Power
MONOMono-exponential function
PAR-QPhysical Activity Readiness Questionnaire
r 2 Coefficient of determination
RSSResidual sum of squares
SDStandard deviation
W Anaerobic work capacity
W i Anaerobic work capacity calculated over a specific time duration

References

  1. Banister, E.; Calvert, T.; Savage, M.; Bach, T. A systems model of training for athletic performance. Austr. J. Sports Med. 1975, 7, 57–61. [Google Scholar]
  2. Monod, H.; Sherrar, J. Capacity for static work in a synergistic muscular group in man. C. R. Seances Soc. Biol. Fil. 1957, 151, 1358–1362. [Google Scholar] [PubMed]
  3. Gaesser, G.A.; Wilson, L.A. Effects of continuous and interval training on the parameters of the power-endurance time relationship for high-intensity exercise. Int. J. Sports Med. 1988, 9, 417–421. [Google Scholar] [CrossRef] [PubMed]
  4. Poole, D.C.; Ward, S.A.; Whipp, B.J. The effects of training on the metabolic and respiratory profile of high-intensity cycle ergometer exercise. Eur. J. Appl. Physiol. Occup. Physiol. 1990, 59, 421–429. [Google Scholar] [CrossRef]
  5. Jones, A.M.; Vanhatalo, A.; Burnley, M.; Morton, R.H.; Poole, D.C. Critical power: Implications for determination of V O2max and exercise tolerance. Med. Sci. Sports Exerc. 2010, 42, 1876–1890. [Google Scholar] [CrossRef]
  6. Jones, A.M.; Vanhatalo, A. The critical power concept: Applications to sports performance with a focus on intermittent high-intensity exercise. Sports Med. 2017, 47 (Suppl. S1), 65–78. [Google Scholar] [CrossRef] [PubMed]
  7. Burnley, M.; Vanhatalo, A. A 3-min all-out test to determine peak oxygen uptake and the maximal steady state. Med. Sci. Sports Exerc. 2006, 38, 1995–2003. [Google Scholar] [CrossRef]
  8. Dekerle, J.; Brickley, G.; Hammond, A.J.; Pringle, J.S.; Carter, H. Validity of the two-parameter model in estimating the anaerobic work capacity. Eur. J. Appl. Physiol. 2006, 96, 257–264. [Google Scholar] [CrossRef] [PubMed]
  9. Vanhatalo, A.; Doust, J.H.; Burnley, M. Determination of critical power using a 3-min all-out cycling test. Med. Sci. Sports Exerc. 2007, 39, 548–555. [Google Scholar] [CrossRef]
  10. Thomas, K.; Stone, M.R.; Thompson, K.G.; St Clair Gibson, A.; Ansley, L. The effect of self- even- and variable-pacing strategies on the physiological and perceptual response to cycling. Eur. J. Appl. Physiol. 2012, 112, 3069–3078. [Google Scholar] [CrossRef]
  11. Bergstrom, H.C.; Housh, T.J.; Zuniga, J.M.; Camic, C.L.; Traylor, D.A.; Lewis, R.W.; Schmidt, R.J.; Johnson, G.O. Estimates of Critical Power and Anaerobic Work Capacity from a Single, All-Out Test of Less than 3-Min. J. Sports Med. Doping Stud. 2012, 2, 1–5. [Google Scholar]
  12. de Koning, J.J.; Foster, C.; Bakkum, A.; Kloppenburg, S.; Thiel, C.; Joseph, T.; Cohen, J.; Porcari, J.P. Regulation of pacing strategy during athletic competition. PLoS ONE 2011, 6, e15863. [Google Scholar] [CrossRef]
  13. Thomas, S.; Reading, J.; Shephard, R.J. Revision of the Physical Activity Readiness Questionnaire (PAR-Q). Can. J. Sport Sci. 1992, 17, 338–345. [Google Scholar] [PubMed]
  14. Berry, T.N. The Effects of a 10 km Run and 30 km Cycling Time-Trial on Ventilator Threshold during the Final Running Leg of an ITU Duathlon in Highly-Trained Multi-Sport Athletes. Ph.D. Thesis, The University of North Carolina, Chapel Hill, NC, USA, 2012. [Google Scholar]
  15. Silva-Cavalcante, M.D.; Correia-Oliveira, C.R.; Santos, R.A.; Lopes-Silva, J.P.; Lima, H.M.; Bertuzzi, R.; Duarte, M.; Bishop, D.J.; Lima-Silva, A.E. Caffeine increases anaerobic work and restores cycling performance following a protocol designed to lower endogenous carbohydrate availability. PLoS ONE 2013, 8, e72025. [Google Scholar] [CrossRef] [PubMed]
  16. Hazell, T.J.; Lemon, P.W. Synchronous whole-body vibration increases VO2 during and following acute exercise. Eur. J. Appl. Physiol. 2012, 112, 413. [Google Scholar] [CrossRef]
  17. Sitko, S.; Cirer-Sastre, R.; Corbi, F. Power Assessment in Road Cycling: A Narrative Review. Sustainability 2020, 12, 5216. [Google Scholar] [CrossRef]
  18. Bundle, M.W.; Weyand, P.G. Sprint exercise performance: Does metabolic power matter? Exerc. Sport Sci. Rev. 2012, 40, 174–182. [Google Scholar] [CrossRef]
  19. Dekerle, J.; Schafer, L.U.; Greenhouse-Tucknott, A.; Hayes, M. Reply to ’The relationship between W and peripheral fatigue considered’. Exp. Physiol. 2019, 105, 213–214. [Google Scholar] [CrossRef]
  20. Hodgson, M.D.; Keir, D.A.; Copithorne, D.B.; Rice, C.L.; Kowalchuk, J.M. Power reserve following ramp-incremental cycling to exhaustion: Implications for muscle fatigue and function. J. Appl. Physiol. 2018, 125, 304–312. [Google Scholar] [CrossRef]
  21. Ducrocq, G.P.; Hureau, T.J.; Bøgseth, T.; Meste, O.; Blain, G.M. Recovery from Fatigue after Cycling Time Trials in Elite Endurance Athletes. Med. Sci. Sports Exerc. 2021, 53, 904–917. [Google Scholar] [CrossRef]
  22. Sreedhara, V.S.M.; Mocko, G.M.; Hutchison, R.E. Repeatability and Variability of the 3-Min All-Out Test at the Subject Level. J. Sci. Sport Exerc. 2022, 5, 77–86. [Google Scholar] [CrossRef]
  23. Goulding, R.P.; Roche, D.M.; Marwood, S. The ramp and all-out exercise test to determine critical power: Validity and robustness to manipulations in body position. Eur. J. Appl. Phsiol. 2021, 121, 2721–2730. [Google Scholar] [CrossRef] [PubMed]
  24. Murias, J.M.; Spencer, M.D.; Paterson, D.H. The critical role of O2 provision in the dynamic adjustment of oxidative phosphorylation. Exerc. Sport Sci. Rev. 2014, 42, 4–11. [Google Scholar] [CrossRef]
  25. Tsai, M.C.; Thomas, S.; Klimstra, K. Estimate Anaerobic Work Capacity and Critical Power with Constant-Power All-Out Test. J. Funct. Morphol. Kinesiol. 2024, 9, 202. [Google Scholar] [CrossRef]
Figure 1. Comparison of observed and 60 s modeled power of a 3MT. Observed power is represented by gray open circles, while modeled power (solid line) used the initial 60 s data (black open circle). The dashed horizontal line represents the CP calculated from 3MT for comparison.
Figure 1. Comparison of observed and 60 s modeled power of a 3MT. Observed power is represented by gray open circles, while modeled power (solid line) used the initial 60 s data (black open circle). The dashed horizontal line represents the CP calculated from 3MT for comparison.
Algorithms 17 00532 g001
Figure 2. Comparison of end powers for different time duration to C P 3 M T for MONO (A) and BI (B). (* p < 0.05).
Figure 2. Comparison of end powers for different time duration to C P 3 M T for MONO (A) and BI (B). (* p < 0.05).
Algorithms 17 00532 g002
Figure 3. Comparison of W for different time duration to C P 3 M T for MONO (A) and BI (B). (* p < 0.05).
Figure 3. Comparison of W for different time duration to C P 3 M T for MONO (A) and BI (B). (* p < 0.05).
Algorithms 17 00532 g003
Figure 4. Bland–Altman plots comparing C P 3 M T and MONO C P 105 (A) and BI C P 90 (B). The dashed lines represent the 95% limits of agreement, and the solid horizontal line represents the mean bias between the models. Mean bias represents the average difference between the two methods; a mean bias of zero suggests no systematic difference between the methods, while deviations from zero indicate a consistent overestimation or underestimation by one method compared to the other.
Figure 4. Bland–Altman plots comparing C P 3 M T and MONO C P 105 (A) and BI C P 90 (B). The dashed lines represent the 95% limits of agreement, and the solid horizontal line represents the mean bias between the models. Mean bias represents the average difference between the two methods; a mean bias of zero suggests no systematic difference between the methods, while deviations from zero indicate a consistent overestimation or underestimation by one method compared to the other.
Algorithms 17 00532 g004
Figure 5. Bland–Altman plots comparing W 3 M T and MONO W 135 (A) and BI W 90 (B). The dashed lines represent the 95% limits of agreement, and the solid horizontal line represents the mean bias between the models. Mean bias represents the average difference between the two methods; a mean bias of zero suggests no systematic difference between the methods, while deviations from zero indicate a consistent overestimation or underestimation by one method compared to the other.
Figure 5. Bland–Altman plots comparing W 3 M T and MONO W 135 (A) and BI W 90 (B). The dashed lines represent the 95% limits of agreement, and the solid horizontal line represents the mean bias between the models. Mean bias represents the average difference between the two methods; a mean bias of zero suggests no systematic difference between the methods, while deviations from zero indicate a consistent overestimation or underestimation by one method compared to the other.
Algorithms 17 00532 g005
Figure 6. Regression plot comparing W calculated from 3MT with exponential functions: MONO C P 135 (A) and BI C P 90 (B). The dashed line represents the identity (y = x), and the solid line represents the model slope tested against 1 (MONO: p = 0.28, BI: p = 0.01).
Figure 6. Regression plot comparing W calculated from 3MT with exponential functions: MONO C P 135 (A) and BI C P 90 (B). The dashed line represents the identity (y = x), and the solid line represents the model slope tested against 1 (MONO: p = 0.28, BI: p = 0.01).
Algorithms 17 00532 g006
Figure 7. Regression plot comparing CP calculated from the 3MT with exponential functions: MONO C P 105 (A) and BI C P 90 (B). The dashed line represents the identity line ( y = x ), and the solid line represents the regression slope tested against 1 (MONO: p = 0.53, BI: p = 0.50).
Figure 7. Regression plot comparing CP calculated from the 3MT with exponential functions: MONO C P 105 (A) and BI C P 90 (B). The dashed line represents the identity line ( y = x ), and the solid line represents the regression slope tested against 1 (MONO: p = 0.53, BI: p = 0.50).
Algorithms 17 00532 g007
Table 1. Critical power test comparison.
Table 1. Critical power test comparison.
Test ElementTraditional CP Test3 Min Test (3MT)Mono-ExponentialBi-Exponential
Test Duration3–4 tests over 1–1.5 weeks3 min2 min1.5 min
Number of Trials3–4111
Recovery Period24–48 h between testsNoneNoneNone
Parameter Accuracy (CP)HighHigh (5% difference)High (5% difference)High (5% difference)
Parameter Accuracy ( W )HighHigh (5% difference)High (5% difference)High (5% difference)
Ease of RepetitionLowLowHigherHigher
Fatigue LevelHighVery HighModerateModerate
Practicality for Regular UseLow because of time and fatigueModerateHigh
Mental and Physical ExhaustionHigh (due to multiple exhaustive trials)Very HighModerateModerate
Disclaimer/Publisher’s Note: The statements, opinions and data contained in all publications are solely those of the individual author(s) and contributor(s) and not of MDPI and/or the editor(s). MDPI and/or the editor(s) disclaim responsibility for any injury to people or property resulting from any ideas, methods, instructions or products referred to in the content.

Share and Cite

MDPI and ACS Style

Tsai, M.-C.; Thomas, S.; Klimstra, M. Exponential Functions Permit Estimation of Anaerobic Work Capacity and Critical Power from Less than 2 Min All-Out Test. Algorithms 2024, 17, 532. https://doi.org/10.3390/a17110532

AMA Style

Tsai M-C, Thomas S, Klimstra M. Exponential Functions Permit Estimation of Anaerobic Work Capacity and Critical Power from Less than 2 Min All-Out Test. Algorithms. 2024; 17(11):532. https://doi.org/10.3390/a17110532

Chicago/Turabian Style

Tsai, Ming-Chang, Scott Thomas, and Marc Klimstra. 2024. "Exponential Functions Permit Estimation of Anaerobic Work Capacity and Critical Power from Less than 2 Min All-Out Test" Algorithms 17, no. 11: 532. https://doi.org/10.3390/a17110532

APA Style

Tsai, M.-C., Thomas, S., & Klimstra, M. (2024). Exponential Functions Permit Estimation of Anaerobic Work Capacity and Critical Power from Less than 2 Min All-Out Test. Algorithms, 17(11), 532. https://doi.org/10.3390/a17110532

Note that from the first issue of 2016, this journal uses article numbers instead of page numbers. See further details here.

Article Metrics

Back to TopTop