The Ta Seed-Buffer Layer Microstructure and Its Influence on the Magnetic and Structural Parameters of CoFeB/MgO Layers
Abstract
1. Introduction
2. Materials and Methods
3. Results and Discussion
3.1. Microstructure
3.2. Surface Roughness and Interfaces
3.3. Magnetic Properties: Dead Layer and Anisotropy
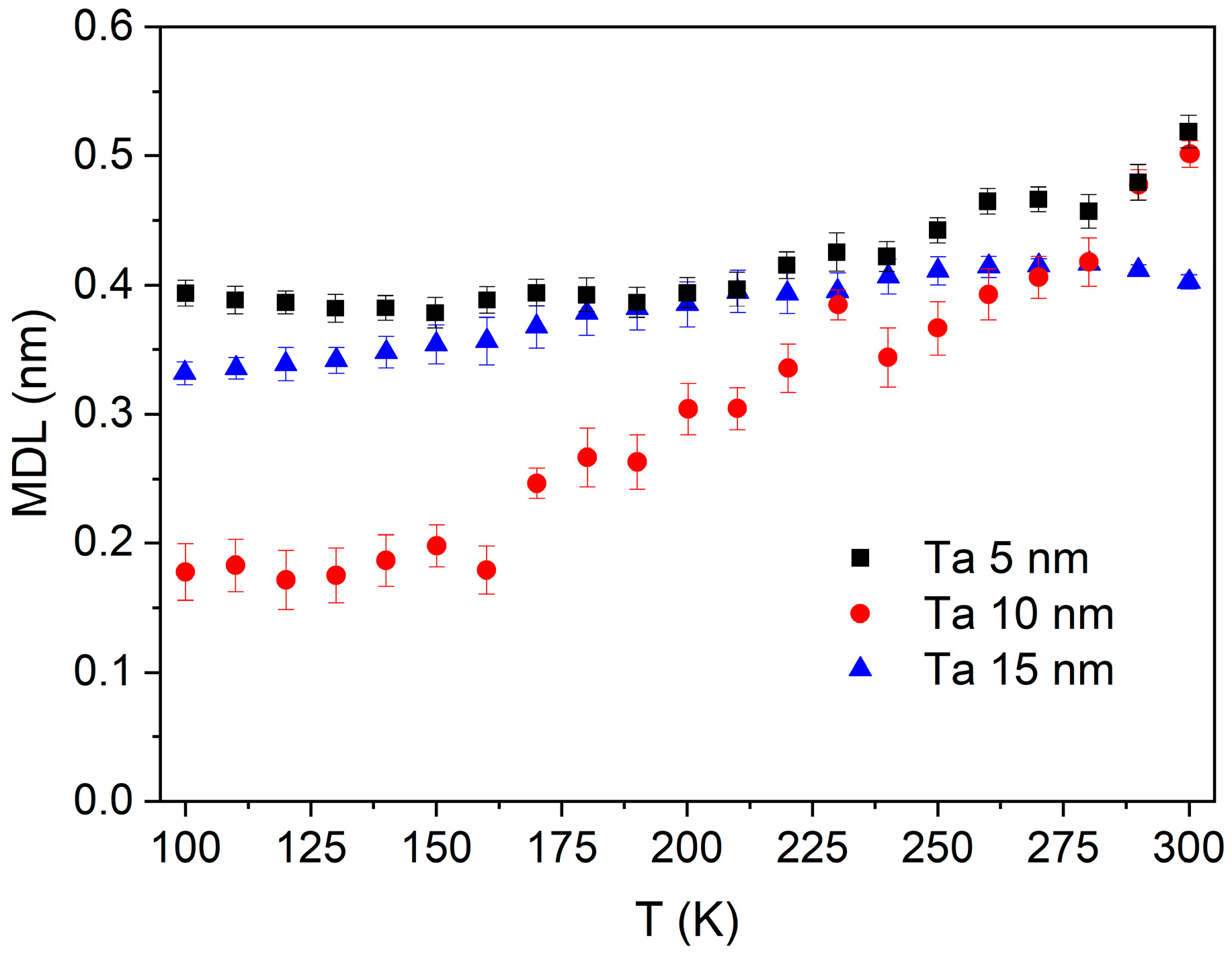
3.4. Temperature Dependence of Coercivity and Magnetic Dead Layer
4. Conclusions
Supplementary Materials
Author Contributions
Funding
Data Availability Statement
Conflicts of Interest
References
- Ikeda, S.; Miura, K.; Yamamoto, H.; Mizunuma, K.; Gan, H.; Endo, M.; Kanai, S.; Hayakawa, J.; Matsukura, F.; Ohno, H. A perpendicular-anisotropy CoFeB–MgO magnetic tunnel junction. Nat. Mater. 2010, 9, 721–724. [Google Scholar] [CrossRef]
- Sato, H.; Yamanouchi, M.; Miura, K.; Ikeda, S.; Gan, H.; Mizunuma, K.; Koizumi, R.; Matsukura, F.; Ohno, H. Junction size effect on switching current and thermal stability in CoFeB/MgO perpendicular magnetic tunnel junctions. Appl. Phys. Lett. 2011, 99, 042501. [Google Scholar] [CrossRef]
- Dieny, B.; Prejbeanu, I.L.; Garello, K.; Gambardella, P.; Freitas, P.; Lehndorff, R.; Raberg, W.; Ebels, U.; Demokritov, S.O.; Akerman, J.; et al. Opportunities and challenges for spintronics in the microelectronics industry. Nat. Electron. 2020, 3, 446–459. [Google Scholar] [CrossRef]
- Kanak, J.; Stobiecki, T.; van Dijken, S. Influence of interface roughness, film texture, and magnetic anisotropy on exchange bias in [Pt/Co]3/IrMn and IrMn/[Co/Pt]3 Multilayers. IEEE Trans. Magn. 2008, 44, 238. [Google Scholar] [CrossRef]
- Wisniowski, P.; Stobiecki, T.; Kanak, J.; Reiss, G.; Bruckl, H. Influence of buffer layer texture on magnetic and electrical properties of IrMn spin valve magnetic tunnel junctions. J. Appl. Phys. 2006, 100, 013906. [Google Scholar] [CrossRef]
- Kanak, J.; Wisniowski, P.; Stobiecki, T.; Zaleski, A.; Powroźnik, W.; Cardoso, S.; Freitas, P.P. X-ray diffraction analysis and Monte Carlo simulations of CoFeB-MgO based magnetic tunnel junctions. J. Appl. Phys. 2013, 113, 023915. [Google Scholar] [CrossRef]
- Han, F.X.; Du, W.; Liu, M.; Su, H.; Zhang, H.; Liu, B.; Meng, H.; Tang, X. Effects of Ta and Pt/Ta seed layer on the thermal stability of CoFeB/MgO perpendicular magnetic anisotropy film. J. Alloys Compd. 2022, 906, 164298. [Google Scholar] [CrossRef]
- Tao, B.S.; Li, D.L.; Yuan, Z.H.; Liu, H.F.; Ali, S.S.; Feng, J.F.; Wei, H.X.; Han, X.F.; Liu, Y.; Zhao, Y.G.; et al. Perpendicular magnetic anisotropy in Ta|Co40Fe40B20|MgAl2O4 structures and perpendicular CoFeB|MgAl2O4|CoFeB magnetic tunnel junction. Appl. Phys. Lett. 2014, 105, 102407. [Google Scholar] [CrossRef]
- Sinha, J.; Hayashi, M.; Kellock, A.J.; Fukami, S.; Yamanouchi, M.; Sato, H.; Ikeda, S.; Mitani, S.; Yang, S.-H.; Parkin, S.S.P.; et al. Enhanced interface perpendicular magnetic anisotropy in Ta|CoFeB|MgO using nitrogen doped Ta underlayers. Appl. Phys. Lett. 2013, 102, 242405. [Google Scholar] [CrossRef]
- Jang, S.Y.; You, C.Y.; Lim, S.H.; Lee, S.R. Annealing effects on the magnetic dead layer and saturation magnetization in unit structures relevant to a synthetic ferrimagnetic free structure. J. Appl. Phys. 2011, 109, 013901. [Google Scholar] [CrossRef]
- Nawrocki, P.; Kanak, J.; Wójcik, M.; Stobiecki, T. 59Co NMR analysis of based magnetic tunnel junctions. J. Alloys Compd. 2018, 741, 775–780. [Google Scholar] [CrossRef]
- Yang, H.; Chshiev, M.; Dieny, B.; Lee, J.; Manchon, A.; Shin, K. First-principles investigation of the very large perpendicular magnetic anisotropy at Fe|MgO and Co|MgO interfaces. Phys. Rev. B 2011, 84, 054401. [Google Scholar] [CrossRef]
- Miyakawa, N.; Worledge, D.C.; Kita, K. Impact of Ta Diffusion on the Perpendicular Magnetic Anisotropy of Ta/CoFeB/MgO. IEEE Magn. Lett. 2013, 4, 1000104. [Google Scholar] [CrossRef]
- Skowroński, W.; Nozaki, T.; Lam, D.D.; Shiota, Y.; Yakushiji, K.; Kubota, H.; Fukushima, A.; Yuasa, S.; Suzuki, Y. Underlayer material influence on electric-field controlled perpendicular magnetic anisotropy in CoFeB/MgO magnetic tunnel junctions. Phys. Rev. B 2015, 91, 184410. [Google Scholar] [CrossRef]
- Watanabe, K.; Fukami, S.; Sato, H.; Ikdeda, S.; Matsukara, F.; Ohno, H. Annealing temperature dependence of magnetic properties of CoFeB/MgO stacks on different buffer layers. Jpn. J. Appl. Phys. 2017, 56, 0802B2. [Google Scholar] [CrossRef]
- Cubukcu, M.; Boulle, O.; Drouard, M.; Garello, K.; Avci, C.O.; Miron, I.M.; Langer, J.; Ocker, B.; Gambardella, P.; Gaudin, G. Spin-orbit torque magnetization switching of a three-terminal perpendicular magnetic tunnel junction. Appl. Phys. Lett. 2014, 104, 042406. [Google Scholar] [CrossRef]
- Sklenar, J.; Zhang, W.; Jungfleisch, M.B.; Jiang, W.; Chang, H.; Pearson, J.E.; Wu, M.; Ketterson, J.B.; Hoffmann, A. Driving and detecting ferromagnetic resonance in insulators with the spin Hall effect. Phys. Rev. B 2015, 92, 174406. [Google Scholar] [CrossRef]
- Cha, I.H.; Kim, T.; Kim, Y.J.; Kim, G.W.; Kim, Y.K. Thickness and composition-dependent spin-orbit torque behaviors in perpendicularly magnetized Ta/W (t)/CoFeB and Ta1-xWx/CoFeB junction structures. J. Alloys Compd. 2020, 823, 153744. [Google Scholar] [CrossRef]
- Grosser, M.; Schmid, U. The impact of sputter conditions on the microstructure and on the resistivity of tantalum thin films. Thin Solid Film. 2009, 517, 4493–4496. [Google Scholar] [CrossRef]
- Pai, C.-F.; Liu, L.; Li, Y.; Tseng, H.W.; Ralph, D.C.; Buhrman, R.A. Spin transfer torque devices utilizing the giant spin Hall effect of tungsten. Appl. Phys. Lett. 2012, 101, 122404. [Google Scholar] [CrossRef]
- Skowroński, W.; Karwacki, Ł.; Ziętek, S.; Kanak, J.; Łazarski, S.; Grochot, K.; Stobiecki, T.; Kuświk, P.; Stobiecki, F.; Barnaś, J. Determination of Spin Hall Angle in Heavy-Metal/Co−Fe−B-Based Heterostructures with Interfacial Spin-Orbit Fields. Phys. Rev. Appl. 2019, 11, 024039. [Google Scholar] [CrossRef]
- Avci, C.O.; Garello, K.; Nistor, C.; Godey, S.; Ballesteros, B.; Mugarza, A.; Barla, A.; Valvidares, M.; Pellegrin, E.; Ghosh, A.; et al. Fieldlike and antidamping spin-orbit torques in as-grown and annealed Ta/CoFeB/MgO layers. Phys. Rev. B 2014, 89, 214419. [Google Scholar] [CrossRef]
- Kim, J.; Sinha, J.; Mitani, S.; Hayashi, M.; Takahashi, S.; Maekawa, S.; Yamanouchi, M.; Ohno, H. Anomalous temperature dependence of current-induced torques in CoFeB/MgO heterostructures with Ta-based underlayers. Phys. Rev. B 2014, 89, 174424. [Google Scholar] [CrossRef]
- Liu, J.; Ohkubo, T.; Mitani, S.; Hono, K.; Hayashi, M. Correlation between the spin Hall angle and the structural phases of early 5d transition metals. Appl. Phys. Lett. 2015, 107, 232408. [Google Scholar] [CrossRef]
- Allen, G.; Manipatruni, S.; Nikonov, D.E.; Doczy, M.; Young, I.A. Experimental demonstration of the coexistence of spin Hall and Rashba effects in β −tantalum/ferromagnet bilayers. Phys. Rev. B 2015, 91, 144412. [Google Scholar] [CrossRef]
- Ryu, S.W.; Song, J.-G.; Kim, H.G.; Kim, H.; Lee, H.-B.-R. Interlayer-assisted atomic layer deposition of MgO as a magnetic tunneling junction insulators. J. Alloys Compd. 2018, 747, 505. [Google Scholar] [CrossRef]
- Cecot, M.; Karwacki, Ł.; Skowroński, W.; Kanak, J.; Wrona, J.; Żywczak, A.; Yao, L.; van Dijken, S.; Barnaś, J.; Stobiecki, T. Influence of intermixing at the Ta/CoFeB interface on spin Hall angle in Ta/CoFeB/MgO heterostructures. Sci. Rep. 2017, 7, 968. [Google Scholar] [CrossRef]
- Moseley, P.T.; Seabrook, C.J. The crystal structure of β-tantalum. Acta Cryst. 1973, B29, 1170–1171. [Google Scholar] [CrossRef]
- Wrona, J.; Langer, J.; Ocker, B.; Maass, W.; Kanak, J.; Stobiecki, T.; Powroźnik, W. Low resistance magnetic tunnel junctions with MgO wedge barrier. J. Phys. Conf. Ser. 2010, 200, 052032. [Google Scholar] [CrossRef]
- Bowen, D.K.; Tanner, B.K. X-Ray Metrology in Semiconductor Manufacturing, 1st ed.; CRC/Taylor & Francis: Boca Raton, FL, USA, 2006; pp. 14, 117. [Google Scholar]
- De Boer, F.R.; Mattens, W.C.M.; Boom, R.; Miedema, A.R.; Niessen, A.K. Cohesion in Metals. Transition Metal Alloys; North Holland: Haarlem, The Netherlands, 1988. [Google Scholar]
- Xu, X.D.; Mukaiyama, K.; Kasai, S.; Ohkubo, T.; Hono, K. Impact of boron diffusion at MgO grain boundaries on magneto-transport properties of MgO/CoFeB/W magnetic tunnel junctions. Acta Mater. 2018, 161, 360–366. [Google Scholar] [CrossRef]
- Mukherjee, S.; Knut, R.; Mohseni, S.M.; Anh Nguyen, T.N.; Chung, S.; Tuan Le, Q.; Åkerman, J.; Persson, J.; Sahoo, A.; Hazarika, A.; et al. Role of boron diffusion in CoFeB/MgO magnetic tunnel junctions. Phys. Rev. B 2011, 84, 054401. [Google Scholar] [CrossRef]
- Nunes, W.C.; Folly, W.S.D.; Sinnecker, J.P.; Novak, M.A. Temperature dependence of the coercive field in single-domain particle systems. Phys. Rev. B 2004, 70, 014419. [Google Scholar] [CrossRef]
- Sinha, J.; Gruber, M.; Kodzuka, M.; Ohkubo, T.; Mitani, S.; Hono, K.; Hayashi, M. Influence of boron diffusion on the perpendicular magnetic anisotropy in Ta|CoFeB|MgO ultrathin films. J. Appl. Phys. 2015, 117, 043913. [Google Scholar] [CrossRef]
- Kaur, I.; Mishin, Y.; Gust, W. Fundamentals of Grain and Interphase Boundary Diffusion; Wiley: Chichester, UK, 1995. [Google Scholar]














| Properties: | As-Deposited | Annealed | ||||
|---|---|---|---|---|---|---|
| Ta 5 | Ta 10 | Ta 15 | Ta 5 | Ta 10 | Ta 15 | |
| tMDL (nm) | 0.43 ± 0.04 | 0.39 ± 0.05 | 0.22 ± 0.04 | 0.55 ± 0.16 | 0.46 ± 0.05 | 0.41 ± 0.06 |
| MS (emu/cm3) | 1540 ± 61 | 1442 ± 44 | 1180 ± 30 | 1770 ± 170 | 1734 ± 60 | 1510 ± 56 |
| KV (J/m3) × 106 | −0.89 | −0.88 | −0.88 | −0.99 | −1.70 | −1.22 |
| KS (mJ/m2) | 0.81 | 0.76 | 0.80 | 1.02 | 1.77 | 1.24 |
Disclaimer/Publisher’s Note: The statements, opinions and data contained in all publications are solely those of the individual author(s) and contributor(s) and not of MDPI and/or the editor(s). MDPI and/or the editor(s) disclaim responsibility for any injury to people or property resulting from any ideas, methods, instructions or products referred to in the content. |
© 2025 by the authors. Licensee MDPI, Basel, Switzerland. This article is an open access article distributed under the terms and conditions of the Creative Commons Attribution (CC BY) license (https://creativecommons.org/licenses/by/4.0/).
Share and Cite
Kanak, J.; Cecot, M.; Skowroński, W.; Żywczak, A.; Gajewska, M.; Wrona, J.; Powroźnik, W.; Czapkiewicz, M. The Ta Seed-Buffer Layer Microstructure and Its Influence on the Magnetic and Structural Parameters of CoFeB/MgO Layers. Materials 2025, 18, 5558. https://doi.org/10.3390/ma18245558
Kanak J, Cecot M, Skowroński W, Żywczak A, Gajewska M, Wrona J, Powroźnik W, Czapkiewicz M. The Ta Seed-Buffer Layer Microstructure and Its Influence on the Magnetic and Structural Parameters of CoFeB/MgO Layers. Materials. 2025; 18(24):5558. https://doi.org/10.3390/ma18245558
Chicago/Turabian StyleKanak, Jarosław, Monika Cecot, Witold Skowroński, Antoni Żywczak, Marta Gajewska, Jerzy Wrona, Wiesław Powroźnik, and Maciej Czapkiewicz. 2025. "The Ta Seed-Buffer Layer Microstructure and Its Influence on the Magnetic and Structural Parameters of CoFeB/MgO Layers" Materials 18, no. 24: 5558. https://doi.org/10.3390/ma18245558
APA StyleKanak, J., Cecot, M., Skowroński, W., Żywczak, A., Gajewska, M., Wrona, J., Powroźnik, W., & Czapkiewicz, M. (2025). The Ta Seed-Buffer Layer Microstructure and Its Influence on the Magnetic and Structural Parameters of CoFeB/MgO Layers. Materials, 18(24), 5558. https://doi.org/10.3390/ma18245558

