You are currently viewing a new version of our website. To view the old version click .
Materials
  • This is an early access version, the complete PDF, HTML, and XML versions will be available soon.
  • Review
  • Open Access

17 November 2025

Recent Developments in Novel TPMS Lattice Materials: Design Optimization, Performance Control, and Applications in Biomimetic Scaffolds

,
,
,
,
and
1
School of Mechanical, Aerospace and Manufacturing Engineering, University of Connecticut, Storrs, CT 06269, USA
2
Department of Mechanical Engineering, National University of Sciences and Technology, Islamabad 44000, Pakistan
3
Department of Mechanical Engineering, University of Washington, Room G33, 3900 E Stevens Way NE, Seattle, WA 98195, USA
4
Department of Mechanical Engineering, Islamic University of Madinah, Madinah 42351, Saudi Arabia
Materials2025, 18(22), 5209;https://doi.org/10.3390/ma18225209 
(registering DOI)
This article belongs to the Section Porous Materials

Abstract

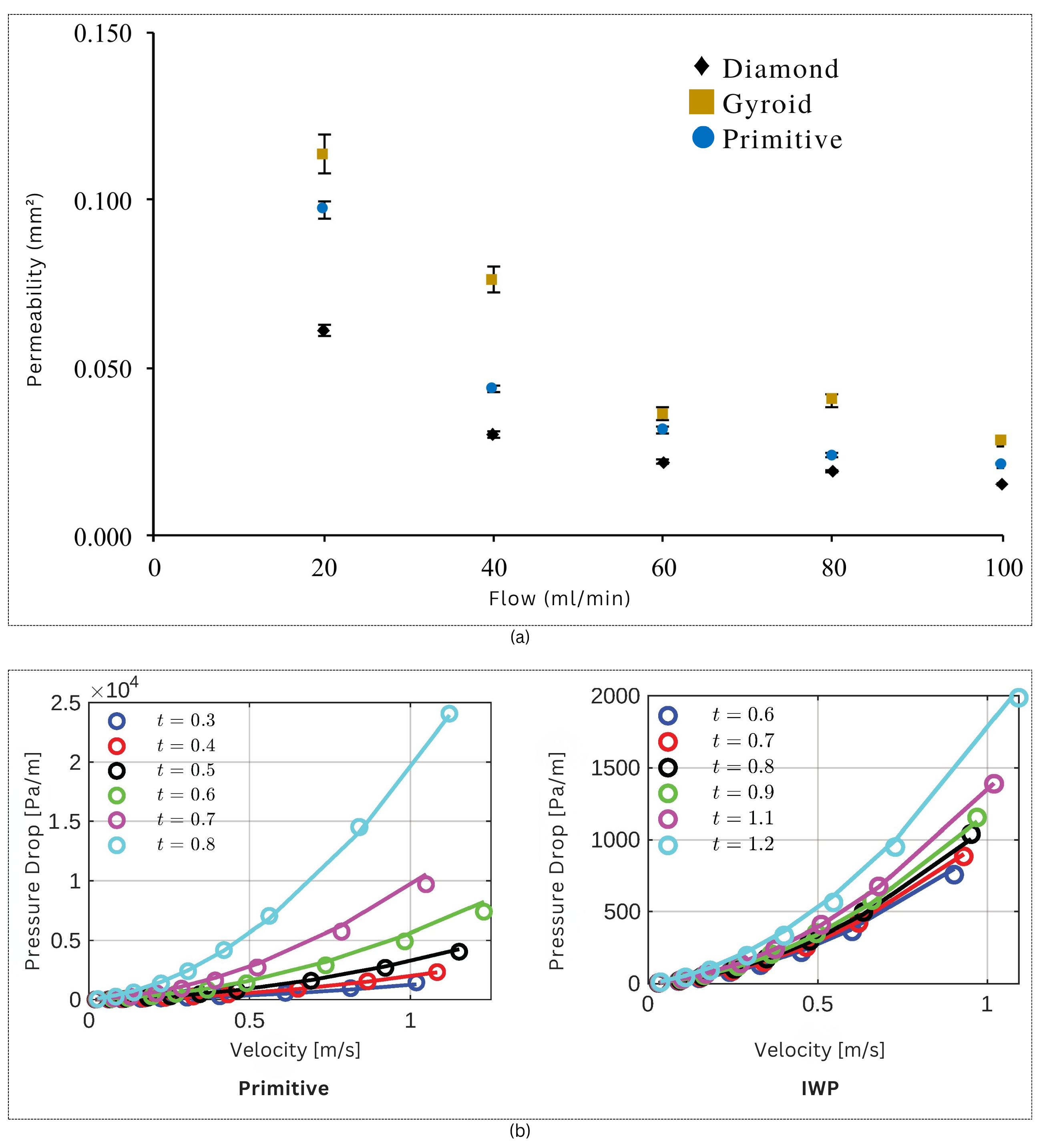
Triply Periodic Minimal Surfaces (TPMSs) are mathematically defined surfaces that exhibit periodicity in three dimensions while maintaining a minimal surface property. TPMS-based lattices have gained significant attention in recent years, fueled by advancements in Additive Manufacturing (AM). These structures exhibit exceptional mechanical, thermal, and mass transfer properties, positioning them as a promising class of next-generation materials. However, fully leveraging their potential requires a comprehensive understanding of their design, properties, optimization, and applications. Given the hierarchical nature of TPMSs, achieving optimal performance requires multiscale optimization at the macro- and micro-levels. Addressing these complexities requires advanced computational methods to balance structural integrity and functional performance. In this narrative review, design strategies like functional grading and hybridization to create optimized TPMS-based lattices are summarized. Herein, the performance of such lattices in the mechanical, thermal, and mass transfer domains is focused upon. The role of topology optimization (TO) in the creation of architectured materials for specific application is discussed along with the emerging integration of machine learning. Furthermore, multidisciplinary applications of TPMS structures are examined, particularly in heat sinks, interpenetrating phase composites (IPCs), and biomimetic scaffolds, with their potential to enhance heat dissipation, structural resistance, and biomimicry of biological scaffolds. In addition, various additive manufacturing technologies for fabricating TPMS structures are reviewed, emphasizing how additive manufacturing allows high reproducibility construction of their complex geometry in a precise manner. Further unexplored areas of research are also discussed.

Article Metrics

Citations

Article Access Statistics

Article metric data becomes available approximately 24 hours after publication online.