A New Semi-Analytical Solution for an Arbitrary Hardening Law and Its Application to Tube Hydroforming
Abstract
:1. Introduction
2. Statement of the Problem
3. Solution
4. Application to Tube Hydroforming
4.1. Inner Pressure
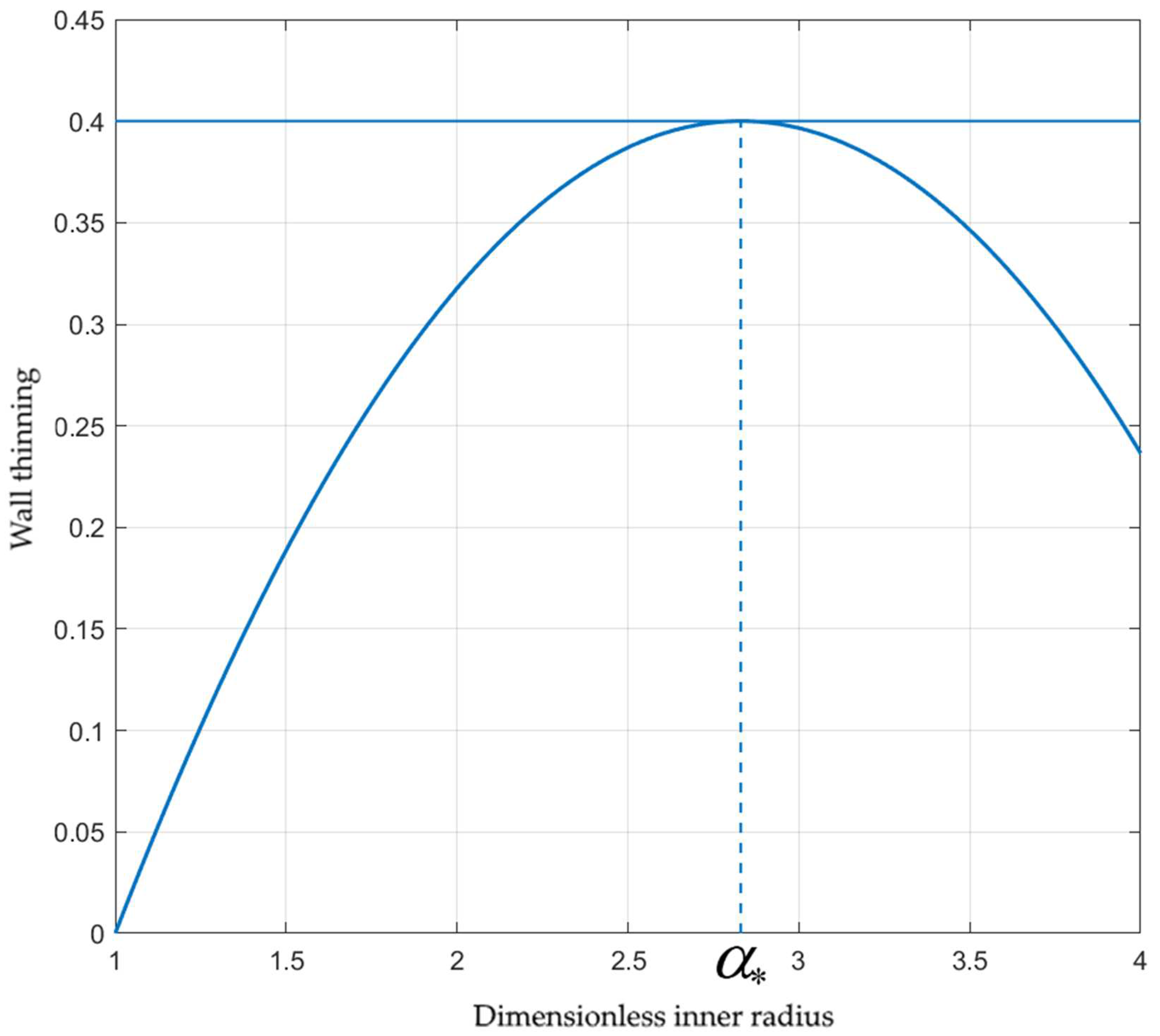
4.2. Wall Thickness
4.3. Damage
5. Conclusions
Author Contributions
Funding
Institutional Review Board Statement
Informed Consent Statement
Data Availability Statement
Acknowledgments
Conflicts of Interest
Nomenclature
| a | inner radius |
| b | outer radius |
| h | half-length |
| p | dimensionless inner pressure |
| q | dimensionless axial punch force |
| (r, θ, z) | cylindrical coordinates |
| s | dimensionless parameter introduced in Equation (23) |
| sr, sθ, sz | deviatoric stress components |
| t | time |
| ur | radial velocity |
| uz | axial velocity |
| H | wall thickness |
| P | inner pressure |
| R | Lagrangian coordinate |
| Q | axial punch force |
| U | speed of expansion |
| V | speed of elongation |
| α | dimensionless inner radius |
| δ | wall thinning |
| εeq | equivalent strain |
| εr, εθ, εz | strain components |
| η | function of the polar radius introduced in Equation (23) |
| ξeq | equivalent strain rate |
| ξr, ξθ, ξz | strain rate components |
| ρ | dimensionless radius |
| σ | hydrostatic stress |
| σeq | equivalent stress |
| σr, σθ, σz | stress components |
| ω | dimensionless axial feeding |
References
- Durban, D.; Budiansky, B. Plane-strain radial flow of plastic materials. J. Mech. Phys. Solids 1978, 26, 303–324. [Google Scholar] [CrossRef]
- Durban, D. Axially Symmetric Radial Flow of Rigid/Linear-Hardening Materials. J. Appl. Mech. 1979, 46, 322–328. [Google Scholar] [CrossRef]
- Durban, D. Drawing of Tubes. J. Appl. Mech. 1980, 47, 736–740. [Google Scholar] [CrossRef]
- Durban, D. Radial Flow Simulation of Drawing and Extrusion of Rigid/Hardening Materials. Int. J. Mech. Sci. 1983, 25, 27–39. [Google Scholar] [CrossRef]
- Collins, I.F.; Meguid, S.A. On the Influence of Hardening and Anisotropy on the Plane-Strain Compression of Thin Metal Strip. J. Appl. Mech. 1977, 44, 271–278. [Google Scholar] [CrossRef]
- Alexandrov, S.; Hoon Kim, J.; Chung, K.; Jin Kang, T. An Alternative Approach to Analysis of Plane-Strain Pure Bending at Large Strains. J. Strain Anal. Eng. Des. 2006, 41, 397–410. [Google Scholar] [CrossRef]
- Alexandrov, S.; Manabe, K.; Furushima, T. A general analytic solution for plane strain bending under tension for strain-hardening material at large strains. Arch. Appl. Mech. 2011, 81, 1935–1952. [Google Scholar] [CrossRef]
- Strashnov, S.; Alexandrov, S.; Lang, L. Finite plane strain bending under tension of isotropic and kinematic hardening sheets. Materials 2021, 14, 1166. [Google Scholar] [CrossRef]
- Alexandrov, S.; Lyamina, E.; Lang, L. Description of the expansion of a two-layer tube: An analytic plane-strain solution for arbitrary pressure-independent yield criterion and hardening law. Metals 2021, 11, 793. [Google Scholar] [CrossRef]
- Wang, L.; Xu, X.; Fan, Y.; Wei, L. Loading path design of thin-walled aluminum alloy T-shaped tube hydroforming process based on the control of limit pressure. Int. J. Adv. Manuf. Technol. 2020, 108, 3119–3131. [Google Scholar] [CrossRef]
- Yasui, H.; Miyagawa, T.; Yoshihara, S.; Furushima, T.; Yamada, R.; Ito, Y. Influence of internal pressure and axial compressive displacement on the formability of small-diameter ZM21 magnesium alloy tubes in warm tube hydroforming. Metals 2020, 10, 674. [Google Scholar] [CrossRef]
- Raut, S.V.; Ramesh, A.; Arun, A.; Sumesh, C.S. Finite element analysis and optimization of tube hydroforming process. Mater. Today Proc. 2021, 46, 5008–5016. [Google Scholar] [CrossRef]
- Reddy, P.V.; Reddy, B.V.; Ramulu, P.J. Multi-objective optimisation of tube hydroforming process on if steel using Taguchi-based principal component analysis. Int. J. Comput. Aided Eng. Technol. 2021, 14, 80–92. [Google Scholar] [CrossRef]
- Marlapalle, B.G.; Hingole, R.S. Predictions of formability parameters in tube hydroforming process. SN Appl. Sci. 2021, 3, 606. [Google Scholar] [CrossRef]
- Hwang, Y.M.; Pham, H.N.; Tsui, H.S.R. Investigation of punch shape and loading path design in hydro-flanging processes of aluminum alloy tubes. Metals 2021, 11, 636. [Google Scholar] [CrossRef]
- Endelt, B. In-process feedback control of tube hydro-forming process. Int. J. Adv. Manuf. Technol. 2022, 119, 7723–7733. [Google Scholar] [CrossRef]
- Li, H.; Huang, R.; Li, J. Theory and mechanical analysis of Tube Hydroforming of hollow component. IOP Conf. Ser. Earth Environ. Sci. 2020, 514, 022077. [Google Scholar] [CrossRef]
- Li, H.; Yu, S.; Li, J. Stress & strain character of tube hydroforming and its application in processing analysis. IOP Conf. Ser. Earth Environ. Sci. 2021, 714, 032090. [Google Scholar] [CrossRef]
- Pourhamid, R.; Shirazi, A. A comprehensive damage criterion in tube hydroforming. Proc. Inst. Mech. Eng. Part B J. Eng. Manuf. 2021, 235, 417–430. [Google Scholar] [CrossRef]
- Colpani, A.; Fiorentino, A.; Ceretti, E. Characterization and optimization of the hydroforming process of AISI 316L steel hydraulic tubes. Int. J. Adv. Manuf. Technol. 2020, 107, 293–309. [Google Scholar] [CrossRef]
- Abbassi, F.; Ahmad, F.; Gulzar, S.; Belhadj, T.; Karrech, A.; Choi, H.S. Design of T-shaped tube hydroforming using finite element and artificial neural network modeling. J. Mech. Sci. Technol. 2020, 34, 1129–1138. [Google Scholar] [CrossRef]
- Hwang, Y.M.; Tsai, Y.J. Movable die and loading path design in tube hydroforming of irregular bellows. Metals 2020, 10, 1518. [Google Scholar] [CrossRef]
- Reddy, B.V.; Kondayya, D.; Goud, E.V.; Reddy, P.V. Yield criterion influence on the formability prediction of SS 304 by tensile tests and bulge tests during tube hydroforming process. Multiscale Multidiscip. Model. Exp. Des. 2021, 4, 293–302. [Google Scholar] [CrossRef]
- Manabe, K.; Kozuyoshi, S.; Nori, S.; Nishimuro, H. Bulge Forming of Thin Walled Tubes by Micro-Computer Controlled Hydraulic Press. Adv. Technol. Plast. 1984, 1, 279–284. [Google Scholar]
- Mori, S.; Manabe, K.-I.; Nishimura, H. Hydraulic bulge forming of clad thin-walled tubes. Adv. Tech. Plast. 1990, 3, 1549–1554. [Google Scholar]
- Atkins, A.G. Fracture in forming. J. Mater. Process. Technol. 1996, 56, 609–618. [Google Scholar] [CrossRef]
- Cockcroft, M.G.; Latham, D.J. Ductility and the Workability of Metals. J. Inst. Met. 1968, 96, 33–39. [Google Scholar]
- Choi, S.; Lee, Y.S.; Oh, H.K. Ductile fracture in axisymmetric extrusion. J. Mater. Process. Technol. 1998, 74, 263–267. [Google Scholar] [CrossRef]
- Oyane, M.; Sato, T.; Okimoto, K.; Shima, S. Criteria for ductile fracture and their applications. J. Mech. Work. Technol. 1980, 4, 65–81. [Google Scholar] [CrossRef]
- Scales, M.; Chen, K.; Kyriakides, S. Response, Localization, and Rupture of Anisotropic Tubes Under Combined Pressure and Tension. J. Appl. Mech. 2021, 88, 011008. [Google Scholar] [CrossRef]
- Liu, S.; Wang, H.; Lan, W.; Liu, Y.; Che, J.; Ma, S. Repairing Damaged Screen Pipes with Tube Hydroforming: Experiments and Feasibility Analysis. Machines 2022, 10, 391. [Google Scholar] [CrossRef]











Publisher’s Note: MDPI stays neutral with regard to jurisdictional claims in published maps and institutional affiliations. |
© 2022 by the authors. Licensee MDPI, Basel, Switzerland. This article is an open access article distributed under the terms and conditions of the Creative Commons Attribution (CC BY) license (https://creativecommons.org/licenses/by/4.0/).
Share and Cite
Strashnov, S.; Alexandrov, S.; Lang, L. A New Semi-Analytical Solution for an Arbitrary Hardening Law and Its Application to Tube Hydroforming. Materials 2022, 15, 5888. https://doi.org/10.3390/ma15175888
Strashnov S, Alexandrov S, Lang L. A New Semi-Analytical Solution for an Arbitrary Hardening Law and Its Application to Tube Hydroforming. Materials. 2022; 15(17):5888. https://doi.org/10.3390/ma15175888
Chicago/Turabian StyleStrashnov, Stanislav, Sergei Alexandrov, and Lihui Lang. 2022. "A New Semi-Analytical Solution for an Arbitrary Hardening Law and Its Application to Tube Hydroforming" Materials 15, no. 17: 5888. https://doi.org/10.3390/ma15175888
APA StyleStrashnov, S., Alexandrov, S., & Lang, L. (2022). A New Semi-Analytical Solution for an Arbitrary Hardening Law and Its Application to Tube Hydroforming. Materials, 15(17), 5888. https://doi.org/10.3390/ma15175888
